Evapotranspiration Changes over the European Alps: Consistency of Trends and Their Drivers between the MOD16 and SSEBop Algorithms
Abstract
:1. Introduction
2. Study Area: The Alps
3. Data
3.1. MOD16 and SSEBop ET
3.2. MOD15 LAI
3.3. MOD11 LST
3.4. ERA5-Land 2-m Air Temperature
3.5. MSWEP Precipitation
4. Methods
4.1. Comparison between MODIS-Based ET Products and Eddy Covariance Data
4.2. Correlation Analysis on ET Based on Flux Tower and Satellite Data
4.3. Trend Test and Slope Estimation
4.4. Contribution to the Trend
4.5. Analysis of the Effect of Land Cover
5. Results
5.1. MODIS-Based ET vs. Site Measurements
5.2. Correlation Analysis
5.2.1. Correlation Analysis at the Flux Tower Sites
5.2.2. Satellite-Based Correlation Analysis and Comparison with Ground Data
- The correlation between ground-based ET and LAI at flux tower sites (Table 3) fell within the 1st and 3rd quartile of the correlation derived from SSEBop ET in the corresponding land cover and elevation classes (Supplementary Figure S21).
- For LST, the correlation at the measurement sites did not correspond to the negative correlation estimated from SSEBop, whereas it was in line with MOD16 (Table 3, Supplementary Figure S22).
- For PET, the positive correlation obtained at the grassland sites corresponded to MOD16, while the negative correlation observed at the forest site CH-Dav corresponded to SSEBop (Table 3, Supplementary Figure S23).
5.3. Trend Test for ET
5.3.1. Yearly Analysis
5.3.2. Monthly Analysis
5.4. Trend Test and Analysis of Sensitivity for PET
5.4.1. Yearly Analysis
5.4.2. Monthly Analysis
5.5. Trend Test and Analysis of Sensitivity for LAI
5.6. Trend Test and Analysis of Sensitivity for Precipitation, tp
5.6.1. Yearly Analysis
5.6.2. Monthly Analysis
5.7. Trend Test and Analysis of Sensitivity for Air Temperature, Ta
5.8. Trend Test and Analysis of Sensitivity for Land Surface Temperature, LST
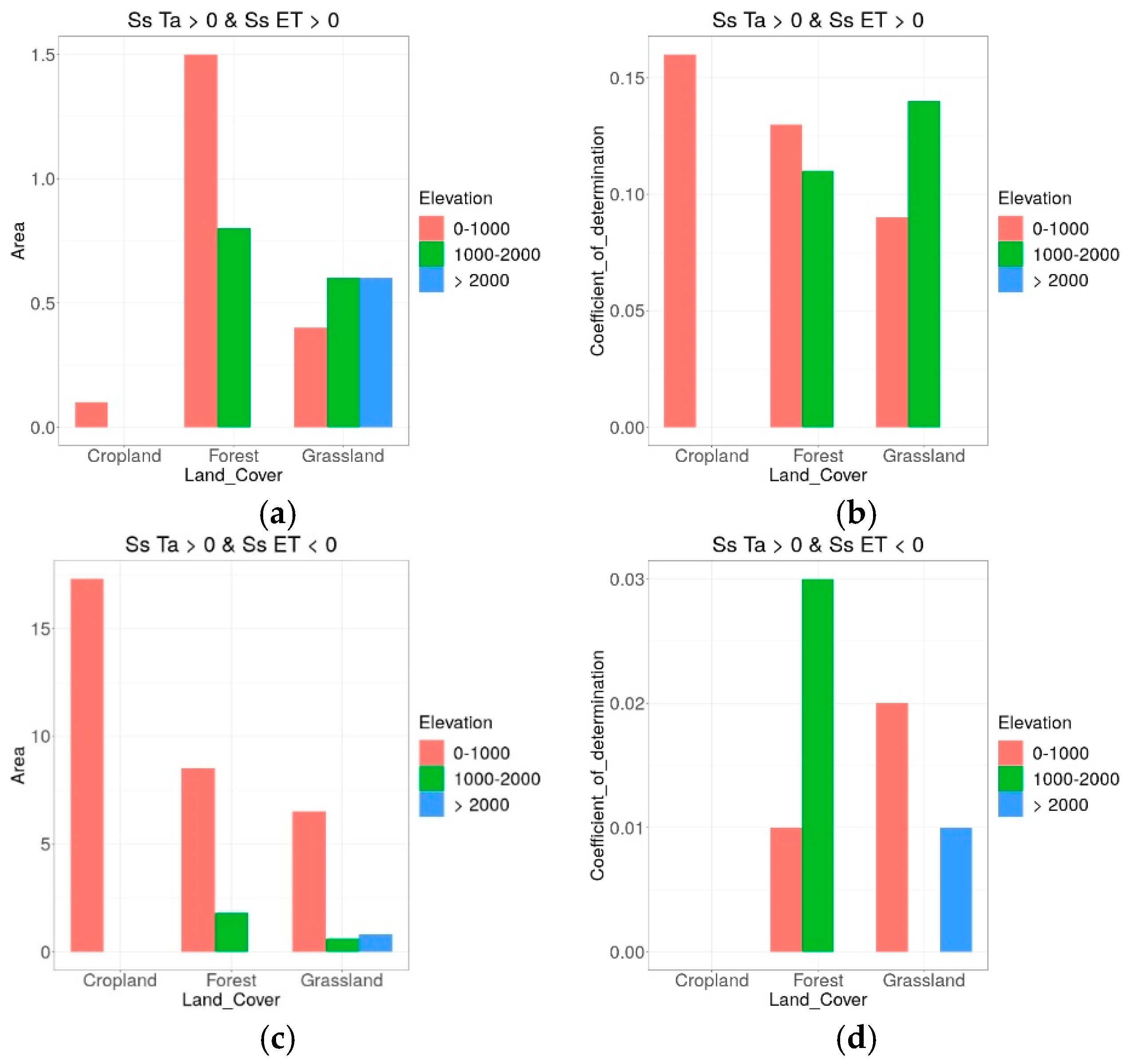
5.9. Analysis of the Impact of Land Cover and Altitude
6. Discussion
- The retrieval algorithms. Both algorithms are based on the Penman–Monteith equation, but MOD16 exploits vapor pressure deficit from climate reanalysis to regulate surface conductance, whereas SSEBop uses the standardized version of the Penman–Monteith equation [85] and calibrates model parameters based on land surface properties derived from satellite data (see point 3 for more details).
- Climate data. Both algorithms use low resolution climate data. In particular, MOD16 uses the GMAO daily meteorological data [27] (including air temperature, incident photosynthetically active radiation, and specific humidity), with an original spatial resolution of 0.5° × 0.6°, spatially smoothed at MODIS pixel level [86]. SSEBop, in contrast, derives climatological daily maximum air temperature from WorldClim [87] (https://www.worldclim.org/data/index.html, accessed on 20 September 2021) and reference evapotranspiration from the daily Global Data Assimilation System (GDAS) dataset [88] (https://www.ncei.noaa.gov/products/weather-climate-models/global-data-assimilation, accessed on 20 September 2021) at a resolution of 100 km, downscaled at 10 km based on the IWMI climatological PET. For SSEBop, the assumption of a static cold boundary derived from climatological air temperature could have an impact on the trends because changes in air temperature are neglected in the estimation of the evaporative fraction.
- Land cover. Both algorithms make strong assumptions regarding the influence of land cover on ET. MOD16 exploits a MODIS-based land cover classification to define biome specific physiological parameters regulating surface conductance to transpiration. These parameters are considered constant over space and time [86], independent of seasonality and geographical region. SSEBop, in contrast, does not explicitly include any land cover classification, but it does exploit land surface characteristics for model parameterizations. Specifically, LST is used to calculate the evaporative fraction, which is regulated by the difference between the observed land surface temperature and the temperature at the cold/wet boundary [24]. The Normalized Vegetation Index (NDVI) is used to choose the cold/wet pixels used to define the conversion coefficient between air temperature and cold boundary temperature. Finally, emissivity and albedo are used to correct low LST values observed over sparsely vegetated surfaces in arid and semi-arid areas.
- The increase of PET had an impact on the decrease of ET in the eastern Alps, suggesting that this region was particularly subjected to an increase in the atmospheric demand of evaporation.
- Trends in LAI were coincident with trends in ET, but there was correlation only for MOD16. LAI is an input of the MOD16 algorithm. This explains the strong correlation between changes in ET and changes in LAI.
- Trends in LST were coincident with trends in ET, but there was correlation only for SSEBop, likely because LST is one main input of the SSEBop algorithm.
- The correlation between trends in tp and Ta and trends in ET was low. Probably, the correlation analysis on areas aggregated by land cover and elevation could not fully catch the heterogeneity of climate across the Alps. Further analysis based on climatic regions could give more insight into the influence of precipitation and temperature on ET. Regarding Ta, MOD16 and SSEBop are based on global reanalysis with very low spatial resolution, which, in contrast to ERA5_Land [90], do not consider the effect of orography on air temperature. This could cause unrealistic spatial patterns in ET and its trends. For example, at high elevation, temperature is generally the factor limiting vegetation growth and transpiration [91,92]; thus, it is expected that the increase in Ta contributed to the increase in ET. However, for both MOD16 and SSEBop, increasing Ta also matched with increasing ET at low elevation, especially over forests, and only for MOD16 high elevation areas covered by forests and grasslands showed more positive than negative ET trends in correspondence with increasing Ta.
- The length of the MODIS timeseries might be insufficient to detect long term trends.
- The low resolution of climate reanalysis data might have affected the attribution of spatially distributed changes in ET to Ta. Higher resolution datasets have been developed only for limited regions, e.g., South Tyrol [93] and Switzerland [94,95,96], and it would be desirable that similar attempts are extended to the entire Alpine region in order to support studies regarding feedbacks between changes in climate and in water availability.
- The two MODIS derived ET products considered in the present work rely on modelling assumptions that can be accepted at large scale but might be too strong for the heterogeneous and topographically complex Alpine region. Strong topographic gradients and heterogeneous landcover impact the spatial patterns of ET by influencing the evaporative demand of the atmosphere and canopy conductance. Consequently, despite the unique value of products easily accessible and covering the entire globe, they must be used with care in certain areas, such as mountainous regions, where underlying hypotheses are likely to be violated. Other available products could be explored, such as PML-2 [97] and FluxCom [22], which were not considered in the present study, to not further reduce the length of the timeseries, being available, respectively, from 2002 to 2017 and from 2001 to 2015.
- The impact of climate and land use changes on LAI was not examined in this study. However, a land cover-specific analysis of the factors affecting LAI, and consequently ET, would be important to explain the potential role of biotic and abiotic controls on the Alpine water balance. Nevertheless, long timeseries of accurate LAI, land cover and ET in the Alps, which would be essential for the reliability of such an analysis, are not yet available.
7. Conclusions
- Positive ET trends in the south-western Alps, both yearly and in the summer months;
- Negative ET trends in the Po valley and in the north-eastern Alps, both on yearly basis and in summer;
- Negative ET trends in the northern Alps in September;
- Predominance of positive trends at high elevations in summer over forests and grasslands;
- Predominance of negative trends at low elevations in summer over grasslands and croplands;
- Concurrence between increasing atmospheric evaporative demand and decreasing ET in the north-eastern Alps;
- Concurrence between vegetation greening (increasing LAI) and positive ET trends over any land cover at any elevation, as well as between browning (decreasing LAI) and negative ET trends over croplands and grasslands at low elevations;
- Concurrence between air and surface warming and ET trends, both positive and negative.
- Potential negative impact of increasing PET in June;
- Potential impact of changes in precipitation in summer, mostly positive from May to July and negative in August and September.
Supplementary Materials
Funding
Data Availability Statement
Conflicts of Interest
References
- Oki, T.; Kanae, S. Global hydrological cycles and world water resources. Science 2006, 313, 1068–1072. [Google Scholar] [CrossRef] [PubMed] [Green Version]
- Forzieri, G.; Alkama, R.; Miralles, D.G.; Cescatti, A. Response to Comment on Satellites reveal contrasting responses of regional climate to the widespread greening of Earth. Science 2018, 360, aap9664. [Google Scholar] [CrossRef] [PubMed] [Green Version]
- Boé, J.; Terray, L. Uncertainties in summer evapotranspiration changes over Europe and implications for regional climate change. Geophys. Res. Lett. 2008, 35, 5702. [Google Scholar] [CrossRef] [Green Version]
- Bonan, G.B. Forests and climate change: Forcings, feedbacks, and the climate benefits of forests. Science 2008, 320, 1444–1449. [Google Scholar] [CrossRef] [Green Version]
- Mastrotheodoros, T.; Pappas, C.; Molnar, P.; Burlando, P.; Manoli, G.; Parajka, J.; Rigon, R.; Szeles, B.; Bottazzi, M.; Hadjidoukas, P.; et al. More green and less blue water in the Alps during warmer summers. Nat. Clim. Chang. 2020, 10, 155–161. [Google Scholar] [CrossRef]
- Anderson, M.C.; Zolin, C.A.; Sentelhas, P.C.; Hain, C.R.; Semmens, K.; Tugrul Yilmaz, M.; Gao, F.; Otkin, J.A.; Tetrault, R. The Evaporative Stress Index as an indicator of agricultural drought in Brazil: An assessment based on crop yield impacts. Remote Sens. Environ. 2016, 174, 82–99. [Google Scholar] [CrossRef]
- Bombelli, G.M.; Soncini, A.; Bianchi, A.; Bocchiola, D. Potentially modified hydropower production under climate change in the Italian Alps. Hydrol. Process. 2019, 33, 2355–2372. [Google Scholar] [CrossRef]
- Schulze, E.-D. The Regulation of Plant Transpiration: Interactions of Feedforward, Feedback, and Futile Cycles. In Flux Control in Biological Systems; Elsevier: Amsterdam, The Netherlands, 1994; pp. 203–235. [Google Scholar]
- Yang, Y.; Anderson, M.; Gao, F.; Hain, C.; Noormets, A.; Sun, G.; Wynne, R.; Thomas, V.; Sun, L. Investigating impacts of drought and disturbance on evapotranspiration over a forested landscape in North Carolina, USA using high spatiotemporal resolution remotely sensed data. Remote Sens. Environ. 2020, 238, 111018. [Google Scholar] [CrossRef]
- Hagg, W.; Braun, L. The Influence of Glacier Retreat on Water Yield from High Mountain Areas: Comparison of Alps and Central Asia. In Climate and Hydrology in Mountain Areas; John Wiley & Sons, Ltd.: Hoboken, NJ, USA, 2006; pp. 261–275. ISBN 0470858141. [Google Scholar]
- Zimmermann, N.E.; Gebetsroither, E.; Züger, J.; Schmatz, D.; Psomas, A. Future Climate of the European Alps. In Management Strategies to Adapt Alpine Space Forests to Climate Change Risks; BoD—Books on Demand: Norderstedt, Germany, 2013. [Google Scholar] [CrossRef] [Green Version]
- Rebetez, M.; Reinhard, M. Monthly air temperature trends in Switzerland 1901–2000 and 1975–2004. Theor. Appl. Climatol. 2008, 91, 27–34. [Google Scholar] [CrossRef] [Green Version]
- Notarnicola, C. Hotspots of snow cover changes in global mountain regions over 2000–2018. Remote Sens. Environ. 2020, 243, 111781. [Google Scholar] [CrossRef]
- Viviroli, D.; Archer, D.R.; Buytaert, W.; Fowler, H.J.; Greenwood, G.B.; Hamlet, A.F.; Huang, Y.; Koboltschnig, G.; Litaor, M.I.; López-Moreno, J.I.; et al. Climate change and mountain water resources: Overview and recommendations for research, management and policy. Hydrol. Earth Syst. Sci. 2011, 15, 471–504. [Google Scholar] [CrossRef] [Green Version]
- Stoy, P.C.; Mauder, M.; Foken, T.; Marcolla, B.; Boegh, E.; Ibrom, A.; Arain, M.A.; Arneth, A.; Aurela, M.; Bernhofer, C.; et al. A data-driven analysis of energy balance closure across FLUXNET research sites: The role of landscape scale heterogeneity. Agric. For. Meteorol. 2013, 171–172, 137–152. [Google Scholar] [CrossRef] [Green Version]
- Anderson, M.C.; Kustas, W.P.; Norman, J.M.; Hain, C.R.; Mecikalski, J.R.; Schultz, L.; González-Dugo, M.P.; Cammalleri, C.; D’Urso, G.; Pimstein, A.; et al. Mapping daily evapotranspiration at field to continental scales using geostationary and polar orbiting satellite imagery. Hydrol. Earth Syst. Sci. 2011, 15, 223–239. [Google Scholar] [CrossRef] [Green Version]
- Guzinski, R.; Nieto, H. Evaluating the feasibility of using Sentinel-2 and Sentinel-3 satellites for high-resolution evapotranspiration estimations. Remote Sens. Environ. 2019, 221, 157–172. [Google Scholar] [CrossRef]
- Senay, G.B.; Bohms, S.; Singh, R.K.; Gowda, P.H.; Velpuri, N.M.; Alemu, H.; Verdin, J.P. Operational Evapotranspiration Mapping Using Remote Sensing and Weather Datasets: A New Parameterization for the SSEB Approach. JAWRA J. Am. Water Resour. Assoc. 2013, 49, 577–591. [Google Scholar] [CrossRef] [Green Version]
- Xu, D.; Agee, E.; Wang, J.; Ivanov, V.Y. Estimation of Evapotranspiration of Amazon Rainforest Using the Maximum Entropy Production Method. Geophys. Res. Lett. 2019, 46, 1402–1412. [Google Scholar] [CrossRef]
- Maselli, F.; Papale, D.; Chiesi, M.; Matteucci, G.; Angeli, L.; Raschi, A.; Seufert, G. Operational monitoring of daily evapotranspiration by the combination of MODIS NDVI and ground meteorological data: Application and evaluation in Central Italy. Remote Sens. Environ. 2014, 152, 279–290. [Google Scholar] [CrossRef]
- Caparrini, F.; Castelli, F.; Entekhabi, D. Mapping of land-atmosphere heat fluxes and surface parameters with remote sensing data. Bound.-Lay. Meteorol. 2003, 107, 605–633. [Google Scholar] [CrossRef]
- Jung, M.; Koirala, S.; Weber, U.; Ichii, K.; Gans, F.; Camps-Valls, G.; Papale, D.; Schwalm, C.; Tramontana, G.; Reichstein, M. The FLUXCOM ensemble of global land-atmosphere energy fluxes. Sci. Data 2019, 6, 74. [Google Scholar] [CrossRef] [PubMed] [Green Version]
- Running, S.W.; Mu, Q.; Zhao, M.; Moreno, A. User’s Guide MODIS Global Terrestrial Evapotranspiration (ET) Product (NASA MOD16A2/A3) NASA Earth Observing System MODIS Land Algorithm. 2017. Available online: https://ladsweb.modaps.eosdis.nasa.gov/missions-and-measurements/modis/MOD16_ET_User-Guide_2017.pdf (accessed on 21 October 2021).
- Senay, G.B.; Kagone, S.; Velpuri, N.M. Operational global actual evapotranspiration: Development, evaluation, and dissemination. Sensors 2020, 20, 1915. [Google Scholar] [CrossRef]
- Elnashar, A.; Wang, L.; Wu, B.; Zhu, W.; Zeng, H. Synthesis of global actual evapotranspiration from 1982 to 2019. Earth Syst. Sci. Data 2021, 13, 447–480. [Google Scholar] [CrossRef]
- Velpuri, N.M.; Senay, G.B.; Singh, R.K.; Bohms, S.; Verdin, J.P. A comprehensive evaluation of two MODIS evapotranspiration products over the conterminous United States: Using point and gridded FLUXNET and water balance ET. Remote Sens. Environ. 2013, 139, 35–49. [Google Scholar] [CrossRef]
- Mu, Q.; Zhao, M.; Running, S.W. Improvements to a MODIS global terrestrial evapotranspiration algorithm. Remote Sens. Environ. 2011, 115, 1781–1800. [Google Scholar] [CrossRef]
- Abiodun, O.O.; Guan, H.; Post, V.E.A.; Batelaan, O. Comparison of MODIS and SWAT evapotranspiration over a complex terrain at different spatial scales. Hydrol. Earth Syst. Sci 2018, 22, 2775–2794. [Google Scholar] [CrossRef] [Green Version]
- Ruhoff, A.L.; Paz, A.R.; Aragao, L.E.O.C.; Mu, Q.; Malhi, Y.; Collischonn, W.; Rocha, H.R.; Running, S.W. Assessment of the MODIS global evapotranspiration algorithm using eddy covariance measurements and hydrological modelling in the Rio Grande basin. Hydrol. Sci. J. 2013, 58, 1658–1676. [Google Scholar] [CrossRef]
- Zhang, Y.; Peña-Arancibia, J.L.; McVicar, T.R.; Chiew, F.H.S.; Vaze, J.; Liu, C.; Lu, X.; Zheng, H.; Wang, Y.; Liu, Y.Y.; et al. Multi-decadal trends in global terrestrial evapotranspiration and its components. Sci. Rep. 2016, 6, 19124. [Google Scholar] [CrossRef] [PubMed] [Green Version]
- Hobeichi, S.; Abramowitz, G.; Evans, J. Robust historical evapotranspiration trends across climate regimes. Hydrol. Earth Syst. Sci. Discuss. 2020, 1–32. [Google Scholar] [CrossRef]
- Pan, S.; Pan, N.; Tian, H.; Friedlingstein, P.; Sitch, S.; Shi, H.; Arora, V.K.; Haverd, V.; Jain, A.K.; Kato, E.; et al. Evaluation of global terrestrial evapotranspiration using state-of-the-art approaches in remote sensing, machine learning and land surface modeling. Hydrol. Earth Syst. Sci. 2020, 24, 1485–1509. [Google Scholar] [CrossRef] [Green Version]
- Zhang, K.; Kimball, J.S.; Nemani, R.R.; Running, S.W.; Hong, Y.; Gourley, J.J.; Yu, Z. Vegetation Greening and Climate Change Promote Multidecadal Rises of Global Land Evapotranspiration. Sci. Rep. 2015, 5, 15956. [Google Scholar] [CrossRef]
- Duethmann, D.; Blöschl, G. Why has catchment evaporation increased in the past 40 years? A data-based study in Austria. Hydrol. Earth Syst. Sci 2018, 22, 5143–5158. [Google Scholar] [CrossRef] [Green Version]
- Bakke, S.J.; Ionita, M.; Tallaksen, L.M. The 2018 northern European hydrological drought and its drivers in a historical perspective. Hydrol. Earth Syst. Sci. 2020, 24, 5621–5653. [Google Scholar] [CrossRef]
- Ionita, M.; Tallaksen, L.M.; Kingston, D.G.; Stagge, J.H.; Laaha, G.; Van Lanen, H.A.J.; Scholz, P.; Chelcea, S.M.; Haslinger, K. The European 2015 drought from a climatological perspective. Hydrol. Earth Syst. Sci 2017, 21, 1397–1419. [Google Scholar] [CrossRef] [Green Version]
- Schär, C.; Vidale, P.L.; Lüthi, D.; Frei, C.; Häberli, C.; Liniger, M.A.; Appenzeller, C. The role of increasing temperature variability in European summer heatwaves. Nature 2004, 427, 332–336. [Google Scholar] [CrossRef] [PubMed]
- Jasper, K.; Calanca, P.; Fuhrer, J. Changes in summertime soil water patterns in complex terrain due to climatic change. J. Hydrol. 2006, 327, 550–563. [Google Scholar] [CrossRef]
- Auer, I.; Böhm, R.; Jurkovic, A.; Lipa, W.; Orlik, A.; Potzmann, R.; Schöner, W.; Ungersböck, M.; Matulla, C.; Briffa, K.; et al. HISTALP—historical instrumental climatological surface time series of the Greater Alpine Region. Int. J. Climatol. 2007, 27, 17–46. [Google Scholar] [CrossRef]
- Jasper, K.; Calanca, P.; Roesch, A.; Wild, M. Global Warming and the Summertime Evapotranspiration Regime of the Alpine Region. Clim. Chang. 2006, 79, 65–78. [Google Scholar] [CrossRef]
- Asam, S.; Callegari, M.; Matiu, M.; Fiore, G.; De Gregorio, L.; Jacob, A.; Menzel, A.; Zebisch, M.; Notarnicola, C. Relationship between Spatiotemporal Variations of Climate, Snow Cover and Plant Phenology over the Alps—An Earth Observation-Based Analysis. Remote Sens. 2018, 10, 1757. [Google Scholar] [CrossRef] [Green Version]
- Filippa, G.; Cremonese, E.; Galvagno, M.; Isabellon, M.; Bayle, A.; Choler, P.; Carlson, B.Z.; Gabellani, S.; Morra Di Cella, U.; Migliavacca, M. Climatic Drivers of Greening Trends in the Alps. Remote Sens. 2019, 11, 2527. [Google Scholar] [CrossRef] [Green Version]
- Carlson, B.Z.; Corona, M.C.; Dentant, C.; Bonet, R.; Thuiller, W.; Choler, P. Observed long-term greening of alpine vegetation—a case study in the French Alps. Environ. Res. Lett. 2017, 12, 114006. [Google Scholar] [CrossRef]
- Pettorelli, N.; Vik, J.O.; Mysterud, A.; Gaillard, J.M.; Tucker, C.J.; Stenseth, N.C. Using the satellite-derived NDVI to assess ecological responses to environmental change. Trends Ecol. Evol. 2005, 20, 503–510. [Google Scholar] [CrossRef]
- Bebi, P.; Seidl, R.; Motta, R.; Fuhr, M.; Firm, D.; Krumm, F.; Conedera, M.; Ginzler, C.; Wohlgemuth, T.; Kulakowski, D. Changes of forest cover and disturbance regimes in the mountain forests of the Alps. For. Ecol. Manag. 2017, 388, 43–56. [Google Scholar] [CrossRef] [PubMed] [Green Version]
- Briner, S.; Elkin, C.; Huber, R. Evaluating the relative impact of climate and economic changes on forest and agricultural ecosystem services in mountain regions. J. Environ. Manag. 2013, 129, 414–422. [Google Scholar] [CrossRef] [PubMed]
- Jäger, H.; Peratoner, G.; Tappeiner, U.; Tasser, E. Grassland biomass balance in the European Alps: Current and future ecosystem service perspectives. Ecosyst. Serv. 2020, 45, 101163. [Google Scholar] [CrossRef]
- Forzieri, G.; Alkama, R.; Miralles, D.G.; Cescatti, A. Satellites reveal contrasting responses of regional climate to the widespread greening of Earth. Science 2017, 356, 1180–1184. [Google Scholar] [CrossRef] [Green Version]
- Cammalleri, C.; Vogt, J. On the Role of Land Surface Temperature as Proxy of Soil Moisture Status for Drought Monitoring in Europe. Remote Sens. 2015, 7, 16849–16864. [Google Scholar] [CrossRef] [Green Version]
- Crow, W.T.; Kustas, W.P.; Prueger, J.H. Monitoring root-zone soil moisture through the assimilation of a thermal remote sensing-based soil moisture proxy into a water balance model. Remote Sens. Environ. 2008, 112, 1268–1281. [Google Scholar] [CrossRef]
- Singh, S.; Bhardwaj, A.; Singh, A.; Sam, L.; Shekhar, M.; Martín-Torres, F.J.; Zorzano, M.-P. Quantifying the Congruence between Air and Land Surface Temperatures for Various Climatic and Elevation Zones of Western Himalaya. Remote Sens. 2019, 11, 2889. [Google Scholar] [CrossRef] [Green Version]
- Scherrer, S.C. Temperature monitoring in mountain regions using reanalyses: Lessons from the Alps. Environ. Res. Lett. 2020, 15. [Google Scholar] [CrossRef]
- EUSALP—EU Strategy for the Alpine Region | EUSALP. Available online: https://www.alpine-region.eu/eusalp-eu-strategy-alpine-region (accessed on 28 August 2020).
- ENSEMBLE. Climate Change and Its Impacts: Summary of Research and Results from the ENSEMBLES Project; van der Linden, P., Mitchell, J.F.B., Eds.; 2009; Available online: http://ensembles-eu.metoffice.com/docs/Ensembles_final_report_Nov09.pdf (accessed on 21 October 2021).
- Briffa, K.R.; van der Schrier, G.; Jones, P.D. Wet and dry summers in Europe since 1750: Evidence of increasing drought. Int. J. Climatol. 2009, 29, 1894–1905. [Google Scholar] [CrossRef]
- Sheffield, J.; Wood, E.F. Projected changes in drought occurrence under future global warming from multi-model, multi-scenario, IPCC AR4 simulations. Clim. Dyn. 2007, 31, 79–105. [Google Scholar] [CrossRef]
- Viviroli, D.; Dürr, H.H.; Messerli, B.; Meybeck, M.; Weingartner, R. Mountains of the world, water towers for humanity: Typology, mapping, and global significance. Water Resour. Res. 2007, 43, 7447. [Google Scholar] [CrossRef] [Green Version]
- Sommer, C.; Malz, P.; Seehaus, T.C.; Lippl, S.; Zemp, M.; Braun, M.H. Rapid glacier retreat and downwasting throughout the European Alps in the early 21st century. Nat. Commun. 2020, 11, 3209. [Google Scholar] [CrossRef] [PubMed]
- Matiu, M.; Crespi, A.; Bertoldi, G.; Maria Carmagnola, C.; Marty, C.; Morin, S.; Schöner, W.; Cat Berro, D.; Chiogna, G.; De Gregorio, L.; et al. Observed snow depth trends in the European Alps: 1971 to 2019. Cryosphere 2021, 15, 1343–1382. [Google Scholar] [CrossRef]
- Zorn, M.; Komac, B.; Carrey, A.; Hrvatin, M.; Ciglič, R.; Lyons, B. The disappearing cryosphere in the southeastern Alps: Introduction to special issue. Acta Geogr. Slov. 2020, 60, 109–124. [Google Scholar] [CrossRef]
- Mu, Q.; Heinsch, F.A.; Zhao, M.; Running, S.W. Development of a global evapotranspiration algorithm based on MODIS and global meteorology data. Remote Sens. Environ. 2007, 111, 519–536. [Google Scholar] [CrossRef]
- Priestley, C.H.B.; Taylor, R.J. On the Assessment of Surface Heat Flux and Evaporation Using Large-Scale Parameters. Mon. Weather Rev. 1972, 100, 81–92. Available online: https://journals.ametsoc.org/view/journals/mwre/100/2/1520-0493_1972_100_0081_otaosh_2_3_co_2.xml (accessed on 29 April 2021). [CrossRef]
- Zhao, M.; Heinsch, F.A.; Nemani, R.R.; Running, S.W. Improvements of the MODIS terrestrial gross and net primary production global data set. Remote Sens. Environ. 2005, 95, 164–176. [Google Scholar] [CrossRef]
- Myneni, R.B.; Hoffman, S.; Knyazikhin, Y.; Privette, J.L.; Glassy, J.; Tian, Y.; Wang, Y.; Song, X.; Zhang, Y.; Smith, G.R.; et al. Global Products of Vegetation Leaf Area and Fraction Absorbed PAR from Year One of MODIS Data. 2002. NASA Publications. 39. Available online: https://digitalcommons.unl.edu/nasapub/39 (accessed on 21 October 2021).
- Atzberger, C.; Eilers, P.H. A time series for monitoring vegetation activity and phenology at 10-daily time steps covering large parts of South America Determining the current and potential extent of the Prosopis invasion in East Africa. Artic. Int. J. Digit. Earth 2011, 4, 365–386. [Google Scholar] [CrossRef]
- Kandasamy, S.; Baret, F.; Verger, A.; Neveux, P.; Weiss, M. A comparison of methods for smoothing and gap filling time series of remote sensing observations—Application to MODIS LAI products. Biogeosciences 2013, 10, 4055–4071. [Google Scholar] [CrossRef] [Green Version]
- Scheifinger, H. Plant Phenology of the European Alps. In Oxford Research Encyclopedia of Climate Science; Oxford University Press: Oxford, UK, 2021. [Google Scholar] [CrossRef]
- Wan, Z. Collection-6 MODIS Land Surface Temperature Products Users’ Guide. 2013. Available online: https://lpdaac.usgs.gov/documents/118/MOD11_User_Guide_V6.pdf (accessed on 21 October 2021).
- Muñoz Sabater, J. ERA5-Land Monthly Averaged Data from 1981 to Present. Copernicus Climate Change Service (C3S) Climate Data Store (CDS). 2019. Available online: https://cds.climate.copernicus.eu/cdsapp#!/dataset/reanalysis-era5-land-monthly-means?tab=overview (accessed on 4 April 2021). [CrossRef]
- Beck, H.E.; Wood, E.F.; Pan, M.; Fisher, C.K.; Miralles, D.G.; van Dijk, A.I.J.M.; McVicar, T.R.; Adler, R.F. MSWEP V2 Global 3-Hourly 0.1° Precipitation: Methodology and Quantitative Assessment. Bull. Am. Meteorol. Soc. 2019, 100, 473–500. [Google Scholar] [CrossRef] [Green Version]
- Sharifi, E.; Eitzinger, J.; Dorigo, W. Performance of the State-Of-The-Art Gridded Precipitation Products over Mountainous Terrain: A Regional Study over Austria. Remote Sens. 2019, 11, 2018. [Google Scholar] [CrossRef] [Green Version]
- Brocca, L.; Filippucci, P.; Hahn, S.; Ciabatta, L.; Massari, C.; Camici, S.; Schüller, L.; Bojkov, B.; Wagner, W. SM2RAIN-ASCAT (2007–2018): Global daily satellite rainfall from ASCAT soil moisture. Earth Syst. Sci. Data 2019, 11, 1583–1601. [Google Scholar] [CrossRef] [Green Version]
- Huffman, G.J.; Bolvin, D.T.; Nelkin, E.J.; Tan, J. Integrated Multi-SatellitE Retrievals for GPM (IMERG) Technical Documentation. 2019. Available online: https://gpm.nasa.gov/sites/default/files/document_files/IMERG_doc_190909.pdf (accessed on 21 October 2021).
- Pastorello, G.; Trotta, C.; Canfora, E.; Chu, H.; Christianson, D.; Cheah, Y.W.; Poindexter, C.; Chen, J.; Elbashandy, A.; Humphrey, M.; et al. The FLUXNET2015 dataset and the ONEFlux processing pipeline for eddy covariance data. Sci. Data 2020, 7, 225. [Google Scholar] [CrossRef]
- Maidment, D.R. Handbook of Hydrology; McGraw-Hill: New York, NY, USA, 1993; Volume 9780070, ISBN 0071711775. [Google Scholar]
- Asuero, A.G.; Sayago, A.; González, A.G. The Correlation Coefficient: An Overview. Crit. Rev. Anal. Chem. 2006, 36, 41–59. [Google Scholar] [CrossRef]
- Willmott, C.J.; Matsuura, K. Advantages of the mean absolute error (MAE) over the root mean square error (RMSE) in assessing average model performance. Clim. Res. Clim Res 2005, 30, 79–82. [Google Scholar] [CrossRef]
- Gocic, M.; Trajkovic, S. Analysis of changes in meteorological variables using Mann-Kendall and Sen’s slope estimator statistical tests in Serbia. Glob. Planet. Chang. 2013, 100, 172–182. [Google Scholar] [CrossRef]
- Sen, P.K. Estimates of the Regression Coefficient Based on Kendall’s Tau. J. Am. Stat. Assoc. 1968, 63, 1379–1389. [Google Scholar] [CrossRef]
- Yue, S.; Pilon, P.; Phinney, B.; Cavadias, G. The influence of autocorrelation on the ability to detect trend in hydrological series. Hydrol. Process. 2002, 16, 1807–1829. [Google Scholar] [CrossRef]
- EU-DEM v1.1—Copernicus Land Monitoring Service. Available online: https://land.copernicus.eu/imagery-in-situ/eu-dem/eu-dem-v1.1 (accessed on 2 September 2021).
- Sulla-Menashe, D.; Friedl, M.A. User Guide to Collection 6 MODIS Land Cover (MCD12Q1 and MCD12C1) Product. 2018. Available online: https://lpdaac.usgs.gov/products/mcd12q1v006/ (accessed on 24 August 2021). [CrossRef]
- Core R Team. A Language and Environment for Statistical Computing; R Foundation for Statistical Computing: Vienna, Austria, 2019; Available online: https://www.r-project.org/ (accessed on 26 October 2021).
- Mu, Q.; Zhao, M.; Running, S.W. MODIS Global Terrestrial Evapotranspiration (ET) Product. 2013. Available online: https://modis-land.gsfc.nasa.gov/pdf/MOD16ATBD.pdf (accessed on 26 October 2021).
- Allen, R.G.; Pereira, L.S. Crop Evapotranspiration (Guidelines for Computing Crop Water Requirements). Crop Evapotranspiration—Guidelines for Computing Crop Water Requirements—FAO Irrigation and Drainage Paper 56. Available online: http://www.fao.org/docrep/x0490e/x0490e00.htm (accessed on 21 October 2021).
- MOD16 Algorithm Theoretical Basis Document (ATBD). Available online: https://lpdaac.usgs.gov/documents/93/MOD16_ATBD.pdf (accessed on 28 August 2020).
- Fick, S.E.; Hijmans, R.J. WorldClim 2: New 1-km spatial resolution climate surfaces for global land areas. Int. J. Climatol. 2017, 37, 4302–4315. [Google Scholar] [CrossRef]
- Senay, G.B.; Verdin, J.P.; Lietzow, R.; Melesse, A.M. Global Daily Reference Evapotranspiration Modeling and Evaluation1. JAWRA J. Am. Water Resour. Assoc. 2008, 44, 969–979. [Google Scholar] [CrossRef]
- Trnka, M.; Balek, J.; Štěpánek, P.; Zahradníček, P.; Možný, M.; Eitzinger, J.; Žalud, Z.; Formayer, H.; Turňa, M.; Nejedlík, P.; et al. Drought trends over part of Central Europe between 1961 and 2014. Clim. Res. 2016, 70, 143–160. [Google Scholar] [CrossRef] [Green Version]
- Muñoz-Sabater, J.; Dutra, E.; Agustí-Panareda, A.; Albergel, C.; Arduini, G.; Balsamo, G.; Boussetta, S.; Choulga, M.; Harrigan, S.; Hersbach, H.; et al. ERA5-Land: A state-of-the-art global reanalysis dataset for land applications. Earth Syst. Sci. Data 2021, 13, 4349–4384. [Google Scholar] [CrossRef]
- Mastrotheodoros, T.; Pappas, C.; Molnar, P.; Burlando, P.; Hadjidoukas, P.; Fatichi, S. Ecohydrological dynamics in the Alps: Insights from a modelling analysis of the spatial variability. Ecohydrology 2019, 12. [Google Scholar] [CrossRef] [Green Version]
- Winkler, D.E.; Lubetkin, K.C.; Carrell, A.A.; Jabis, M.D.; Yang, Y.; Kueppers, L.M. Responses of alpine plant communities to climate warming. In Ecosystem Consequences of Soil Warming: Microbes, Vegetation, Fauna and Soil Biogeochemistry; Elsevier: Amsterdam, The Netherlands, 2019; pp. 297–346. ISBN 9780128134948. [Google Scholar]
- Crespi, A.; Matiu, M.; Bertoldi, G.; Petitta, M.; Zebisch, M. A high-resolution gridded dataset of daily temperature and precipitation records (1980–2018) for Trentino—South Tyrol (north-eastern Italian Alps). Earth Syst. Sci. Data Discuss. 2021, 13, 2801–2818. [Google Scholar] [CrossRef]
- Begert, M.; Frei, C. Long-term area-mean temperature series for Switzerland—Combining homogenized station data and high resolution grid data. Int. J. Climatol. 2018, 38, 2792–2807. [Google Scholar] [CrossRef] [Green Version]
- Hiebl, J.; Frei, C. Daily temperature grids for Austria since 1961—Concept, creation and applicability. Theor. Appl. Climatol. 2016, 124, 161–178. [Google Scholar] [CrossRef]
- Hiebl, J.; Frei, C. Daily precipitation grids for Austria since 1961—Development and evaluation of a spatial dataset for hydroclimatic monitoring and modelling. Theor. Appl. Climatol. 2018, 132, 327–345. [Google Scholar] [CrossRef]
- Zhang, Y.; Kong, D.; Gan, R.; Chiew, F.H.S.; McVicar, T.R.; Zhang, Q.; Yang, Y. Coupled estimation of 500 m and 8-day resolution global evapotranspiration and gross primary production in 2002–2017. Remote Sens. Environ. 2019, 222, 165–182. [Google Scholar] [CrossRef]
- Srivastava, A.; Sahoo, B.; Raghuwanshi, N.S.; Singh, R. Evaluation of Variable-Infiltration Capacity Model and MODIS-Terra Satellite-Derived Grid-Scale Evapotranspiration Estimates in a River Basin with Tropical Monsoon-Type Climatology. J. Irrig. Drain. Eng. 2017, 143, 04017028. [Google Scholar] [CrossRef] [Green Version]
- Ramoelo, A.; Majozi, N.; Mathieu, R.; Jovanovic, N.; Nickless, A.; Dzikiti, S. Validation of Global Evapotranspiration Product (MOD16) using Flux Tower Data in the African Savanna, South Africa. Remote Sens. 2014, 6, 7406–7423. [Google Scholar] [CrossRef] [Green Version]
- Aguilar, A.L.; Flores, H.; Crespo, G.; Marín, M.I.; Campos, I.; Calera, A. Performance Assessment of MOD16 in Evapotranspiration Evaluation in Northwestern Mexico. Water 2018, 10, 901. [Google Scholar] [CrossRef] [Green Version]
- Lopes, J.D.; Rodrigues, L.N.; Imbuzeiro, H.M.A.; Pruski, F.F. Performance of SSEBop model for estimating wheat actual evapotranspiration in the Brazilian Savannah region. Int. J. Remote Sens. 2019, 40, 6930–6947. [Google Scholar] [CrossRef]
- Yin, L.; Wang, X.; Feng, X.; Fu, B.; Chen, Y. A Comparison of SSEBop-Model-Based Evapotranspiration with Eight Evapotranspiration Products in the Yellow River Basin, China. Remote Sens. 2020, 12, 2528. [Google Scholar] [CrossRef]
- Kumari, N.; Srivastava, A.; Dumka, U.C. A Long-Term Spatiotemporal Analysis of Vegetation Greenness over the Himalayan Region Using Google Earth Engine. Climate 2021, 9, 109. [Google Scholar] [CrossRef]
- Mallucci, S.; Majone, B.; Bellin, A. Detection and attribution of hydrological changes in a large Alpine river basin. J. Hydrol. 2019, 575, 1214–1229. [Google Scholar] [CrossRef]
- Birsan, M.V.; Molnar, P.; Burlando, P.; Pfaundler, M. Streamflow trends in Switzerland. J. Hydrol. 2005, 314, 312–329. [Google Scholar] [CrossRef]
- Kormann, C.; Francke, T.; Renner, M.; Bronstert, A. Attribution of high resolution streamflow trends in Western Austria—An approach based on climate and discharge station data. Hydrol. Earth Syst. Sci. 2015, 19, 1225–1245. [Google Scholar] [CrossRef] [Green Version]
- Zappa, M.; Kan, C. Extreme heat and runoff extremes in the Swiss Alps. Nat. Hazards Earth Syst. Sci. 2007, 7, 375–389. [Google Scholar] [CrossRef] [Green Version]
- Pal, J.S.; Giorgi, F.; Bi, X. Consistency of recent European summer precipitation trends and extremes with future regional climate projections. Geophys. Res. Lett. 2004, 31. Available online: https://agupubs.onlinelibrary.wiley.com/doi/full/10.1029/2004GL019836 (accessed on 26 October 2021). [CrossRef]
- Hanzer, F.; Förster, K.; Nemec, J.; Strasser, U. Projected cryospheric and hydrological impacts of 21st century climate change in the Ötztal Alps (Austria) simulated using a physically based approach. Hydrol. Earth Syst. Sci. 2018, 22, 1593–1614. [Google Scholar] [CrossRef] [Green Version]
- Jacob, D.; Petersen, J.; Eggert, B.; Alias, A.; Christensen, O.B.; Bouwer, L.M.; Braun, A.; Colette, A.; Déqué, M.; Georgievski, G.; et al. EURO-CORDEX: New high-resolution climate change projections for European impact research. Reg. Environ. Chang. 2014, 14, 563–578. [Google Scholar] [CrossRef]
- Kaiser-Weiss, A.K.; Borsche, M.; Niermann, D.; Kaspar, F.; Lussana, C.; Isotta, F.A.; van den Besselaar, E.; van der Schrier, G.; Undén, P. Added value of regional reanalyses for climatological applications. Environ. Res. Commun. 2019, 1, 071004. [Google Scholar] [CrossRef]
- Gascon, F.; Ramoino, F.; Deanos, Y.-L. Sentinel-2 Data Exploitation with ESA’s Sentinel-2 Toolbox. 2017, p. 19548. Available online: https://ui.adsabs.harvard.edu/abs/2017EGUGA..1919548G/abstract (accessed on 21 October 2021).
- Nieto, H.; Kustas, W.P.; Torres-Rúa, A.; Alfieri, J.G.; Gao, F.; Anderson, M.C.; White, W.A.; Song, L.; del Mar Alsina, M.; Prueger, J.H.; et al. Evaluation of TSEB turbulent fluxes using different methods for the retrieval of soil and canopy component temperatures from UAV thermal and multispectral imagery. Irrig. Sci. 2019, 37, 389–406. [Google Scholar] [CrossRef] [Green Version]
- Castelli, M.; Anderson, M.C.; Yang, Y.; Wohlfahrt, G.; Bertoldi, G.; Niedrist, G.; Hammerle, A.; Zhao, P.; Zebisch, M.; Notarnicola, C. Two-source energy balance modeling of evapotranspiration in Alpine grasslands. Remote Sens. Environ. 2018, 209, 327–342. [Google Scholar] [CrossRef]
- Gao, F.; Kustas, W.; Anderson, M. A Data Mining Approach for Sharpening Thermal Satellite Imagery over Land. Remote Sens. 2012, 4, 3287–3319. [Google Scholar] [CrossRef] [Green Version]
- Bartkowiak, P.; Castelli, M.; Notarnicola, C. Downscaling land surface temperature from MODIS dataset with random forest approach over alpine vegetated areas. Remote Sens. 2019, 11, 1319. [Google Scholar] [CrossRef] [Green Version]
- Hulley, G.; Hook, S.; Fisher, J.; Lee, C. ECOSTRESS, A NASA Earth-Ventures Instrument for studying links between the water cycle and plant health over the diurnal cycle. In Proceedings of the International Geoscience and Remote Sensing Symposium (IGARSS), Fort Worth, TX, USA, 23–28 July 2017; Institute of Electrical and Electronics Engineers Inc.: Piscataway, NJ, USA, 2017; pp. 5494–5496. [Google Scholar] [CrossRef]
- Koetz, B.; Bastiaanssen, W.; Berger, M.; Defourney, P.; Bello, U.D.; Drusch, M.; Drinkwater, M.; Duca, R.; Fernandez, V.; Ghent, D.; et al. High spatio-temporal resolution land surface temperature mission—A copernicus candidate mission in support of agricultural monitoring. In Proceedings of the International Geoscience and Remote Sensing Symposium (IGARSS), Valencia, Spain, 22–27 July 2018; Institute of Electrical and Electronics Engineers Inc.: Piscataway, NJ, USA, 2018; pp. 8160–8162. [Google Scholar] [CrossRef]



















| Site Code | Lat | Long | Elevation (m a.s.l.) | Years | Vegetation Type |
|---|---|---|---|---|---|
| AT-Neu | 47.1167 | 11.3175 | 970 | 2002–2012 | GRA |
| CH-Cha | 47.2102 | 8.4104 | 393 | 2005–2014 | GRA |
| CH-Dav | 46.8153 | 9.8559 | 1639 | 2005–2014 | ENF |
| CH-Fru | 47.1158 | 8.5378 | 982 | 2005–2014 | GRA |
| IT-Lav | 45.9562 | 11.2813 | 1353 | 2003–2014 | ENF |
| IT-MBo | 46.0147 | 11.0458 | 1550 | 2003–2013 | GRA |
| IT-Ren | 46.5869 | 11.4337 | 1730 | 2002–2013 | ENF |
| IT-Tor | 45.8444 | 7.5781 | 2160 | 2008–2014 | GRA |
| Site Code | MBD 1d (mm day−1) MOD16/SSEBop | RMSE 1d (mm day−1) MOD16/SSEBop | MAE % (-) MOD16/SSEBop | r (-) MOD16/SSEBop |
|---|---|---|---|---|
| AT-Neu | −1.04/−1.01 | 1.38/1.29 | 32.66/39.85 | 0.74/0.76 |
| CH-Cha | −1.07/−1.80 | 1.56/2.04 | 26.16/54.48 | 0.72/0.76 |
| CH-Dav | −2.36/−2.52 | 2.64/2.69 | 54.28/63.12 | 0.51/0.60 |
| CH-Fru | −0.78/−1.46 | 1.25/1.74 | 25.58/46.31 | 0.71/0.68 |
| IT-Lav | −0.62/−0.73 | 0.90/0.96 | 26.36/31.64 | 0.71/0.72 |
| IT-MBo | −0.31/−1.05 | 0.84/1.30 | 24.04/46.17 | 0.78/0.74 |
| IT-Ren | −0.89/0.07 | 1.2/0.69 | 33.04/26.63 | 0.76/0.83 |
| IT-Tor | −0.87/−0.54 | 1.16/0.99 | 31.32/60.09 | 0.83/0.79 |
| Site Code | Elevation | Years | Vegetation | r2 LAI | r2 LST | r2 PET | r2 tp | r2 Ta |
|---|---|---|---|---|---|---|---|---|
| CH-Cha | 393 | 2005–2014 | GRA | 0.34 | 0.38 | - | - | - |
| AT-Neu | 970 | 2002–2012 | GRA | - | - | 0.1 | 0.11 | - |
| CH-Fru | 982 | 2005–2014 | GRA | 0.24 | - | 0.1 | - | 0.3 |
| IT-MBo | 1550 | 2003–2013 | GRA | 0.21 | 0.37 | 0.23 | - | - |
| IT-Tor | 2160 | 2008–2014 | GRA | - | 0.46 | 0.29 | - | 0.33 |
| IT-Lav | 1353 | 2003–2014 | ENF | 0.15 (r < 0) | - | - | - | - |
| CH-Dav | 1639 | 2005–2014 | ENF | - | - | 0.13 (r < 0) | 0.21 (r < 0) | - |
| IT-Ren | 1730 | 2002–2013 | ENF | - | - | - | - | - |
| Covariate | r2 Grassland | r2 Forest |
|---|---|---|
| Ta | 0.57 *** | 0.07 |
| tp | 0.17 ** | 0.46 *** |
| LAI | 0.21 ** | 0.19 * (r < 0) |
| LST | 0.72 *** | - |
| PET | 0.12 * | 0.28 ** (r < 0) |
| Slope | Apr | May | Jun | Jul | Aug | Sep | Oct |
|---|---|---|---|---|---|---|---|
| Ss MOD16 > 0 | 0.2 | 5.0 | 11.3 | 9.1 | 5.7 | 4.7 | 0.5 |
| Ss MOD16 < 0 | 0.6 | 0.1 | 1.3 | 2.7 | 1.2 | 2.4 | 0.3 |
| Ss SSEBop > 0 | 2.8 | 2.5 | 3.3 | 2.1 | 2.9 | 1.1 | 1.4 |
| Ss SSEBop < 0 | 4.1 | 4.3 | 4.0 | 7.6 | 6.6 | 12.9 | 5.5 |
| Ss PET > 0 | 0.1 | 0.0 | 7.4 | 0.4 | 0.6 | 0.2 | 0.1 |
| Ss PET < 0 | 0.0 | 0.1 | 0.0 | 0.1 | 0.0 | 0.0 | 0.0 |
| Ss tp > 0 | 0.1 | 2.8 | 1.2 | 4.2 | 0.1 | 0.6 | 5.4 |
| Ss tp < 0 | 0.0 | 0.0 | 0.5 | 0.4 | 15.7 | 3.1 | 0.0 |
| Trend, t | r2 | % Area | % Alps | ||
|---|---|---|---|---|---|
| tET_M > 0, tPET > 0 | 0.26 | 4.5 | 0.7 | 1.55 ± 0.02 | 1.38 ± 1.4 |
| tET_S < 0, tPET > 0 | 0.02 | 4.0 | 0.6 | −0.15 ± 0.01 | 0.19 ± 0.17 |
| tET_M > 0, tLAI > 0 | 0.06 | 50.9 | 8.4 | 0.10 ± 0.00 | 0.15 ± 0.15 |
| tET_M < 0, tLAI < 0 | 0.14 | 17.3 | 0.2 | 0.16 ± 0.01 | 0.19 ± 0.20 |
| tET_S > 0, tLAI > 0 | 0.01 | 51.1 | 2.1 | –0.05 ± 0.00 | −0.06 ± 0.06 |
| tET_S < 0, tLAI < 0 | 0.05 | 1.2 | 0.2 | −0.07 ± 0.01 | −0.09 ± 0.08 |
| tET_M > 0, ttp > 0 | 0.09 | 6.3 | 1.0 | 0.10 ± 0.00 | 0.54 ± 0.55 |
| tET_M < 0, ttp < 0 | 0.02 | 3.6 | 0.0 | 0.09 ± 0.02 | 0.24 ± 0.30 |
| tET_S < 0, ttp < 0 | 0.10 | 4.7 | 0.7 | −0.21 ± 0.01 | −0.45 ± 0.46 |
| tET_M > 0, tTa > 0 | 0.02 | 76.9 | 12.8 | −23.7 ± 0.39 | −0.38 ± 0.39 |
| tET_S > 0, tTa > 0 | 0.16 | 76.3 | 3.3 | −95.28 ± 1.09 | 1.35 ± 1.36 |
| tET_S < 0, tLST > 0 | 0.15 | 83.2 | 12.8 | −15.89 ± 0.08 | 0.49 ± 0.48 |
| Dataset | Trend, t | r2 | % Area | ||
|---|---|---|---|---|---|
| MOD16 June | tET < 0, tPET > 0 | 0.07 | 18.8 | 0.69 ± 0.04 | −0.64 ± 0.04 |
| SSEBop June | tET < 0, tPET > 0 | 0.03 | 17.0 | −0.33 ± 0.02 | 0.34 ± 0.02 |
| MOD16 July | tET > 0, tPET > 0 | 0.27 | 1.5 | 1.51 ± 0.05 | 0.67 ± 0.02 |
| SSEBop July | tET < 0, tPET > 0 | 0.15 | 0.4 | −0.45 ± 0.05 | 0.39 ± 0.04 |
| MOD16 August | tET > 0, tPET > 0 | 0.14 | 1.0 | 1.01 ± 0.07 | 0.53 ± 0.04 |
| MOD16 August | tET < 0, tPET > 0 | 0.10 | 2.8 | −0.77 ± 0.09 | 0.72 ± 0.08 |
Publisher’s Note: MDPI stays neutral with regard to jurisdictional claims in published maps and institutional affiliations. |
© 2021 by the author. Licensee MDPI, Basel, Switzerland. This article is an open access article distributed under the terms and conditions of the Creative Commons Attribution (CC BY) license (https://creativecommons.org/licenses/by/4.0/).
Share and Cite
Castelli, M. Evapotranspiration Changes over the European Alps: Consistency of Trends and Their Drivers between the MOD16 and SSEBop Algorithms. Remote Sens. 2021, 13, 4316. https://doi.org/10.3390/rs13214316
Castelli M. Evapotranspiration Changes over the European Alps: Consistency of Trends and Their Drivers between the MOD16 and SSEBop Algorithms. Remote Sensing. 2021; 13(21):4316. https://doi.org/10.3390/rs13214316
Chicago/Turabian StyleCastelli, Mariapina. 2021. "Evapotranspiration Changes over the European Alps: Consistency of Trends and Their Drivers between the MOD16 and SSEBop Algorithms" Remote Sensing 13, no. 21: 4316. https://doi.org/10.3390/rs13214316
APA StyleCastelli, M. (2021). Evapotranspiration Changes over the European Alps: Consistency of Trends and Their Drivers between the MOD16 and SSEBop Algorithms. Remote Sensing, 13(21), 4316. https://doi.org/10.3390/rs13214316

