A Machine Learning-Based Approach for Surface Soil Moisture Estimations with Google Earth Engine
Abstract
1. Introduction
2. Data and Study Area
2.1. The International Soil Moisture Network
2.2. Google Earth Engine
2.2.1. Sentinel-1
2.2.2. Copernicus Global Land Cover Layer (CGLS-LC100)
2.2.3. The Global Land Data Assimilation System (GLDAS)
2.2.4. Landsat-8 Shortwave Reflectance and Thermal Radiance
2.2.5. MOD13Q1 Enhanced Vegetation Index
2.2.6. OpenLandMap (OLM) Soil Information
3. Methods
3.1. S1 Preprocessing
- Apply orbit file
- Thermal noise removal
- Radiometric calibration
- Terrain correction using the SRTM 30, or the ASTER DEM for areas beyond ±60° latitude, where SRTM is not available
- Resampling to a 10 m grid
- Multitemporal speckle filter
- Radiometric terrain correction
- Feature extraction
3.1.1. Multitemporal Speckle Filter
3.1.2. Radiometric Terrain Correction
3.1.3. Computation of Temporal Statistics
3.2. Feature Extraction, Masking, and Merging
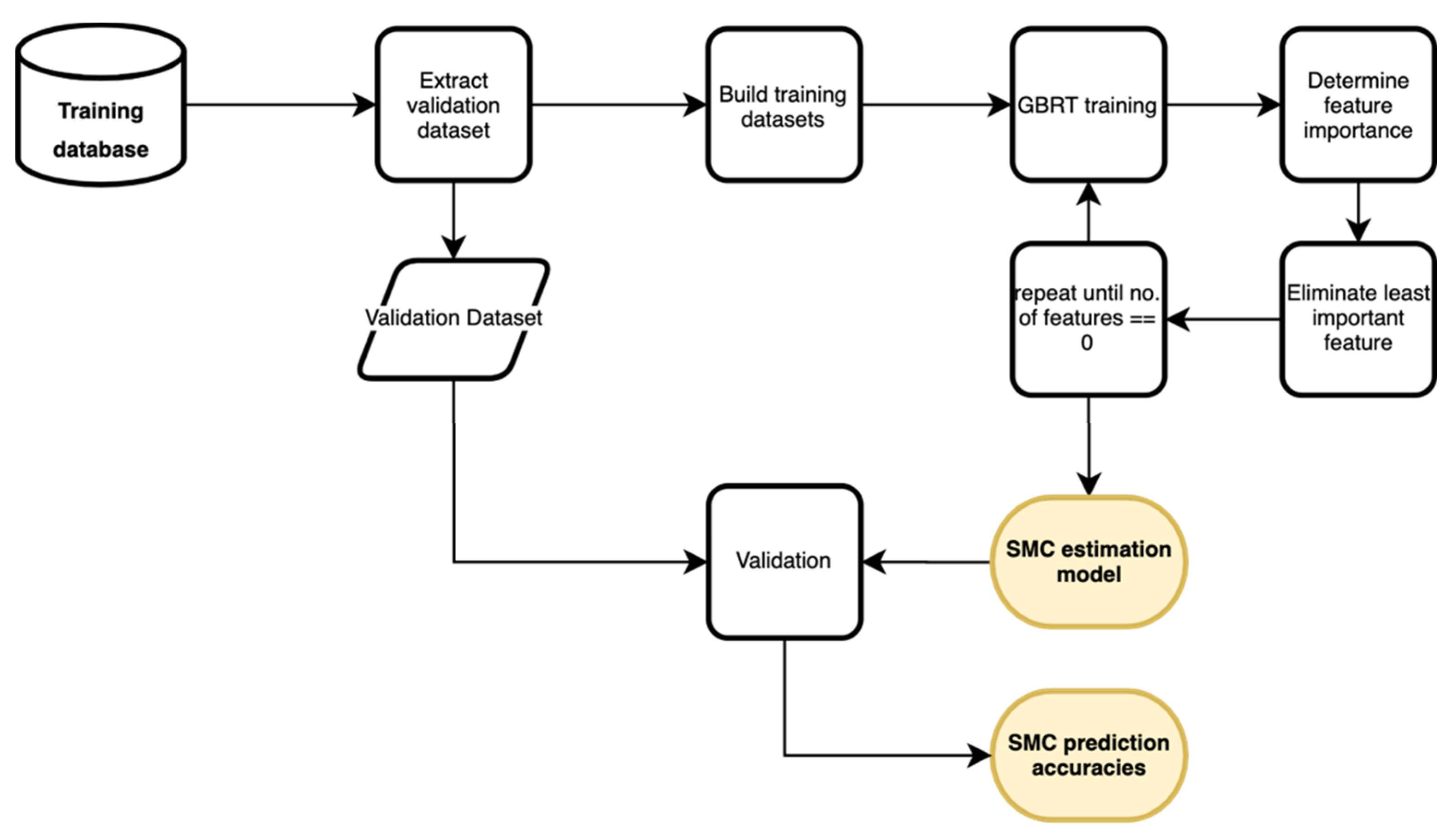
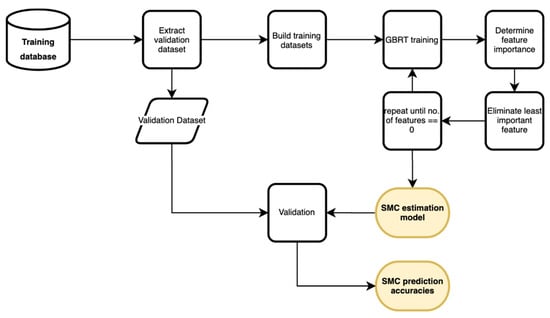
3.3. Model Training
- Generation of training and test datasets: the test dataset consisted of 20% of the samples and was randomly selected. The remaining 80% represented the training dataset.
- Tuning and training: cross-validation (CV) and a grid-search approach drove the optimization of hyperparameters [87]. To be specific, Leaf-One-Group-Out-Cross-Validation (LOGO-CV) was applied to find the optimal setting of hyperparameters. Table 5 shows which parameters were tuned and how the search space was defined. The hyperparameters, which are not listed in the table, were set to the default values of the Scikit-Learn implementation. Following the LOGO approach for calculating the validation score, the training dataset was split up into N groups (according to the 461 ISMN stations). Iteratively, the algorithm training was performed based on data from N-1 groups and validated against the left-out group. The average based on all iterations gave the final score. The validation score was calculated for every possible hyperparameter configuration. The LOGO-CV approach allows for estimating the trained model’s generalization capabilities, favoring hyperparameter settings, configuring the algorithm to be less prone to overfitting. The grouping of samples based on the ISMN stations simulates the estimation model’s application for an unseen location.
- Feature selection: the training procedure was further nested in an automatic feature selection routine wherein the training was repeated iteratively with the least essential feature removed in each step. The ranking was based on the impurity-based feature importance, which is provided as an output of the Scikit-Learn implementations.
- Testing: the final assessment of the SMC estimation accuracy (the test score) was performed based on the independent test dataset extracted from the whole dataset before the training procedure. Therefore, the test dataset constituted an unseen set and allowed estimating the model’s generalization capabilities. A sizeable negative difference between the validation score and the test score would indicate overfitting of the model to the training dataset.
3.4. Implementation
4. Results and Discussion
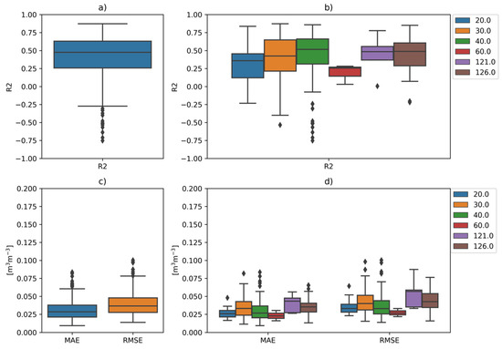
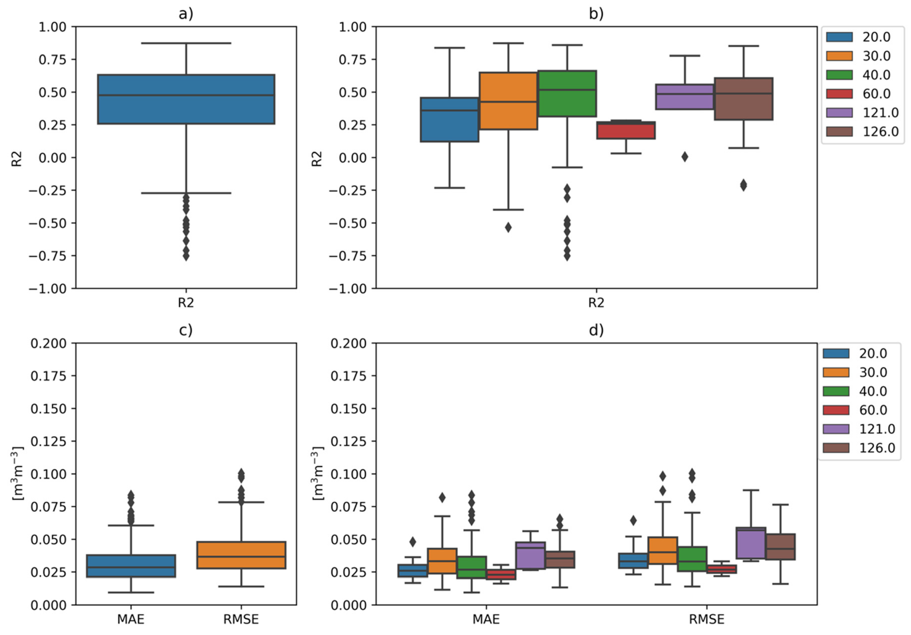
4.1. Algorithm Training and Validation Results
4.2. Assessment of the Temporal Accuracy
4.3. Feature Importances
4.4. Training Performance
4.5. Comparison to Established Methods and Other Experimental Results
5. Conclusions
Supplementary Materials
Author Contributions
Funding
Institutional Review Board Statement
Informed Consent Statement
Data Availability Statement
Conflicts of Interest
References
- Bras, R.L. Complexity and organization in hydrology: A personal view. Water Resour. Res. 2015, 51, 6532–6548. [Google Scholar] [CrossRef]
- Liu, D.; Wang, G.; Mei, R.; Yu, Z.; Yu, M. Impact of initial soil moisture anomalies on climate mean and extremes over Asia. J. Geophys. Res. Atmos. 2014, 119, 529–545. [Google Scholar] [CrossRef]
- Ulaby, F.T.; Batlivala, P.P.; Dobson, M.C. Microwave Backscatter Dependence on Surface Roughness, Soil Moisture, and Soil Texture: Part I-Bare Soil. IEEE Trans. Geosci. Electron. 1978, 16, 286–295. [Google Scholar] [CrossRef]
- Zhang, D.; Zhou, G. Estimation of Soil Moisture from Optical and Thermal Remote Sensing: A Review. Sensors 2016, 16, 1308. [Google Scholar] [CrossRef]
- Fung, A.K.; Li, Z.; Chen, K.S. Backscatterin from randomly rough dielectric surface. IEEE Trans. Geosci. Remote Sens. 1992, 30, 356–369. [Google Scholar] [CrossRef]
- Oh, Y.; Sarabandi, K.; Ulaby, F.T. An empirical model and an inversion technique for radar scattering from bare soil surfaces. IEEE Trans. Geosci. Remote Sens. 1992, 30, 370–381. [Google Scholar] [CrossRef]
- Dubois, P.; Van Zyl, J.; Engman, T. Measuring soil moisture with imaging radars. IEEE Trans. Geosci. Remote Sens. 1995, 33, 916–926. [Google Scholar] [CrossRef]
- Wagner, W.; Lemoine, G.; Borgeaud, M.; Member, S.; Rott, H. A Study of Vegetation Cover Effects on ERS Scatterometer Data. Geosci. Remote Sens. IEEE Trans. 1999, 37, 938–948. [Google Scholar] [CrossRef]
- Ångström, A. The Albedo of Various Surfaces of Ground. Geogr. Ann. 1925, 7, 323–342. [Google Scholar] [CrossRef]
- Qin, J.; Yang, K.; Lu, N.; Chen, Y.; Zhao, L.; Han, M. Spatial upscaling of in-situ soil moisture measurements based on MODIS-derived apparent thermal inertia. Remote Sens. Environ. 2013, 138, 1–9. [Google Scholar] [CrossRef]
- Schmugge, T. Remote Sensing of Surface Soil Moisture. J. Appl. Meteorol. Climatol. 1978, 17, 1549–1557. [Google Scholar] [CrossRef]
- Chang, T.-Y.; Wang, Y.-C.; Feng, C.-C.; Ziegler, A.D.; Giambelluca, T.W.; Liou, Y.-A. Estimation of Root Zone Soil Moisture Using Apparent Thermal Inertia With MODIS Imagery Over a Tropical Catchment in Northern Thailand. IEEE J. Sel. Top. Appl. Earth Obs. Remote Sens. 2012, 5, 752–761. [Google Scholar] [CrossRef]
- Price, J. Using spatial context in satellite data to infer regional scale evapotranspiration. IEEE Trans. Geosci. Remote Sens. 1990, 28, 940–948. [Google Scholar] [CrossRef]
- Berger, M.; Camps, A.; Font, J.; Kerr, Y.; Miller, J.; Johannessen, J.A.; Boutin, J.; Drinkwater, M.R.; Skou, N.; Floury, N.; et al. Measuring ocean salinity with ESA’s SMOS mission—Advancing the science. ESA Bull. Eur. Space Agency 2002, 111, 113–121. [Google Scholar]
- Entekhabi, D.; Njoku, E.G.; O’Neill, P.E.; Kellogg, K.H.; Crow, W.T.; Edelstein, W.N.; Entin, J.K.; Goodman, S.D.; Jackson, T.J.; Johnson, J.; et al. The Soil Moisture Active Passive (SMAP) Mission. Proc. IEEE 2010, 98, 704–716. [Google Scholar] [CrossRef]
- Naeimi, V.; Scipal, K.; Bartalis, Z.; Hasenauer, S.; Wagner, W. An Improved Soil Moisture Retrieval Algorithm for ERS and METOP Scatterometer Observations. IEEE Trans. Geosci. Remote Sens. 2009, 47, 1999–2013. [Google Scholar] [CrossRef]
- Bauer-Marschallinger, B.; Paulik, C.; Hochstöger, S.; Mistelbauer, T.; Modanesi, S.; Ciabatta, L.; Massari, C.; Brocca, L.; Wagner, W. Soil Moisture from Fusion of Scatterometer and SAR: Closing the Scale Gap with Temporal Filtering. Remote Sens. 2018, 10, 1030. [Google Scholar] [CrossRef]
- Hornacek, M.; Wagner, W.; Sabel, D.; Truong, H.-L.; Snoeij, P.; Hahmann, T.; Diedrich, E.; Doubkova, M. Potential for High Resolution Systematic Global Surface Soil Moisture Retrieval via Change Detection Using Sentinel-1. IEEE J. Sel. Top. Appl. Earth Obs. Remote Sens. 2012, 5, 1303–1311. [Google Scholar] [CrossRef]
- Bauer-Marschallinger, B.; Freeman, V.; Cao, S.; Paulik, C.; Schaufler, S.; Stachl, T.; Modanesi, S.; Massari, C.; Ciabatta, L.; Brocca, L.; et al. Toward Global Soil Moisture Monitoring With Sentinel-1: Harnessing Assets and Overcoming Obstacles. IEEE Trans. Geosci. Remote Sens. 2018, 57, 520–539. [Google Scholar] [CrossRef]
- Ali, I.; Greifeneder, F.; Stamenkovic, J.; Neumann, M.; Notarnicola, C. Review of Machine Learning Approaches for Biomass and Soil Moisture Retrievals from Remote Sensing Data. Remote Sens. 2015, 7, 16398–16421. [Google Scholar] [CrossRef]
- Bhuiyan, M.A.E.; Anagnostou, E.N.; Kirstetter, P.-E. A Nonparametric Statistical Technique for Modeling Overland TMI (2A12) Rainfall Retrieval Error. IEEE Geosci. Remote Sens. Lett. 2017, 14, 1898–1902. [Google Scholar] [CrossRef]
- Tyralis, H.; Papacharalampous, G.; Burnetas, A.; Langousis, A. Hydrological post-processing using stacked generalization of quantile regression algorithms: Large-scale application over CONUS. J. Hydrol. 2019, 577, 123957. [Google Scholar] [CrossRef]
- Derin, Y.; Bhuiyan, A.E.; Anagnostou, E.; Kalogiros, J.; Anagnostou, M.N. Modeling Level 2 Passive Microwave Precipitation Retrieval Error Over Complex Terrain Using a Nonparametric Statistical Technique. IEEE Trans. Geosci. Remote Sens. 2020, 1–12. [Google Scholar] [CrossRef]
- Ahn, K.-H.; Palmer, R. Regional flood frequency analysis using spatial proximity and basin characteristics: Quantile regression vs. parameter regression technique. J. Hydrol. 2016, 540, 515–526. [Google Scholar] [CrossRef]
- Aboutalebi, M.; Allen, N.; Torres-Rua, A.F.; Coopmans, C. Estimation of soil moisture at different soil levels using machine learning techniques and unmanned aerial vehicle (UAV) multispectral imagery. In Autonomous Air and Ground Sensing Systems for Agricultural Optimization and Phenotyping IV; International Society for Optical Engineering: Baltimore, MD, USA, 2019; p. 26. [Google Scholar] [CrossRef]
- Moosavi, V.; Talebi, A.; Mokhtari, M.H.; Hadian, M.R. Estimation of spatially enhanced soil moisture combining remote sensing and artificial intelligence approaches. Int. J. Remote Sens. 2016, 37, 5605–5631. [Google Scholar] [CrossRef]
- Srivastava, P.K.; Han, D.; Ramirez, M.R.; Islam, T. Machine Learning Techniques for Downscaling SMOS Satellite Soil Moisture Using MODIS Land Surface Temperature for Hydrological Application. Water Resour. Manag. 2013, 27, 3127–3144. [Google Scholar] [CrossRef]
- Li, Y.; Yan, S.; Chen, N.; Gong, J. Performance Evaluation of a Neural Network Model and Two Empirical Models for Estimating Soil Moisture Based on Sentinel-1 SAR Data. Prog. Electromagn. Res. C 2020, 105, 85–99. [Google Scholar] [CrossRef]
- Paloscia, S.; Pettinato, S.; Santi, E.; Notarnicola, C.; Pasolli, L.; Reppucci, A. Soil moisture mapping using Sentinel-1 images: Algorithm and preliminary validation. Remote Sens. Environ. 2013, 134, 234–248. [Google Scholar] [CrossRef]
- Pasolli, L.; Notarnicola, C.; Bertoldi, G.; Bruzzone, L.; Remelgado, R.; Greifeneder, F.; Niedrist, G.; Della Chiesa, S.; Tappeiner, U.; Zebisch, M. Estimation of Soil Moisture in Mountain Areas Using SVR Technique Applied to Multiscale Active Radar Images at C-Band. IEEE J. Sel. Top. Appl. Earth Obs. Remote Sens. 2015, 8, 262–283. [Google Scholar] [CrossRef]
- Santi, E.; Paloscia, S.; Pettinato, S.; Fontanelli, G. A prototype ann based algorithm for the soil moisture retrieval from l- band in view of the incoming SMAP mission. In 2014 13th Specialist Meeting on Microwave Radiometry and Remote Sensing of the Environment (MicroRad); IEEE: Pasadena, CA, USA, 2014; pp. 5–9. [Google Scholar] [CrossRef]
- Stamenkovic, J.; Guerriero, L.; Ferrazzoli, P.; Notarnicola, C.; Greifeneder, F.; Thiran, J.-P. Soil Moisture Estimation by SAR in Alpine Fields Using Gaussian Process Regressor Trained by Model Simulations. IEEE Trans. Geosci. Remote Sens. 2017, 55, 4899–4912. [Google Scholar] [CrossRef]
- Kolassa, J.; Reichle, R.H.; Liu, Q.; Alemohammad, S.H.; Gentine, P.; Aida, K.; Asanuma, J.; Bircher, S.; Caldwell, T.; Colliander, A.; et al. Estimating surface soil moisture from SMAP observations using a Neural Network technique. Remote Sens. Environ. 2018, 204, 43–59. [Google Scholar] [CrossRef]
- Liu, Y.; Qian, J.; Yue, H. Combined Sentinel-1A With Sentinel-2A to Estimate Soil Moisture in Farmland. IEEE J. Sel. Top. Appl. Earth Obs. Remote Sens. 2021, 14, 1292–1310. [Google Scholar] [CrossRef]
- Bhuiyan, M.A.E.; Yang, F.; Biswas, N.K.; Rahat, S.H.; Neelam, T.J. Machine Learning-Based Error Modeling to Improve GPM IMERG Precipitation Product over the Brahmaputra River Basin. Forecasting 2020, 2, 248–266. [Google Scholar] [CrossRef]
- Hird, J.N.; DeLancey, E.R.; McDermid, G.J.; Kariyeva, J. Google Earth Engine, Open-Access Satellite Data, and Machine Learning in Support of Large-Area Probabilistic Wetland Mapping. Remote Sens. 2017, 9, 1315. [Google Scholar] [CrossRef]
- Cho, E.; Jacobs, J.M.; Jia, X.; Kraatz, S. Identifying Subsurface Drainage using Satellite Big Data and Machine Learning via Google Earth Engine. Water Resour. Res. 2019, 55, 8028–8045. [Google Scholar] [CrossRef]
- Traganos, D.; Aggarwal, B.; Poursanidis, D.; Topouzelis, K.; Chrysoulakis, N.; Reinartz, P. Towards Global-Scale Seagrass Mapping and Monitoring Using Sentinel-2 on Google Earth Engine: The Case Study of the Aegean and Ionian Seas. Remote Sens. 2018, 10, 1227. [Google Scholar] [CrossRef]
- Gorelick, N.; Hancher, M.; Dixon, M.; Ilyushchenko, S.; Thau, D.; Moore, R. Google Earth Engine: Planetary-scale geospatial analysis for everyone. Remote Sens. Environ. 2017, 202, 18–27. [Google Scholar] [CrossRef]
- Chatterjee, S.; Huang, J.; Hartemink, A.E. Establishing an Empirical Model for Surface Soil Moisture Retrieval at the U.S. Climate Reference Network Using Sentinel-1 Backscatter and Ancillary Data. Remote Sens. 2020, 12, 1242. [Google Scholar] [CrossRef]
- Dorigo, W.; Wagner, W.; Hohensinn, R.; Hahn, S.; Paulik, C.; Xaver, A.; Gruber, A.; Drusch, M.; Mecklenburg, S.; Van Oevelen, P.; et al. The International Soil Moisture Network: A data hosting facility for global in situ soil moisture measurements. Hydrol. Earth Syst. Sci. 2011, 15, 1675–1698. [Google Scholar] [CrossRef]
- Dorigo, W.A.; Xaver, A.; Vreugdenhil, M.; Gruber, A.; Hegyiová, A.; Sanchis-Dufau, A.D.; Zamojski, D.; Cordes, C.; Wagner, W.; Drusch, M. Global Automated Quality Control of In Situ Soil Moisture Data from the International Soil Moisture Network. Vadose Zone J. 2013, 12, vzj2012.0097. [Google Scholar] [CrossRef]
- Paulik, C.; Plocon, A.; Hahn, S.; Mistelbauer, T.; Reimer, C. TUW-GEO/pytesmo. Pytesmo 2017. [Google Scholar] [CrossRef]
- Beck, H.E.; Zimmermann, N.E.; McVicar, T.R.; Vergopolan, N.; Berg, A.; Wood, E.F. Present and future Köppen-Geiger climate classification maps at 1-km resolution. Sci. Data 2018, 5, 180214. [Google Scholar] [CrossRef] [PubMed]
- Bell, J.E.; Palecki, M.A.; Baker, C.B.; Collins, W.G.; Lawrimore, J.H.; Leeper, R.; Hall, M.E.; Kochendorfer, J.; Meyers, T.P.; Wilson, T.; et al. U.S. Climate Reference Network Soil Moisture and Temperature Observations. J. Hydrometeorol. 2013, 14, 977–988. [Google Scholar] [CrossRef]
- Smith, A.B.; Walker, J.P.; Western, A.W.; Young, R.I.; Ellett, K.M.; Pipunic, R.C.; Grayson, R.B.; Siriwardena, L.; Chiew, F.H.S.; Richter, H.G. The Murrumbidgee soil moisture monitoring network data set. Water Resour. Res. 2012, 48, 1–6. [Google Scholar] [CrossRef]
- Young, R.; Walker, J.P.; Yeoh, N.; Smith, A.; Ellett, K.M.; Merlin, O.; Western, A. Soil Moisture and Meteorological Observations from the Murrumbidgee Catchment. 2008. Available online: http://www.oznet.org.au/documentation/Soil_Moisture_Meteorological_Observation_of_Murrumbidgee_Catchment.pdf (accessed on 28 February 2020).
- Larson, K.M.; Small, E.E.; Gutmann, E.D.; Bilich, A.L.; Braun, J.J.; Zavorotny, V.U. Use of GPS receivers as a soil moisture network for water cycle studies. Geophys. Res. Lett. 2008, 35, 24405. [Google Scholar] [CrossRef]
- Moghaddam, M.; Entekhabi, D.; Goykhman, Y.; Li, K.; Liu, M.; Mahajan, A.; Nayyar, A.; Shuman, D.; Teneketzis, D. A Wireless Soil Moisture Smart Sensor Web Using Physics-Based Optimal Control: Concept and Initial Demonstrations. IEEE J. Sel. Top. Appl. Earth Obs. Remote Sens. 2010, 3, 522–535. [Google Scholar] [CrossRef]
- Moghaddam, M.; Silva, A.; Clewley, D.; Akbar, R.; Hussaini, S.A.; Whitcomb, J.; Devarakonda, R.; Shrestha, R.; Cook, R.B.; Prakash, G.; et al. Soil Moisture Profiles and Temperature Data from SoilSCAPE Sites, USA; ORNL DAAC: Oak Ridge, TN, USA, 2017. [Google Scholar]
- Bircher, S.; Skou, N.; Jensen, K.H.; Walker, J.P.; Rasmussen, L. A soil moisture and temperature network for SMOS validation in Western Denmark. Hydrol. Earth Syst. Sci. 2012, 16, 1445–1463. [Google Scholar] [CrossRef]
- Albergel, C.; Rüdiger, C.; Pellarin, T.; Calvet, J.-C.; Fritz, N.; Froissard, F.; Suquia, D.; Petitpa, A.; Piguet, B.; Martin, E. From near-surface to root-zone soil moisture using an exponential filter: An assessment of the method based on in-situ observations and model simulations. Hydrol. Earth Syst. Sci. 2008, 12, 1323–1337. [Google Scholar] [CrossRef]
- Calvet, J.-C.; Fritz, N.; Froissard, F.; Suquia, D.; Petitpa, A.; Piguet, B. In situ soil moisture observations for the CAL/VAL of SMOS: The SMOSMANIA network. In 2007 IEEE International Geoscience and Remote Sensing Symposium; IEEE: Barcelona, Spain, 2007; pp. 1196–1199. [CrossRef]
- Ojo, E.R.; Bullock, P.R.; L’Heureux, J.; Powers, J.; McNairn, H.; Pacheco, A. Calibration and evaluation of a frequency domain reflectometry sensor for real-time soil moisture monitoring. Vadose Zone J. 2015, 14, 1–15. [Google Scholar] [CrossRef]
- Osenga, E.C.; Arnott, J.C.; Endsley, K.A.; Katzenberger, J.W. Bioclimatic and Soil Moisture Monitoring Across Elevation in a Mountain Watershed: Opportunities for Research and Resource Management. Water Resour. Res. 2019, 55, 2493–2503. [Google Scholar] [CrossRef]
- Zacharias, S.; Bogena, H.; Samaniego, L.; Mauder, M.; Fuß, R.; Pütz, T.; Frenzel, M.; Schwank, M.; Baessler, C.; Butterbach-Bahl, K.; et al. A Network of Terrestrial Environmental Observatories in Germany. Vadose Zone J. 2011, 10, 955–973. [Google Scholar] [CrossRef]
- Tagesson, T.; Fensholt, R.; Guiro, I.; Rasmussen, M.O.; Huber, S.; Mbow, C.; Garcia, M.; Horion, S.; Sandholt, I.; Holm-Rasmussen, B.; et al. Ecosystem properties of semiarid savanna grassland in West Africa and its relationship with environmental variability. Glob. Chang. Biol. 2015, 21, 250–264. [Google Scholar] [CrossRef]
- Wagner, W. Big Data infrastructures for processing Sentinel data. In Photogramm. Week; University of Stuttgart: Stuttgart, Germany, 2015; pp. 93–104. [Google Scholar]
- European Space Agency. Sentinel-1 User Handbook. European Space Agency, European Comission, 2013. Available online: https://sentinel.esa.int (accessed on 16 December 2020).
- Buchhorn, M.; Smets, B.; Bertels, L.; Lesiv, M.; Tsendbazar, N.-E.; Herold, M.; Fritz, S. Copernicus Global Land Service: Land Cover 100m: Collection 3: Epoch 2015: Globe. Zenodo 2020. [Google Scholar] [CrossRef]
- Rodell, M.; Houser, P.R.; Jambor, U.; Gottschalck, J.; Mitchell, K.; Meng, C.-J.; Arsenault, K.; Cosgrove, B.; Radakovich, J.; Bosilovich, M.; et al. The Global Land Data Assimilation System. Bull. Am. Meteorol. Soc. 2004, 85, 381–394. [Google Scholar] [CrossRef]
- Chander, G.; Markham, B.L.; Helder, D.L. Summary of current radiometric calibration coefficients for Landsat MSS, TM, ETM+, and EO-1 ALI sensors. Remote Sens. Environ. 2009, 113, 893–903. [Google Scholar] [CrossRef]
- Didan, K. MOD13Q1 MODIS/Terra Vegetation Indices 16-Day L3 Global 250m SIN Grid V006, V006 ed.; NASA EOSDIS LP DAAC: Sioux Falls, SD, USA, 2015. [Google Scholar] [CrossRef]
- Hengl, T. Soil texture classes (USDA system) for 6 soil depths (0, 10, 30, 60, 100 and 200 cm) at 250 m. Zenodo 2018. [Google Scholar] [CrossRef]
- Hengl, T. Soil bulk density (fine earth) 10 x kg/m-cubic at 6 standard depths (0, 10, 30, 60, 100 and 200 cm) at 250 m resolution. Zenodo 2018. [Google Scholar] [CrossRef]
- Hengl, T. Clay content in % (kg/kg) at 6 standard depths (0, 10, 30, 60, 100 and 200 cm) at 250 m resolution. Zenodo 2018. [Google Scholar] [CrossRef]
- Hengl, T. Sand content in % (kg/kg) at 6 standard depths (0, 10, 30, 60, 100 and 200 cm) at 250 m resolution. Zenodo 2018. [Google Scholar] [CrossRef]
- Google. Google Earth Engine: Sentinel-1 Pre-Processing. 2016. Available online: https://developers.google.com/earth-engine/sentinel1 (accessed on 18 December 2017).
- Quegan, S.; Le Toan, T.; Yu, J.; Ribbes, F.; Floury, N. Multitemporal ERS SAR analysis applied to forest mapping. IEEE Trans. Geosci. Remote Sens. 2000, 38, 741–753. [Google Scholar] [CrossRef]
- Vollrath, A.; Mullissa, A.; Reiche, J. Angular-Based Radiometric Slope Correction for Sentinel-1 on Google Earth Engine. Remote Sens. 2020, 12, 1867. [Google Scholar] [CrossRef]
- Hoekman, D.H. Radar Remote Sensing Data for Applications in Forestry. Dissertation, Internally Prepared, Laboratory of Geo-Information Science and Remote Sensing, Wageningen University, Wageningen, The Netherlands. 1990. Available online: https://library.wur.nl/WebQuery/wurpubs/12860 (accessed on 12 January 2021).
- Ulander, L. Radiometric slope correction of synthetic-aperture radar images. IEEE Trans. Geosci. Remote Sens. 1996, 34, 1115–1122. [Google Scholar] [CrossRef]
- Farr, T.G.; Rosen, P.A.; Caro, E.; Crippen, R.; Duren, R.; Hensley, S.; Kobrick, M.; Paller, M.; Rodriguez, E.; Roth, L.; et al. The Shuttle Radar Topography Mission. Rev. Geophys. 2007, 45, 1–33. [Google Scholar] [CrossRef]
- Beaudoin, A.; Le Toan, T.; Gwyn, Q. SAR observations and modeling of the C-band backscatter variability due to multiscale geometry and soil moisture. IEEE Trans. Geosci. Remote Sens. 1990, 28, 886–895. [Google Scholar] [CrossRef]
- Wagner, W.; Lemoine, G.; Rott, H. A Method for Estimating Soil Moisture from ERS Scatterometer and Soil Data. Remote Sens. Environ. 1999, 70, 191–207. [Google Scholar] [CrossRef]
- Verrelst, J.; Muñoz, J.; Alonso, L.; Delegido, J.; Rivera, J.P.; Camps-Valls, G.; Moreno, J. Machine learning regression algorithms for biophysical parameter retrieval: Opportunities for Sentinel-2 and -3. Remote Sens. Environ. 2012, 118, 127–139. [Google Scholar] [CrossRef]
- Upreti, D.; Huang, W.; Kong, W.; Pascucci, S.; Pignatti, S.; Zhou, X.; Ye, H.; Casa, R. A Comparison of Hybrid Machine Learning Algorithms for the Retrieval of Wheat Biophysical Variables from Sentinel-2. Remote Sens. 2019, 11, 481. [Google Scholar] [CrossRef]
- Duffy, N.; Helmbold, D. Boosting Methods for Regression. Mach. Learn. 2002, 47, 153–200. [Google Scholar] [CrossRef]
- Elith, J.; Leathwick, J.R.; Hastie, T. A working guide to boosted regression trees. J. Anim. Ecol. 2008, 77, 802–813. [Google Scholar] [CrossRef] [PubMed]
- Pham, T.D.; Yokoya, N.; Xia, J.; Ha, N.T.; Le, N.N.; Nguyen, T.T.T.; Dao, T.H.; Vu, T.T.P.; Takeuchi, W. Comparison of Machine Learning Methods for Estimating Mangrove Above-Ground Biomass Using Multiple Source Remote Sensing Data in the Red River Delta Biosphere Reserve, Vietnam. Remote Sens. 2020, 12, 1334. [Google Scholar] [CrossRef]
- Hrisko, J.; Ramamurthy, P.; Gonzalez, J.E. Estimating heat storage in urban areas using multispectral satellite data and machine learning. Remote Sens. Environ. 2021, 252, 112125. [Google Scholar] [CrossRef]
- Wang, Y.; Jiang, B.; Liang, S.; Wang, D.; He, T.; Wang, Q.; Zhao, X.; Xu, J. Surface Shortwave Net Radiation Estimation from Landsat TM/ETM+ Data Using Four Machine Learning Algorithms. Remote Sens. 2019, 11, 2847. [Google Scholar] [CrossRef]
- Barzilai, J.; Borwein, J.M. Two-Point Step Size Gradient Methods. Ima J. Numer. Anal. 1988, 8, 141–148. [Google Scholar] [CrossRef]
- Armijo, L. Minimization of functions having Lipschitz continuous first partial derivatives. Pac. J. Math. 1966, 16, 1–3. [Google Scholar] [CrossRef]
- Friedman, J.H. Greedy function approximation: A gradient boosting machine. Ann. Stat. 2001, 29, 1189–1232. [Google Scholar] [CrossRef]
- Pedregosa, F.; Varoquaux, G.; Gramfort, A.; Michel, V.; Thirion, B.; Grisel, O.; Blondel, M.; Prettenhofer, P.; Weiss, R.; Dubourg, V.; et al. Scikit-learn: Machine Learning in Python. J. Mach. Learn. Res. 2011, 12, 2825–2830. [Google Scholar]
- Kohavi, R. A Study of Cross-Validation and Bootstrap for Accuracy Estimation and Model Selection. Int. Jt. Conf. Artif. Intell. 1995, 14, 1137–1143. [Google Scholar] [CrossRef]
- Greifeneder, F. PYSMM. Zenodo 2021. [Google Scholar] [CrossRef]
- Gupta, H.V.; Kling, H.; Yilmaz, K.K.; Martinez, G.F. Decomposition of the mean squared error and NSE performance criteria: Implications for improving hydrological modelling. J. Hydrol. 2009, 377, 80–91. [Google Scholar] [CrossRef]
- Morrison, K.; Wagner, W. Explaining Anomalies in SAR and Scatterometer Soil Moisture Retrievals From Dry Soils With Subsurface Scattering. IEEE Trans. Geosci. Remote Sens. 2019, 58, 2190–2197. [Google Scholar] [CrossRef]
- Stendardi, L.; Karlsen, S.R.; Niedrist, G.; Gerdol, R.; Zebisch, M.; Rossi, M.; Notarnicola, C. Exploiting Time Series of Sentinel-1 and Sentinel-2 Imagery to Detect Meadow Phenology in Mountain Regions. Remote Sens. 2019, 11, 542. [Google Scholar] [CrossRef]
- Notarnicola, C.; Angiulli, M.; Posa, F. Use of radar and optical remotely sensed data for soil moisture retrieval over vegetated areas. IEEE Trans. Geosci. Remote Sens. 2006, 44, 925–935. [Google Scholar] [CrossRef]
- Bauer-marschallinger, B.; Schaufler, S.; Navacchi, C. Validation Report Surface Soil Moisture Collection 1KM Version 1. 2018. Available online: https://land.copernicus.eu/global/sites/cgls.vito.be/files/products/CGLOPS1_VR_SSM1km-V1_I1.20.pdf (accessed on 3 November 2020).
- Colliander, A.; Jackson, T.J.; Bindlish, R.; Chan, S.; Das, N.; Kim, S.B.; Cosh, M.H.; Dunbar, R.S.; Dang, L.; Pashaian, L.; et al. Validation of SMAP surface soil moisture products with core validation sites. Remote Sens. Environ. 2017, 191, 215–231. [Google Scholar] [CrossRef]
- Systematic Observation Requirements for Satellite-Based Data Products for Climate; GCOS Secretariat: Geneva, Switzerland, 2011; Available online: https://climate.esa.int/sites/default/files/gcos-154.pdf (accessed on 3 November 2020).
- Lei, F.; Crow, W.T.; Kustas, W.P.; Dong, J.; Yang, Y.; Knipper, K.R.; Anderson, M.C.; Gao, F.; Notarnicola, C.; Greifeneder, F.; et al. Data assimilation of high-resolution thermal and radar remote sensing retrievals for soil moisture monitoring in a drip-irrigated vineyard. Remote Sens. Environ. 2020, 239, 111622. [Google Scholar] [CrossRef]
- Greifeneder, F.; Khamala, E.; Sendabo, D.; Wagner, W.; Zebisch, M.; Farah, H.; Notarnicola, C. Detection of soil moisture anomalies based on Sentinel-1. Phys. Chem. Earth Parts ABC 2018, 1–8. [Google Scholar] [CrossRef]









| Network Name | No. of Stations Used in the Study | Country | Provider | Reference |
|---|---|---|---|---|
| USCRN | 102 | USA | NOAA NCDC | [45] |
| OZNET | 12 | Australia | University of Melbourne | [46,47] |
| PBO-H2O | 138 | USA | University of Colorado | [48] |
| SOILSCAPE | 80 | USA | University of Southern California | [49,50] |
| HOBE | 25 | Denmark | Hydrological Observatory | [51] |
| SMOSMANIA | 20 | France | CNRM/GAME, METEO-FRANCE, CRNS | [52,53] |
| REMEDHUS | 20 | Spain | Universidad de Salamanca | - |
| RSMN | 18 | Romania | National Meteorological Administration | - |
| FR-Aqui | 2 | France | Institute of Agricultural Research | - |
| BIEBRZA-S-1 | 18 | Poland | Instytut Geodezji i Kartografii | - |
| RISMA | 13 | Canada | Agriculture and Agri-Food Canada | [54] |
| iRON | 8 | USA | Aspen Global Change Institute | [55] |
| TERENO | 4 | Germany | Helmholtz Gemeinschaft Forschungszentrum Jülich | [56] |
| DAHRA | 1 | Senegal | Copenhagen University | [57] |
| Landsat-8 Bands | Spatial Resolution [m] | Spectral Width [µm] |
|---|---|---|
| Band 1—Coastal/Aerosol | 30 | 0.435–0.451 |
| Band 2—Blue | 30 | 0.452–0.512 |
| Band 3—Green | 30 | 0.533–0.590 |
| Band 4—Red | 30 | 0.636–0.673 |
| Band 5—Near-Infra-Red | 30 | 0.851–0.879 |
| Band 6—Shortwave-Infrared-1 | 30 | 1.566–1.651 |
| Band 7—Shortwave-Infrared-2 | 30 | 2.107–2.294 |
| Band 10—Thermal-Infrared-1 | 100 | 10.60–11.19 |
| Band 11—Thermal-Infrared-2 | 100 | 11.50–12.51 |
| Variable | Valid If |
|---|---|
| ISMN temporal overlap | >0 |
| ISMN sensing depth | ≤5 cm |
| S1 layover and foreshortening masks [56] | 0 |
| L8 pixel quality band | Not affected by clouds, terrain occlusion, or radiometric saturation |
| EVI | <0.5 |
| CGLS-LC100 class | 20, 30, 40, 60, 121, 122, 124, 125, 126 1 |
| GLDAS SoilTMP0_10cm_inst | >275 K |
| GLDAS SWE_inst | 0 kg/m2 |
| # | Feature Name | # | Feature Name |
|---|---|---|---|
| 1 | S1 | 22 | % of moss and lichen |
| 2 | S1 | 23 | % of urban areas |
| 3 | S1 | 24 | % of permanent water bodies |
| 4 | S1 | 25 | % of seasonal water bodies |
| 5–13 | Median and standard deviation S1 , S1 , S1 , S1 | 26–35 | L8, bands 1–7; 10–11 |
| 14 | S1 Local-Incidence-Angle | 36 | No. of days between S1 and L8 acquisitions |
| 15 | S1 orbit direction (ascending/descending) | 37–55 | Median and standard deviation L8, bands 1–7; 10–11 |
| 16 | Land-cover class | 56 | MODIS EVI |
| 17 | % of bare areas | 57–58 | Median and standard deviation MODIS EVI |
| 18 | % of crop areas | 59 | OLM bulk density |
| 19 | % of tree cover | 60 | OLM clay content |
| 20 | Forest type | 61 | OLM sand content |
| 21 | % of grassland | 62 | OLM texture class |
| Algorithm | Hyperparameters | |
|---|---|---|
| GBRT | Learning-rate | 0.01, 0.1, 0.2 |
| Number of estimators | 100, 500, 1000 | |
| The fraction of samples used for fitting | 0.2, 0.5, 1 | |
| Maximum depths of individual regression trees | 3, 5, 10 | |
| Early stopping after n iterations with no change | 10 | |
| Algorithm | Hyperparameters | |
|---|---|---|
| GBRT | Learning-rate | 0.1 |
| Number of estimators | 100 | |
| The fraction of samples used for fitting | 0.5 | |
| Maximum depths of individual regression trees | 10 | |
| Early stopping after n iterations with no change | 10 | |
| Method | LOGO R² | LOGO RMSE [m3·m−3] | Test-Set R² | Tet-Set RMSE [m3·m−3] | Training Time * [s] | Prediction Time (Test-Set) [s] |
|---|---|---|---|---|---|---|
| GBRT | 0.726 | 0.054 | 0.812 | 0.044 | 5.20 | 0.05 |
| Median R² | Median ρ | Median R | Median KGE | Median RMSE [m3·m−3] | Median MAE [m3·m−3] | |
|---|---|---|---|---|---|---|
| Overall | 0.476 | 0.702 | 0.756 | 0.510 | 0.037 | 0.029 |
| Shrubs (20) | 0.360 | 0.650 | 0.698 | 0.396 | 0.033 | 0.026 |
| Herbaceous vegetation (30) | 0.426 | 0.679 | 0.742 | 0.519 | 0.040 | 0.033 |
| Cropland (40) | 0.518 | 0.732 | 0.765 | 0.542 | 0.033 | 0.027 |
| Bare/sparse vegetation (60) | 0.258 | 0.443 | 0.600 | 0.240 | 0.027 | 0.022 |
| Open forest, evergreen (121) | 0.486 | 0.515 | 0.756 | 0.565 | 0.057 | 0.045 |
| Open forest, unknown (126) | 0.489 | 0.713 | 0.750 | 0.499 | 0.042 | 0.035 |
| Variable Name | Variable Type | Importance |
|---|---|---|
| In situ surface SMC from the ISMN covering the topmost layer of soil (0 to 5 cm) | target | - |
| Temporal median of L8, band 10 | feature | 0.134 |
| Percentage of cropland | feature | 0.095 |
| Temporal median of S1 | feature | 0.078 |
| Percentage of grassland | feature | 0.066 |
| Temporal median of EVI | feature | 0.060 |
| Percentage of moss and lichen | feature | 0.058 |
| L8, band 4 | feature | 0.057 |
| EVI | feature | 0.056 |
| Temporal median of L8, band 5 | feature | 0.051 |
| L8, band 7 | feature | 0.050 |
| Temporal median of L8, band 1 | feature | 0.047 |
| Soil bulk density | feature | 0.047 |
| No. of days between L8 and S1 acquisitions | feature | 0.044 |
| S1 | feature | 0.043 |
| L8, band 5 | feature | 0.041 |
| Percentage of sandy soils | feature | 0.040 |
| L8, band 3 | feature | 0.032 |
| Median Temporal R² | Median Temporal ρ | Median Temporal R | Overall R² | Reference | |
|---|---|---|---|---|---|
| PYSMM | 0.476 | 0.702 | 0.756 | 0.81 | |
| CSSM | - | 0.315 | - | - | [93] |
| SMAP | - | - | 0.752 | - | [94] |
| RFS1 | 0.682 | [40] |
Publisher’s Note: MDPI stays neutral with regard to jurisdictional claims in published maps and institutional affiliations. |
© 2021 by the authors. Licensee MDPI, Basel, Switzerland. This article is an open access article distributed under the terms and conditions of the Creative Commons Attribution (CC BY) license (https://creativecommons.org/licenses/by/4.0/).
Share and Cite
Greifeneder, F.; Notarnicola, C.; Wagner, W. A Machine Learning-Based Approach for Surface Soil Moisture Estimations with Google Earth Engine. Remote Sens. 2021, 13, 2099. https://doi.org/10.3390/rs13112099
Greifeneder F, Notarnicola C, Wagner W. A Machine Learning-Based Approach for Surface Soil Moisture Estimations with Google Earth Engine. Remote Sensing. 2021; 13(11):2099. https://doi.org/10.3390/rs13112099
Chicago/Turabian StyleGreifeneder, Felix, Claudia Notarnicola, and Wolfgang Wagner. 2021. "A Machine Learning-Based Approach for Surface Soil Moisture Estimations with Google Earth Engine" Remote Sensing 13, no. 11: 2099. https://doi.org/10.3390/rs13112099
APA StyleGreifeneder, F., Notarnicola, C., & Wagner, W. (2021). A Machine Learning-Based Approach for Surface Soil Moisture Estimations with Google Earth Engine. Remote Sensing, 13(11), 2099. https://doi.org/10.3390/rs13112099

