Abstract
In hydraulic engineering, stilling basin design is traditionally carried out using physical models, conducting visual flow observations as well as point-source measurements of pressure, flow depth, and velocity at locations of design relevance. Point measurements often fail to capture the strongly varying three-dimensionality of the flows within the stilling basin that are important for the best possible design of the structure. This study introduced fixed scanning 2D LIDAR technology for laboratory-scale physical hydraulic modelling of stilling basins. The free-surface motions were successfully captured along both longitudinal and transverse directions, providing a detailed free-surface map. LIDAR-derived free-surface elevations were compared with typical point-source measurements using air–water conductivity probes, showing that the elevations measured with LIDAR consistently corresponded to locations of strongest air–water flow interactions at local void fractions of approximately 50%. The comparison of LIDAR-derived free-surface elevations with static and dynamic pressure sensors confirmed differences between the two measurement devices in the most energetic parts of the jump roller. The present study demonstrates that LIDAR technology can play an important role in physical hydraulic modelling, enabling design improvement through detailed free-surface characterization of complex air–water flow motions beyond the current practice of point measurements and visual flow observations.
1. Introduction
In hydraulic engineering, both the interfacial aeration processes, which increase the flow depth and reduce drag, as well as the internal dynamic pressures and forces, are important for the safe design of hydraulic structures including stilling basins [1,2,3]. Physical hydraulic modelling plays a key role in understanding these processes and is used to test and optimize hydraulic structure design before prototype construction. Energy dissipation in stilling basins occurs via hydraulic jumps, which have been extensively researched in prismatic horizontal channels in terms of flow aeration, e.g., [4,5], velocities and turbulence [6,7], energy dissipation efficiency, e.g., [8,9], and pressures [10,11,12]. The design of stilling basins with baffle elements has been much less fundamentally researched despite their common use in engineering practice. While standard stilling basin designs exist [3], often these have site- and dam-specific modifications to the baffle elements in the stilling basin that require testing in laboratory-scale physical models.
Point-source measurement devices, such as static or dynamic pressure tappings, free-surface acoustic displacement sensors, or velocity measurement devices are often used at select locations to measure specific flow properties within stilling basin models. The challenges associated with relying on point-source measurements is that the flows inside the stilling basin are highly variable in both time and space (Figure 1). Therefore, in order to capture the full complexity of the air–water flows, many instruments or numerous repeat experimental tests are needed [13]. Considering the limitations of current best practice in physical hydraulic modelling, remote sensing technology provides new opportunities that to date remain largely underexploited in this field of research.
Figure 1.
Flow pattern of hydraulic jumps in a stilling basin with discharge per unit width q = 0.19 m2/s, Froude number upstream of the jump toe Fr1 = 6.7, and Reynolds number Re = 1.9 × 105: (a) stilling basin without super-cavitating blocks; (b) stilling basin with super-cavitating blocks.
Remote sensing of hydraulic engineering phenomena is non-intrusive and therefore does not interfere with the flow motions being measured [14,15]. Remote sensing approaches in laboratory scale hydraulic engineering applications comprise a high-speed video camera viewing from the sidewall, e.g., [7,16,17], a digital camera assisted with external laser light projection on the free surface, e.g., [18,19,20], and stereoscopic camera systems [21,22,23] that have all been used to provide information about free-surface elevations and velocity fields. Recent top-view remote sensing with video cameras has provided proof of concept of free-surface velocimetry in flows across flow conveyance structures at laboratory and prototype scale [24]. However, accurate optical flow measurements require complicated calibration and advanced image processing algorithms to convert 2D images into 3D real-world coordinates [20,22] and may be influenced by sidewall effects [7,25] and the complex nature of the flows [24]. Alternatively, remote sensing technology that directly measures the distance to an object can also provide information about the time-varying free-surface flow properties. Herein, LIDAR appears to be a promising remote sensing technology due to its simplicity in scanning large transects from a single point continuously and with high spatial and temporal resolutions [13,26].
Using the Time-Of-Flight principle [27,28], LIDAR has been used in a wide range of research fields, such as object localization and detection systems in urban environments, e.g., [29,30], geomorphological survey and topographic mapping, e.g., [31,32,33], as well as precipitation and aerosol measurements in atmospheric research, e.g., [34,35]. Since the late 1960s, airborne LIDAR has been commonly applied in water-related research for terrestrial and bathymetric mapping, e.g., [36,37,38,39,40,41]. In recent years, industrial LIDARs have successfully been used to track swash motions [42], map beach profiles [43,44], and measure wave characteristics at laboratory scale, e.g., [14,45]. Specific to hydraulic engineering applications, LIDAR has been recently introduced to study hydraulic jumps [26,46,47], an open channel confluence [48], and spillway flows [15]. While these studies provided new fundamental insights into complex air–water free-surface flows along the channel centerline, opportunities for LIDAR technology within the context of improved design of hydraulic infrastructure characterized by 3D flow motions have not been explored.
Herein, this study applied a 2D LIDAR scanner in a typical physical model of complex hydraulic engineering flows to demonstrate 3D free-surface mapping as a new design tool for physical hydraulic modeling of water infrastructure. Specifically, this study presented detailed measurements of time-varying free-surface features for two different stilling basins with and without super-cavitating blocks. For the first time, strong free-surface motions in both longitudinal and transverse directions were captured at high spatial and temporal resolution in the stilling basins. Time-averaged 3D free-surface profile and 3D free-surface fluctuations across the entire basin were reconstructed using the LIDAR measurements, revealing the complex flow patterns. The high spatial and temporal resolution of the data also provided opportunities to investigate a broad range of free-surface and hydraulic jump-toe parameters. The LIDAR-derived free-surface was compared with air–water flow measurements showing good agreement of LIDAR data with characteristic air–water flow elevations, while the comparison with pressure measurements highlighted the importance of including detailed free-surface measurements in the hydraulic design process. The present experimental study highlights new opportunities to use remote sensing technology in physical hydraulic modelling.
2. Materials and Methods
Laboratory experiments were conducted in a stilling basin model at the Water Research Laboratory, UNSW Sydney (Figure 1 and Figure 2). Unaerated supercritical flows down a smooth spillway entered the stilling basin with width W = 1.54 m and length L = 1.47 m. The flow was controlled using an ABB WaterMaster FEX100 electromagnetic flowmeter with an accuracy of ±0.4% of the flow rate. In the stilling basin, dissipative and strongly aerated hydraulic jumps occurred for discharges per unit width q = 0.13–0.19 m2/s and supercritical inflow depth d1 = 0.027–0.044 m corresponding to inflow Froude numbers Fr1 = 6.7–9.4 and Reynolds numbers Re = 1.3 × 105–1.9 × 105. Two stilling basin configurations were tested. The first basin configuration had a horizontal floor and an end sill, and the hydraulic jump was controlled by the tailwater level. For the second basin configuration, a series of super-cavitating blocks (Figure 2b) were added, resulting in different flow patterns for similar inflow conditions (see Figure 1a vs. Figure 1b).
Figure 2.
Stilling basin models and locations of LIDAR measurements: (a) side view (centerline); (b) top view.
A 2D LIDAR LMS511 manufactured by SICK was used to measure the time-varying free-surface elevations in the stilling basin. The LIDAR emitted an infrared laser with a wavelength of 905 nm scanning for 190° at each time step. Successful free-surface measurements required that the emitted laser beam reflected at the air–water interface to return to the LIDAR. In turbulent air–water flows, sprays, droplets, foam, entrained bubbles, and free-surface roughness ensured an adequate amount of light reflected and received by the LIDAR [13,26]. The LIDAR was mounted 1.26 m above the basin floor and sampled at a frequency of 35 Hz and an angular resolution of 0.25°. For this distance between the instrument and the free-surface, the spot size of the LIDAR was less than 5 mm [13]. In the present experimental setup shown in Figure 2, the LIDAR was positioned at the start of the basin (x/L = 0) for measurements of 7 longitudinal cross-sections (z/W = −0.36, −0.2, −0.05, 0, 0.11, 0.26, 0.36) and at the centerline (z/W = 0) for measurements of 6 transverse cross-sections (x/L = 0.03, 0.12, 0.26, 0.45, 0.58, 0.72). These cross-sections were determined to compare with the bed pressure recorded using in situ sensors along the same cross-sections. Under these scan conditions, the LIDAR measured approximately 200 locations for the longitudinal cross-sections and 250 locations for the transverse cross-sections for each rotational scan. As the angular resolution of LIDAR was fixed (0.25°), the spatial distance between two consecutive locations depended on the distance from the LIDAR to the measured location, which varied with time due to free-surface motions. The scan-wise spatial resolution was between 5 mm (at the start of the basin, ~x/L = 0) and 14 mm (at the end of the basin, ~x/L = 1) for longitudinal measurements and between 4.5 mm (at the centerline, ~z/W = 0) and 7.5 mm (at the sidewall, z/W = ±0.5) for transverse measurements. The LIDAR recorded for 30 min along each cross-section for all tested flow conditions. At 35 Hz, this resulted in approximately 63,000 data points at each of the 200 to 250 locations per cross-section within a 30 min period capturing the free-surface motions and continuous free-surface profiles.
The LIDAR data were post-processed using self-developed software in MATLAB as explained in Li et al. [13]. First, the recorded signal was converted to data points in Cartesian coordinates. Afterwards, all data points below the inflow depth in the region close to the jump toe were removed and replaced with NaNs. In a final step, the data were interpolated onto a fixed x-axis grid based on the values of all recorded frames before statistical analyses were conducted. Manual checking of instantaneous profiles indicated very few outliers such that no additional filtering of the data was necessary [49].
To better understand the elevations the LIDAR measured, the LIDAR observations were compared to characteristic air–water flow depths measured using state-of-the-art conductivity probes from WRL [50,51] along two longitudinal cross-sections (z/W = 0.11 and 0.26) for all flow conditions. Along each cross-section, at 6 horizontal locations, air–water flow properties were measured across a vertical profile (14–36 vertical points) from the channel bed to the free-surface. The conductivity probe was sampled at 20 kHz and recorded for 180 s at each vertical point. The conductivity probe data were post-processed to provide the vertical distributions of local time-averaged void fraction C and particle count rate F at each location. The void fraction C allowed the determination of characteristic flow depth y50 and y90 (i.e., elevations corresponding to C = 50% and 90%, respectively). The particle count rate F allowed the determination of flow depth yFmax (i.e., the flow depth corresponding to the maximum particle count rate in the recirculation region of a cross section). The equivalent clear water flow depth h was calculated based upon the void fraction C and y90 [52].
Twenty-one pressure transducers (Keller Series 25) were used to measure the dynamic pressures at characteristic locations across the bed of the basin. The diameter of each pressure sensor was 19.1 mm, and the accuracy reported by the manufacture was less than ±0.5% of the reading. The pressure transducers were individually calibrated in clear still water. All pressure transducers were simultaneously sampled for 30 min with a sampling frequency of 1 kHz. Pressures were also measured using 15 piezometer tappings within the basin. The values of pressure head in all piezometers fluctuated strongly and the elevations in a connected manometer board were visually observed for at least 60 s to observe an average pressure head for each piezometer.
3. Results
3.1. Instantaneous Free-Surface Profiles Obtained by LIDAR
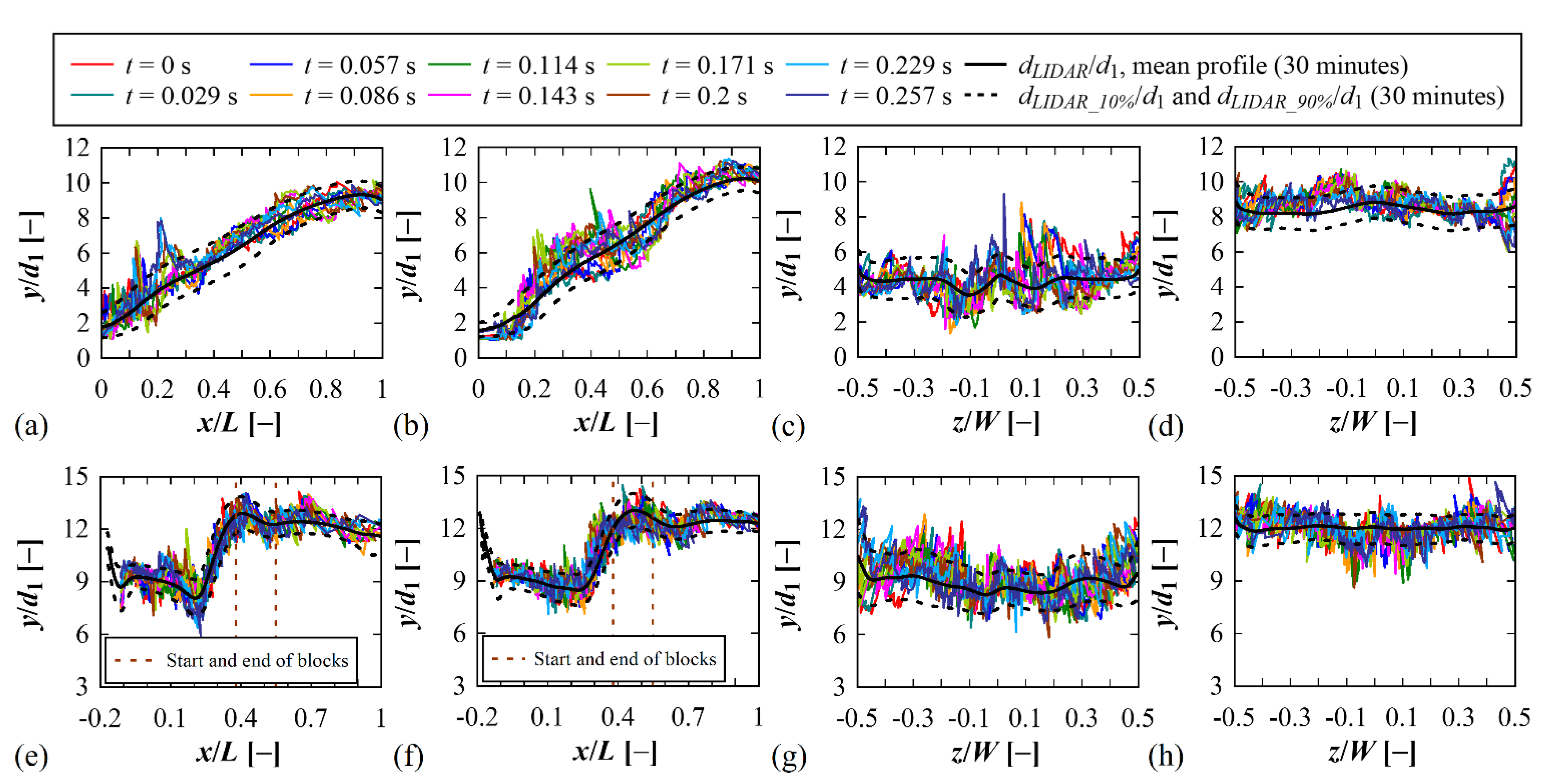
The LIDAR data recorded during these experiments highlight that the free-surface of highly aerated turbulent flows varied rapidly with time throughout the basin (Figure 3). In addition to the instantaneous profiles captured by the LIDAR, the mean elevations dLIDAR as well as the 10th and 90th percentiles dLIDAR_10% and dLIDAR_90% over the full sampling time (30 min) are presented in Figure 3. Fast and strong free-surface fluctuations around the mean profile were observed by the LIDAR in both longitudinal (Figure 3a,b,e,f) and transverse directions (Figure 3c,d,g,h). Notably, the LIDAR was able to capture the distinct differences in flow patterns between the two stilling basin designs at high temporal and spatial resolution. For example, in the stilling basin without super-cavitating blocks (Figure 3a,b), longitudinal LIDAR measurements of the instantaneous free-surface showed stronger fluctuations around the mean in the first half of the hydraulic jump (x/L < 0.5) than in the stilling basin with super-cavitating blocks (Figure 3e,f). The LIDAR also recorded clear evidence of flow bulking in the region around the super-cavitating blocks (0.37 < x/L < 0.55) resulting in a sharp rise in the free-surface associated with an upwards-directed jump roller (Figure 3e,f). In addition, the LIDAR was capable of capturing the transverse variation of the instantaneous longitudinal flow patterns and temporal variability in the jump toe position that was more evident in the stilling basin without super-cavitating blocks (Figure 3a vs. Figure 3b) than with (Figure 3e vs. Figure 3f). The instantaneous time and spatially varying free-surface motions captured by the LIDAR along both longitudinal and transverse cross-sections can be observed in Supplementary Videos S1–S4 for Fr1 = 8.7 without super-cavitating blocks and for Fr1 = 9.4 with blocks.
Figure 3.
Longitudinal and transverse instantaneous free-surface profiles for 10 consecutive frames with a time interval of 0.0286 s: (a–d) no blocks with (a) longitudinal, Fr1 = 8.7, z/W = −0.36; (b) longitudinal, Fr1 = 8.7, z/W = 0.11; (c), transverse, Fr1 = 8.7, x/L = 0.26; (d) transverse, Fr1 = 8.7, x/L = 0.72; (e,f) blocks with (e) longitudinal, Fr1 = 9.4, z/W = −0.36; (f) longitudinal, Fr1 = 9.4, z/W = 0.11; (g) transverse, Fr1 = 9.4, x/L = 0.26; (h) transverse, Fr1 = 9.4, x/L = 0.72.
Similarly, the series of transverse LIDAR scans obtained during these experiments provide, for the first time, detailed data of the cross-basin variation in free-surface elevations as well as evidence of large free-surface motions and advection of free-surface waves. The free-surface close to the jump toe (x/L = 0.26, Figure 3c) had stronger fluctuations close to the centerline of the basin (z/W = 0) and there was clear asymmetry in the free-surface. In contrast, less variability in free-surface elevations across the basin were observed towards the end of the hydraulic jump (x/L = 0.72, Figure 3d). Similar results were found from the data with super-cavitating blocks (Figure 3g,h).
3.2. Mean Free-Surface Elevations and Fluctuations Derived from LIDAR
Information about the mean free-surface across the stilling basin as well as the temporal fluctuations is important in stilling basin design. The free-surface information ensures symmetry in flows across the basin and provides information about the required sidewall heights to make sure that the hydraulic jump is contained within the basin. Figure 4 shows mean free-surface elevations dLIDAR/d1 and free-surface fluctuations dLIDAR’/d1 derived from the LIDAR data for q = 0.19 m2/s and Fr1 = 6.7 in the basin without super-cavitating blocks. Overall, the mean free-surface elevations were consistent with visual observations of flow patterns (Figure 1). As expected, longitudinal mean free-surface elevations showed monotonic increases along the basin and slight transverse variation (Figure 4a). While these findings were overall consistent with previous observations of dLIDAR/d1 in the centerline of classical hydraulic jumps [13,47], the present data provide a much more coherent free-surface highlighting transverse variations in free-surface elevations. The transverse mean free-surface elevations across the basin indicated a near symmetric flow pattern with flow bulking (elevated water levels) along the centerline (Figure 4b). Sidewall effects were evident with a slight increase in dLIDAR/d1 in the region z/W = −0.4 to −0.5 and 0.4 to 0.5.
Figure 4.
Dimensionless free-surface mean elevations and fluctuations for q = 0.19 m2/s, Fr1 = 6.7, and Re = 1.9 × 105: (a–c) mean elevations (dLIDAR/d1): (a) longitudinal; (b) transverse; (c) three-dimensional map of mean elevations; (d–f) fluctuations (dLIDAR’/d1): (d) longitudinal; (e) transverse; (f) three-dimensional map of free-surface fluctuations.
Dimensionless free-surface fluctuations dLIDAR’/d1 in terms of standard deviations in longitudinal (Figure 4d) and transverse (Figure 4e) directions, as well as the 3D interpolation (Figure 4f), highlight the spatial complexity associated with the 3D flow captured by the LIDAR. The distributions were similar to the fluctuations of classical hydraulic jumps [26,47,53], with a positive trend of dLIDAR’/d1 in the longitudinal direction along the hydraulic jump region followed by a continuous decrease to the end of the basin (Figure 4d). Uniquely, the LIDAR captured the high fluctuations in the supercritical flow region (0 < x/L < 0.1) due to water ejections upstream of the jump toe (e.g., z/W = −0.05). The LIDAR also captured the clear transverse variation in dLIDAR’/d1 (Figure 4e) along the basin length. For example, at x/L = 0.12, LIDAR measurements close to the centerline were mostly in the supercritical flow region, resulting in lower dLIDAR’/d1. However, close to the sidewalls, jump-toe oscillations were more dynamic, resulting in higher dLIDAR’/d1 towards both edges (z/W = +/−0.5). Two further downstream transects (x/L = 0.45 and 0.58) showed similar distribution patterns across the width of the basin, with larger dLIDAR’/d1 between the centerline and sidewalls potentially linked with the interaction of strong flow recirculation motions visually observed (Figure 1a).
When super-cavitating blocks were included in the stilling basin, the jump toe was shifted upstream to the spillway section. The hydraulic jump was more stable and associated with a shorter and upwards-directed roller, leading to less flow aeration and a strong boiling region. Distinct and strong longitudinal and transverse variation in the mean free-surface elevations dLIDAR/d1 and fluctuations dLIDAR’/d1 were observed with the LIDAR (Figure 5). The LIDAR measurements were consistent with visual observations of flow patterns capturing jump toe locations on the sloped section and flow bulking above the super-cavitating blocks (Figure 1b).
Figure 5.
Dimensionless free-surface mean elevations and fluctuations in a stilling basin with super-cavitating blocks for q = 0.19 m2/s, Fr1 = 6.7, and Re = 1.9 × 105: (a–c) mean elevations (dLIDAR/d1): (a) longitudinal; (b) transverse; (c) three-dimensional mapping of mean elevations; (d–f) fluctuations (dLIDAR’/d1): (d) longitudinal; (e) transverse; (f) three-dimensional mapping of free-surface fluctuations.
The free-surface properties captured by the LIDAR were slightly asymmetric about the centerline due to a small asymmetry in the placement of the super-cavitating blocks (Figure 5). The longitudinal mean profile decreased in the impinging region (0 < x/L < 0.2) and then rapidly increased linked with the upwards directed roller forced by the super-cavitating blocks (Figure 5a). Higher mean free-surface elevations in the region 0.35 < x/L < 0.65 corresponded to the visual observation of flow boiling motions above the super-cavitating blocks (Figure 1). The higher mean profile of z/W = −0.36 within this region (0.35 < x/L < 0.65) was due to the super-cavitating blocks beneath this particular location (Figure 2). Transverse variation in dLIDAR/d1 due to the super-cavitating blocks was also recorded by the LIDAR (Figure 5b). The 3D free-surface mapping (Figure 5c) combined all longitudinal and transverse measurements across the basin, providing a detailed image of the free-surface characteristics. Localized flow bulking close to the center and sidewalls related to the three-dimensional motions of the flow, sidewall effects, as well as the asymmetric distribution of super-cavitating blocks, were also captured by the LIDAR.
As expected, the free-surface fluctuations (dLIDAR’/d1) in longitudinal and transverse directions were also distinctly different between the two stilling basin designs. The maximum free-surface fluctuations occurred upstream and close to the start of the super-cavitating blocks (0.2 < x/L < 0.4) and were linked with the intense upwards directed roller motions that resulted in eruption of large vortices at the free-surface. In the region upstream of the super-cavitating blocks (x/L = 0.12 and 0.26), values of dLIDAR’/d1 were higher between the centerline and sidewalls where strong recirculation was visually observed. In contrast, in the flow boiling region above the super-cavitating blocks (x/L = 0.45 and 0.58) dLIDAR’/d1 was higher close to the centerline and sidewalls (Figure 5e). Downstream of the flow boiling region (x/L = 0.6–1), dLIDAR’/d1 was more uniform across the width of the basin.
3.3. Advanced Free-Surface Properties Derived from LIDAR
The detailed observations as presented in Figure 4 and Figure 5 provide information about the flow paths inside the stilling basin and point to locations of intense free-surface motions, large-scale vortical flow structures, and associated pressure fluctuations. Further analysis of the LIDAR data can provide the characteristic frequencies of the free-surface motions that provide further insights on the frequencies of the internal flow motions [54].
While free-surface frequencies can also be measured with point measurement devices as reported for the centerline of classical hydraulic jumps, e.g., [53,55], the LIDAR provided a much greater number of locations for the frequency analysis in the stilling basin. In line with previously reported frequencies, the present free-surface frequency analysis showed characteristic frequencies between 0.2 and 2.5 Hz. The detailed spatial representation revealed the strong variations of characteristic frequencies across the stilling basin that are linked with three-dimensional flow motions. Figure 6a shows representative Fast Fourier Transform (FFT) analysis at two locations (z/W = 0.23 and 0.4) at the same longitudinal distance from the start of the basin (x/L = 0.45). Figure 6a (left) shows a distinct peak in the frequency spectrum indicating a dominant frequency of approximately 1.5 Hz at z/W = 0.23. Two peaks were observed in the FFT analysis at a location close to the sidewalls (z/W = 0.4, Figure 6a (right)) with the first frequency of 0.35 Hz and the second frequency of approximately 1.8 Hz. These were also observed in the pressure sensor data. The smaller frequency between 0.3 and 0.5 Hz consistently observed near the sidewalls is hypothesized to be linked with the flow recirculation motions due to the presence of the sidewalls themselves (Figure 1).
Figure 6.
LIDAR measurements of advanced free-surface properties: (a) examples of FFT frequency spectrum for q = 0.19 m2/s, Fr1 = 6.7, and Re = 1.9 × 105 without super-cavitating blocks at x/L = 0.45 and z/W = 0.23 (left), z/W = 0.4 (right); (b) standard deviations of jump toe locations (xtoe’/d1).
Additionally, the detailed free-surface maps of mean free-surface elevations and fluctuations provide important information on the stability of the energy dissipator for different flow conditions. A stable energy dissipator meant no “sweeping out” of high-energy flows into the river downstream of the stilling basin that could result in scour. As part of this stability assessment, it was important to identify the location of the jump toe, which was ideally positioned at the start of the stilling basin. As the LIDAR provided continuous and quasi-synchronous measurements with high spatial resolution along the stilling basin, instantaneous jump toe positions could be extracted from the seven longitudinal free-surface profiles at each time step. Dimensionless standard deviations of jump toe motions xtoe’/d1 are shown in Figure 6b. The results of jump toe fluctuations are shown in Figure 6b for stilling basins with and without super-cavitating blocks. Large three-dimensional flow recirculation motions in the hydraulic jumps without blocks (Figure 1) resulted in stronger transverse variations of jump toe oscillations across the width of the basin (green vs. black dots in Figure 6b). For similar inflow Froude numbers, the jump toe of hydraulic jumps with super-cavitating blocks had lower standard deviations than for the hydraulic jumps associated with no blocks. This finding shows that the super-cavitating blocks stabilized the hydraulic jump within the stilling basin as intended. For the same stilling basin configuration, hydraulic jumps with a larger Froude number had stronger jump toe motions, which was consistent with previous investigations in classical hydraulic jumps [46].
4. Discussion
LIDAR measurements with high spatial and temporal resolution provide new opportunities to investigate complex flow patterns in hydraulic engineering design. The LIDAR successfully captured the 3D spatial and temporal variability of the hydraulic jump motions represented by the aerated free-surface across two stilling basin designs. Compared to traditional in-situ instrumentation, the additional temporal and spatial resolution of the LIDAR data provides the opportunity for much more detailed understanding of the flow motions compared to the classical point-source measurement approaches. In the following section, several key points are discussed that must be considered when employing LIDAR technology in physical hydraulic modelling.
4.1. Comparison with Point-Source In Situ Measurements
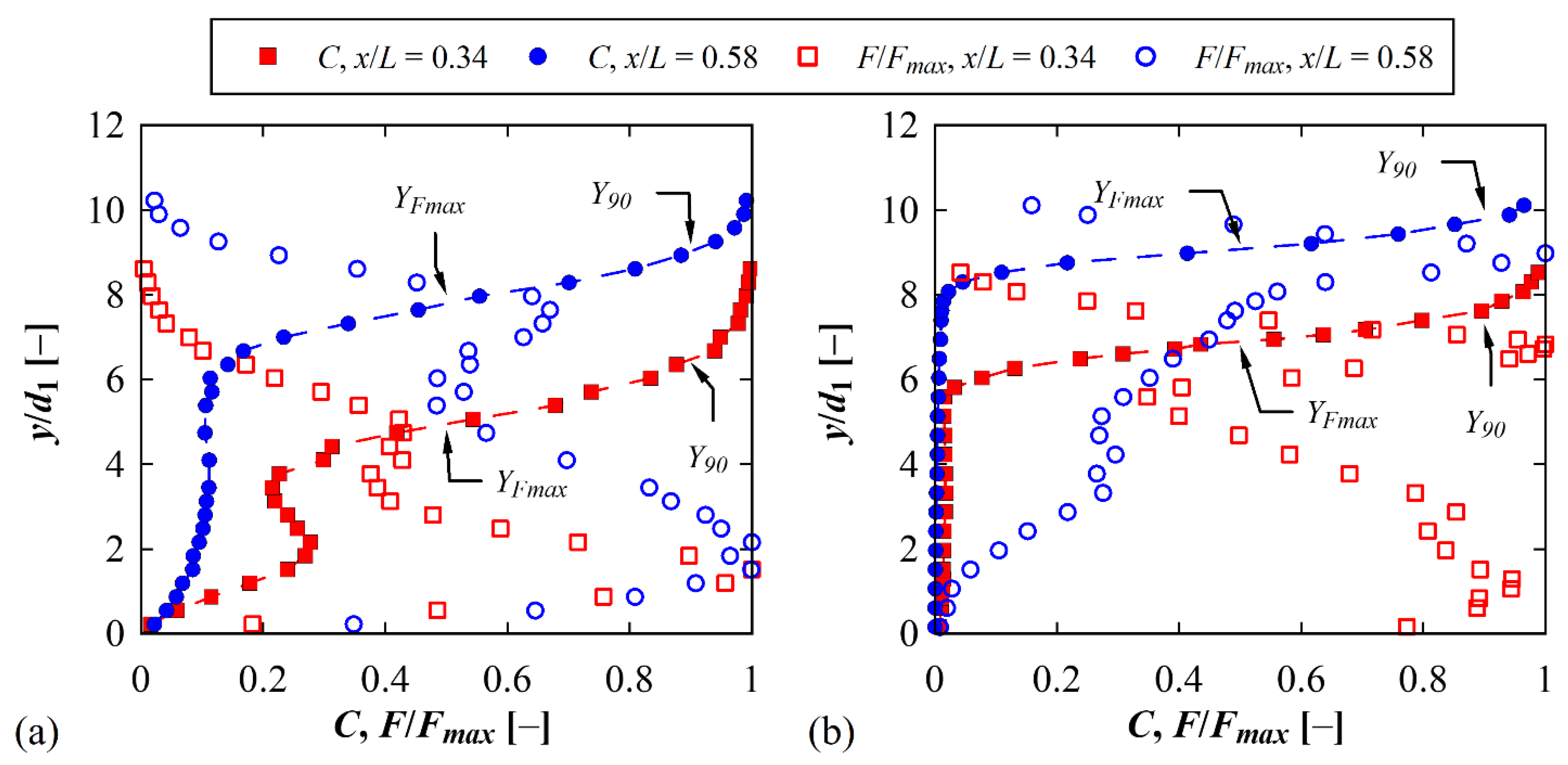
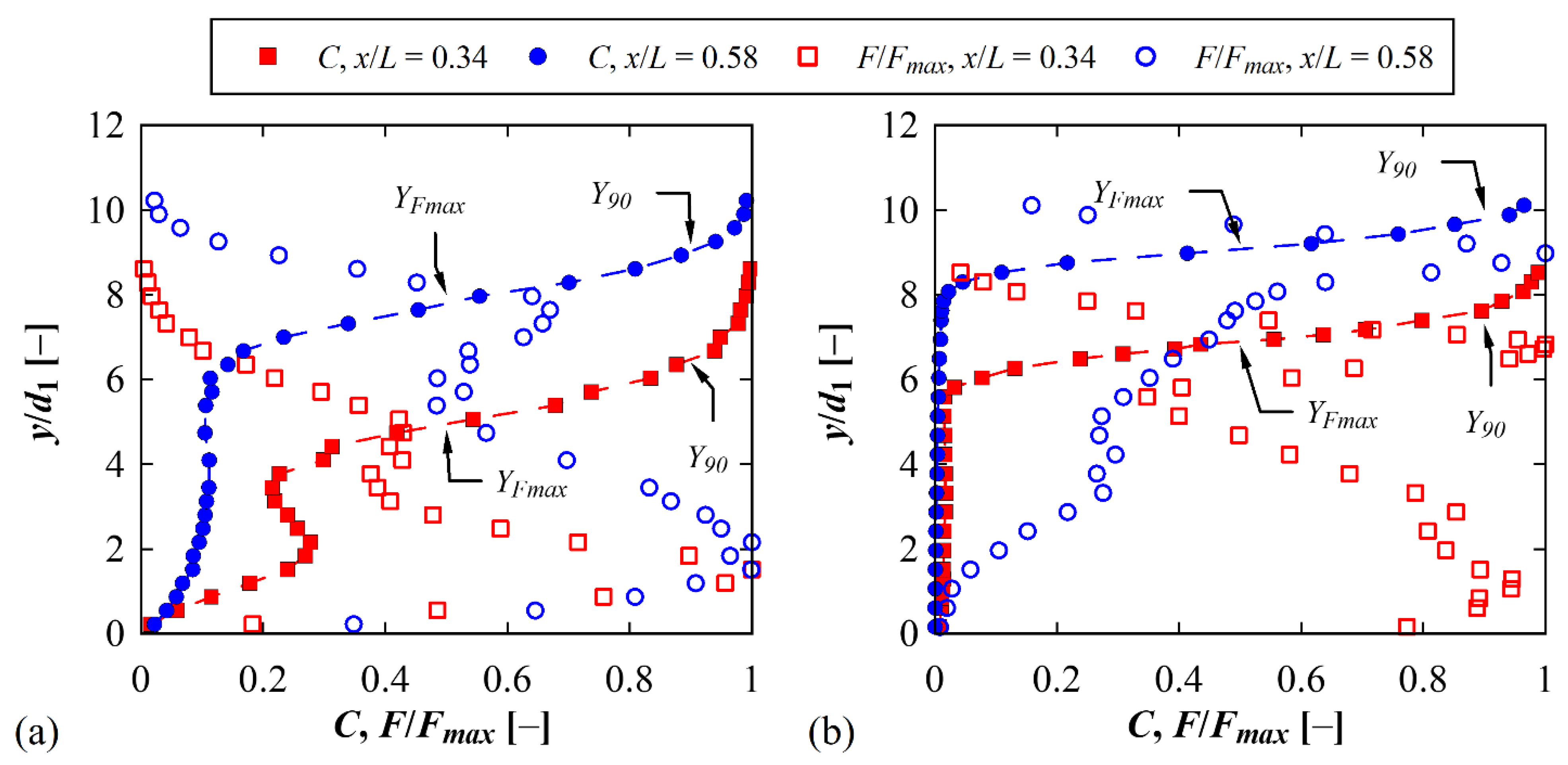
As LIDAR is a relatively new technology being applied to air–water flows across hydraulic structures, the data were compared against intrusive conductivity probe (CP) air-water flow measurements for the same flow conditions. Figure 7 shows the distributions of void fraction C and particle count rate F at two example locations (x/L = 0.34, 0.58) in the basin with and without blocks. The plots of C and F for the stilling basin without super-cavitating blocks (Figure 7a) showed distributions typically observed in classical hydraulic jumps [4,5]. The characteristic void fraction profiles showed a local maximum in the shear region, and a local minimum in C at the boundary of shear and recirculation regions, followed by an increase in C up to the free-surface. The corresponding F distributions showed two characteristic peaks in the shear and recirculation regions, respectively (Figure 7a). The distributions of C and F in the stilling basin with super-cavitating blocks differed, exhibiting an overall reduced entrainment of air and a much less pronounced shear region (Figure 7b). The profiles of C showed very little aeration in most of the flows, while C increased in the recirculation region up to the free-surface. The particle count rate showed distinct peaks in the shear and recirculation regions albeit with a much more pronounced peak in the recirculation region (Figure 7b). The observed distributions of C and F for the two stilling basin types confirmed the differences in the roller formation and free-surface properties as documented with the LIDAR.
Figure 7.
Distributions of void fraction C and particle count rate F at x/L = 0.34 and 0.58: (a) without super-cavitating blocks, q = 0.15 m2/s, Fr1 = 8.7, Re = 1.5 × 105; (b) with blocks, q = 0.19 m2/s, Fr1 = 6.7, Re = 1.9 × 105.
Based upon the C and F data, the characteristic air–water flow depths y50, y90, yFmax, and the equivalent clear water flow depth h were calculated. The characteristic elevations y90 and yFmax are indicated with arrows in Figure 7 for clarification. It can be seen that y50 was close to the elevation with maximum particle count rate in the recirculation region yFmax (Figure 7).
The characteristic air–water flow elevations were compared with average elevations recorded with the LIDAR at the same locations. Figure 8 shows this comparison for typical data along the stilling basin with and without super-cavitating blocks. In Figure 8a,b, the mean LIDAR elevations dLIDAR/d1 are shown as continuous lines and the 10th and 90th percentiles dLIDAR_10% and dLIDAR_90% are added to show the temporal and spatial variability of the free-surface motions. Figure 8c shows the relative difference between the free-surface elevations measured with LIDAR and characteristic flow depths measured with the conductivity probe. Independent of the stilling basin design and flow conditions, there was close agreement of dLIDAR with y50 (average difference of 3%) and yFmax (average difference of 2%), indicating that the LIDAR beam was most likely reflected at a depth with the most intense air–water flow interactions. The 90th percentile of LIDAR measurements (dLIDAR_90%) compared well with y90, showing an average difference of 3.5%. These findings are significant since they suggest that LIDAR can remotely measure characteristic air–water flow depth in stilling basins and hydraulic jumps. While the LIDAR was consistently able to measure the dynamic flow motions of the jump roller and toe, the comparison with the air–water flow elevations was limited by the conductivity probe’s abilities to consistently measure air–water flow properties in the first quarter of the jump roller, characterized by intense jump toe motions and extensive water ejections. This resulted in some larger differences between dLIDAR and equivalent clear water flow depth h in this part of the hydraulic jump without blocks, while there was close agreement in the latter part of the roller (Figure 8a).
Figure 8.
Comparison of mean free-surface elevations measured with LIDAR dLIDAR/d1, mean pressure heads p/d1 measured with dynamic pressure sensors (PT) and piezometers (Pz) as well as characteristic air–water flow elevations measured with the conductivity probe (CP): (a) without super-cavitating blocks; q = 0.15 m2/s, Fr1 = 8.7, Re = 1.5 × 105, z/W = 0.26; (b) with super-cavitating blocks; q = 0.13 m2/s, Fr1 = 9.4, Re = 1.3 × 105, z/W = 0.11; (c) relative difference between elevations measured with LIDAR- and characteristic air–water flow depths; note that a negative/positive relative difference means that a LIDAR elevation was below/above a characteristic air–water flow depth.
The pressure head observations with the dynamic pressure sensors (PT) and piezometric tappings (Pz) are also shown in Figure 8a,b. For the stilling basin without super-cavitating blocks, the dynamic pressure data were substantially larger in the region just downstream of the spillway section linked with the downwards-directed force from the vertical motion on the spillway as well as the downwards impinging motion of the jump roller (Figure 8a). For x/L > 0.3, there was close agreement of pressure data with the LIDAR elevations, indicating that the pressure distributions were close to hydrostatic pressures. In contrast, for the stilling basin with super-cavitating blocks (Figure 8b), the pressures varied substantially more, with high pressure values linked with the more vertical roller motions (0 < x/L < 0.2) and the impingement of the flows onto the super-cavitating blocks (x/L ≈ 0.3). In the area of the blocks, the pressures were lower than the surface elevations, while the pressure heads agreed with the free-surface elevations downstream (x/L > 0.6).
For both stilling basin designs, the peak frequencies measured by the pressure sensors were sometimes higher (up to 4 Hz) than those derived from the LIDAR. This was due to the pressure sensors recording the high-frequency internal vertical motions associated with the jump roller. These findings show that detailed free-surface elevation data, as provided by the LIDAR, as well as internal dynamic pressure data, are essential for providing a complete understanding of both the free-surface motions as well as the internal dynamics of the flow properties in stilling basin design. In areas not dominated by strong vertical fluctuations, such as in classical hydraulic jumps within stilling basins without baffle features, LIDAR data can provide information about the mean pressure heads (x/L > 0.25). Longitudinal trends in the standard deviations of pressures (p’/d1) and free-surface elevations derived from the LIDAR (dLIDAR’/d1) were similar in the first half of the roller.
4.2. Factors Affecting LIDAR Data Quality in Air–Water Flows
Several factors can affect LIDAR measurements in aerated free-surface flows. The characteristics of light sources (i.e., wavelength and divergence) as well as the algorithm cannot be altered in industrial LIDARs, such as the one used in this study, and to date no LIDAR has been specifically designed for air–water free-surface measurements [48]. Aerated free-surface features including droplets, entrained air, and free-surface roughness also affect free-surface elevations measured with the LIDAR. These free-surface features increase the diffuse and near-diffuse reflection of light at the water surface [13,14,48,56], which increases the possibility of light reflection back to the LIDAR. Therefore, a challenge in using LIDAR in free-surface flows with insufficient aeration and surface roughness is that the LIDAR signal does not reflect off the free-surface as well. It may still be applicable to measure the time-averaged surface of steady flows if data are collected for sufficient time, but the characterization of dynamic free-surface motions may not be possible.
The LIDAR measured full cross-sections of free-surface data from a single position resulting in different incident angles of the light beam between 0° and 54°. More oblique angles, as well as distances further from the LIDAR source, may result in larger and elongated footprints [57]. The larger footprint may also capture higher free-surface features such as water droplets and ejections as the LIDAR measures the position with the strongest reflected signal [57,58]. As detailed above, the LMS511 LIDAR used in this study had scan-wise spatial resolution between 4.5 and 14 mm depending on the distance from the source. In highly variable flows, with a fragmented free-surface as shown here, this may also bias the free-surface position far from the LIDAR as only the first return signal is recorded and analyzed. Li et al. [49] suggested LIDAR positions upstream of the jump toe to reduce signal penetration through the free-surface into air–water flows. Comparing measurements at the intersection points of longitudinal and transverse cross-sections, the free-surface elevation was slightly higher (2.6% on average) with a LIDAR position further away from the measurement point. The largest difference occurred at the intersection between the most downstream transverse cross-section (i.e., x/L = 0.72) and the centerline as the smaller incident angle between the LIDAR beam of the longitudinal measurements and the free-surface resulted in slightly higher free-surface elevations with a difference of up to 8% [59]. Separate LIDAR measurements of a flat surface with length of 12 m revealed slightly higher surface elevations (<0.1%) with smaller incident angles between the LIDAR beam and the surface. Therefore, it is believed that the observed difference between the transverse and longitudinal free-surface measurements was related to the free-surface features of the aerated flows such as ejected droplets, free-surface waves, and temporal and spatial variation in aeration. The detailed effects of LIDAR perspectives on air–water flow free-surface measurements can be further investigated with larger measurement field, and this is recommended for future research.
Turbidity of water is another factor that might influence LIDAR measurements. Particulate matter in the water can increase diffuse reflectivity of the free surface [14,45]. Previous studies using LIDAR in free-surface measurements of non-aerated water have added particulate matter such as clay minerals to increase reflectivity of the water surface [14,45]. In this study, water from a natural source (a nearby freshwater lake) was used and contained a small amount of organics and particulate matter that may have aided in the reflectivity of the surface.
To date, measurements of free-surface flows at large scale prototype structures have been challenging with respect to the deployment of instrumentation in flows with high Reynolds numbers due to violent flow motions and health and safety considerations [51,60]. Despite first advances in remote sensing at full scale dams [24], further opportunities for remote sensing technology exist to provide missing prototype data. Flows in prototype hydraulic structures are often highly aerated with strong free-surface fluctuations, and particles in the water might also increase the light reflection at the free-surface, which suggests that LIDAR is a promising remote sensing tool for future research and monitoring of large scale hydraulic structures.
5. Conclusions and Future Directions
This study used a 2D LIDAR as an advanced remote sensing tool, to record free-surface information in physical hydraulic modeling. Free-surface motions across 2 distinct stilling basin designs were recorded with a frequency of 35 Hz and angular resolutions of 0.25° in both longitudinal and transverse directions. Distinct free-surface elevations and fluctuations presented in a 3D view were consistent with visual observations revealing highly complex patterns of flow recirculation, surface boiling, and flow bulking across the stilling basins. Comparing LIDAR to traditional in situ measurements reveals that the mean free-surface elevations recorded by the LIDAR were close to the elevation with 50% void fraction as measured by an air–water conductivity probe and that the 90% percentile of the LIDAR elevations is in close agreement with y90. This suggests that LIDAR can be used as a reliable engineering tool in physical hydraulic modelling to remotely measure accurate free-surface elevations that are on average within 2–3% of characteristic air–water flow depths.
LIDAR elevations were also compared with pressure tappings and dynamic pressure sensors throughout the stilling basins. Large differences in pressure heads and free-surface elevations were observed in the stilling basin with super-cavitating blocks, indicating the need to properly document both internal pressures as well as the free-surface to fully understand the flow motions and dissipative processes.
Considering the significant extra information the LIDAR provides, including instantaneous spatial variations in free-surface properties as well as 3D free-surface maps, remote sensing with LIDAR technology represents a promising physical modelling tool for more detailed and advanced design of energy dissipators. The results highlight that remote sensing techniques, such as LIDAR, offer improved spatial and temporal resolution over traditional in situ point-source measurements typically used in hydraulic research. With the rapidly expanding suite of 2D and 3D LIDARs, as well as 3D LIDAR cameras currently being developed, there is significant future potential in hydraulic research applications to capture highly detailed free-surface measurements of complex air–water flows at laboratory and prototype scale.
Supplementary Materials
The following are available online at https://www.mdpi.com/article/10.3390/rs13183599/s1, Video S1: Raw LIDAR signal along a longitudinal cross-section in the stilling basin without super-cavitating blocks: q = 0.15 m2/s, Fr1 = 8.7, Re = 1.5 × 105, z/W = 0.11; Video S2: Raw LIDAR signal along a transverse cross-section in the stilling basin without super-cavitating blocks: q = 0.15 m2/s, Fr1 = 8.7, Re = 1.5 × 105, x/L = 0.45; Video S3: Raw LIDAR signal along a longitudinal cross-section in the stilling basin with super-cavitating blocks: q = 0.13 m2/s, Fr1 = 9.4, Re = 1.3 × 105, z/W = −0.36; Video S4: Raw LIDAR signal along a transverse cross-section in the stilling basin with super-cavitating blocks: q = 0.13 m2/s, Fr1 = 9.4, Re = 1.3 × 105, x/L = 0.26.
Author Contributions
Conceptualization, S.F.; methodology, S.F., R.L., K.D.S.; formal analysis, R.L.; investigation, R.L.; writing—original draft preparation, R.L.; writing—review and editing, K.D.S., S.F.; visualization, R.L.; supervision, S.F., K.D.S.; All authors have read and agreed to the published version of the manuscript.
Funding
This research received no external funding.
Institutional Review Board Statement
Not applicable.
Informed Consent Statement
Not applicable.
Data Availability Statement
The data presented in this study are available upon reasonable request from the corresponding author.
Acknowledgments
The authors thank Rob Jenkins (UNSW Water Research Laboratory) for his technical help and Ben Modra (UNSW Water Research Laboratory) for his assistance with the physical model and fruitful discussions.
Conflicts of Interest
The authors declare no conflict of interest.
References
- Hager, W.H. Energy Dissipators and Hydraulic Jump; Kluwer Academic: Dordrecht, The Netherlands, 1992. [Google Scholar]
- Chanson, H.; Carvalho, R. Hydraulic jumps and stilling basins. In Energy Dissipation in Hydraulic Structures; Chanson, H., Ed.; CRC Press: Leiden, The Netherlands, 2015; pp. 65–104. ISBN 9781315680293. [Google Scholar]
- Peterka, A.J. Hydraulic Design of Stilling Basin and Energy Dissipators; United States Department of the Interior, Bureau of Reclamation: Denver, CO, USA, 1978.
- Wang, H.; Murzyn, F.; Chanson, H. Interaction between free-surface, two-phase flow and total pressure in hydraulic jump. Exp. Therm. Fluid Sci. 2015, 64, 30–41. [Google Scholar] [CrossRef] [Green Version]
- Montano, L.; Felder, S. Air-water flow properties in hydraulic jumps with fully and partially developed inflow conditions. J. Fluids Eng. 2021, 143, 101403. [Google Scholar] [CrossRef]
- Zhang, G.; Wang, H.; Chanson, H. Turbulence and aeration in hydraulic jumps: Free-surface fluctuation and integral turbulent scale measurements. Environ. Fluid Mech. 2013, 13, 189–204. [Google Scholar] [CrossRef]
- Kramer, M.; Valero, D. Turbulence and self-similarity in highly aerated shear flows: The stable hydraulic jump. Int. J. Multiph. Flow 2020, 129, 103316. [Google Scholar] [CrossRef]
- Montano, L.; Felder, S. An experimental study of air-water flows in hydraulic jumps on flat slopes. J. Hydraul. Res. 2020, 58, 767–777. [Google Scholar] [CrossRef]
- Beirami, M.K.; Chamani, M.R. Hydraulic jump in sloping channels: Roller length and energy loss. Can. J. Civ. Eng. 2010, 37, 535–543. [Google Scholar] [CrossRef]
- Toso, J.W.; Bowers, E. Extreme pressure in hydraulic jump stilling basins. J. Hydraul. Eng. 1989, 114, 829–843. [Google Scholar] [CrossRef]
- Fiorotto, V.; Rinaldo, A. Turbulent pressure fluctuations under hydraulic jumps. J. Hydraul. Res. 1992, 30, 499–520. [Google Scholar] [CrossRef]
- Stojnic, I.; Pfister, M.; Matos, J.; Schleiss, A.J. Effect of 30-degree sloping smooth and stepped chute approach flow on the performance of a classical stilling basin. J. Hydraul. Eng. 2020, 147, 04020097. [Google Scholar] [CrossRef]
- Li, R.; Splinter, K.D.; Felder, S. Aligning free surface properties in time-varying hydraulic jumps. Exp. Therm. Fluid Sci. 2021, 126, 110392. [Google Scholar] [CrossRef]
- Allis, M.J.; Peirson, W.L.; Banner, M.L. Application of LiDAR as a measurement tool for waves. Proc. Int. Offshore Polar Eng. Conf. 2011, 8, 373–379. [Google Scholar]
- Kramer, M.; Chanson, H.; Felder, S. Can we improve the non-intrusive characterization of high-velocity air–water flows? Application of LIDAR technology to stepped spillways. J. Hydraul. Res. 2020, 58, 350–362. [Google Scholar] [CrossRef]
- Mossa, M. On the oscillating characteristics of hydraulic jumps. J. Hydraul. Res. 1999, 37, 541–558. [Google Scholar] [CrossRef]
- Mouaze, D.; Murzyn, F.; Chaplin, J.R. Free surface length scale estimation in hydraulic jumps. J. Fluids Eng. Trans. ASME 2005, 127, 1191–1193. [Google Scholar] [CrossRef] [Green Version]
- Liu, H.T.; Katasros, K.B.; Weissman, M.A. Dynamic response of thin-wire wave gauges. J. Geophys. Res. 1982, 87, 5686–5698. [Google Scholar] [CrossRef]
- Cochard, S.; Ancey, C. Tracking the free surface of time-dependent flows: Image processing for the dam-break problem. Exp. Fluids 2008, 44, 59–71. [Google Scholar] [CrossRef]
- Pavlovčič, U.; Rak, G.; Hočevar, M.; Jezeršek, M. Ranging of Turbulent Water Surfaces Using a Laser Triangulation Principle in a Laboratory Environment. J. Hydraul. Eng. 2020, 146, 04020052. [Google Scholar] [CrossRef]
- Tsubaki, R.; Fujita, I. Stereoscopic measurement of a fluctuating free surface with discontinuities. Meas. Sci. Technol. 2005, 16, 1894–1902. [Google Scholar] [CrossRef]
- Mironov, A.S.; Yurovskaya, M.V.; Dulov, V.A.; Hauser, D.; Guérin, C.A. Statistical characterization of short wind waves from stereo images of the sea surface. J. Geophys. Res. Ocean. 2012, 117. [Google Scholar] [CrossRef] [Green Version]
- Bung, D.B.; Crookston, B.M.; Valero, D. Turbulent free-surface monitoring with an RGB-D sensor: The hydraulic jump case. J. Hydraul. Res. 2020. [Google Scholar] [CrossRef]
- Kramer, M.; Felder, S. Remote Sensing of Aerated Flows at Large Dams: Proof of Concept. Remote Sens. 2021, 13, 2836. [Google Scholar] [CrossRef]
- Leandro, J.; Carvalho, R.; Chachereau, Y.; Chanson, H. Estimating void fraction in a hydraulic jump by measurements of pixel intensity. Exp. Fluids 2012, 52, 1307–1318. [Google Scholar] [CrossRef] [Green Version]
- Montano, L.; Li, R.; Felder, S. Continuous measurements of time-varying free-surface profiles in aerated hydraulic jumps with a LIDAR. Exp. Therm. Fluid Sci. 2018, 93, 379–397. [Google Scholar] [CrossRef]
- Amann, M.-C.; Bosch, T.; Lescure, M.; Myllylae, R.; Rioux, M. Laser ranging: A critical review of usual techniques for distance measurement. Opt. Eng. 2001, 40, 10. [Google Scholar] [CrossRef]
- Shan, J.; Toth, C.K. Topographic Laser Ranging and Scanning Principles and Processing; CRC press: Boca Raton, FL, USA, 2008; ISBN 9781498772273. [Google Scholar]
- Wolcott, R.W.; Eustice, R.M. Visual localization within LIDAR maps for automated urban driving. In Proceedings of the IEEE International Conference on Intelligent Robots and Systems, Chicago, IL, USA, 14–18 September 2014; pp. 176–183. [Google Scholar]
- Asvadi, A.; Garrote, L.; Premebida, C.; Peixoto, P.; Nunes, J.U. Multimodal vehicle detection: Fusing 3D-LIDAR and color camera data. Pattern Recognit. Lett. 2018, 115, 20–29. [Google Scholar] [CrossRef]
- Van Den Eeckhaut, M.; Poesen, J.; Verstraeten, G.; Vanacker, V.; Nyssen, J.; Moeyersons, J.; van Beek, L.P.H.; Vandekerckhove, L. Use of LIDAR-derived images for mapping old landslides under forest. Earth Surf. Process. Landf. 2007, 32, 754–769. [Google Scholar] [CrossRef]
- White, R.A.; Dietterick, B.C.; Mastin, T.; Strohman, R. Forest roads mapped using LiDAR in steep forested terrain. Remote Sens. 2010, 2, 1120–1141. [Google Scholar] [CrossRef] [Green Version]
- Jaboyedoff, M.; Oppikofer, T.; Abellán, A.; Derron, M.H.; Loye, A.; Metzger, R.; Pedrazzini, A. Use of LIDAR in landslide investigations: A review. Nat. Hazards 2012, 61, 5–28. [Google Scholar] [CrossRef] [Green Version]
- Fernald, F.G.; Herman, B.M.; Reagan, J.A. Determination of Aerosol Height Distributions by Lidar. J. Appl. Meteorol. 1972, 11, 482–489. [Google Scholar] [CrossRef] [Green Version]
- Weitkamp, C. Lidar: Range-Resolved Optical Remote Sensing of the Atmosphere; Springer: New York, NY, USA, 2005. [Google Scholar]
- Schumann, G.; Matgen, P.; Cutler, M.E.J.; Black, A.; Hoffmann, L.; Pfister, L. Comparison of remotely sensed water stages from LiDAR, topographic contours and SRTM. ISPRS J. Photogramm. Remote Sens. 2008, 63, 283–296. [Google Scholar] [CrossRef]
- Hilldale, R.C.; Raff, D. Assessing the ability of airborne LiDAR to map river bathymetry. Earth Surf. Process. Landf. 2008, 33, 773–783. [Google Scholar] [CrossRef]
- McKean, J.; Nagel, D.; Tonina, D.; Bailey, P.; Wright, C.W.; Bohn, C.; Nayegandhi, A. Remote sensing of channels and riparian zones with a narrow-beam aquatic-terrestrial LIDAR. Remote Sens. 2009, 1, 1065–1096. [Google Scholar] [CrossRef] [Green Version]
- Hickman, G.D.; Hogg, J.E. Application of an airborne pulsed laser for near shore bathymetric measurements. Remote Sens. Environ. 1969, 1, 47–58. [Google Scholar] [CrossRef]
- Stockdon, H.F.; Sallenger, A.H.; List, J.H.; Holman, R.A. Estimation of shoreline position and change using airborne topographic lidar data. J. Coast. Res. 2002, 18, 502–513. [Google Scholar]
- Middleton, J.H.; Cooke, C.G.; Kearney, E.T.; Mumford, P.J.; Mole, M.A.; Nippard, G.J.; Rizos, C.; Splinter, K.D.; Turner, I.L. Resolution and accuracy of an airborne scanning laser system for beach surveys. J. Atmos. Ocean. Technol. 2013, 30, 2452–2464. [Google Scholar] [CrossRef]
- Blenkinsopp, C.E.; Mole, M.A.; Turner, I.L.; Peirson, W.L. Measurements of the time-varying free-surface profile across the swash zone obtained using an industrial LIDAR. Coast. Eng. 2010, 57, 1059–1065. [Google Scholar] [CrossRef]
- Phillips, M.S.; Blenkinsopp, C.E.; Splinter, K.D.; Harley, M.D.; Turner, I.L. Modes of Berm and Beachface Recovery Following Storm Reset: Observations Using a Continuously Scanning Lidar. J. Geophys. Res. Earth Surf. 2019, 124, 720–736. [Google Scholar] [CrossRef]
- O’Dea, A.; Brodie, K.L.; Hartzell, P. Continuous coastal monitoring with an automated terrestrial lidar scanner. J. Mar. Sci. Eng. 2019, 7, 37. [Google Scholar] [CrossRef] [Green Version]
- Blenkinsopp, C.E.; Turner, I.L.; Allis, M.J.; Peirson, W.L.; Garden, L.E. Application of LiDAR technology for measurement of time-varying free-surface profiles in a laboratory wave flume. Coast. Eng. 2012, 68, 1–5. [Google Scholar] [CrossRef]
- Montano, L.; Felder, S. LIDAR Observations of Free-Surface Time and Length Scales in Hydraulic Jumps. J. Hydraul. Eng. 2020, 146, 04020007. [Google Scholar] [CrossRef]
- Felder, S.; Montano, L.; Cui, H.; Peirson, W.; Kramer, M. Effect of inflow conditions on the free-surface properties of hydraulic jumps. J. Hydraul. Res. 2021. [Google Scholar] [CrossRef]
- Rak, G.; Steinman, F.; Hočevar, M.; Dular, M.; Jezeršek, M.; Pavlovčič, U. Laser ranging measurements of turbulent water surfaces. Eur. J. Mech. B/Fluids 2020, 81, 165–172. [Google Scholar] [CrossRef]
- Li, R.; Montano, L.; Splinter, K.; Felder, S. Opportunities of LIDAR measurements in air-water flows. In Proceedings of the 38th IAHR World Congress, Panama City, Panama, 1–6 September 2019. [Google Scholar] [CrossRef]
- Felder, S.; Pfister, M. Comparative analyses of phase-detective intrusive probes in high-velocity air–water flows. Int. J. Multiph. Flow 2017, 90, 88–101. [Google Scholar] [CrossRef] [Green Version]
- Felder, S.; Hohermuth, B.; Boes, R.M. High-velocity air-water flows downstream of sluice gates including selection of optimum phase-detection probe. Int. J. Multiph. Flow 2019, 116, 203–220. [Google Scholar] [CrossRef]
- Felder, S.; Chanson, H. Phase-detection probe measurements in high-velocity free-surface flows including a discussion of key sampling parameters. Exp. Therm. Fluid Sci. 2015, 61, 66–78. [Google Scholar] [CrossRef]
- Wang, H.; Chanson, H. Air entrainment and turbulent fluctuations in hydraulic jumps. Urban Water J. 2015, 12, 502–518. [Google Scholar] [CrossRef] [Green Version]
- Montano, L.; Felder, S.; Cox, R.; Felder, S. Measuring internal forces in a hydraulic jump with a load cell. In Proceedings of the 38th IAHR World Congress, Panama City, Panama, 1–6 September 2019. [Google Scholar] [CrossRef]
- Murzyn, F.; Chanson, H. Free-surface fluctuations in hydraulic jumps: Experimental observations. Exp. Therm. Fluid Sci. 2009, 33, 1055–1064. [Google Scholar] [CrossRef] [Green Version]
- Paul, J.D.; Buytaert, W.; Sah, N. A Technical Evaluation of Lidar-Based Measurement of River Water Levels. Water Resour. Res. 2020, 56, e2019WR026810. [Google Scholar] [CrossRef] [Green Version]
- Soudarissanane, S.; Lindenbergh, R.; Menenti, M.; Teunissen, P. Scanning geometry: Influencing factor on the quality of terrestrial laser scanning points. ISPRS J. Photogramm. Remote Sens. 2011, 66, 389–399. [Google Scholar] [CrossRef]
- Martins, K.; Bonneton, P.; Frappart, F.; Detandt, G.; Bonneton, N.; Blenkinsopp, C.E. High frequency field measurements of an undular bore using a 2D LiDAR scanner. Remote Sens. 2017, 9, 462. [Google Scholar] [CrossRef] [Green Version]
- Li, R.; Splinter, K.D.; Felder, S. Free-surface mapping of air-water flows in a stilling basin. In Proceedings of the 8th International Symposium on Hydraulic Structures, Santiago, Chile, 12–15 May 2020. [Google Scholar] [CrossRef]
- Hohermuth, B.; Boes, R.M.; Felder, S. High-Velocity Air-Water Flow Measurements in a Prototype Tunnel Chute–Scaling of Void Fraction and Interfacial Velocity. J. Hydraul. Eng. 2021, 147, 04021044. [Google Scholar] [CrossRef]
Publisher’s Note: MDPI stays neutral with regard to jurisdictional claims in published maps and institutional affiliations. |
© 2021 by the authors. Licensee MDPI, Basel, Switzerland. This article is an open access article distributed under the terms and conditions of the Creative Commons Attribution (CC BY) license (https://creativecommons.org/licenses/by/4.0/).







