Actual Evapotranspiration from UAV Images: A Multi-Sensor Data Fusion Approach
Abstract
1. Introduction
2. Materials and Methods
2.1. Study Area
2.2. Datasets
2.2.1. Field Data
2.2.2. Remotely Sensed Data
2.2.3. Meteorological Data
2.3. Mapping EvapoTranspiration at High Resolution with Internalized Calibration (METRIC)
2.4. Modified TsHARP Method: The Multi-Sensor Data Fusion Model for Actual Evapotranspiration Estimation (MSDF-ET)
- Different VIs (Table 4) were calculated from different bands of Landsat 8 including NDVI, SAVI, EVI, NDWI, and LSWI. The reason for selecting these VIs was mainly due to the emanations from the different bands used in their formulation (Blue, Red, NIR, SWIR1, and SWIR2), as well as the soil correction coefficient used in SAVI, because the study area was an orchard exposing a high soil surface area, and atmospheric correction in EVI.
- To find the most suitable VI for the method, the ETrf-VI relationships were investigated before proceeding with the MSDF-ET application on ETrf estimation.
- The most suitable VI was selected and a linear relationship was established for each Landsat 8 overpass to find the slope (a) and intercept of the equation (b):where ETrfLC08 is the ETrf calculated from the METRIC algorithm using the Landsat 8 multispectral/thermal bands, and VILC08 is the most suitable VI calculated from Landsat 8 multispectral bands.
- Once “a” and “b” were found, a Bias image for each overpass was constructed to suppress the effects of non-vegetation phenomena on the ETrf variations:where ETrfLC08,unc is the uncorrected ETrf calculated from “a” and “b”, which were obtained from step 3 (Equation (11)) and Bias is the image containing the effects of non-vegetation objects covering the ground.
- Having calculated the Bias image, an uncorrected ETrf was calculated using the multispectral bands of the UAV images (ETrfUAV,unc):
- In the end, the Bias image was resampled and applied to ETrfUAV,unc to achieve the true ETrf of the UAV images without the help of UAV-based thermal bands:ETrfUAV, MSDF-ET = Bias + ETrfUAV,unc
2.5. Model Evaluation
- Directly evaluating the results with the ETa measured using the three EC towers installed in the almond fields.
- A pixel-by-pixel evaluation of the model against ETa calculated from the METRIC model using the UAV images.
- A pixel-by-pixel evaluation of the model against ETa calculated from the METRIC model using the Landsat 8 images.
- Visual interpretation of the ETa maps.
2.6. Statistical Analysis
3. Results
3.1. METRIC-Based ETa
3.1.1. Against the Measured Data
3.1.2. Correlation with the VIs
3.2. MSDF-ET Evaluation
3.2.1. Against Measured ETa
3.2.2. Against UAV METRIC ETa
4. Discussion
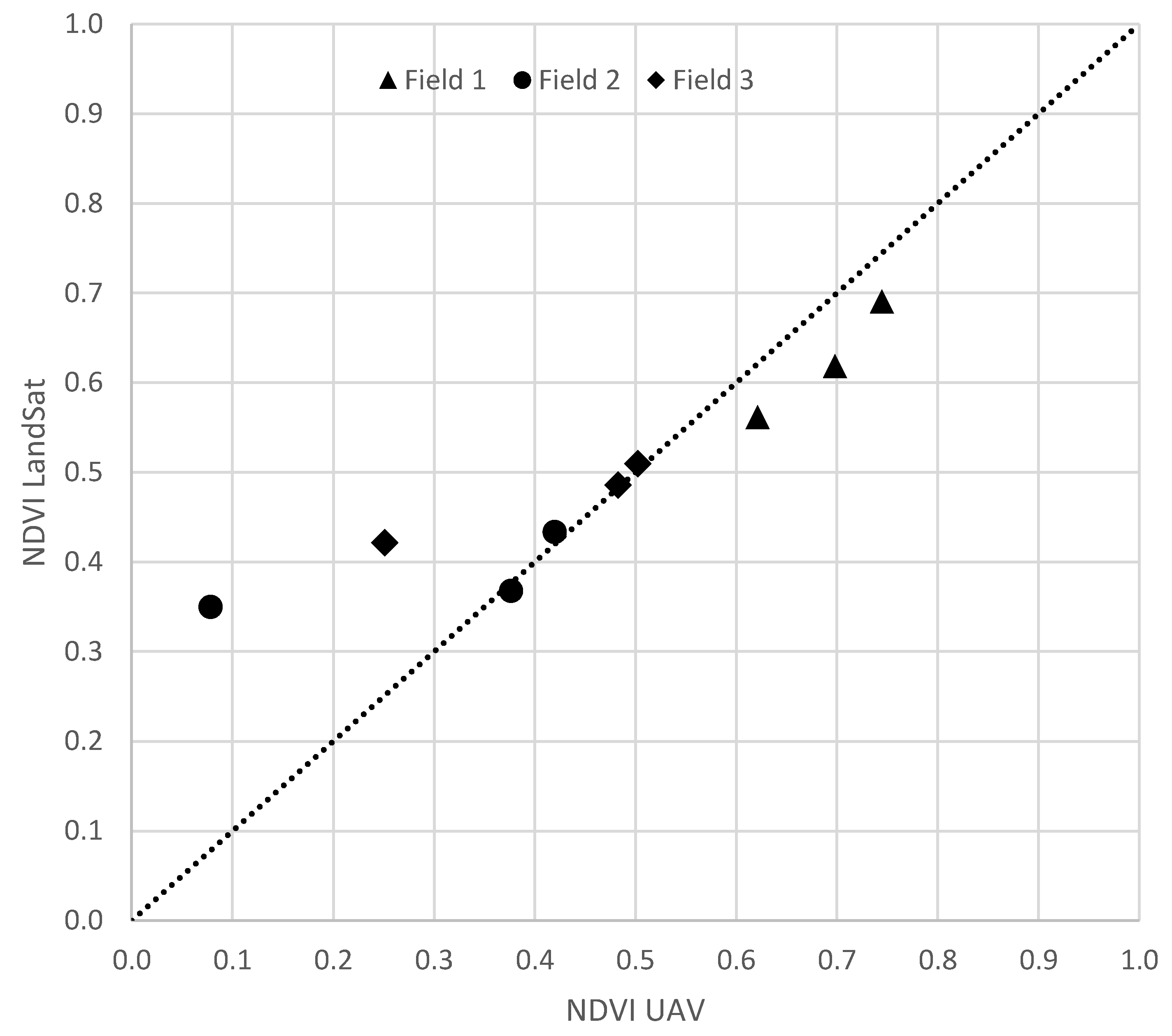
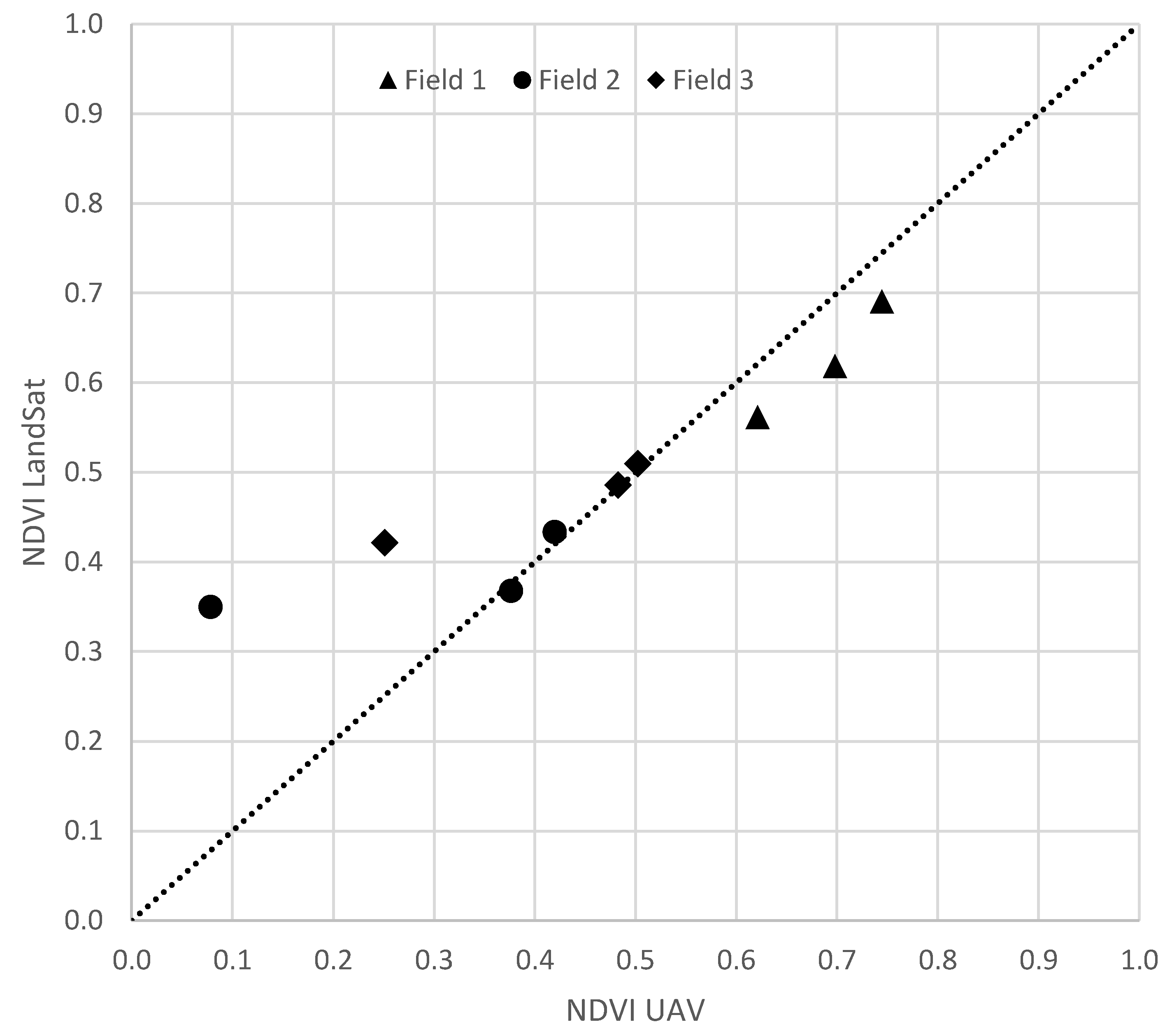
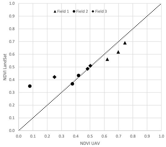
4.1. UAV- and Landsat 8-Based NDVI Comparison
4.2. Differences in Spatial Resolution (UAV vs. Landsat 8)
4.3. Visual Interpretation (MSDF-ET vs. METRIC UAV)
4.4. Soil Moisture Detection (MSDF-ET vs. METRIC UAV)
4.5. Shadow Effects (MSDF-ET vs. METRIC UAV)
4.6. Advantages and Disadvantages of the MSDF-ET Method
- The foremost advantage was the higher spatial resolution of the resulting ETa maps.
- The thermal image was excluded, which may result in a less expensive device for ETa mapping.
- Albedo calculation procedure using UAV images was removed, as these images usually suffer from the lack of bands covering the shortwave infrared portion of the spectrum, inevitably causing errors in ETa maps.
- Finding a well-watered vegetation or a fully dry surface in the limited UAV’s field of view has been always challenging, and the MSDF-ET method removed the need for hot and cold pixel selection.
- Due to METRIC-based ETa calculations applied to Landsat 8 images, the process was not heavy and could be executed on a low-performance laptop.
- Instead of sharpening LST to the UAV resolution, which was not transferable from one date to another, ETrf was used to omit this limitation and apply the MSDF-ET method to UAV images not captured in the Landsat 8 overpasses.
- The wet soils could not be clearly distinguished compared with the METRIC method.
- In cases of cloudy Landsat images, the interval between two consecutive Landsat overpasses is increased, and subsequently the accuracy decreases (however the launch of Landsat 9 would immensely reduce the risk).
5. Conclusions
Author Contributions
Funding
Conflicts of Interest
References
- Roser, M.; Hannah Ritchie, H.; Esteban Ortiz-Ospina, E. World Population Growth. Published online at OurWorldInData.org. 2013. Available online: https://ourworldindata.org/world-population-growth (accessed on 12 June 2021).
- FAO. Crops and Drops: Making the Best Use of Water for Agriculture; Food and Agriculture Organization of the United Nations: Rome, Italy, 2000.
- Nassar, A.; Torres-Rua, A.; Kustas, W.; Nieto, H.; McKee, M.; Hipps, L.; Stevens, D.; Alfieri, J.; Prueger, J.; Alsina, M.M.; et al. Influence of Model Grid Size on the Estimation of Surface Fluxes Using the Two Source Energy Balance Model and sUAS Imagery in Vineyards. Remote Sens. 2020, 12, 342. [Google Scholar] [CrossRef] [PubMed]
- Wang, T.; Tang, R.; Li, Z.-L.; Jiang, Y.; Liu, M.; Niu, L. An Improved Spatio-Temporal Adaptive Data Fusion Algorithm for Evapotranspiration Mapping. Remote Sens. 2019, 11, 761. [Google Scholar] [CrossRef]
- McCabe, M.F.; Rodell, M.; Alsdorf, D.E.; Miralles, D.G.; Uijlenhoet, R.; Wagner, W.; Lucieer, A.; Houborg, R.; Verhoest, N.E.C.; Franz, T.E.; et al. The future of Earth observation in hydrology. Hydrol. Earth Syst. Sci. 2017, 21, 3879–3914. [Google Scholar] [CrossRef]
- Bastiaanssen, W.; Menenti, M.; Feddes, R.; Holtslag, A. A remote sensing surface energy balance algorithm for land (SEBAL). Formulation. J. Hydrol. 1998, 212, 198–212. [Google Scholar] [CrossRef]
- Su, Z. The Surface Energy Balance System (SEBS) for estimation of turbulent heat fluxes. Hydrol. Earth Syst. Sci. 2002, 6, 85–100. [Google Scholar] [CrossRef]
- Allen, R.G.; Tasumi, M.; Trezza, R. Satellite-Based Energy Balance for Mapping Evapotranspiration with Internalized Calibration (METRIC)—Model. J. Irrig. Drain. Eng. 2007, 133, 380–394. [Google Scholar] [CrossRef]
- Allen, R.G.; Tasumi, M.; Morse, A.; Trezza, R.; Wright, J.L.; Bastiaanssen, W.; Kramber, W.; Lorite, I.; Robison, C.W. Satellite-Based Energy Balance for Mapping Evapotranspiration with Internalized Calibration (METRIC)—Applications. J. Irrig. Drain. Eng. 2007, 133, 395–406. [Google Scholar] [CrossRef]
- Ramírez-Cuesta, J.; Allen, R.; Zarco-Tejada, P.; Kilic, A.; Santos, C.; Lorite, I. Impact of the spatial resolution on the energy balance components on an open-canopy olive orchard. Int. J. Appl. Earth Obs. Geoinform. 2019, 74, 88–102. [Google Scholar] [CrossRef]
- Norman, J.; Kustas, W.; Humes, K. Source approach for estimating soil and vegetation energy fluxes in observations of directional radiometric surface temperature. Agric. For. Meteorol. 1995, 77, 263–293. [Google Scholar] [CrossRef]
- Xia, T.; Kustas, W.P.; Anderson, M.C.; Alfieri, J.G.; Gao, F.; McKee, L.; Prueger, J.H.; Geli, H.M.E.; Neale, C.M.U.; Sanchez, L.; et al. Mapping evapotranspiration with high-resolution aircraft imagery over vineyards using one- and two-source modeling schemes. Hydrol. Earth Syst. Sci. 2016, 20, 1523–1545. [Google Scholar] [CrossRef]
- Cheng, J.; Kustas, W.P. Using Very High Resolution Thermal Infrared Imagery for More Accurate Determination of the Impact of Land Cover Differences on Evapotranspiration in an Irrigated Agricultural Area. Remote Sens. 2019, 11, 613. [Google Scholar] [CrossRef]
- Torres-Rua, A.; Ticlavilca, A.M.; Aboutalebi, M.; Nieto, H.; Alsina, M.M.; White, A.; Prueger, J.H.; Alfieri, J.; Hipps, L.; McKee, L.; et al. Estimation of evapotranspiration and energy fluxes using a deep learning-based high-resolution emissivity model and the two-source energy balance model with sUAS information. In Proceedings of the Autonomous Air and Ground Sensing Systems for Agricultural Optimization and Phenotyping, International Society for Optics and Photonics, Bellingham, DC, USA, 14 May 2020; Volume 11414, p. 114140B. [Google Scholar]
- Aboutalebi, M.; Torres-Rua, A.F.; McKee, M.; Kustas, W.P.; Nieto, H.; Alsina, M.M.; White, A.; Prueger, J.H.; McKee, L.; Alfieri, J.; et al. Incorporation of Unmanned Aerial Vehicle (UAV) Point Cloud Products into Remote Sensing Evapotranspiration Models. Remote Sens. 2020, 12, 50. [Google Scholar] [CrossRef]
- Zipper, S.C.; Loheide, S.P. Using evapotranspiration to assess drought sensitivity on a subfield scale with HRMET, a high resolution surface energy balance model. Agric. For. Meteorol. 2014, 197, 91–102. [Google Scholar] [CrossRef]
- Castelli, M.; Asam, S.; Jacob, A.; Zebisch, M.; Notarnicola, C. Monitoring daily evapotranspiration in the Alps ex-ploiting Sentinel-2 and meteorological data. In Proceedings of the Remote Sensing and Hydrology Symposium (ICRS-IAHS), Cordoba, Spain, 8–10 May 2018. [Google Scholar]
- Rozenstein, O.; Haymann, N.; Kaplan, G.; Tanny, J. Estimating cotton water consumption using a time series of Sentinel-2 imagery. Agric. Water Manag. 2018, 207, 44–52. [Google Scholar] [CrossRef]
- Vanino, S.; Nino, P.; De Michele, C.; Bolognesi, S.F.; D’Urso, G.; Di Bene, C.; Pennelli, B.; Vuolo, F.; Farina, R.; Pulighe, G.; et al. Capability of Sentinel-2 data for estimating maximum evapotranspiration and irrigation requirements for tomato crop in Central Italy. Remote Sens. Environ. 2018, 215, 452–470. [Google Scholar] [CrossRef]
- Teixeira, A.H.D.C. Determining Regional Actual Evapotranspiration of Irrigated Crops and Natural Vegetation in the São Francisco River Basin (Brazil) Using Remote Sensing and Penman-Monteith Equation. Remote Sens. 2010, 2, 1287–1319. [Google Scholar] [CrossRef]
- Agam, N.; Kustas, W.P.; Anderson, M.C.; Li, F.; Neale, C.M. A vegetation index based technique for spatial sharpening of thermal imagery. Remote Sens. Environ. 2007, 107, 545–558. [Google Scholar] [CrossRef]
- Weng, Q.; Fu, P.; Gao, F. Generating daily land surface temperature at Landsat resolution by fusing Landsat and MODIS data. Remote Sens. Environ. 2014, 145, 55–67. [Google Scholar] [CrossRef]
- Lillo-Saavedra, M.; García-Pedrero, A.; Merino, G.; Gonzalo-Martín, C. TS2uRF: A New Method for Sharpening Thermal Infrared Satellite Imagery. Remote Sens. 2018, 10, 249. [Google Scholar] [CrossRef]
- Cammalleri, C.; Anderson, M.C.; Gao, F.; Hain, C.R.; Kustas, W.P. A data fusion approach for mapping daily evapotranspiration at field scale. Water Resour. Res. 2013, 49, 4672–4686. [Google Scholar] [CrossRef]
- Knipper, K.R.; Kustas, W.P.; Anderson, M.C.; Alfieri, J.G.; Prueger, J.H.; Hain, C.R.; Hipps, L.E. Evapotran-spiration estimates derived using thermal-based satellite remote sensing and data fusion for irrigation management in California vineyards. Irrig. Sci. 2019, 37, 431–449. [Google Scholar] [CrossRef]
- Mokhtari, A.; Noory, H.; Pourshakouri, F.; Haghighatmehr, P.; Afrasiabian, Y.; Razavi, M.; Naeni, A.S. Calcu-lating potential evapotranspiration and single crop coefficient based on energy balance equation using Landsat 8 and Senti-nel-ISPRS. J. Photogramm. Remote Sens. 2019, 154, 231–245. [Google Scholar] [CrossRef]
- Mokhtari, A.; Noory, H.; Vazifedoust, M.; Palouj, M.; Bakhtiari, A.; Barikani, E.; Afrooz, R.A.Z.; Fereydooni, F.; Naeni, A.S.; Pourshakouri, F.; et al. Evaluation of single crop coefficient curves derived from Landsat satellite images for major crops in Iran. Agric. Water Manag. 2019, 218, 234–249. [Google Scholar] [CrossRef]
- Xue, J.; Anderson, M.C.; Gao, F.; Hain, C.; Sun, L.; Yang, Y.; Knipper, K.R.; Kustas, W.P.; Torres-Rua, A.; Schull, M. Sharpening ECOSTRESS and VIIRS land surface temperature using harmonized Landsat-Sentinel surface reflectances. Remote Sens. Environ. 2020, 251, 112055. [Google Scholar] [CrossRef] [PubMed]
- Guzinski, R.; Nieto, H. Evaluating the feasibility of using Sentinel-2 and Sentinel-3 satellites for high-resolution evapotranspiration estimations. Remote Sens. Environ. 2019, 221, 157–172. [Google Scholar] [CrossRef]
- Guzinski, R.; Nieto, H.; Sandholt, I.; Karamitilios, G. Modelling High-Resolution Actual Evapotranspiration through Sentinel-2 and Sentinel-3 Data Fusion. Remote Sens. 2020, 12, 1433. [Google Scholar] [CrossRef]
- Cihlar, J.; St.-Laurent, L.; Dyer, J. Relation between the normalized difference vegetation index and ecological variables. Remote Sens. Environ. 1991, 35, 279–298. [Google Scholar] [CrossRef]
- Choudhury, B.; Ahmed, N.; Idso, S.; Reginato, R.; Daughtry, C. Relations between evaporation coefficients and vegetation indices studied by model simulations. Remote Sens. Environ. 1994, 50, 1–17. [Google Scholar] [CrossRef]
- Mateos, L.; González-Dugo, M.; Testi, L.; Villalobos, F. Monitoring evapotranspiration of irrigated crops using crop coefficients derived from time series of satellite images. I. Method validation. Agric. Water Manag. 2013, 125, 81–91. [Google Scholar] [CrossRef]
- Dos Santos, R.A.; Mantovani, E.C.; Filgueiras, R.; Fernandes-Filho, E.I.; Da Silva, A.C.B.; Venancio, L.P. Actual Evapotranspiration and Biomass of Maize from a Red–Green-Near-Infrared (RGNIR) Sensor on Board an Unmanned Aerial Vehicle (UAV). Water 2020, 12, 2359. [Google Scholar] [CrossRef]
- Rouse, J.W., Jr.; Haas, R.H.; Deering, D.W.; Schell, J.A.; Harlan, J.C. Monitoring the Vernal Advancement and Retrogradation (Green Wave Effect) of Natural Vegetation; Great Plains Corridor; Texas A&M University: College Station, TX, USA, 1974. [Google Scholar]
- Huete, A. A soil-adjusted vegetation index (SAVI). Remote Sens. Environ. 1988, 25, 295–309. [Google Scholar] [CrossRef]
- Liu, H.Q.; Huete, A. A feedback based modification of the NDVI to minimize canopy background and atmospheric noise. IEEE Trans. Geosci. Remote Sens. 1995, 33, 457–465. [Google Scholar] [CrossRef]
- Nolet, C.; Poortinga, A.; Roosjen, P.; Bartholomeus, H.; Ruessink, G. Measuring and Modeling the Effect of Surface Moisture on the Spectral Reflectance of Coastal Beach Sand. PLoS ONE 2014, 9, e112151. [Google Scholar] [CrossRef]
- Gao, B.-C. NDWI—A normalized difference water index for remote sensing of vegetation liquid water from space. Remote Sens. Environ. 1995, 58, 257–266. [Google Scholar] [CrossRef]
- McFeeters, S.K. The use of the Normalized Difference Water Index (NDWI) in the delineation of open water features. Int. J. Remote Sens. 1996, 17, 1425–1432. [Google Scholar] [CrossRef]
- Abatzoglou, J.T. Development of gridded surface meteorological data for ecological applications and modelling. Int. J. Clim. 2013, 33, 121–131. [Google Scholar] [CrossRef]
- Kljun, N.; Calanca, P.; Rotach, M.W.; Schmid, H.P. A simple two-dimensional parameterisation for Flux Footprint Prediction (FFP). Geosci. Model Dev. 2015, 8, 3695–3713. [Google Scholar] [CrossRef]
- Lian, J.; Huang, M. Comparison of three remote sensing based models to estimate evapotranspiration in an oa-sis-desert region. Agric. Water Manag. 2016, 165, 153–162. [Google Scholar] [CrossRef]
- Bhattarai, N.; Quackenbush, L.J.; Im, J.; Shaw, S.B. A new optimized algorithm for automating endmember pixel selection in the SEBAL and METRIC models. Remote Sens. Environ. 2017, 196, 178–192. [Google Scholar] [CrossRef]
- Wagle, P.; Bhattarai, N.; Gowda, P.H.; Kakani, V.G. Performance of five surface energy balance models for esti-mating daily evapotranspiration in high biomass sorghum. ISPRS J. Photogramm. Remote Sens. 2017, 128, 192–203. [Google Scholar] [CrossRef]
- Jaafar, H.H.; Ahmad, F.A. Time series trends of Landsat-based ET using automated calibration in METRIC and SEBAL: The Bekaa Valley, Lebanon. Remote Sens. Environ. 2020, 238, 111034. [Google Scholar] [CrossRef]
- Chávez, J.L.; Gowda, P.H.; Howell, T.A.; Garcia, L.A.; Copeland, K.S.; Neale, C.M.U. ET Mapping with High-Resolution Airborne Remote Sensing Data in an Advective Semiarid Environment. J. Irrig. Drain. Eng. 2012, 138, 416–423. [Google Scholar] [CrossRef]
- Waters, R.; Allen, R.; Tasumi, M.; Trezza, R.; Bastiaanssen, W.G.M. SEBAL (Surface Energy Balance Algorithms for Land): Advanced Training and User’s Manual; Department of Water Resources, University of Idaho: Kimberly, ID, USA, 2002; p. 98. [Google Scholar]
- Brest, C.L.; Goward, S.N. Deriving surface albedo measurements from narrow band satellite data. Int. J. Remote Sens. 1987, 8, 351–367. [Google Scholar] [CrossRef]
- Bastiaanssen, W. SEBAL-based sensible and latent heat fluxes in the irrigated Gediz Basin, Turkey. J. Hydrol. 2000, 229, 87–100. [Google Scholar] [CrossRef]
- Allen, R.G.; Pereira, L.S.; Raes, D.; Smith, M. Crop evapotranspiration-Guidelines for computing crop water requirements-FAO Irrigation and drainage paper. FAO Rome 1998, 300, D05109. [Google Scholar]
- Huryna, H.; Cohen, Y.; Karnieli, A.; Panov, N.; Kustas, W.P.; Agam, N. Evaluation of TsHARP Utility for Thermal Sharpening of Sentinel-3 Satellite Images Using Sentinel-2 Visual Imagery. Remote Sens. 2019, 11, 2304. [Google Scholar] [CrossRef]
- Mokhtari, A.; Noory, H.; Vazifedoust, M.; Bahrami, M. Estimating net irrigation requirement of winter wheat using model- and satellite-based single and basal crop coefficients. Agric. Water Manag. 2018, 208, 95–106. [Google Scholar] [CrossRef]
- Allen, R.G.; Irmak, A.; Trezza, R.; Hendrickx, J.M.H.; Bastiaanssen, W.G.M.; Kjaersgaard, J. Satellite-based ET estimation in agriculture using SEBAL and METRIC. Hydrol. Process. 2011, 25, 4011–4027. [Google Scholar] [CrossRef]
- Sadeghi, M.; Jones, S.B.; Philpot, W.D. A linear physically-based model for remote sensing of soil moisture using short wave infrared bands. Remote Sens. Environ. 2015, 164, 66–76. [Google Scholar] [CrossRef]
- Aboutalebi, M.; Torres-Rua, A.F.; Kustas, W.P.; Nieto, H.; Coopmans, C.; McKee, M. Assessment of different methods for shadow detection in high-resolution optical imagery and evaluation of shadow impact on calculation of NDVI, and evapotranspiration. Irrig. Sci. 2019, 37, 407–429. [Google Scholar] [CrossRef]
- Zhang, L.; Sun, X.; Wu, T.; Zhang, H. An Analysis of Shadow Effects on Spectral Vegetation Indexes Using a Ground-Based Imaging Spectrometer. IEEE Geosci. Remote Sens. Lett. 2015, 12, 2188–2192. [Google Scholar] [CrossRef]














| Date\Type of Data | Landsat 8 | UAV | Hourly Meteorological | EC Data over the Three Fields |
|---|---|---|---|---|
| 27 June 2019 | ● | ● | ||
| 1 July 2019 | ● | ● | ● | |
| 6 July 2019 | ● | ● | ||
| 24 September 2019 | ● | ● | ● | ● |
| 9 August 2020 | ● | ● | ● | ● |
| Platform (Sensor) | Band Number | Band Name | Central (nm) | Band Width (nm) |
|---|---|---|---|---|
| Landsat 8 | Band 1 | Coastal aerosol | 440 | 20 |
| (OLI/TIRS) | Band 2 | Blue | 480 | 60 |
| Band 3 | Green | 560 | 60 | |
| Band 4 | Red | 655 | 30 | |
| Band 5 | NIR | 865 | 30 | |
| Band 6 | SWIR 1 | 1610 | 80 | |
| Band 7 | SWIR 2 | 2200 | 180 | |
| Band 8 | Panchromatic | 590 | 180 | |
| Band 9 | Cirrus | 1370 | 20 | |
| Band 10 | TIRS 1 | 10,895 | 590 | |
| Band 11 | TIRS 2 | 12,005 | 1010 | |
| UAV | Band 1 | Blue | 475 | 32 |
| (Micasense Altum) | Band 2 | Green | 560 | 27 |
| Band 3 | Red | 668 | 14 | |
| Band 4 | NIR | 842 | 57 | |
| Band 5 | Red Edge | 717 | 12 | |
| Band 6 | Thermal | 11,000 | 6000 |
| Acquisition Time (PST) | Flight Altitude (m) | Ground Sampling Distance (cm) | |||
|---|---|---|---|---|---|
| Date | Field 1 | Field 2 | Field 3 | ||
| 1 July 2019 | 11:21 | 12:00 | 12:59 | 60 | 2.65 |
| 24 September 2019 | 12:15 | 12:40 | 13:20 | 60 | 2.65 |
| 9 August 2020 | 11:16 | 11:38 | 12:30 | 70 | 3.23 |
| Abbreviation | Full Name | Formula |
|---|---|---|
| NDVI | Normalized Difference Vegetation Index | |
| SAVI | Soil Adjusted Vegetation Index | |
| EVI | Enhanced Vegetation Index | |
| NDWI | Normalized Difference Water Index | |
| LSWI | Land Surface Water Index |
Publisher’s Note: MDPI stays neutral with regard to jurisdictional claims in published maps and institutional affiliations. |
© 2021 by the authors. Licensee MDPI, Basel, Switzerland. This article is an open access article distributed under the terms and conditions of the Creative Commons Attribution (CC BY) license (https://creativecommons.org/licenses/by/4.0/).
Share and Cite
Mokhtari, A.; Ahmadi, A.; Daccache, A.; Drechsler, K. Actual Evapotranspiration from UAV Images: A Multi-Sensor Data Fusion Approach. Remote Sens. 2021, 13, 2315. https://doi.org/10.3390/rs13122315
Mokhtari A, Ahmadi A, Daccache A, Drechsler K. Actual Evapotranspiration from UAV Images: A Multi-Sensor Data Fusion Approach. Remote Sensing. 2021; 13(12):2315. https://doi.org/10.3390/rs13122315
Chicago/Turabian StyleMokhtari, Ali, Arman Ahmadi, Andre Daccache, and Kelley Drechsler. 2021. "Actual Evapotranspiration from UAV Images: A Multi-Sensor Data Fusion Approach" Remote Sensing 13, no. 12: 2315. https://doi.org/10.3390/rs13122315
APA StyleMokhtari, A., Ahmadi, A., Daccache, A., & Drechsler, K. (2021). Actual Evapotranspiration from UAV Images: A Multi-Sensor Data Fusion Approach. Remote Sensing, 13(12), 2315. https://doi.org/10.3390/rs13122315

