Modality-Free Feature Detector and Descriptor for Multimodal Remote Sensing Image Registration
Abstract
1. Introduction
2. Related Work
3. Image Registration Based on SRIFT
3.1. Scale Invariance Through the Nonlinear Diffusion Scale (NDS) Space
3.2. Radiation Invariance Through Local Orientation and Scale Phase Congruency (LOSPC)
3.2.1. Frequency Domain Spatial Mapping via Phase Congruency
3.2.2. Feature Point Extraction
3.3. Rotation Invariance Through a Rotation-Invariant Coordinate (RIC) System
3.3.1. The Local Rotation-Invariant Coordinate (RIC) System
3.3.2. The Difference between Local Orientation and Scale Phase Congruency (DLOSPC) in the RIC System
3.3.3. Construction of the Keypoint Descriptors Through Multiple Supported Regions
4. Experiments and Analyses
4.1. Experimental Description
4.1.1. Simulated Dataset Construction and Evaluation
4.1.2. The Overall Performance Comparison
4.1.3. The Ability of the Algorithm to Resist the Scale and Rotation Distortion
4.2. Experiments with Real Images
4.2.1. Real Datasets
4.2.2. Ground-Truth Setting and Evaluation Metrics
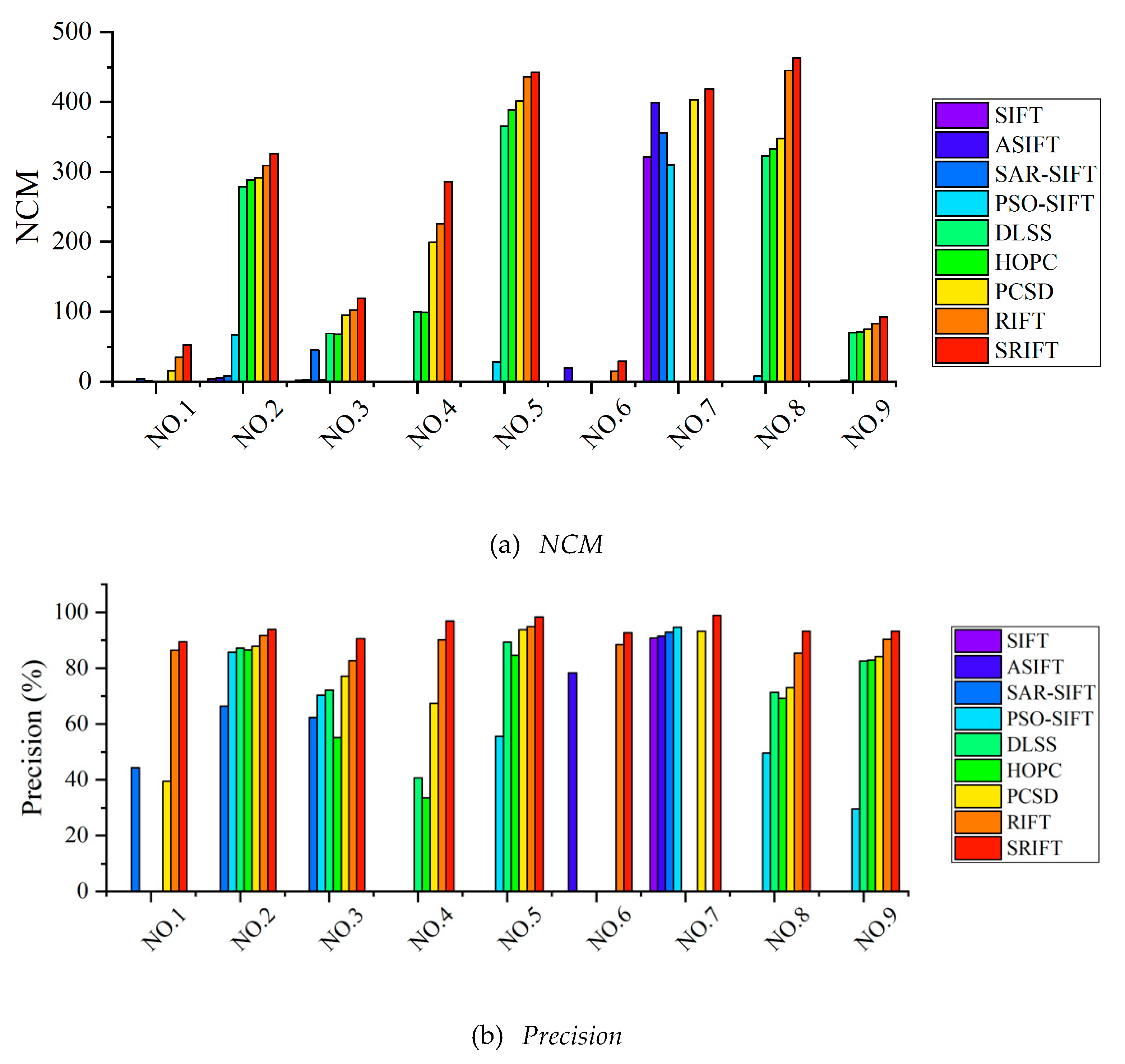
4.2.3. Registration Performance Comparison
4.2.4. Computational Cost
5. Conclusions
Author Contributions
Funding
Acknowledgments
Conflicts of Interest
References
- Zitová, B.; Flusser, J. Image registration methods: A survey. Image Vis. Comput. 2003, 21, 977–1000. [Google Scholar] [CrossRef]
- Wu, Y.; Fan, J.; Li, S.; Wang, F.; Liang, W.; Wu, Y.; Fan, J.; Li, S.; Wang, F.; Liang, W. Fusion of synthetic aperture radar and visible images based on variational multiscale image decomposition. J. Appl. Remote Sens. 2017, 11, 025006. [Google Scholar] [CrossRef]
- Hirschmuller, H. Stereo processing by semiglobal matching and mutual information. IEEE Trans. Pattern Anal. Mach. Intell. 2007, 30, 328–341. [Google Scholar] [CrossRef]
- Jia, L.; Li, M.; Zhang, P.; Wu, Y. Sar image change detection based on correlation kernel and multistage extreme learning machine. IEEE Trans. Geosci. Remote Sens. 2016, 54, 5993–6006. [Google Scholar] [CrossRef]
- Pratt, W. Correlation techniques of image registration. IEEE Tans. Aerosp. Electron. Syst. 1974, 10, 353–358. [Google Scholar] [CrossRef]
- Mahmood, A.; Khan, S. Correlation-coefficient-based fast template matching through partial elimination. IEEE Trans. Image Process. 2012, 21, 2099–2108. [Google Scholar] [CrossRef] [PubMed]
- Yang, L.; Tian, Z.; Zhao, W.; Yan, W.; Wen, J. Description of salient features combined with local self-similarity for sar image registration. J. Indian Soc. Remote Sens. 2017, 45, 131–138. [Google Scholar] [CrossRef]
- Viola, P.; Wells, W.M., III. Alignment by maximization of mutual information. Int. J. Comput. Vis. 1997, 24, 137–154. [Google Scholar] [CrossRef]
- Oliveira, F.P.M.; Tavares, J.M.R.S. Medical image registration: A review. Comput. Methods Biomech. Biomed. Eng. 2014, 17, 73–93. [Google Scholar] [CrossRef] [PubMed]
- Wu, Y.; Miao, Q.; Ma, W.; Gong, M.; Wang, S. Psosac: Particle swarm optimization sample consensus algorithm for remote sensing image registration. IEEE Geosci. Remote Sens. Lett. 2018, 15, 242–246. [Google Scholar] [CrossRef]
- Zhang, J.; Zareapoor, M.; He, X.; Shen, D.; Feng, D.; Yang, J. Mutual information based multi-modal remote sensing image registration using adaptive feature weight. Remote Sens. Lett. 2018, 9, 646–655. [Google Scholar] [CrossRef]
- Hu, H.; Pun, C.-M.; Liu, Y.; Lai, X.; Yang, Z.; Gao, H. An artificial bee algorithm with a leading group and its application into image registration. Multimed. Tools Appl. 2019, 79, 14643–14669. [Google Scholar] [CrossRef]
- Chen, S.; Li, X.; Zhao, L.; Yang, H. Medium-low resolution multisource remote sensing image registration based on sift and robust regional mutual information. Int. J. Remote Sens. 2018, 39, 3215–3242. [Google Scholar] [CrossRef]
- De, C.E.; Morandi, C. Registration of translated and rotated images using finite fourier transforms. IEEE Trans. Pattern Anal. Mach. Intell. 1987, 9, 700–703. [Google Scholar]
- Tong, X.; Ye, Z.; Xu, Y.; Liu, S.; Li, L.; Xie, H.; Li, T. A novel subpixel phase correlation method using singular value decomposition and unified random sample consensus. IEEE Trans. Geosci. Remote Sens. 2015, 53, 4143–4156. [Google Scholar] [CrossRef]
- Brown, L.G. A survey of image registration techniques. ACM Comput. Surv. 1992, 24, 325–376. [Google Scholar] [CrossRef]
- Zeng, Q.; Adu, J.; Liu, J.; Yang, J.; Gong, M. Real-time adaptive visible and infrared image registration based on morphological gradient and c_sift. J. Real Time Image Process. 2019, 17, 1103–1115. [Google Scholar] [CrossRef]
- Rister, B.; Horowitz, M.A.; Rubin, D.L. Volumetric image registration from invariant keypoints. IEEE Trans. Image Process 2017, 26, 4900–4910. [Google Scholar] [CrossRef]
- Hou, Y.; Zhou, S. Robust point correspondence with gabor scale-invariant feature transform for optical satellite image registration. J. Indian Soc. Remote Sens. 2017, 46, 1–12. [Google Scholar] [CrossRef]
- Yan, L.; Wang, Z.; Liu, Y.; Ye, Z. Generic and automatic markov random field-based registration for multimodal remote sensing image using grayscale and gradient information. Remote Sens. 2018, 10, 1228. [Google Scholar] [CrossRef]
- Xiang, Y.; Wang, F.; You, H. An automatic and novel sar image registration algorithm: A case study of the chinese gf-3 satellite. Sensors 2018, 18, 672. [Google Scholar] [CrossRef]
- Xiang, Y.; Feng, W.; Ling, W.; You, H. An advanced rotation invariant descriptor for sar image registration. Remote Sens. 2017, 9, 686. [Google Scholar] [CrossRef]
- Lowe, D.G. Distinctive image features from scale-invariant keypoints. Int. J. Comput. Vis. 2004, 60, 91–110. [Google Scholar] [CrossRef]
- Morel, J.M.; Yu, G. Asift: A new framework for fully affine invariant image comparison. Siam J. Imaging Sci. 2009, 2, 438–469. [Google Scholar] [CrossRef]
- Bay, H.; Ess, A.; Tuytelaars, T.; Van Gool, L. Speeded-up robust features (surf). Comput. Vis. Image Und. 2008, 110, 346–359. [Google Scholar] [CrossRef]
- LeCun, Y.; Bengio, Y.; Hinton, G. Deep learning. Nature 2015, 521, 436–444. [Google Scholar] [CrossRef]
- Reichstein, M.; Camps-Valls, G.; Stevens, B.; Jung, M.; Denzler, J.; Carvalhais, N.; Prabhat. Deep learning and process understanding for data-driven earth system science. Nature 2019, 566, 195–204. [Google Scholar] [CrossRef]
- Niethammer, M.; Kwitt, R.; Vialard, F.-X. Metric learning for image registration. In Proceedings of the IEEE Conference on Computer Vision and Pattern Recognition, Nashville, TN, USA, 19–25 June 2019; pp. 8463–8472. [Google Scholar]
- Shen, Z.; Han, X.; Xu, Z.; Niethammer, M. Networks for joint affine and non-parametric image registration. In Proceedings of the IEEE Conference on Computer Vision and Pattern Recognition, Long Beach, CA, USA, 29–31 October 2019; pp. 4224–4233. [Google Scholar]
- Zhang, H.; Ni, W.; Yan, W.; Xiang, D.; Wu, J.; Yang, X.; Bian, H. Registration of multimodal remote sensing image based on deep fully convolutional neural network. IEEE J. Sel. Top. Appl. Earth Obs. Remote Sens. 2019, 18, 1–15. [Google Scholar] [CrossRef]
- Ma, W.; Zhang, J.; Wu, Y.; Jiao, L.; Zhu, H.; Zhao, W. A novel two-step registration method for remote sensing images based on deep and local features. IEEE Trans. Geosci. Remote Sens. 2019, 57, 4834–4843. [Google Scholar] [CrossRef]
- Merkle, N.; Luo, W.; Auer, S.; Müller, R.; Urtasun, R. Exploiting deep matching and sar data for the geo-localization accuracy improvement of optical satellite images. Remote Sens. 2017, 9, 586. [Google Scholar] [CrossRef]
- Merkle, N.; Auer, S.; Müller, R.; Reinartz, P. Exploring the potential of conditional adversarial networks for optical and sar image matching. IEEE J. Sel. Top. Appl. Earth Obs. Remote Sens. 2018, 11, 1811–1820. [Google Scholar] [CrossRef]
- Sedaghat, A.; Mohammadi, N. High-resolution image registration based on improved surf detector and localized gtm. Int. J. Remote Sens. 2018, 40, 2576–2601. [Google Scholar] [CrossRef]
- Wang, S.; Quan, D.; Liang, X.; Ning, M.; Guo, Y.; Jiao, L. A deep learning framework for remote sensing image registration. ISPRS J. Photogramm. Remote Sens. 2018, 145, 148–164. [Google Scholar] [CrossRef]
- Xu, C.; Sui, H.G.; Li, D.R.; Sun, K.M.; Liu, J.Y. An automatic optical and sar image registration method using iterative multi-level and refinement model. Int. Arch. Photogramm. Remote Sens. Spat. Inf. Sci. 2016, 7, 593–600. [Google Scholar] [CrossRef]
- Aguilera, C.; Barrera, F.; Lumbreras, F.; Sappa, A.D.; Toledo, R. Multispectral image feature points. Sensors 2012, 12, 12661–12672. [Google Scholar] [CrossRef]
- Chen, J.; Tian, J.; Lee, N.; Zheng, J.; Smith, R.T.; Laine, A.F. A partial intensity invariant feature descriptor for multimodal retinal image registration. IEEE Trans. Biomed. Eng. 2010, 57, 1707–1718. [Google Scholar] [CrossRef]
- Shechtman, E.; Irani, M. Matching local self-similarities across images and videos. In Proceedings of the IEEE Computer Society Conference on Computer Vision and Pattern Recognition, Minneapolis, MN, USA, 17–22 June 2007; pp. 1–8. [Google Scholar]
- Ye, Y.; Shen, L.; Hao, M.; Wang, J.; Xu, Z. Robust optical-to-sar image matching based on shape properties. IEEE Geosci. Remote Sens. Lett. 2017, 14, 564–568. [Google Scholar] [CrossRef]
- Ye, Y.; Shen, L. Hopc: A novel similarity metric based on geometric structural properties for multi-modal remote sensing image matching. ISPRS Ann. Photogramm. Remote Sens. Spat. Inf. Sci. 2016, 3, 9–16. [Google Scholar] [CrossRef]
- Li, J.; Hu, Q.; Ai, M. Rift: Multi-modal image matching based on radiation-variation insensitive feature transform. IEEE Trans. Image Process. 2020, 29, 3296–3310. [Google Scholar] [CrossRef]
- Fan, J.; Wu, Y.; Li, M.; Liang, W.; Cao, Y. Sar and optical image registration using nonlinear diffusion and phase congruency structural descriptor. IEEE Trans. Geosci. Remote Sens. 2018, 56, 1–12. [Google Scholar] [CrossRef]
- Perona, P.; Malik, J. Scale-space and edge detection using anisotropic diffusion. IEEE Trans. Pattern Anal. Mach. Intell. 1990, 12, 629–639. [Google Scholar] [CrossRef]
- Kovesi, P. Phase congruency: A low-level image invariant. Psychol. Res. 2000, 64, 136–148. [Google Scholar] [CrossRef]
- Kovesi, P. Phase is an important low-level image invariant. In Pacific Rim Conference on Advances in Image and Video Technology; Springer: Berlin/Heidelberg, Germany, 2007. [Google Scholar]
- Kovesi, P. Image features from phase congruency. J. Comput. Vis. Res. 1999, 1, 115–116. [Google Scholar]
- Fan, B.; Wu, F.; Hu, Z. Aggregating gradient distributions into intensity orders: A novel local image descriptor. In Proceedings of the IEEE Computer Society Conference on Computer Vision and Pattern Recognition, Providence, RI, USA, 20–25 June 2011; pp. 2377–2384. [Google Scholar]
- Dellinger, F.; Delon, J.; Gousseau, Y.; Michel, J.; Tupin, F. Sar-sift: A sift-like algorithm for sar images. IEEE Trans. Geosci. Remote Sens. 2015, 53, 453–466. [Google Scholar] [CrossRef]
- Ma, W.; Wen, Z.; Wu, Y.; Jiao, L.; Gong, M.; Zheng, Y.; Liu, L. Remote sensing image registration with modified sift and enhanced feature matching. IEEE Geosci. Remote Sens. Lett. 2017, 14, 3–7. [Google Scholar] [CrossRef]
- Li, J.; Hu, Q.; Ai, M. Rift: Multi-modal image matching based on radiation-invariant feature transform. arXiv 2018, arXiv:1804.09493. [Google Scholar]















| Transform | RMSE (Pixels) | ||||||||
|---|---|---|---|---|---|---|---|---|---|
| SIFT | ASIFT | SAR-SIFT | PSO-SIFT | DLSS | HOPC | PCSD | RIFT | SRIFT | |
| Scale | |||||||||
| 0.5 | - | - | 3.89 | 2.16 | - | - | 1.93 | - | 1.36 |
| 0.3 | - | - | - | - | - | - | 2.85 | - | 1.77 |
| 0.25 | - | - | - | - | - | - | 2.22 | - | 1.69 |
| Rotation | |||||||||
| 10 | - | - | 2.98 | 2.88 | 1.91 | 1.87 | 2.06 | 1.82 | 1.62 |
| 30 | - | - | 3.33 | 3.10 | - | - | 2.96 | 1.97 | 1.82 |
| 90 | - | - | 3.12 | 2.79 | - | - | - | 1.92 | 1.49 |
| Transform | RMSE (Pixels) | ||||||||
|---|---|---|---|---|---|---|---|---|---|
| SIFT | ASIFT | SAR-SIFT | PSO-SIFT | DLSS | HOPC | PCSD | RIFT | SRIFT | |
| Scale | |||||||||
| 0.5 | - | - | 3.65 | 1.99 | - | - | 1.89 | - | 1.21 |
| 0.3 | - | - | - | - | - | - | 2.23 | - | 1.43 |
| 0.25 | - | - | - | - | - | - | 1.98 | - | 1.36 |
| Rotation | |||||||||
| 10 | - | - | 2.22 | 2.14 | 1.98 | 1.99 | 1.96 | 1.95 | 1.47 |
| 30 | - | - | 3.84 | 3.27 | - | - | 2.66 | 1.97 | 1.72 |
| 90 | - | - | 3.01 | 2.52 | - | - | - | 1.99 | 1.36 |
| No. | Data Source | Image Type | Size | GSD | Date | Image Content | Description |
|---|---|---|---|---|---|---|---|
| 1 | GF-3 | SAR | 4865 × 3504 | 4 m | Urban | SAR/optical | |
| GF-2 | Visible | 3979 × 3619 | 4 m | ||||
| 2 | GF-3 | SAR | 6000 × 6000 | 8 m | Mountains and water | SAR/optical | |
| GF-1 | MSS | 6000 × 6000 | 8 m | ||||
| 3 | Sentinel-1 | SAR | 2000 × 2000 | 10 m | 04/11/2017 | Mountains and water | SAR/optical |
| Sentinel-2 | Visible | 2000 × 2000 | 10 m | 06/11/2017 | |||
| 4 | Manual | DSM | 1200 × 1200 | 1 m | 15/05/2017 | Urban | DSM/optical |
| UAV | Visible | 1200 × 1200 | 1 m | 15/05/2017 | |||
| 5 | LiDAR | Intensity | 349 × 349 | 2.5 m | 22/06/2012 | Urban | LiDAR/optical |
| Airborne | Hyperspectral | 349 × 349 | 2.5 m | 23/06/2012 | |||
| 6 | GF-2 | NIR | 1202 × 1011 | 3.2 m | 11/04/2016 | Farmland and water | NIR/optical |
| Google Earth | Visible | 1014 × 950 | 4 m | ||||
| 7 | Sentinel-2 | SWIR | 1000 × 1000 | 20 m | Farmland and water | SWIR/optical | |
| Sentinel-2 | Visible | 1000 × 1000 | 10 m | ||||
| 8 | Manual | Classification | 640 × 400 | 4 m | 05/03/2013 | Urban | Classification/optical |
| GF-1 | Visible | 640 × 400 | 4 m | 05/03/2013 | |||
| 9 | Google Earth | Map | 1867 × 1018 | 4 m | Urban | Map/optical | |
| Google Earth | Visible | 1867 × 1018 | 4 m |
| Method | SIFT | SAR-SIFT | PCSD | HOPC | RIFT | SRIFT |
|---|---|---|---|---|---|---|
| Computational cost | 2.04 | 15.25 | 46.82 | 57.63 | 38.65 | 64.70 |
© 2020 by the authors. Licensee MDPI, Basel, Switzerland. This article is an open access article distributed under the terms and conditions of the Creative Commons Attribution (CC BY) license (http://creativecommons.org/licenses/by/4.0/).
Share and Cite
Cui, S.; Xu, M.; Ma, A.; Zhong, Y. Modality-Free Feature Detector and Descriptor for Multimodal Remote Sensing Image Registration. Remote Sens. 2020, 12, 2937. https://doi.org/10.3390/rs12182937
Cui S, Xu M, Ma A, Zhong Y. Modality-Free Feature Detector and Descriptor for Multimodal Remote Sensing Image Registration. Remote Sensing. 2020; 12(18):2937. https://doi.org/10.3390/rs12182937
Chicago/Turabian StyleCui, Song, Miaozhong Xu, Ailong Ma, and Yanfei Zhong. 2020. "Modality-Free Feature Detector and Descriptor for Multimodal Remote Sensing Image Registration" Remote Sensing 12, no. 18: 2937. https://doi.org/10.3390/rs12182937
APA StyleCui, S., Xu, M., Ma, A., & Zhong, Y. (2020). Modality-Free Feature Detector and Descriptor for Multimodal Remote Sensing Image Registration. Remote Sensing, 12(18), 2937. https://doi.org/10.3390/rs12182937

