Assessment of Remotely Sensed and Modelled Soil Moisture Data Products in the U.S. Southern Great Plains
Abstract
1. Introduction
2. Data and Methods
2.1. In-situ SM Measuremets
2.2. SMAP L3
2.3. ESACCI
2.4. NLDAS-2
2.5. Evaluation Methods and Metrics
3. Results
3.1. Temporal Evaluation with in-situ Observations
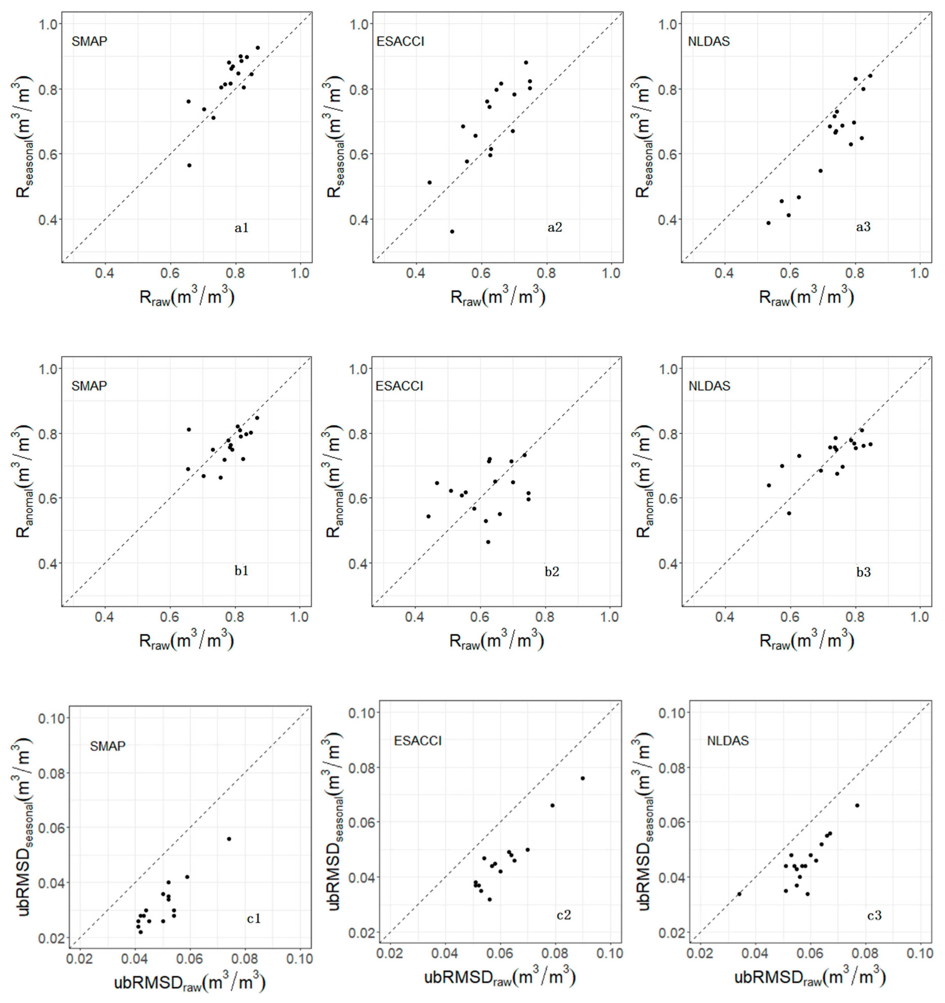
3.2. Comparison of Seasonal and Anomaly Components
3.3. Spatial Analysis with in-situ Observations
4. Discussion
4.1. Similarities and Differences with Other Validation Results
4.2. Analysis of the Possible Reasons for the Discrepancy between Different Products
5. Conclusions
Author Contributions
Funding
Acknowledgments
Conflicts of Interest
References
- Koster, R.D. Regions of Strong Coupling Between Soil Moisture and Precipitation. Science 2004, 305, 1138–1140. [Google Scholar] [CrossRef]
- Seneviratne, S.I.; Corti, T.; Davin, E.L.; Hirschi, M.; Jaeger, E.B.; Lehner, I.; Orlowsky, B.; Teuling, A.J. Investigating soil moisture–climate interactions in a changing climate: A review. Earth Sci. Rev. 2010, 99, 125–161. [Google Scholar] [CrossRef]
- Corradini, C. Soil moisture in the development of hydrological processes and its determination at different spatial scales. J. Hydrol. 2014, 516, 1–5. [Google Scholar] [CrossRef]
- Brocca, L.; Tarpanelli, A.; Filippucci, P.; Dorigo, W.; Zaussinger, F.; Gruber, A.; Fernández-Prieto, D. How much water is used for irrigation? A new approach exploiting coarse resolution satellite soil moisture products. Int. J. Appl. Earth Obs. Geoinf. 2018, 73, 752–766. [Google Scholar] [CrossRef]
- Crow, W.T.; Ryu, D. A new data assimilation approach for improving runoff prediction using remotely-sensed soil moisture retrievals. Hydrol. Earth Syst. Sci. 2009, 13, 1–16. [Google Scholar] [CrossRef]
- Jung, M.; Reichstein, M.; Schwalm, C.R.; Huntingford, C.; Sitch, S.; Ahlström, A.; Arneth, A.; Camps-Valls, G.; Ciais, P.; Friedlingstein, P.; et al. Compensatory water effects link yearly global land CO2 sink changes to temperature. Nature 2017, 541, 516–520. [Google Scholar] [CrossRef]
- Brocca, L.; Ciabatta, L.; Massari, C.; Camici, S.; Tarpanelli, A. Soil Moisture for Hydrological Applications: Open Questions and New Opportunities. Water 2017, 9, 140. [Google Scholar] [CrossRef]
- Wagner, W.; Hahn, S.; Kidd, R.; Melzer, T.; Bartalis, Z.; Hasenauer, S.; Figa-Saldaña, J.; De Rosnay, P.; Jann, A.; Schneider, S.; et al. The ASCAT soil moisture product: A review of its specifications, validation results, and emerging applications. Meteorol. Z. 2013, 22, 5–33. [Google Scholar] [CrossRef]
- Njoku, E.G.; Jackson, T.J.; Lakshmi, V.; Chan, T.K.; Nghiem, S.V. Soil moisture retrieval from AMSR-E. IEEE Trans. Geosci. Remote Sens. 2003, 41, 215–229. [Google Scholar] [CrossRef]
- Imaoka, K.; Maeda, T.; Kachi, M.; Kasahara, M.; Ito, N.; Nakagawa, K. Status of AMSR2 instrument on GCOM-W1. Proc. SPIE 2012, 8528, 852815. [Google Scholar]
- Kerr, Y.H.; Waldteufel, P.; Wigneron, J.P.; Delwart, S.; Cabot, F.; Boutin, J.; Escorihuela, M.J.; Font, J.; Reul, N.; Gruhier, C.; et al. The SMOS mission: New tool for monitoring key elements of the global water cycle. Proc. IEEE 2010, 98, 666–687. [Google Scholar] [CrossRef]
- Entekhabi, D.; Njoku, E.G.; O’Neill, P.E.; Kellogg, K.H.; Crow, W.T.; Edelstein, W.N.; Entin, J.K.; Goodman, S.D.; Jackson, T.J.; Johnson, J.; et al. The soil moisture active passive (SMAP) mission. Proc. IEEE 2010, 98, 704–716. [Google Scholar] [CrossRef]
- Wigneron, J.P.; Jackson, T.J.; O’neill, P.; De Lannoy, G.; De Rosnay, P.; Walker, J.P.; Ferrazzoli, P.; Mironov, V.; Bircher, S.; Grant, J.P.; et al. Modelling the passive microwave signature from land surfaces: A review of recent results and application to the L-band SMOS&SMAP soil moisture retrieval algorithms. Remote Sens. Environ. 2017, 192, 238–262. [Google Scholar]
- Dorigo, W.; Wagner, W.; Albergel, C.; Albrecht, F.; Balsamo, G.; Brocca, L.; Chung, D.; Ertl, M.; Forkel, M.; Gruber, A.; et al. ESA CCI Soil Moisture for improved Earth system understanding: State-of-the art and future directions. Remote Sens. Environ. 2017, 203, 185–215. [Google Scholar] [CrossRef]
- Chen, Q.; Zeng, J.; Cui, C.; Li, Z.; Chen, K.-S.; Bai, X.; Xu, J. Soil Moisture Retrieval From SMAP: A Validation and Error Analysis Study Using Ground-Based Observations Over the Little Washita Watershed. IEEE Trans. Geosci. Remote Sens. 2018, 56, 1394–1408. [Google Scholar] [CrossRef]
- Colliander, A.; Jackson, T.J.; Chan, S.K.; O’Neill, P.; Bindlish, R.; Cosh, M.H.; Caldwell, T.; Walker, J.P.; Berg, A.; McNairn, H.; et al. An assessment of the differences between spatial resolution and grid size for the SMAP enhanced soil moisture product over homogeneous sites. Remote Sens. Environ. 2018, 207, 65–70. [Google Scholar] [CrossRef]
- Cui, C.; Xu, J.; Zeng, J.; Chen, K.S.; Bai, X.; Lu, H.; Chen, Q.; Zhao, T. Soil moisture mapping from satellites: An intercomparison of SMAP, SMOS, FY3B, AMSR2, and ESA CCI over two dense network regions at different spatial scales. Remote Sens. 2018, 10, 33. [Google Scholar] [CrossRef]
- González-Zamora, Á.; Sánchez, N.; Pablos, M.; Martínez-Fernández, J. CCI soil moisture assessment with SMOS soil moisture and in situ data under different environmental conditions and spatial scales in Spain. Remote Sens. Environ. 2019, 225, 469–482. [Google Scholar] [CrossRef]
- Ma, H.; Zeng, J.; Chen, N.; Zhang, X.; Cosh, M.H.; Wang, W. Satellite surface soil moisture from SMAP, SMOS, AMSR2 and ESA CCI: A comprehensive assessment using global ground-based observations. Remote Sens. Environ. 2019, 231, 111215. [Google Scholar] [CrossRef]
- Zhang, R.; Kim, S.; Sharma, A. A comprehensive validation of the SMAP Enhanced Level-3 Soil Moisture product using ground measurements over varied climates and landscapes. Remote Sens. Environ. 2019, 223, 82–94. [Google Scholar] [CrossRef]
- Chen, F.; Crow, W.T.; Colliander, A.; Cosh, M.H.; Jackson, T.J.; Bindlish, R.; Reichle, R.H.; Chan, S.K.; Bosch, D.D.; Starks, P.J.; et al. Application of Triple Collocation in Ground-Based Validation of Soil Moisture Active/Passive (SMAP) Level 2 Data Products. IEEE J. Sel. Top. Appl. Earth Obs. Remote Sens. 2017, 10, 489–502. [Google Scholar] [CrossRef]
- Sisterson, D.L.; Peppler, R.A.; Cress, T.S.; Lamb, P.J.; Turner, D.D. The ARM Southern Great Plains (SGP) Site. Meteorol. Monogr. 2016, 57, 6.1–6.14. [Google Scholar] [CrossRef]
- Cook, D.R. Soil Temperature and Moisture Profile (STAMP) System Instrument Handbook; DOE/SC-ARM-TR-186; Stafford, R., Ed.; DOE ARM Climate Research Facility: Argonne, IL, USA, 2018. [Google Scholar]
- Bagley, J.E.; Kueppers, L.M.; Billesbach, D.P.; Williams, I.N.; Biraud, S.C.; Torn, M.S. The influence of land cover on surface energy partitioning and evaporative fraction regimes in the U.S. Southern Great Plains: Influence of Land Cover in U.S. SGP. J. Geophys. Res. Atmos. 2017, 122, 5793–5807. [Google Scholar] [CrossRef]
- Crow, W.T.; Berg, A.A.; Cosh, M.H.; Loew, A.; Mohanty, B.P.; Panciera, R.; de Rosnay, P.; Ryu, D.; Walker, J.P. Upscaling sparse ground-based soil moisture observations for the validation of coarse-resolution satellite soil moisture products: UPSCALING SOIL MOISTURE. Rev. Geophys. 2012, 50. [Google Scholar] [CrossRef]
- Danielson, P.; Yang, L.; Jin, S.; Homer, C.; Napton, D. An Assessment of the Cultivated Cropland Class of NLCD 2006 Using a Multi-Source and Multi-Criteria Approach. Remote Sens. 2016, 8, 101. [Google Scholar] [CrossRef]
- Chaubell, J.; Chan, S.; Dunbar, R.; Entekhabi, D.; Peng, J.; Piepmeier, J.; Yueh, S. Backus-Gilbert optimal interpoaltion applied to enhance smap data: Implementation and assessment. In Proceedings of the 2017 IEEE International Geoscience and Remote Sensing Symposium (IGARSS), Fort Worth, TX, USA, 23–28 July 2017; pp. 2531–2534. [Google Scholar] [CrossRef]
- Colliander, A.; Jackson, T.J.; Bindlish, R.; Chan, S.; Das, N.; Kim, S.B.; Cosh, M.H.; Dunbar, R.S.; Dang, L.; Pashaian, L.; et al. Validation of SMAP surface soil moisture products with core validation sites. Remote Sens. Environ. 2017, 191, 215–231. [Google Scholar] [CrossRef]
- O’Neill, P.E.; Chan, S.; Njoku, E.; Jackson, T.J.; Bindlish, R. Algorithm Theoretical Basis Document (ATBD): L2/3_SM_P; National Aeronautics and Space Administration: Washington, CA, USA, 2015. [Google Scholar]
- Dorigo, W.A.; Gruber, A.; De Jeu, R.A.M.; Wagner, W.; Stacke, T.; Loew, A.; Albergel, C.; Brocca, L.; Chung, D.; Parinussa, R.M.; et al. Evaluation of the ESA CCI soil moisture product using ground-based observations. Remote Sens. Environ. 2015, 162, 380–395. [Google Scholar] [CrossRef]
- Gruber, A.; Scanlon, T. Evolution of the ESA CCI Soil Moisture climate data records and their underlying merging methodology. Earth Syst. Sci. Data 2019, 23, 1–37. [Google Scholar] [CrossRef]
- Xia, Y.; Ek, M.B.; Wu, Y.; Ford, T.; Quiring, S.M. Comparison of NLDAS-2 Simulated and NASMD Observed Daily Soil Moisture. Part I: Comparison and Analysis. J. Hydrometeorol. 2015, 16, 1962–1980. [Google Scholar] [CrossRef]
- Daly, C.; Neilson, R.P.; Phillips, D.L. A statistical-topographic model for mapping climatological precipitation over mountainous terrain. J. Appl. Meteor. 1994, 33, 140–158. [Google Scholar] [CrossRef]
- Entekhabi, D.; Reichle, R.H.; Koster, R.D.; Crow, W.T. Performance Metrics for Soil Moisture Retrievals and Application Requirements. J. Hydrometeorol. 2010, 11, 832–840. [Google Scholar] [CrossRef]
- Molero, B.; Leroux, D.; Richaume, P.; Kerr, Y.; Merlin, O.; Cosh, M.; Bindlish, R. Multi-timescale analysis of the spatial representativeness of in situ soil moisture data within satellite footprints. J. Geophys. Res. Atmos. 2018, 123, 3–21. [Google Scholar] [CrossRef]
- Holgate, C.M.; De Jeu, R.A.M.; van Dijk, A.I.J.M.; Liu, Y.Y.; Renzullo, L.J.; Vinodkumar; Dharssi, I.; Parinussa, R.M.; Van Der Schalie, R.; Gevaert, A.; et al. Comparison of remotely sensed and modelled soil moisture data sets across Australia. Remote Sens. Environ. 2016, 186, 479–500. [Google Scholar] [CrossRef]
- Al-Yaari, A.; Wigneron, J.-P.; Kerr, Y.; Rodriguez-Fernandez, N.; O’Neill, P.E.; Jackson, T.J.; De Lannoy, G.J.M.; Al Bitar, A.; Mialon, A.; Richaume, P.; et al. Evaluating soil moisture retrievals from ESA’s SMOS and NASA’s SMAP brightness temperature datasets. Remote Sens. Environ. 2017, 193, 257–273. [Google Scholar] [CrossRef] [PubMed]
- Al-Yaari, A.; Wigneron, J.-P.; Dorigo, W.; Colliander, A.; Pellarin, T.; Hahn, S.; Mialon, A.; Richaume, P.; Fernandez-Moran, R.; Fan, L.; et al. Assessment and inter-comparison of recently developed/reprocessed microwave satellite soil moisture products using ISMN ground-based measurements. Remote Sens. Environ. 2019, 224, 289–303. [Google Scholar] [CrossRef]
- Cheng, M.; Zhong, L.; Ma, Y.; Zou, M.; Ge, N.; Wang, X.; Hu, Y. A Study on the Assessment of Multi-Source Satellite Soil Moisture Products and Reanalysis Data for the Tibetan Plateau. Remote Sens. 2019, 11, 1196. [Google Scholar] [CrossRef]
- Ford, T.W.; Quiring, S.M. Comparison of Contemporary In Situ, Model, and Satellite Remote Sensing Soil Moisture With a Focus on Drought Monitoring. Water Resour. Res. 2019, 55, 1565–1582. [Google Scholar] [CrossRef]
- Paredes-Trejo, F.; Barbosa, H.; Rossato Spatafora, L. Assessment of SM2RAIN-Derived and State-of-the-Art Satellite Rainfall Products over Northeastern Brazil. Remote Sens. 2018, 10, 1093. [Google Scholar] [CrossRef]
- Escorihuela, M.J.; Chanzy, A.; Wigneron, J.P.; Kerr, Y.H. Effective soil moisture sampling depth of L-band radiometry: A case study. Remote Sens. Environ. 2010, 114, 995–1001. [Google Scholar] [CrossRef]
- Kaihotsu, I.; Asanuma, J.; Aida, K.; Oyunbaatar, D. Evaluation of the AMSR2 L2 soil moisture product of JAXA on the Mongolian Plateau over seven years (2012–2018). SN Appl. Sci. 2019, 1. [Google Scholar] [CrossRef]
- Gruber, A.; De Lannoy, G.; Albergel, C.; Al-Yaari, A.; Brocca, L.; Calvet, J.-C.; Colliander, A.; Cosh, M.; Crow, W.; Dorigo, W.; et al. Validation practices for satellite soil moisture retrievals: What are (the) errors? Remote Sens. Environ. 2020, 244, 111806. [Google Scholar] [CrossRef]
- Liu, K.; Wang, S.; Li, X.; Li, Y.; Zhang, B.; Zhai, R. The assessment of different vegetation indices for spatial disaggregating of thermal imagery over the humid agricultural region. Int. J. Remote Sens. 2020, 41, 1907–1926. [Google Scholar] [CrossRef]
- Hornbuckle, B.K.; England, A.W.; Anderson, M.C. The Effect of Intercepted Precipitation on the Microwave Emission of Maize at 1.4 GHz. IEEE Trans. Geosci. Remote Sens. 2007, 45, 1988–1995. [Google Scholar] [CrossRef]










| Site | ID | Mean SM a | Precip b | Soil Texture | Surface Type | Grassland c | Cultivated Crop c | Forest c |
|---|---|---|---|---|---|---|---|---|
| Ashton | E9 | 0.249 | 2.211 | L | Pasture | 28% | 66% | |
| Anthony | E31 | 0.211 | 1.720 | SiL | Pasture | 66% | 28% | |
| Byron | E11 | 0.292 | 2.049 | L | Pasture | 41% | 46% | |
| Lamont | E13 | 0.238 | 2.457 | SL | Pasture/Wheat | 18% | 77% | |
| Maple city | E34 | 0.272 | 2.391 | SiCL | Pasture | 87% | ||
| Marshall | E36 | 0.212 | 1.983 | SL | Pasture | 67% | 13% | 11% |
| Medford | E32 | 0.257 | 2.025 | SiCL | Pasture | 25% | 56% | |
| Morrison | E39 | 0.260 | 2.111 | SiL | Pasture/Wheat | 78% | 15% | |
| Newkirk | E33 | 0.237 | 2.573 | SiL | Pasture/Wheat | 20% | 73% | |
| Okmulgee | E21 | 0.191 | 2.034 | SiCL | Forest | 14% | 58% | |
| Omega | E38 | 0.203 | 1.965 | SiL | Pasture/Wheat | 27% | 68% | |
| Pawhuska | E12 | 0.257 | 2.027 | SL | Native Prairie | 53% | 37% | |
| Pawnee | E40 | 0.304 | 3.650 | SiL | Pasture | 65% | 20% | |
| Peckham | E41 | 0.303 | 3.171 | SiL | Pasture/Wheat | 29% | 58% | |
| Ringwood | E15 | 0.083 | 1.706 | SL | Pasture | 38% | 50% | |
| Tryon | E35 | 0.30 | 2.127 | CL | Pasture | 54% | 29% | |
| Waukomis | E37 | 0.217 | 1.789 | SiL | Pasture/Wheat | 20% | 72% |
| Site | SMAP | ESACCI | NLDAS-2 | N | ||||||
|---|---|---|---|---|---|---|---|---|---|---|
| R | Bias | ubRMSD | R | Bias | ubRMSD | R | Bias | ubRMSD | ||
| Ash | 0.87 | 0.018 | 0.054 | 0.62 | 0.036 | 0.058 | 0.79 | 0.061 | 0.055 | 266 |
| Ant | 0.76 | −0.037 | 0.043 | 0.62 | 0.035 | 0.049 | 0.58 | 0.019 | 0.052 | 296 |
| Byr | 0.76 | −0.078 | 0.052 | 0.54 | −0.026 | 0.070 | 0.80 | 0.003 | 0.062 | 275 |
| Lam | 0.78 | −0.003 | 0.054 | 0.55 | 0.037 | 0.060 | 0.69 | 0.056 | 0.058 | 266 |
| Map | 0.70 | −0.008 | 0.059 | 0.58 | 0.014 | 0.063 | 0.53 | 0.04 | 0.066 | 259 |
| Mar | 0.83 | 0.003 | 0.042 | 0.68 | 0.052 | 0.056 | 0.81 | 0.028 | 0.049 | 290 |
| Med | 0.65 | 0.002 | 0.074 | 0.43 | 0.029 | 0.090 | 0.75 | 0.024 | 0.077 | 263 |
| Mor | 0.78 | −0.026 | 0.050 | 0.66 | 0.007 | 0.064 | 0.73 | 0.007 | 0.060 | 251 |
| New | 0.80 | 0.029 | 0.052 | 0.46 | 0.052 | 0.079 | 0.82 | 0.065 | 0.067 | 263 |
| Okm | 0.70 | 0.058 | 0.051 | 0.62 | 0.099 | 0.057 | 0.74 | 0.086 | 0.052 | 247 |
| Ome | 0.80 | −0.008 | 0.045 | 0.73 | 0.049 | 0.053 | 0.74 | 0.085 | 0.056 | 299 |
| Pawh | 0.82 | −0.017 | 0.041 | 0.74 | −0.022 | 0.051 | 0.72 | −0.044 | 0.054 | 234 |
| Pawn | 0.79 | −0.068 | 0.045 | 0.73 | −0.035 | 0.051 | 0.72 | −0.024 | 0.057 | 289 |
| Pec | 0.79 | −0.055 | 0.050 | 0.50 | −0.032 | 0.065 | 0.77 | −0.018 | 0.055 | 271 |
| Rin | 0.65 | 0.078 | 0.043 | 0.62 | 0.062 | 0.032 | 0.59 | 0.067 | 0.034 | 270 |
| Try | 0.73 | −0.079 | 0.052 | 0.61 | −0.052 | 0.060 | 0.57 | −0.053 | 0.064 | 249 |
| Wau | 0.81 | −0.019 | 0.042 | 0.70 | 0.052 | 0.056 | 0.74 | 0.074 | 0.059 | 214 |
| Site | SMAP L3 | ESACCI | NLDAS-2 | N | ||||||
|---|---|---|---|---|---|---|---|---|---|---|
| R | Bias | ubRMSD | R | Bias | ubRMSD | R | Bias | ubRMSD | ||
| Ash | 0.848 | 0.000 | 0.044 | 0.714 | −0.002 | 0.034 | 0.769 | −0.001 | 0.034 | 266 |
| Ant | 0.779 | 0.000 | 0.028 | 0.65 | −0.002 | 0.033 | 0.729 | −0.001 | 0.028 | 267 |
| Byr | 0.718 | −0.002 | 0.036 | 0.607 | −0.003 | 0.04 | 0.753 | 0.002 | 0.037 | 309 |
| Lam | 0.756 | 0.000 | 0.043 | 0.617 | −0.002 | 0.041 | 0.685 | −0.002 | 0.039 | 266 |
| Map | 0.667 | −0.001 | 0.039 | 0.567 | −0.001 | 0.04 | 0.699 | −0.001 | 0.027 | 259 |
| Mar | 0.796 | −0.002 | 0.031 | 0.714 | −0.002 | 0.033 | 0.767 | −0.001 | 0.032 | 272 |
| Med | 0.69 | −0.001 | 0.044 | 0.543 | −0.002 | 0.043 | 0.696 | −0.001 | 0.039 | 263 |
| Mor | 0.764 | 0.000 | 0.03 | 0.55 | 0.000 | 0.036 | 0.757 | 0.001 | 0.03 | 251 |
| New | 0.82 | 0.000 | 0.038 | 0.647 | −0.001 | 0.041 | 0.81 | −0.001 | 0.036 | 263 |
| Okm | 0.662 | 0.001 | 0.028 | 0.465 | 0.000 | 0.025 | 0.675 | 0.001 | 0.019 | 242 |
| Ome | 0.809 | −0.002 | 0.045 | 0.732 | 0.049 | 0.053 | 0.745 | 0.085 | 0.056 | 299 |
| Paw | 0.721 | 0.000 | 0.032 | 0.596 | −0.001 | 0.03 | 0.756 | −0.001 | 0.024 | 234 |
| Pawn | 0.802 | −0.001 | 0.029 | 0.616 | −0.001 | 0.035 | 0.786 | −0.001 | 0.033 | 255 |
| Pec | 0.75 | −0.001 | 0.042 | 0.623 | −0.002 | 0.045 | 0.777 | −0.001 | 0.041 | 263 |
| Rin | 0.812 | 0.000 | 0.034 | 0.72 | −0.002 | 0.026 | 0.552 | −0.003 | 0.024 | 270 |
| Try | 0.749 | −0.001 | 0.03 | 0.529 | −0.001 | 0.04 | 0.699 | −0.001 | 0.032 | 249 |
| Wau | 0.789 | −0.002 | 0.037 | 0.648 | −0.003 | 0.045 | 0.752 | −0.001 | 0.046 | 214 |
© 2020 by the authors. Licensee MDPI, Basel, Switzerland. This article is an open access article distributed under the terms and conditions of the Creative Commons Attribution (CC BY) license (http://creativecommons.org/licenses/by/4.0/).
Share and Cite
Jiang, B.; Su, H.; Liu, K.; Chen, S. Assessment of Remotely Sensed and Modelled Soil Moisture Data Products in the U.S. Southern Great Plains. Remote Sens. 2020, 12, 2030. https://doi.org/10.3390/rs12122030
Jiang B, Su H, Liu K, Chen S. Assessment of Remotely Sensed and Modelled Soil Moisture Data Products in the U.S. Southern Great Plains. Remote Sensing. 2020; 12(12):2030. https://doi.org/10.3390/rs12122030
Chicago/Turabian StyleJiang, Bo, Hongbo Su, Kai Liu, and Shaohui Chen. 2020. "Assessment of Remotely Sensed and Modelled Soil Moisture Data Products in the U.S. Southern Great Plains" Remote Sensing 12, no. 12: 2030. https://doi.org/10.3390/rs12122030
APA StyleJiang, B., Su, H., Liu, K., & Chen, S. (2020). Assessment of Remotely Sensed and Modelled Soil Moisture Data Products in the U.S. Southern Great Plains. Remote Sensing, 12(12), 2030. https://doi.org/10.3390/rs12122030

