Estimating Pasture Biomass Using Sentinel-2 Imagery and Machine Learning
Abstract
1. Introduction
- (1)
 - To examine the suitability of Sentinel-2 images for capturing spatio-temporal changes in pasture biomass at paddock level.
 - (2)
 - To determine the applicability of ML for improving the accuracy of pasture biomass estimation from S2 data as compared to regression analysis of the normalised difference vegetation index (NDVI).
 
2. Study Area and Data
2.1. Study Area
2.2. Data Sources
2.2.1. Field Biomass Data
2.2.2. Remotely Sensed Data
2.2.3. Climate Data
3. Methods
3.1. Correlating the S2 Imagery with In Situ Data
3.2. Developing a Machine Learning Algorithm
3.3. Modelling Design
- (1)
 - Experiment 1—The input training data set consisted of all bands of S2 imagery (including NDVI) and the month of the S2 acquisition.
 - (2)
 - Experiment 2—The same variables as experiment 1 plus the climate variables were used. The climate variables for each farm were the average minimum temperature, maximum temperature, mean temperature, rainfall, radiation, and vapour pressure (Table 1) for the 28 days prior to each ground biomass measurement.
 
3.4. Sensitivity Analysis
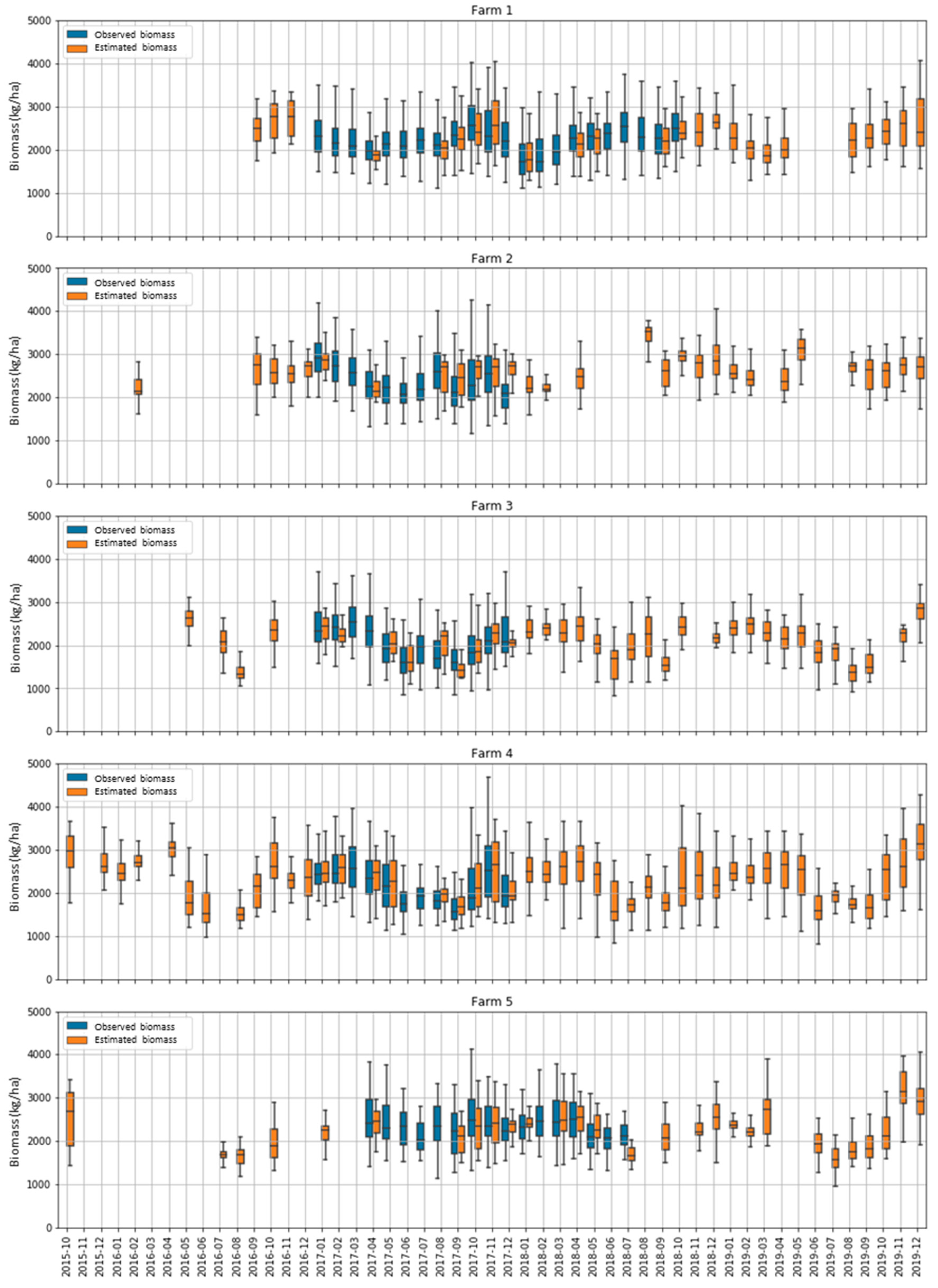
4. Results and Discussion
4.1. Correlation between In Situ Biomass and the S2 NDVI
4.2. Calibration and Evaluation of the Biomass Estimate from Machine Learning
4.3. Model Sensitivity to Different Farms
4.4. Cloud Issues in the Time-Series Biomass Estimation
5. Conclusions
Author Contributions
Funding
Acknowledgments
Conflicts of Interest
Appendix A. Cloud Coverage Analysis of the Sentinel-2 Imagery




References
- Chang-Fung-Martel, J.; Harrison, M.T.; Rawnsley, R.; Smith, A.P.; Meinke, H. The impact of extreme climatic events on pasture-based dairy systems: A review. Crop Pasture Sci. 2017, 68, 1158–1169. [Google Scholar] [CrossRef]
 - Hovenden, M.; Newton, P.; Wills, K. Seasonal not annual rainfall determines grassland biomass response to carbon dioxide. Nature 2014, 511, 583–586. [Google Scholar] [CrossRef] [PubMed]
 - Bell, L.W.; Harrison, M.T.; Kirkegaard, J.A. Dual-purpose cropping—Capitalising on potential grain crop grazing to enhance mixed-farming profitability. Crop Pasture Sci. 2015, 66, i–iv. [Google Scholar] [CrossRef]
 - Harrison, M.T.; Evans, J.R.; Dove, H.; Moore, A.D. Recovery dynamics of rainfed winter wheat after livestock grazing 2. Light interception, radiation-use efficiency and dry-matter partitioning. Crop Pasture Sci. 2011, 62, 960–971. [Google Scholar] [CrossRef]
 - Hakl, J.; Hrevušová, Z.; Hejcman, M.; Fuksa, P. The use of a rising plate meter to evaluate lucerne (Medicago sativa L.) height as an important agronomic trait enabling yield estimation. Grass Forage Sci. 2012, 67, 589–596. [Google Scholar] [CrossRef]
 - Psomas, A.; Kneubühler, M.; Huber, S.; Itten, K.; Zimmermann, N.E. Hyperspectral remote sensing for estimating aboveground biomass and for exploring species richness patterns of grassland habitats. Int. J. Remote Sens. 2011, 32, 9007–9031. [Google Scholar] [CrossRef]
 - King, W.M.; Rennie, G.M.; Dalley, D.E.; Dynes, R.A.; Upsdell, M.P. Pasture Mass Estimation by the C-Dax Pasture Meter: Regional Calibrations for New Zealand. In Proceedings of the 4th Australasian Dairy Science Symposium, Lincoln, New Zealand, 31 August–2 September 2010. [Google Scholar]
 - Chen, Y.; Gillieson, D. Evaluations of Landsat TM vegetation indices for estimating vegetation cover on semi-arid rangelands—A case study from Australia. Can. J. Remote Sens. 2009, 35, 435–446. [Google Scholar] [CrossRef]
 - Pembleton, K.G.; Cullen, B.R.; Rawnsley, R.P.; Harrison, M.T.; Ramilan, T. Modelling the resilience of forage crop production to future climate change in the dairy regions of Southeastern Australia using APSIM. J. Agric. Sci. 2016, 154, 1131–1152. [Google Scholar] [CrossRef]
 - Harrison, M.T.; Jackson, T.; Cullen, B.R.; Rawnsley, R.P.; Ho, C.; Cummins, L.; Eckard, R.J. Increasing ewe genetic fecundity improves whole-farm production and reduces greenhouse gas emissions intensities: 1. Sheep production and emissions intensities. Agric. Syst. 2014, 131, 23–33. [Google Scholar] [CrossRef]
 - Harrison, M.T.; Cullen, B.R.; Armstrong, D. Management options for dairy farms under climate change: Effects of intensification, adaptation and simplification on pastures, milk production and profitability. Agric. Syst. 2017, 155, 19–32. [Google Scholar] [CrossRef]
 - Kumar, L.; Sinha, P.; Taylor, S.; Alqurashi, A.F. Review of the use of remote sensing for biomass estimation to support renewable energy generation. J. Appl. Remote Sens. 2015, 9, 097696. [Google Scholar] [CrossRef]
 - Chen, Y.; Guerschman, J.; Cheng, Z. Remote sensing for vegetation monitoring in Carbon Capture Storage regions: A review. Appl. Energy 2019, 240, 312–326. [Google Scholar] [CrossRef]
 - Sibanda, M.; Mutanga, O.; Rouget, M. Examining the potential of Sentinel-2 MSI spectral resolution in quantifying above ground biomass across different fertilizer treatments. ISPRS J. Photogramm. Remote Sens. 2015, 110, 55–65. [Google Scholar] [CrossRef]
 - Filho, M.G.; Kuplich, T.M.; De Quadros, F.L.F. Estimating natural grassland biomass by vegetation indices using Sentinel 2 remote sensing data. Int. J. Remote Sens. 2020, 41, 2861–2876. [Google Scholar] [CrossRef]
 - Drusch, M.; Del Bello, U.; Carlier, S.; Colin, O.; Fernandez, V.; Gascon, F.; Hoersch, B.; Isola, C.; Laberinti, P.; Martimort, P.; et al. Sentinel-2: ESA’s optical high-resolution mission for GMES operational services. Remote Sens. Environ. 2012, 120, 25–36. [Google Scholar] [CrossRef]
 - Wylie, B.K.; Harrington, J.A.; Prince, S.D.; Denda, I. Satellite and ground-based pasture production assessment in Niger: 1986–1988. Int. J. Remote Sens. 1991, 12, 1281–1300. [Google Scholar] [CrossRef]
 - Anderson, G.; Hanson, J.; Haas, R. Evaluating Landsat Thematic Mapper derived vegetation indices for estimating above-ground biomass on semiarid rangelands. Remote Sens. Environ. 1993, 45, 165–175. [Google Scholar] [CrossRef]
 - Zha, Y.; Gao, J.; Ni, S.; Liu, Y.; Jiang, J.; Wei, Y. A spectral reflectance-based approach to quantification of grassland cover from Landsat TM imagery. Remote Sens. Environ. 2003, 87, 371–375. [Google Scholar] [CrossRef]
 - Boschetti, M.; Bocchi, S.; Brivio, P.A. Assessment of pasture production in the Italian Alps using spectrometric and remote sensing information. Agric. Ecosyst. Environ. 2007, 118, 267–272. [Google Scholar] [CrossRef]
 - Dusseux, P.; Hubert-Moy, L.; Corpetti, T.; Vertès, F. Evaluation of SPOT imagery for the estimation of grassland biomass. Int. J. Appl. Earth Obs. Geoinf. 2015, 38, 72–77. [Google Scholar] [CrossRef]
 - Wylie, B.; Meyer, D.; Tieszen, L.; Mannel, S. Satellite mapping of surface biophysical parameters at the biome scale over the North American grasslands: A case study. Remote Sens. Environ. 2002, 79, 266–278. [Google Scholar] [CrossRef]
 - Vescovo, L.; Gianelle, D. Using the MIR bands in vegetation indices for the estimation of grassland biophysical parameters from satellite remote sensing in the Alps region of Trentino (Italy). Adv. Space Res. 2008, 41, 1764–1772. [Google Scholar] [CrossRef]
 - Punalekar, S.M.; Verhoef, A.; Quaife, T.L.; Humphries, D.; Bermingham, L.; Reynolds, C.K. Application of Sentinel-2A data for pasture biomass monitoring using a physically based radiative transfer model. Remote Sens. Environ. 2018, 218, 207–220. [Google Scholar] [CrossRef]
 - Gargiulo, J.; Clark, C.; Lyons, N.; Veyrac, G.; Beale, P.; Garcia, S. Spatial and temporal pasture biomass estimation integrating Electronic Plate Meter, Planet CubeSats and Sentinel-2 Satellite Data. Remote Sens. 2020, 12, 3222. [Google Scholar] [CrossRef]
 - Ali, I.; Greifeneder, F.; Stamenkovic, J.; Neumann, M.; Notarnicola, C. Review of machine learning approaches for biomass and soil moisture retrievals from remote sensing data. Remote Sens. 2015, 7, 16398–16421. [Google Scholar] [CrossRef]
 - Cutler, M.E.J.; Boyd, D.S.; Foody, G.M.; Vetrivel, A. Estimating tropical forest biomass with a combination of SAR image texture and Landsat TM data, An assessment of predictions between regions. ISPRS J. Photogramm. Remote Sens. 2012, 70, 66–77. [Google Scholar] [CrossRef]
 - Dang, A.T.N.; Nandy, S.; Srinet, R.; Luong, N.V.; Ghosh, S.; Kumar, A.S. Forest aboveground biomass estimation using machine learning regression algorithm in Yok Don National Park, Vietnam. Ecol. Inform. 2019, 50, 24–32. [Google Scholar] [CrossRef]
 - Ghosh, S.M.; Behera, M.D. Aboveground biomass estimation using multi-sensor data synergy and machine learning algorithms in a dense tropical forest. Appl. Geogr. 2018, 96, 29–40. [Google Scholar] [CrossRef]
 - Zhang, L.; Shao, Z.; Liu, J.; Cheng, Q. Deep learning based retrieval of forest aboveground biomass from combined LiDAR and Landsat 8 data. Remote Sens. 2019, 11, 1459. [Google Scholar] [CrossRef]
 - Shao, Z.; Shang, L. Estimating forest aboveground biomass by combining optical and SAR Data: A case study in Genhe, Inner Mongolia, China. Sensors 2016, 16, 834. [Google Scholar] [CrossRef]
 - Zhang, L.; Shao, Z.; Diao, C. Synergistic retrieval model of forest biomass using the integration of optical and microwave remote sensing. J. Appl. Remote Sens. 2015, 9, 096069. [Google Scholar] [CrossRef]
 - Zhang, Y.; Shao, Z. Assessing of urban vegetation biomass in combination with LiDAR and high-resolution remote sensing images. Int. J. Remote Sens. 2021, 42, 964–985. [Google Scholar] [CrossRef]
 - Ji, B.; Sun, Y.; Yang, S.; Wan, J. Artificial neural networks for rice yield prediction in mountainous regions. J. Agric. Sci. 2007, 145, 249–261. [Google Scholar] [CrossRef]
 - Panda, S.S.; Ames, D.P.; Panigrahi, S. Application of vegetation indices for agricultural crop yield prediction using neural network techniques. Remote Sens. 2010, 2, 673–696. [Google Scholar] [CrossRef]
 - Uno, Y.; Prasher, S.O.; Lacroix, R.; Goel, P.K.; Karimi, Y.; Viau, A.; Patel, R.M. Artificial neural networks to predict corn yield from Compact Airborne Spectrographic Imager data. Comput. Electron. Agric. 2005, 47, 149–161. [Google Scholar] [CrossRef]
 - Habyarimana, E.; Piccard, I.; Catellani, M.; Franceschi, P.D.; Dall’Agata, M. Towards predictive modelling of sorghum biomass yields using fraction of absorbed photosynthetically active radiation derived from Sentinel-2 satellite imagery and supervised machine learning techniques. Agronomy 2019, 9, 203. [Google Scholar] [CrossRef]
 - Jin, X.; Li, Z.; Feng, H.; Ren, Z.; Li, S. Deep neural network algorithm for estimating maize biomass based on simulated Sentinel 2A vegetation indices and leaf area index. Crop J. 2020, 8, 87–97. [Google Scholar] [CrossRef]
 - Xie, Y.; Sha, Z.; Yu, M.; Bai, Y.; Zhang, L. A comparison of two models with Landsat data for estimating above ground grassland biomass in Inner Mongolia, China. Ecol. Model. 2009, 220, 1810–1818. [Google Scholar] [CrossRef]
 - Ali, I.; Cawkwell, F.; Green, S.; Dwyer, N. Application of statistical and machine learning models for grassland yield estimation based on a hypertemporal satellite remote sensing time series. In Proceedings of the 2014 IEEE International Geoscience and Remote Sensing Symposium (IGARSS 2014), Quebec City, QC, Canada, 13–18 July 2014; pp. 5060–5063. [Google Scholar]
 - Ali, I.; Cawkwell, F.; Dwyer, E.; Green, S. Modeling managed grassland biomass estimation by using multitemporal remote sensing data—A machine learning approach. IEEE J. Sel. Top. Appl. Earth Obs. Remote Sens. 2017, 10, 3254–3264. [Google Scholar] [CrossRef]
 - Griffiths, P.; Nendel, C.; Pickert, J.; Hostert, P. Towards national-scale characterization of grassland use intensity from integrated Sentinel-2 and Landsat time series. Remote Sens. Environ. 2020, 238, 111124. [Google Scholar] [CrossRef]
 - Dairy Tas. The Dairy Industry in Tasmania; Tasmania Government: Hobart, Australia, 2019.
 - Phelan, D.C.; Harrison, M.T.; Kemmerer, E.P.; Parsons, D. Management opportunities for boosting productivity of cool-temperate dairy farms under climate change. Agric. Syst. 2015, 138, 46–54. [Google Scholar] [CrossRef]
 - Christie, K.M.; Smith, A.P.; Rawnsley, R.P.; Harrison, M.T.; Eckard, R.J. Simulated seasonal responses of grazed dairy pastures to nitrogen fertilizer in SE Australia: Pasture production. Agric. Syst. 2018, 166, 36–47. [Google Scholar] [CrossRef]
 - Harrison, M.T.; Christie, K.M.; Rawnsley, R.P.; Eckard, R.J. Modelling pasture management and livestock genotype interventions to improve whole-farm productivity and reduce greenhouse gas emissions intensities. Anim. Prod. Sci. 2014, 54, 2018–2028. [Google Scholar] [CrossRef]
 - Rayburn, E.B.; Rayburn, S.B. A standardized plate meter for estimating pasture mass in on-farm research trials. Agron. J. 1998, 90, 238–241. [Google Scholar] [CrossRef]
 - Li, F.; Jupp, D.L.B.; Reddy, S.; Lymburner, L.; Mueller, N.; Tan, P.; Islam, A. An evaluation of the use of atmospheric and BRDF correction to standardize Landsat data. IEEE J. Sel. Top. Appl. Earth Obs. Remote Sens. 2010, 3, 257–270. [Google Scholar] [CrossRef]
 - Li, F.; Jupp, D.L.B.; Thankappan, M.; Lymburner, L.; Mueller, N.; Lewis, A.; Held, A. A physics-based atmospheric and BRDF correction for Landsat data over mountainous terrain. Remote Sens. Environ. 2012, 124, 756–770. [Google Scholar] [CrossRef]
 - Foga, S.; Scaramuzza, P.L.; Guo, S.; Zhu, Z.; Dilley, R.D.; Beckmann, T.; Schmidt, G.L.; Dwyer, J.L.; Joseph Hughes, M.; Laue, B. Cloud detection algorithm comparison and validation for operational Landsat data products. Remote Sens. Environ. 2017, 194, 379–390. [Google Scholar] [CrossRef]
 - Jones, D.A.; Wang, W.; Fawcett, R. High-quality spatial climate datasets for Australia. Aust. Meteorol. Oceanogr. J. 2009, 58, 233–248. [Google Scholar] [CrossRef]
 - Harrison, M.T.; Roggero, P.P.; Zavattaro, L. Simple, efficient and robust techniques for automatic multi-objective function parameterisation: Case studies of local and global optimisation using APSIM. Environ. Model. Softw. 2019, 117, 109–133. [Google Scholar] [CrossRef]
 - Clevers, J.G.; Gitelson, A.A. Remote estimation of crop and grass chlorophyll and nitrogen content using red-edge bands on Sentinel-2 and-3. Int. J. Appl. Earth Obs. Geoinf. 2013, 23, 344–351. [Google Scholar] [CrossRef]
 - Helman, D.; Mussery, A.; Lensky, I.M.; Leu, S. Detecting changes in biomass productivity in a different land management regime in drylands using satellite-derived vegetation index. Soil Use Manag. 2014, 30, 32–39. [Google Scholar] [CrossRef]
 - Shafian, S.; Rajan, N.; Schnell, R.; Bagavathiannan, M.; Valasek, J.; Shi, Y.; Olsenholler, J. Unmanned aerial systems-based remote sensing for monitoring sorghum growth and development. PLoS ONE 2018, 13, e0196605. [Google Scholar] [CrossRef] [PubMed]
 - Edirisinghe, A.; Hill, M.J.; Donald, G.E.; Hyder, M. Quantitative mapping of pasture biomass using satellite imagery. Int. J. Remote Sens. 2011, 32, 2699–2724. [Google Scholar] [CrossRef]
 - Edirisinghe, A.; Clark, D.; Waugh, D. Spatio-temporal modelling of biomass of intensively grazed perennial dairy pastures using multispectral remote sensing. Int. J. Appl. Earth Obs. Geoinf. 2012, 16, 5–16. [Google Scholar] [CrossRef]
 - Garroutte, E.L.; Hansen, A.J.; Lawrence, R.L. Using NDVI and EVI to map spatiotemporal variation in the biomass and quality of forage for migratory elk in the Greater Yellowstone Ecosystem. Remote Sens. 2016, 8, 404. [Google Scholar] [CrossRef]
 - Huete, A.; Didan, K.; Miura, T.; Rodriguez, E.P.; Gao, X.; Ferreira, L.G. Overview of the radiometric and biophysical performance of the MODIS vegetation indices. Remote Sens. Environ. 2002, 83, 195–213. [Google Scholar] [CrossRef]
 - Matsushita, B.; Yang, W.; Chen, J.; Onda, Y.; Qiu, G. Sensitivity of the Enhanced Vegetation Index (EVI) and Normalized Difference Vegetation Index (NDVI) to topographic effects: A case study in high-density cypress forest. Sensors 2007, 7, 2636–2651. [Google Scholar] [CrossRef] [PubMed]
 - Battude, M.; Al Bitar, A.; Morin, D.; Cros, J.; Huc, M.; Sicre, C.M.; Le Dante, V.; Demarez, V. Estimating maize biomass and yield over large areas using high spatial and temporal resolution Sentinel-2 like remote sensing data. Remote Sens. Environ. 2016, 184, 668–681. [Google Scholar] [CrossRef]
 - Gao, F.; Anderson, M.; Daughtry, C.; Johnson, D. Assessing the variability of corn and soybean yields in Central Iowa using high spatiotemporal resolution multi-satellite imagery. Remote Sens. 2018, 10, 1489. [Google Scholar] [CrossRef]
 - Henry, D.A.; Shovelton, J.; de Fegely, C.; Manning, R.; Beattie, L.; Trotter, M. Potential for information technologies to improve decision making for the southern livestock industries. In Report for Meat & Livestock Australia; MLA: Sydney, Australia, 2012; Volume BGSM0004. [Google Scholar]
 - Sinha, S.; Jeganathan, C.; Sharma, L.K.; Nathawat, M.S. A review of radar remote sensing for biomass estimation. Int. J. Environ. Sci. Technol. 2015, 12, 1779–1792. [Google Scholar] [CrossRef]
 - Ali, I.; Cawkwell, F.; Dwyer, E.; Barrett, B.; Green, S. Satellite remote sensing of grasslands: From observation to management—A review. J. Plant Ecol. 2016, 9, 649–671. [Google Scholar] [CrossRef]
 










| Data | Variable | Description | 
|---|---|---|
| Field samples (once a week)  | Biomass (kg DM/ha)  | Paddock-based records from RPM or C-Dax | 
| S2 imagery (20 m) (matching field sampling date with a maximum of two days before or after) | Band 2 | Blue (460–520 nm), resampled from 10 m | 
| Band 3 | Green (540–580 nm), resampled from 10 m | |
| Band 4 | Red (650–680 nm), resampled from 10 m | |
| Band 5 | Red-edge-1 (700–710 nm) | |
| Band 6 | Red-edge-2 (730–750 nm) | |
| Band 7 | Red-edge-3 (770–790 nm) | |
| Band 8 | NIR-1 (780–900 nm), resampled from 10 m | |
| Band 8A | NIR-2 (860–880 nm) | |
| Band 11 | SWIR-1 (1570–1660 nm) | |
| Band 12 | SWIR-2 (2100–2280 nm) | |
| Month | Image acquisition month | |
| NDVI | Normalised difference vegetation index = (band 8 − band 4)/(band 8 + band 4)  | |
| Climate data (5 km) (mean of 28 days before field sampling date, see Section 2.2.3 for an aggregation rationale)  | P (mm) | Precipitation | 
| RAD (W/m2) | Solar radiation | |
| Tmax (°C) | Maximum temperature | |
| Tmin (°C) | Minimum temperature | |
| Tmean (°C) | Mean temperature (Tmean = (Tmax + Tmin)/2) | |
| VPH-09 (hPa) | Vapour pressure deficit at 9 am | |
| VPH-15 (hPa) | Vapour pressure deficit at 3 pm | 
| Farm | Farm Area (ha) | Paddock | Mean Paddock Area (ha) | Start Date | End Date | In Situ Records | Concurrent S2 Imagery | Mean Biomass (kg/ha) | Std Dev Biomass (kg/ha) | 
|---|---|---|---|---|---|---|---|---|---|
| 1 | 201 | 115 | 1.7 | 2017-01-04 | 2018-10-17 | 5779 | 635 | 2231 | 497 | 
| 2 | 124 | 48 | 2.6 | 2017-01-02 | 2017-12-18 | 1951 | 193 | 2438 | 566 | 
| 3 | 258 | 66 | 3.9 | 2017-01-04 | 2017-12-21 | 1212 | 123 | 2114 | 550 | 
| 4 | 304 | 59 | 5.1 | 2017-01-04 | 2017-12-19 | 1720 | 421 | 2232 | 648 | 
| 5 | 446 | 46 | 9.7 | 2017-04-04 | 2018-07-05 | 1685 | 361 | 2375 | 517 | 
| Total | 1333 | 334 | 4.6 (mean) | 12,356 | 1735 | 2272 | 547 | 
| Item | Experiment (E) | Sensitivity (S) | ||||||||||||
|---|---|---|---|---|---|---|---|---|---|---|---|---|---|---|
| E1 (All Farms) | E2 (All Farms) | S (Farm 1) | S (Farm 2) | S (Farm 3) | S (Farm 4) | S (Farm 5) | ||||||||
| Cal * | Val ** | Cal | Val | Cal | Val | Cal | Val | Cal | Val | Cal | Val | Cal | Val | |
| N *** | 1300 | 433 | 1300 | 433 | 1098 | 635 | 1540 | 193 | 1610 | 123 | 1312 | 421 | 1372 | 361 | 
| R2 | 0.51 | 0.50 | 0.62 | 0.57 | 0.65 | 0.44 | 0.68 | 0.22 | 0.67 | 0.32 | 0.63 | 0.22 | 0.68 | 0.40 | 
| RMSE (kg/ha) | 406 | 403 | 356 | 366 | 360 | 521 | 324 | 598 | 327 | 462 | 328 | 655 | 331 | 436 | 
Publisher’s Note: MDPI stays neutral with regard to jurisdictional claims in published maps and institutional affiliations.  | 
© 2021 by the authors. Licensee MDPI, Basel, Switzerland. This article is an open access article distributed under the terms and conditions of the Creative Commons Attribution (CC BY) license (http://creativecommons.org/licenses/by/4.0/).
Share and Cite
Chen, Y.; Guerschman, J.; Shendryk, Y.; Henry, D.; Harrison, M.T. Estimating Pasture Biomass Using Sentinel-2 Imagery and Machine Learning. Remote Sens. 2021, 13, 603. https://doi.org/10.3390/rs13040603
Chen Y, Guerschman J, Shendryk Y, Henry D, Harrison MT. Estimating Pasture Biomass Using Sentinel-2 Imagery and Machine Learning. Remote Sensing. 2021; 13(4):603. https://doi.org/10.3390/rs13040603
Chicago/Turabian StyleChen, Yun, Juan Guerschman, Yuri Shendryk, Dave Henry, and Matthew Tom Harrison. 2021. "Estimating Pasture Biomass Using Sentinel-2 Imagery and Machine Learning" Remote Sensing 13, no. 4: 603. https://doi.org/10.3390/rs13040603
APA StyleChen, Y., Guerschman, J., Shendryk, Y., Henry, D., & Harrison, M. T. (2021). Estimating Pasture Biomass Using Sentinel-2 Imagery and Machine Learning. Remote Sensing, 13(4), 603. https://doi.org/10.3390/rs13040603
        
                                                
