Phenology Patterns Indicate Recovery Trajectories of Ponderosa Pine Forests After High-Severity Fires
Abstract
1. Introduction
2. Materials and Methods
2.1. Study Area
2.2. Selection of Sample Locations
2.3. Imagery Time-Series
2.4. Time-Series Processing
2.5. Analysis of Phenology Metrics
3. Results
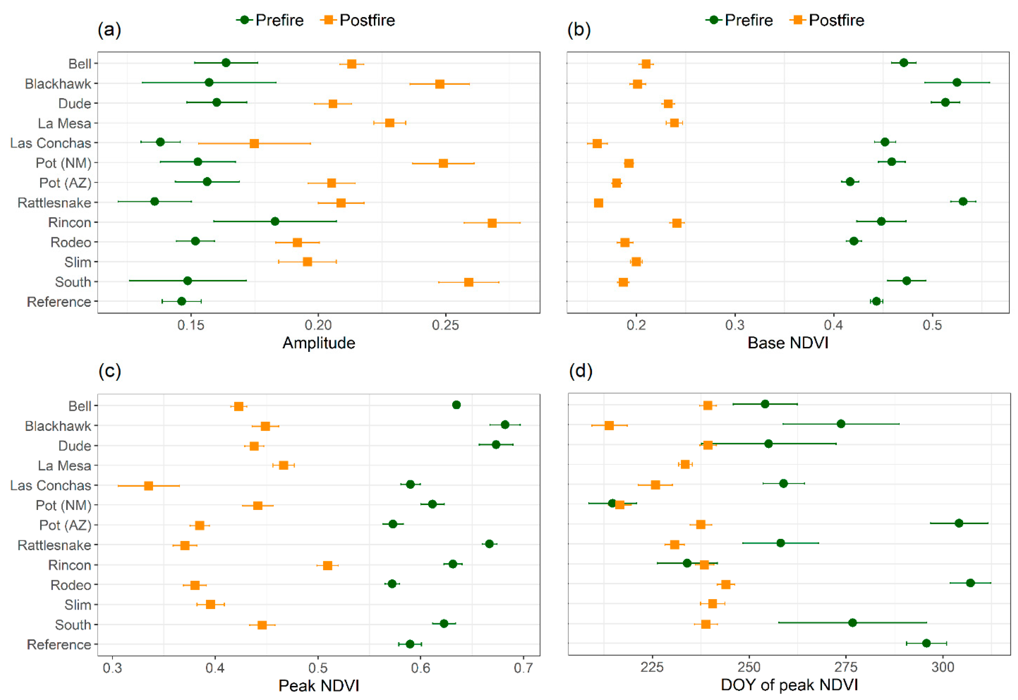
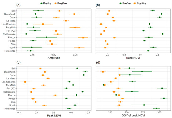
3.1. Comparison of Pre- versus Post-Fire Phenometrics
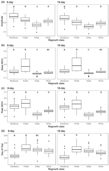
3.2. Comparison of Phenometrics by Recovery Trajectory
3.3. Differences between 8- and 16-day Aggregations.
4. Discussion
4.1. Pre versus Post-Burn Phenometrics
4.2. Differentiation of Recovery Trajectories
- Grass: low amplitude; low base NDVI; low peak NDVI; variable timing of peak NDVI.
- Shrub: mid amplitude; mid base NDVI; mid peak NDVI; mid timing of peak NDVI.
- Deciduous: high amplitude; low base NDVI; high peak NDVI; early timing of peak NDVI.
- Forest: low amplitude; high base NDVI; high peak NDVI; late timing of peak NDVI.
4.3. Effect of Sampling Interval on Derived Phenometrics
4.4. Applicability and Future Efforts
5. Conclusions
Supplementary Materials
Author Contributions
Funding
Acknowledgments
Conflicts of Interest
References
- Liu, Y.; Goodrick, S.L.; Stanturf, J.A. Future U.S. wildfire potential trends projected using a dynamically downscaled climate change scenario. For. Ecol. Manag. 2013, 294, 120–135. [Google Scholar] [CrossRef]
- Littell, J.S.; McKenzie, D.; Peterson, D.L.; Westerling, A.L. Climate and wildfire area burned in western U.S. ecoprovinces, 1916-2003. Ecol. Appl. 2009, 19, 1003–1021. [Google Scholar] [CrossRef] [PubMed]
- Westerling, A.L.; Hidalgo, H.G.; Cayan, D.R.; Swetnam, T.W. Warming and earlier spring increase western U.S. forest wildfire activity. Science 2006, 313, 940–943. [Google Scholar] [CrossRef] [PubMed]
- Hurteau, M.D.; Bradford, J.B.; Fulé, P.Z.; Taylor, A.H.; Martin, K.L. Climate change, fire management, and ecological services in the southwestern US. For. Ecol. Manag. 2014, 327, 280–289. [Google Scholar] [CrossRef]
- Fulé, P.Z.; Heinlein, T.A.; Covington, W.W.; Moore, M.M. Assessing fire regimes on Grand Canyon landscapes with fire-scar and fire-record data. Int. J. Wildl. Fire 2003, 12, 129–145. [Google Scholar] [CrossRef]
- Cooper, C.F. Pattern in ponderosa pine forests. Ecology 1961, 42, 493–499. [Google Scholar] [CrossRef]
- White, A.S. Presettlement regeneration patterns in a southwestern ponderosa pine stand. Ecology 1985, 66, 589–594. [Google Scholar] [CrossRef]
- Covington, W.W.; Moore, M.M. Southwestern ponderosa forest structure. J. For. 1994, 92, 39–47. [Google Scholar]
- Fulé, P.Z.; Covington, W.W.; Moore, M.M. Determining reference conditions for ecosystem management of southwestern ponderosa pine forests. Ecol. Appl. 1997, 7, 895–908. [Google Scholar] [CrossRef]
- Allen, C.D.; Savage, M.; Falk, D.A.; Suckling, K.F.; Swetnam, T.W.; Schulke, T.; Stacey, P.B.; Morgan, P.; Hoffman, M.; Klingel, J.T. Ecological restoration of southwestern ponderosa pine ecosystems: A broad perspective. Ecol. Appl. 2002, 12, 1418–1433. [Google Scholar] [CrossRef]
- Friederici, P. Ecological Restoration of Southwestern Ponderosa Pine Forests; Friederici, P., Ed.; Island Press: Washington, DC, USA, 2003. [Google Scholar]
- Romme, W.H.; Kaufmann, M.; Veblen, T.; Sherriff, R.; Regan, C.M. Ecological effects of the Hyman Fire—Part 2: Historical (Pre-1860) and current (1860–2002) forest and landscape structure. In Hayman Fire Case Study. Gen. Tech. Rep. RMRS-GTR-114; Graham, R.T., Ed.; U.S. Department of Agriculture, Forest Service, Rocky Mountain Research Station: Ogden, UT, USA, 2003; pp. 196–203. [Google Scholar]
- Swetnam, T.W.; Allen, C.D.; Betancourt, J.L. Applied historical ecology: Using the past to manage for the future. Ecol. Appl. 1999, 9, 1189–1206. [Google Scholar] [CrossRef]
- Mast, J.N.; Veblen, T.T.; Linhart, Y.B. Disturbance and climatic influences on age structure of ponderosa pine at the pine/grassland ecotone, Colorado Front Range. J. Biogeogr. 1998, 25, 743–755. [Google Scholar] [CrossRef]
- Brown, P.M.; Wu, R. Climate and disturbance forcing of episodic tree recruitment in a southwestern ponderosa pine landscape. Ecology 2005, 86, 3030–3038. [Google Scholar] [CrossRef]
- Overpeck, J.; Udall, B. Dry times ahead. Science 2010, 328, 1642–1643. [Google Scholar] [CrossRef]
- Williams, A.P.; Allen, C.D.; Millar, C.I.; Swetnam, T.W.; Michaelsen, J.; Still, C.J.; Leavitt, S.W. Forest responses to increasing aridity and warmth in the southwestern United States. Proc. Natl. Acad. Sci. USA 2010, 107, 21289–21294. [Google Scholar] [CrossRef]
- McKenzie, D.; Gedalof, Z.M.; Peterson, D.L.; Mote, P. Climatic change, wildfire, and conservation. Conserv. Biol. 2004, 18, 890–902. [Google Scholar] [CrossRef]
- Stephens, S.L.; Agee, J.K.; Fulé, P.Z.; North, M.P.; Romme, W.H.; Swetnam, T.W.; Turner, M.G. Managing forests and fire in changing climates. Science 2013, 342, 41–42. [Google Scholar] [CrossRef]
- Dennison, P.E.; Brewer, S.C.; Arnold, J.D.; Mortiz, M.A. Large wildfire trends in the western United States, 1984-2011. Geophys. Res. Lett. 2014, 41, 2928–2933. [Google Scholar] [CrossRef]
- Cohen, W.B.; Yang, Z.; Stehman, S.V.; Schroeder, T.A.; Bell, D.M.; Masek, J.G.; Huang, C.; Meigs, G.W. Forest disturbance across the conterminous United States from 1985–2012: The emerging dominance of forest decline. For. Ecol. Manag. 2016, 360, 242–252. [Google Scholar] [CrossRef]
- Adams, M.A. Mega-fires, tipping points and ecosystem services: Managing forests and woodlands in an uncertain future. For. Ecol. Manag. 2013, 294, 250–261. [Google Scholar] [CrossRef]
- Savage, M.; Mast, J.N.; Feddema, J.J. Double whammy: High-severity fire and drought in ponderosa pine forests of the Southwest. Can. J. For. Res. 2013, 43, 570–583. [Google Scholar] [CrossRef]
- Dieterich, J.H. Recovery Potential of Fire-Damaged Southwestern Ponderosa Pine; Research Note RM-379; U.S. Department of Agriculture, Forest Service, Rocky Mountain Forest and Range Experiment Station: Fort Collins, CO, USA, 1979.
- Dodson, E.K.; Root, H.T. Native and exotic plant cover vary inversely along a climate gradient 11 years following stand-replacing wildfire in a dry coniferous forest, Oregon, USA. Glob. Chang. Biol. 2015, 21, 666–675. [Google Scholar] [CrossRef] [PubMed]
- Feddema, J.J.; Mast, J.N.; Savage, M. Modeling high-severity fire, drought and climate change impacts on ponderosa pine regeneration. Ecol. Modell. 2013, 253, 56–69. [Google Scholar] [CrossRef]
- Schubert, G.H. Silviculture of Southwestern Ponderosa Pine: The Status of Our Knowledge. Res. Paper RM-123; U.S. Department of Agriculture, Forest Service, Rocky Mountain Forest and Range Experiment Station: Fort Collins, CO, USA, 1974.
- Savage, M.; Mast, J.N. How resilient are southwestern ponderosa pine forests after crown fires? Can. J. For. Res. 2005, 35, 967–977. [Google Scholar] [CrossRef]
- Dore, S.; Montes-Helu, M.; Hart, S.C.; Hungate, B.A.; Koch, G.W.; Moon, J.B.; Finkral, A.J.; Kolb, T.E. Recovery of ponderosa pine ecosystem carbon and water fluxes from thinning and stand-replacing fire. Glob. Chang. Biol. 2012, 18, 3171–3185. [Google Scholar] [CrossRef] [PubMed]
- Kuenzi, A.M.; Fulé, P.Z.; Sieg, C.H. Effects of fire severity and pre-fire stand treatment on plant community recovery after a large wildfire. For. Ecol. Manag. 2008, 255, 855–865. [Google Scholar] [CrossRef]
- Haire, S.L.; McGarigal, K. Effects of landscape patterns of fire severity on regenerating ponderosa pine forests (Pinus ponderosa) in New Mexico and Arizona, USA. Landsc. Ecol. 2010, 25, 1055–1069. [Google Scholar] [CrossRef]
- Roccaforte, J.P.; Fulé, P.Z.; Chancellor, W.W.; Laughlin, D.C. Woody debris and tree regeneration dynamics following severe wildfires in Arizona ponderosa pine forests. Can. J. For. Res. 2012, 42, 593–604. [Google Scholar] [CrossRef]
- Tucker, C.J. Red and photographic infrared linear combinations for monitoring vegetation. Remote Sens. Environ. 1979, 8, 127–150. [Google Scholar] [CrossRef]
- Tucker, C.J.; Sellers, P.J. Satellite remote sensing of primary production. Int. J. Remote Sens. 1986, 7, 1395–1416. [Google Scholar] [CrossRef]
- Casady, G.M.; Marsh, S.E. Broad-scale environmental conditions responsible for post-fire vegetation dynamics. Remote Sens. 2010, 2, 2643–2664. [Google Scholar] [CrossRef]
- Díaz-Delgado, R.; Lloret, F.; Pons, X.; Terradas, J. Satellite evidence of decreasing resilience in Mediterranean plant communities after recurrent wildfires. Ecology 2002, 83, 2293–2303. [Google Scholar] [CrossRef]
- Gouveia, C.; DaCamara, C.C.; Trigo, R.M. Post-fire vegetation recovery in Portugal based on spot/vegetation data. Nat. Hazards Earth Syst. Sci. 2010, 10, 673–684. [Google Scholar] [CrossRef]
- Röder, A.; Hill, J.; Duguy, B.; Alloza, J.; Vallejo, R. Using long time series of Landsat data to monitor fire events and post-fire dynamics and identify driving factors. A case study in the Ayora region (eastern Spain). Remote Sens. Environ. 2008, 112, 259–273. [Google Scholar] [CrossRef]
- Telesca, L.; Lasaponara, R. Pre- and post-fire behavioral trends revealed in satellite NDVI time series. Geophys. Res. Lett. 2006, 33, 2–5. [Google Scholar] [CrossRef]
- van Leeuwen, W.J.D. Monitoring the effects of forest restoration treatments on post-fire vegetation recovery with MODIS multitemporal data. Sensors 2008, 8, 2017–2042. [Google Scholar] [CrossRef] [PubMed]
- van Leeuwen, W.J.D.; Casady, G.M.; Neary, D.G.; Bautista, S.; Alloza, J.A.; Carmel, Y.; Wittenberg, L.; Malkinson, D.; Orr, B.J. Monitoring post-wildfire vegetation response with remotely sensed time-series data in Spain, USA and Israel. Int. J. Wildl. Fire 2010, 19, 75–93. [Google Scholar] [CrossRef]
- Crimmins, T.M.; Crimmins, M.A.; Bertelsen, C.D. Onset of summer flowering in a “Sky Island” is driven by monsoon moisture. New Phytol. 2011, 191, 468–479. [Google Scholar] [CrossRef]
- Rich, P.M.; Breshears, D.D.; White, A.B. Phenology of mixed woody-herbaceous ecosystems following extreme events: Net and differential responses. Ecology 2008, 89, 342–352. [Google Scholar] [CrossRef]
- Davison, J.E.; Breshears, D.D.; van Leeuwen, W.J.D.; Casady, G.M. Remotely sensed vegetation phenology and productivity along a climatic gradient: On the value of incorporating the dimension of woody plant cover. Glob. Ecol. Biogeogr. 2011, 20, 101–113. [Google Scholar] [CrossRef]
- Walker, J.; de Beurs, K.; Wynne, R.H. Phenological response of an Arizona dryland forest to short-term climatic extremes. Remote Sens. 2015, 7, 10832–10855. [Google Scholar] [CrossRef]
- Brandt, M.; Hiernaux, P.; Tagesson, T.; Verger, A.; Rasmussen, K.; Diouf, A.A.; Mbow, C.; Mougin, E.; Fensholt, R. Woody plant cover estimation in drylands from Earth Observation based seasonal metrics. Remote Sens. Environ. 2016, 172, 28–38. [Google Scholar] [CrossRef]
- Walker, J.J.; de Beurs, K.M.; Wynne, R.H. Dryland vegetation phenology across an elevation gradient in Arizona, USA, investigated with fused MODIS and Landsat data. Remote Sens. Environ. 2014, 144. [Google Scholar] [CrossRef]
- Cohen, W.B.; Goward, S.N. Landsat’s role in ecological applications of remote sensing. Bioscience 2004, 54, 535–545. [Google Scholar] [CrossRef]
- Walker, J.J.; de Beurs, K.M.; Wynne, R.H.; Gao, F. Evaluation of Landsat and MODIS data fusion products for analysis of dryland forest phenology. Remote Sens. Environ. 2012, 117, 381–393. [Google Scholar] [CrossRef]
- Wulder, M.A.; Masek, J.G.; Cohen, W.B.; Loveland, T.R.; Woodcock, C.E. Opening the archive: How free data has enabled the science and monitoring promise of Landsat. Remote Sens. Environ. 2012, 122, 2–10. [Google Scholar] [CrossRef]
- O’Hara, K.L. Multiaged silviculture of ponderosa pine. In Proceedings of the Symposium on Ponderosa Pine: Issues, Trends, and Management, Klamath Falls, OR, USA, 18–21 October 2004; Gen. Tech. Rep PSW-GTR-198. Ritchie, M.W., Maguire, D.A., Youngblood, A., Eds.; Pacific Southwest Research Station, Forest Service, U.S. Department of Agriculture: Albany, CA, USA, 2005; pp. 59–70. [Google Scholar]
- Ronco, F.P.J. Pinus edulis Engelm.: Pinyon. In Silvics of North America: Volume 1. Conifers; Agriculture Handbook 654; Burns, R.M., Honkala, B.H., Eds.; U.S. Department of Agriculture, Forest Service, 1990; pp. 327–337. [Google Scholar]
- Howard, J.L. Pinus ponderosa var. brachyptera, P. p. var. scopulorum In: Fire Effects Information System. Available online: https://www.fs.fed.us/database/feis/plants/tree/pinpons/all.html (accessed on 30 September 2019).
- Hermann, R.K.; Lavender, D.P. Pseudotsuga mesziesii (Mirb.) Franco: Douglas-Fir. In Silvics of North America: Volume 1. Conifers; Agriculture Handbook 654, Burns, R.M., Honkala, B.H., Eds.; U.S. Department of Agriculture, Forest Service, 1990; pp. 527–540. [Google Scholar]
- Eidenshink, J.; Schwind, B.; Brewer, K.; Zhu, Z.; Quayle, B.; Howard, S. A project for monitoring trends in burn severity. Fire Ecol. Spec. Issue 2007, 3, 3–21. [Google Scholar] [CrossRef]
- Finco, M.; Quayle, B.; Zhang, Y.; Lecker, J.; Megown, K.A.; Brewer, C.K. Monitoring Trends and Burn Severity (MTBS): Monitoring wildfire activity for the past quarter century using Landsat data. In Proceedings of the Moving from Status to Trends: Forest Inventory and Analysis (FIA) Symposium; Morin, R.S., Liknes, G.C., Eds.; U.S. Department of Agriculture Forest Service, Northern Research Station: Newtown Square, PA, USA, 2012; pp. 222–228. [Google Scholar]
- Ryan, K.C.; Opperman, T.S. LANDFIRE—A national vegetation/fuels data base for use in fuels treatment, restoration, and suppression planning. For. Ecol. Manag. 2013, 294, 208–216. [Google Scholar] [CrossRef]
- Schwind, B.; Brewer, K.; Quayle, B.; Eidenshink, J.C. Establishing a nationwide baseline of historical burn-severity data to support monitoring of trends in wildfire effects and national fire policies. In Advances in Threat Assessment and Their Application to Forest and Rangeland Management. Gen. Tech. Rep. PNW-GTR-802; Pye, J.M., Rauscher, H.M., Sands, Y., Lee, D.C., Beatty, J.S., Eds.; U.S. Department of Agriculture, Forest Service, Pacific Northwest and Southern Research Stations: Portland, OR, USA, 2010; pp. 381–396. [Google Scholar]
- National Wildfire Coordinating Group [NWCG]. Glossary of Wildland Fire. Available online: https://www.nwcg.gov/glossary/ (accessed on 11 January 2019).
- Potere, D. Horizontal positional accuracy of Google Earth’s high-resolution imagery archive. Sensors 2008, 8, 7973–7981. [Google Scholar] [CrossRef]
- Huete, A.R.; Liu, H.Q.; Batchily, K.; van Leeuwen, W. A comparison of vegetation indices over a global set of TM images for EOS-MODIS. Remote Sens. Environ. 1997, 59, 440–451. [Google Scholar] [CrossRef]
- Gorelick, N.; Hancher, M.; Dixon, M.; Ilyushchenko, S.; Thau, D.; Moore, R. Google Earth Engine: Planetary-scale geospatial analysis for everyone. Remote Sens. Environ. 2017, 202, 18–27. [Google Scholar] [CrossRef]
- Vogelmann, J.E.; Helder, D.; Morfitt, R.; Choate, M.J.; Merchant, J.W.; Bulley, H. Effects of Landsat 5 Thematic Mapper and Landsat 7 Enhanced Thematic Mapper Plus radiometric and geometric calibrations and corrections on landscape characterization. Remote Sens. Environ. 2001, 78, 55–70. [Google Scholar] [CrossRef]
- Flood, N. Continuity of reflectance data between Landsat-7 ETM+ and Landsat-8 OLI, for both top-of-atmosphere and surface reflectance: A study in the Australian landscape. Remote Sens. 2014, 6, 7952–7970. [Google Scholar] [CrossRef]
- Huntington, J.; McGwire, K.; Morton, C.; Snyder, K.; Peterson, S.; Erickson, T.; Niswonger, R.; Carroll, R.; Smith, G.; Allen, R. Assessing the role of climate and resource management on groundwater dependent ecosystem changes in arid environments with the Landsat archive. Remote Sens. Environ. 2016, 185, 186–197. [Google Scholar] [CrossRef]
- R Core Team. R: A language and environment for statistical computing. 2017. [Google Scholar]
- Jönsson, P.; Eklundh, L. TIMESAT—A program for analyzing time-series of satellite sensor data. Comput. Geosci. 2004, 30, 833–845. [Google Scholar] [CrossRef]
- Jönsson, P.; Eklundh, L. Seasonality extraction by function fitting to time-series of satellite sensor data. IEEE Trans. Geosci. Remote Sens. 2002, 40, 1824–1832. [Google Scholar] [CrossRef]
- White, M.A.; de Beurs, K.M.; Didan, K.; Inouye, D.W.; Richardson, A.D.; Jensen, O.P.; O’Keefe, J.; Zhang, G.; Nemani, R.R.; van Leeuwen, W.J.D.; et al. Intercomparison, interpretation, and assessment of spring phenology in North America estimated from remote sensing for 1982-2006. Glob. Chang. Biol. 2009, 15, 2335–2359. [Google Scholar] [CrossRef]
- Welch, B.L. On the comparison of several mean values: An alternative approach. Biometrika 1951, 38, 330–336. [Google Scholar] [CrossRef]
- Zar, J.H. Biostatistical Analysis, 4th ed.; Prentice Hall: Upper Saddle River, NJ, USA, 1999. [Google Scholar]
- Morellato, L.P.C.; Alberti, L.F.; Hudson, I.L. Applications of circular statistics in plant phenology: A case studies approach. In Phenological Research: Methods for Environmental and Climate Change Analysis; Hudson, I.L., Keatley, M.R., Eds.; Springer: Dordrecht, The Netherlands, 2010; pp. 339–359. ISBN 9789048133352. [Google Scholar]
- Fisher, N. Statistical Analysis of Circular Data; University Cambridge Press: New York, NY, USA, 1993. [Google Scholar]
- Wallace, C.; Walker, J.; Skirvin, S.; Patrick-Birdwell, C.; Weltzin, J.; Raichle, H. Mapping presence and predicting phenological status of invasive buffelgrass in southern Arizona using MODIS, climate and citizen science observation data. Remote Sens. 2016, 8, 524. [Google Scholar] [CrossRef]
- Miura, T.; Nagai, S.; Takeuchi, M.; Ichii, K.; Yoshioka, H. Improved characterisation of vegetation and land surface seasonal dynamics in central Japan with Himawari-8 hypertemporal data. Sci. Rep. 2019, 9, 1–12. [Google Scholar] [CrossRef]
- Nguyen, T.T.H.; de Bie, C.A.J.M.; Ali, A.; Smaling, E.M.A.; Chu, T.H. Mapping the irrigated rice cropping patterns of the Mekong delta, Vietnam, through hyper-temporal SPOT NDVI image analysis. Int. J. Remote Sens. 2012, 33, 415–434. [Google Scholar] [CrossRef]
- Johnstone, J.F.; Chapin, F.S.I.; Hollingsworth, T.N.; Mack, M.C.; Romanovsky, V.; Turetsky, M. Fire, climate change, and forest resilience in interior Alaska. Can. J. For. Res. 2010, 40, 1302–1312. [Google Scholar] [CrossRef]
- Alexander, H.D.; Mack, M.C. A canopy shift in interior Alaskan boreal forests: Consequences for above- and belowground carbon and nitrogen pools during post-fire succession. Ecosystems 2016, 19, 98–114. [Google Scholar] [CrossRef]
- Viedma, O.; Melia, J.; Segarra, D.; Garcia-Haro, J. Modeling rates of ecosystem recovery after fires by using Landsat TM data. Remote Sens. Environ. 1997, 61, 383–398. [Google Scholar] [CrossRef]
- Barbero, M.; Bonin, G.; Loisel, R.; Quézel, P. Changes and disturbances of forest ecosystems caused by human activities in the western part of the mediterranean basin. Vegetatio 1990, 87, 151–173. [Google Scholar] [CrossRef]
- Retana, J.; Espelta, M.; Habrouk, A.; Ordoñez, J.L.; de Solà-Morales, F. Regeneration patterns of three Mediterranean pines and forest changes after a large wildfire in northeastern Spain. Ecoscience 2002, 9, 89–97. [Google Scholar] [CrossRef]
- Rodrigo, A.; Retana, J.; Picó, F.X. Direct regeneration is not the only response of Mediterranean forests to large fires. Ecology 2004, 85, 716–729. [Google Scholar] [CrossRef]
- Bell, D.M.; Bradford, J.B.; Lauenroth, W.K. Early indicators of change: Divergent climate envelopes between tree life stages imply range shifts in the western United States. Glob. Ecol. Biogeogr. 2014, 23, 168–180. [Google Scholar] [CrossRef]
- Pearson, G.A. Reproduction of Western Yellow Pine in the Southwest; Circular 174; United States Department of Agriculture, Forest Service, 1910.
- Wu, T.; Kim, Y.S. Pricing ecosystem resilience in frequent-fire ponderosa pine forests. For. Policy Econ. 2013, 27, 8–12. [Google Scholar] [CrossRef]
- Dore, S.; Kolb, T.E.; Montes-Helu, M.; Sullivan, B.W.; Winslow, W.D.; Hart, S.C.; Kaye, J.P.; Koch, G.W.; Hungate, B.A. Long-term impact of a stand-replacing fire on ecosystem CO2 exchange of a ponderosa pine forest. Glob. Chang. Biol. 2008, 14, 1801–1820. [Google Scholar] [CrossRef]
- Rich, L.R. Managing a ponderosa pine forest to increase water yield. Water Resour. Res. 1972, 8, 422–428. [Google Scholar] [CrossRef]
- Ffolliott, P.F.; Dawson, J.O.; Fisher, J.T.; Moshe, I.; DeBoers, D.W.; Fulbright, T.E.; Tracy, J.; Al Musa, A.; Johnson, C.; Chamie, J.P.M. Arid and Semiarid Land Stewardship: A 10-Year Review of Accomplishments and Contributions of the International Arid Lands Consortium. Gen. Tech. Rep. RMRS-GTR-89; U.S. Department of Agriculture, Forest Service, Rocky Mountain Research Station: Fort Collins, CO, USA, 2001.






| Fire/Area | State | Date Burned | Area Burned (ha) | Sample Point | Latitude (°N) | Longitude (°W) | Assessed Recovery Trajectory |
|---|---|---|---|---|---|---|---|
| Bell | NM | May 1993 | 5235 | 1 | 33.394 | 108.167 | Forest |
| 2 | 33.393 | 108.165 | Forest | ||||
| 3 | 33.398 | 108.154 | Deciduous | ||||
| 4 | 33.435 | 108.228 | Forest | ||||
| Blackhawk | NM | May 1993 | 1795 | 1 | 33.311 | 107.833 | Deciduous |
| Dude | AZ | June 1990 | 10,150 | 1 | 34.381 | 111.132 | Forest |
| 2 | 34.378 | 111.136 | Shrub | ||||
| 3 | 34.400 | 111.093 | Shrub | ||||
| 4 | 34.397 | 111.093 | Grass | ||||
| 5 | 34.382 | 111.073 | Forest | ||||
| 6 | 34.397 | 111.090 | Forest | ||||
| La Mesa | NM | June 1977 | 6249 | 1 | 35.825 | 106.314 | Shrub |
| 2 | 35.809 | 106.374 | Forest | ||||
| 3 | 35.807 | 106.378 | Forest | ||||
| 4 | 35.805 | 106.377 | Forest | ||||
| 5 | 35.807 | 106.389 | Forest | ||||
| 6 | 35.828 | 106.307 | Shrub | ||||
| 7 | 35.794 | 106.329 | Grass | ||||
| Las Conchas | NM | June 2011 | 61,057 | 1 | 35.819 | 106.390 | Grass |
| 2 | 35.824 | 106.394 | Grass | ||||
| Pot | AZ | June 1996 | 2208 | 1 | 34.601 | 111.377 | Grass |
| 2 | 34.607 | 111.369 | Grass | ||||
| Pot | NM | June 1994 | 12,241 | 1 | 33.665 | 107.438 | Deciduous |
| 2 | 33.661 | 107.434 | Deciduous | ||||
| 3 | 33.668 | 107.433 | Grass | ||||
| Rattlesnake | AZ | June 1994 | 10,213 | 1 | 31.818 | 109.247 | Grass |
| 2 | 31.821 | 109.254 | Deciduous | ||||
| 3 | 31.839 | 109.274 | Grass | ||||
| Rincon | AZ | June 1994 | 6261 | 1 | 32.229 | 110.534 | Forest |
| Rodeo-Chediski | AZ | June 2002 | 186,873 | 1 | 34.315 | 110.578 | Forest |
| 2 | 34.298 | 110.679 | Forest | ||||
| 3 | 34.358 | 110.568 | Forest | ||||
| Slim | AZ | July 1987 | 1426 | 1 | 34.436 | 110.863 | Shrub |
| South | NM | April 1995 | 4417 | 1 | 33.383 | 108.243 | Shrub |
| Reference | NM | N/A | N/A | 1 | 35.655 | 106.606 | Forest |
| 2 | 35.639 | 106.628 | Forest |
| Metric | Burn Phase | Interval (Days) | Mean (Standard Deviation) |
|---|---|---|---|
| Amplitude | Pre | 8 | 0.15 (0.063) |
| 16 | 0.13 (0.059) | ||
| Post | 8 | 0.22 (0.08) | |
| 16 | 0.20 (0.08) | ||
| Base NDVI | Pre | 8 | 0.46 (0.071) |
| 16 | 0.47 (0.071) | ||
| Post | 8 | 0.21 (0.08) | |
| 16 | 0.22 (0.09) | ||
| Peak NDVI | Pre | 8 | 0.61 (0.071) |
| 16 | 0.60 (0.069) | ||
| Post | 8 | 0.43 (0.12) | |
| 16 | 0.42 (0.12) | ||
| Timing of peak NDVI (day of year) | Pre | 8 | 279 (53.6) |
| 16 | 274 (52.4) | ||
| Post | 8 | 239 (24.9) | |
| 16 | 234 (24.2) |
© 2019 by the authors. Licensee MDPI, Basel, Switzerland. This article is an open access article distributed under the terms and conditions of the Creative Commons Attribution (CC BY) license (http://creativecommons.org/licenses/by/4.0/).
Share and Cite
Walker, J.J.; Soulard, C.E. Phenology Patterns Indicate Recovery Trajectories of Ponderosa Pine Forests After High-Severity Fires. Remote Sens. 2019, 11, 2782. https://doi.org/10.3390/rs11232782
Walker JJ, Soulard CE. Phenology Patterns Indicate Recovery Trajectories of Ponderosa Pine Forests After High-Severity Fires. Remote Sensing. 2019; 11(23):2782. https://doi.org/10.3390/rs11232782
Chicago/Turabian StyleWalker, Jessica J., and Christopher E. Soulard. 2019. "Phenology Patterns Indicate Recovery Trajectories of Ponderosa Pine Forests After High-Severity Fires" Remote Sensing 11, no. 23: 2782. https://doi.org/10.3390/rs11232782
APA StyleWalker, J. J., & Soulard, C. E. (2019). Phenology Patterns Indicate Recovery Trajectories of Ponderosa Pine Forests After High-Severity Fires. Remote Sensing, 11(23), 2782. https://doi.org/10.3390/rs11232782

