Evaluation of Soil Moisture Variability in Poland from SMOS Satellite Observations
Abstract
1. Introduction
2. Materials and Methods
3. Results
3.1. Descriptive Statistics of Soil Moisture
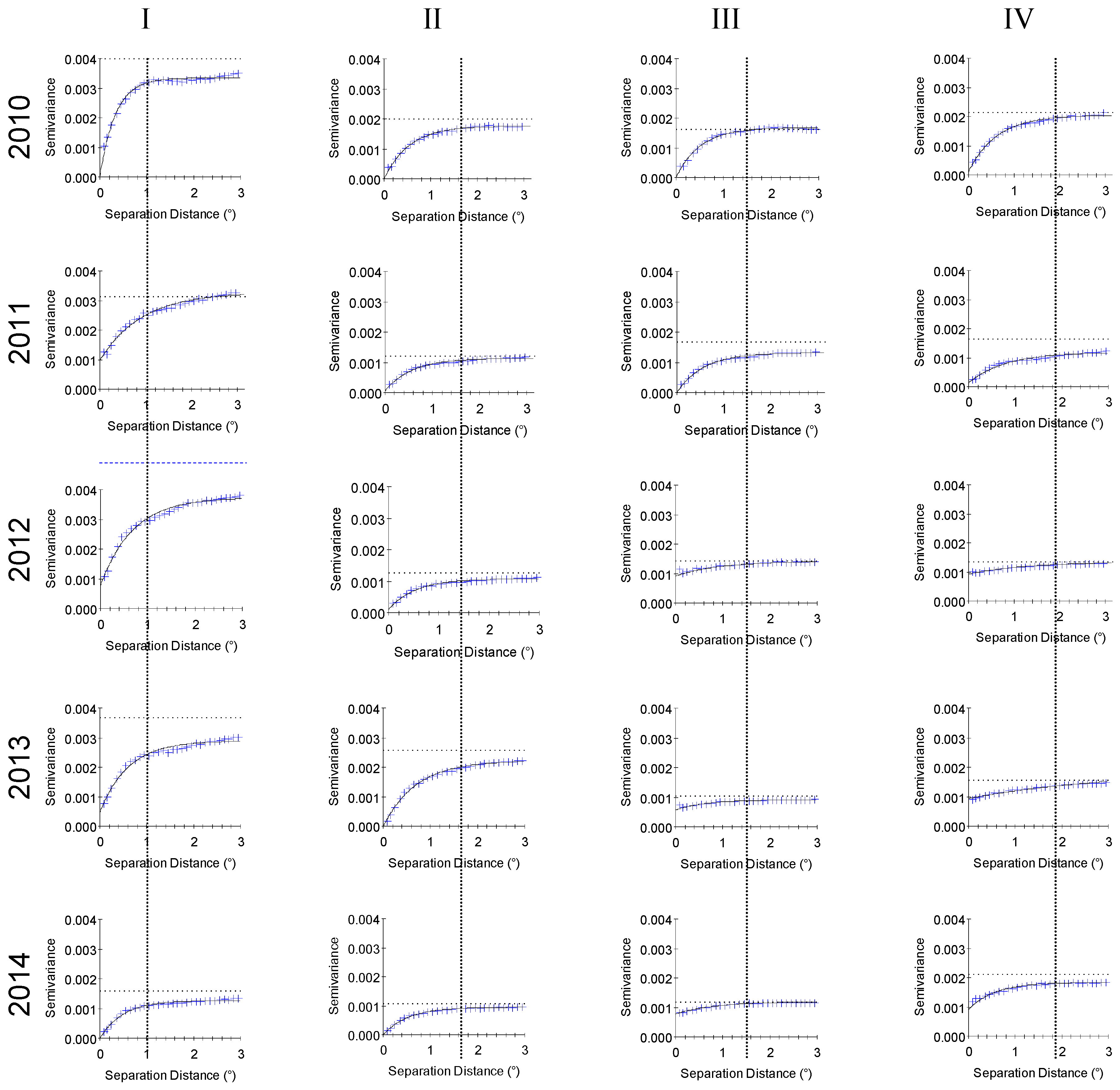
3.2. Semivariograms
3.3. Fractal Dimension
3.4. Soil Moisture Maps
4. Discussion
5. Summary and Conclusions
Author Contributions
Funding
Conflicts of Interest
References
- Dingman, S.L. Physical Hydrology; Prentice Hall: Upper Saddle River, NJ, USA, 2002. [Google Scholar]
- Richter, G.M.; Semenov, M.A. Modelling Impacts of Climate Change on Wheat Yields in England and Wales: Assessing Drought Risks. Agric. Syst. 2005, 84, 77–97. [Google Scholar] [CrossRef]
- Paltineanu, C.; Chitu, E.; Tanasescu, N. Correlation Between The Crop Water Stress Index And Soil Moisture Content For Apple In A Loamy Soil: A Case Study In Southern Romania. Acta Hortic. 2011, 889, 257–264. [Google Scholar] [CrossRef]
- Saseendran, S.A.; Trout, T.J.; Ahuja, L.R.; Ma, L.; McMaster, G.S.; Nielsen, D.C.; Andales, A.A.; Chávez, J.L.; Ham, J. Quantifying Crop Water Stress Factors from Soil Water Measurements in a Limited Irrigation Experiment. Agric. Syst. 2015, 137, 191–205. [Google Scholar] [CrossRef]
- Fu, B.; Chen, L.; Ma, K.; Zhou, H.; Wang, J. The Relationships between Land Use and Soil Conditions in the Hilly Area of the Loess Plateau in Northern Shaanxi, China. Catena 2000, 39, 69–78. [Google Scholar] [CrossRef]
- Aguilar, J.; Rogers, D.; Kisekka, I. Irrigation Scheduling Based on Soil Moisture Sensors and Evapotranspiration. Kans. Agric. Exp. Stn. Res. Rep. 2015, 1. [Google Scholar] [CrossRef]
- Al-Yaari, A.; Wigneron, J.-P.; Ducharne, A.; Kerr, Y.H.; Wagner, W.; De Lannoy, G.; Reichle, R.; Al Bitar, A.; Dorigo, W.; Richaume, P.; et al. Global-Scale Comparison of Passive (SMOS) and Active (ASCAT) Satellite Based Microwave Soil Moisture Retrievals with Soil Moisture Simulations (MERRA-Land). Remote Sens. Environ. 2014, 152, 614–626. [Google Scholar] [CrossRef]
- Rowntree, P.R.; Bolton, J.A. Effects of Soil Moisture Anomalies over Europe in Summer. In Variations in the Global Water Budget; Street-Perrott, A., Beran, M., Ratcliffe, R., Eds.; Springer: Dordrecht, The Netherlands, 1983; pp. 447–462. [Google Scholar] [CrossRef]
- Robock, A.; Vinnikov, K.Y.; Srinivasan, G.; Entin, J.K.; Hollinger, S.E.; Speranskaya, N.A.; Liu, S.; Namkhai, A. The Global Soil Moisture Data Bank. Bull. Am. Meteorol. Soc. 2000, 81, 1281–1300. [Google Scholar] [CrossRef]
- Rodríguez-Fernández, N.J.; Kerr, Y.H.; Van der Schalie, R.; Al-Yaari, A.; Wigneron, J.-P.; De Jeu, R.; Richaume, P.; Dutra, E.; Mialon, A.; Drusch, M. Long Term Global Surface Soil Moisture Fields Using an SMOS-Trained Neural Network Applied to AMSR-E Data. Remote Sens. 2016, 8, 959. [Google Scholar] [CrossRef]
- Glade, T.; Anderson, M.G.; Crozier, M.J. Landslide Hazard and Risk; John Wiley & Sons: Hoboken, NJ, USA, 2006. [Google Scholar]
- Lipiec, J.; Hatano, R. Quantification of Compaction Effects on Soil Physical Properties and Crop Growth. Geoderma 2003, 116, 107–136. [Google Scholar] [CrossRef]
- Sajedi, T.; Prescott, C.E.; Seely, B.; Lavkulich, L.M. Relationships among Soil Moisture, Aeration and Plant Communities in Natural and Harvested Coniferous Forests in Coastal British Columbia, Canada. J. Ecol. 2012, 100, 605–618. [Google Scholar] [CrossRef]
- Souza, A.G.S.S.; Neto, A.R.; Rossato, L.; Alvalá, R.C.S.; Souza, L.L. Use of SMOS L3 Soil Moisture Data: Validation and Drought Assessment for Pernambuco State, Northeast Brazil. Remote Sens. 2018, 10, 1314. [Google Scholar] [CrossRef]
- Dorigo, W.A.; Wagner, W.; Hohensinn, R.; Hahn, S.; Paulik, C.; Xaver, A.; Gruber, A.; Drusch, M.; Mecklenburg, S.; van Oevelen, P.; et al. The International Soil Moisture Network: A Data Hosting Facility for Global in Situ Soil Moisture Measurements. Hydrol. Earth Syst. Sci. 2011, 15, 1675–1698. [Google Scholar] [CrossRef]
- Schmugge, T.J.; Kustas, W.P.; Ritchie, J.C.; Jackson, T.J.; Rango, A. Remote Sensing in Hydrology. Adv. Water Resour. 2002, 25, 1367–1385. [Google Scholar] [CrossRef]
- De Jeu, R.A.M.; Wagner, W.; Holmes, T.R.H.; Dolman, A.J.; van de Giesen, N.C.; Friesen, J. Global Soil Moisture Patterns Observed by Space Borne Microwave Radiometers and Scatterometers. Surv. Geophys. 2008, 29, 399–420. [Google Scholar] [CrossRef]
- Mohanty, B.P.; Cosh, M.H.; Lakshmi, V.; Montzka, C. Soil Moisture Remote Sensing: State-of-the-Science. Vadose Zone J. 2017, 16. [Google Scholar] [CrossRef]
- Kerr, Y.H.; Waldteufel, P.; Wigneron, J.; Delwart, S.; Cabot, F.; Boutin, J.; Escorihuela, M.; Font, J.; Reul, N.; Gruhier, C.; et al. The SMOS Mission: New Tool for Monitoring Key Elements Ofthe Global Water Cycle. Proc. IEEE 2010, 98, 666–687. [Google Scholar] [CrossRef]
- Kerr, Y.H.; Waldteufel, P.; Richaume, P.; Wigneron, J.P.; Ferrazzoli, P.; Mahmoodi, A.; Bitar, A.A.; Cabot, F.; Gruhier, C.; Juglea, S.E.; et al. The SMOS Soil Moisture Retrieval Algorithm. IEEE Trans. Geosci. Remote Sens. 2012, 50, 1384–1403. [Google Scholar] [CrossRef]
- Escorihuela, M.J.; Chanzy, A.; Wigneron, J.P.; Kerr, Y.H. Effective Soil Moisture Sampling Depth of L-Band Radiometry: A Case Study. Remote Sens. Environ. 2010, 114, 995–1001. [Google Scholar] [CrossRef]
- González-Zamora, Á.; Sánchez, N.; Martínez-Fernández, J.; Wagner, W. Root-Zone Plant Available Water Estimation Using the SMOS-Derived Soil Water Index. Adv. Water Resour. 2016, 96, 339–353. [Google Scholar] [CrossRef]
- Kędzior, M.; Zawadzki, J. SMOS Data as a Source of the Agricultural Drought Information: Case Study of the Vistula Catchment, Poland. Geoderma 2017, 306, 167–182. [Google Scholar] [CrossRef]
- Doroszewski, A.; Jadczyszyn, J.; Jerzy, K.; Rafał, P.; Stuczynski, T.; Żyłowska, K.; Lopatka, A.; Koza, P.; Górski, T.; Wróblewska, E. Podstawy Systemu Monitoringu Suszy Rolniczej. Fundamentals of the Agricultural Drought Monitorinf System. Woda Środ Obsz. Wiej. 2012, 12, 77–91. [Google Scholar]
- Usowicz, B.; Marczewski, W.; Usowicz, J.; Łukowski, M.; Lipiec, J. Comparison of Surface Soil Moisture from SMOS Satellite and Ground Measurements. Int. Agrophysics 2014, 28, 359–369. [Google Scholar] [CrossRef]
- Escorihuela, M.J.; Merlin, O.; Stefan, V.; Moyano, G.; Eweys, O.A.; Zribi, M.; Kamara, S.; Benahi, A.S.; Ebbe, M.A.B.; Chihrane, J.; et al. SMOS Based High Resolution Soil Moisture Estimates for Desert Locust Preventive Management. Remote Sens. Appl. Soc. Environ. 2018, 11, 140–150. [Google Scholar] [CrossRef]
- Jackson, T.J.; Bindlish, R.; Cosh, M.H.; Zhao, T.; Starks, P.J.; Bosch, D.D.; Seyfried, M.; Moran, M.S.; Goodrich, D.C.; Kerr, Y.H.; et al. Validation of Soil Moisture and Ocean Salinity (SMOS) Soil Moisture Over Watershed Networks in the U.S. IEEE Trans. Geosci. Remote Sens. 2012, 50, 1530–1543. [Google Scholar] [CrossRef]
- Robertson, G.P. GS+: Geostatistics for the Environmental Sciences; Gamma Design Software: Plainwell, MI, USA, 2008. [Google Scholar]
- Hengl, T. A Practical Guide to Geostatistical Mapping of Environmental Variables; Office for Official Publications of the European Communities: Luxembourg, 2007. [Google Scholar]
- Cambardella, C.A.; Moorman, T.B.; Parkin, T.B.; Karlen, D.L.; Novak, J.M.; Turco, R.F.; Konopka, A.E. Field-Scale Variability of Soil Properties in Central Iowa Soils. Soil Sci. Soc. Am. J. 1994, 58, 1501–1511. [Google Scholar] [CrossRef]
- Burrough, P.A. Fractal Dimensions of Landscapes and Other Environmental Data. Nature 1981, 294, 240–242. [Google Scholar] [CrossRef]
- Klimat w Polsce—Portal Klimat IMGW-PiB. Available online: http://klimat.pogodynka.pl/ (accessed on 17 May 2019).
- Blazejczyk, K. Climate and Bioclimate of Poland. In Natural and Human Environment of Poland. A geographical Overview; Degórski, M., Ed.; Polish Academy of Sciences, Inst. of Geography and Spatial Organization Polish Geographical Society: Warsaw, Poland, 2006; pp. 31–48. [Google Scholar]
- Hengl, T.; de Jesus, J.M.; Heuvelink, G.B.M.; Gonzalez, M.R.; Kilibarda, M.; Blagotić, A.; Shangguan, W.; Wright, M.N.; Geng, X.; Bauer-Marschallinger, B.; et al. SoilGrids250m: Global Gridded Soil Information Based on Machine Learning. PLoS ONE 2017, 12, e0169748. [Google Scholar] [CrossRef]
- Usowicz, Ł.B.; Usowicz, B. Spatial Variability of Soil Particle Size Distribution in Poland. In Proceedings of the 17th World Congress of Soil Science, Bangkok, Thailand, 14–21 August 2002; Volume Proceedings CD, Symposium No. 48, Paper No. 274. pp. 1–10. [Google Scholar]
- Walczak, R.; Ostrowski, J.; Witkowska-Walczak, B.; Slawinski, C. Hydrophysical characteristics of Polish arable mineral soils (in Polish). Acta Agrophys. 2002, 79, 1–64. [Google Scholar]
- Bieganowski, A.; Witkowska-Walczak, B.; Gliñski, J.; Sokołowska, Z.; Sławiński, C.; Brzezińska, M.; Włodarczyk, T. Database of Polish Arable Mineral Soils: A Review. Int. Agrophys. 2013, 27, 335–350. [Google Scholar] [CrossRef]
- Łabędzki, L.; Kanecka-Geszke, E.; Bak, B.; Slowinska, S. Estimation of Reference Evapotranspiration Using the FAO Penman-Monteith Method for Climatic Conditions of Poland. In Evapotranspiration; IntechOpen: London, UK, 2011; pp. 275–294. [Google Scholar]
- Evans, R.G.; Sadler, E.J. Methods and Technologies to Improve Efficiency of Water Use. Water Resour. Res. 2008, 44. [Google Scholar] [CrossRef]
- Schjønning, P.; Heckrath, G.; Christensen, B.T. Threats to Soil Quality in Denmark—A Review of Existing Knowledge in the Context of the EU Soil Thematic Strategy; Report; Aarhus University, Faculty of Agricultural Sciences, Research Centre Foulum: Tjele, Denmark, 2009; pp. 1–121. [Google Scholar]
- Vignjevic, M.; Wang, X.; Olesen, J.E.; Wollenweber, B. Traits in Spring Wheat Cultivars Associated with Yield Loss Caused by a Heat Stress Episode after Anthesis. J. Agron. Crop Sci. 2015, 201, 32–48. [Google Scholar] [CrossRef]
- Bolinder, M.A.; Andrén, O.; Kätterer, T.; Parent, L.-E. Soil Organic Carbon Sequestration Potential for Canadian Agricultural Ecoregions Calculated Using the Introductory Carbon Balance Model. Can. J. Soil Sci. 2008, 88, 451–460. [Google Scholar] [CrossRef]
- Pablos, M.; Piles, M.; Sánchez, N.; Vall-llossera, M.; Martínez-Fernández, J.; Camps, A. Impact of Day/Night Time Land Surface Temperature in Soil Moisture Disaggregation Algorithms. Eur. J. Remote Sens. 2016, 49, 899–916. [Google Scholar] [CrossRef]
- Piles, M.; Petropoulos, G.P.; Sánchez, N.; González-Zamora, Á.; Ireland, G. Towards Improved Spatio-Temporal Resolution Soil Moisture Retrievals from the Synergy of SMOS and MSG SEVIRI Spaceborne Observations. Remote Sens. Environ. 2016, 180, 403–417. [Google Scholar] [CrossRef]
- Das, N.N.; Entekhabi, D.; Dunbar, R.S.; Njoku, E.G.; Yueh, S.H. Uncertainty Estimates in the SMAP Combined Active–Passive Downscaled Brightness Temperature. IEEE Trans. Geosci. Remote Sens. 2016, 54, 640–650. [Google Scholar] [CrossRef]
- Mamedov, A.; Ekberli, I.; Gülser, C.; Gümüş, I.; Çetin, U.; Levy, G.J.G. Relationship between Soil Water Retention Model Parameters and Structure Stability. Eurasian J. Soil Sci. 2016, 5, 314–321. [Google Scholar] [CrossRef][Green Version]
- Mallants, D.; Vanclooster, M.; Meddahi, M.; Feyen, J. Estimating Solute Transport in Undisturbed Soil Columns Using Time-Domain Reflectometry. J. Contam. Hydrol. 1994, 17, 91–109. [Google Scholar] [CrossRef]
- Zhang, Y.; Zhang, Z.; Ma, Z.; Chen, J.; Akbar, J.; Zhang, S.; Che, C.; Zhang, M.; Cerdà, A. A Review of Preferential Water Flow in Soil Science. Can. J. Soil Sci. 2018, 98, 604–618. [Google Scholar] [CrossRef]
- Eden, M.; Schjønning, P.; Moldrup, P.; Jonge, L.W.D. Compaction and Rotovation Effects on Soil Pore Characteristics of a Loamy Sand Soil with Contrasting Organic Matter Content. Soil Use Manag. 2011, 27, 340–349. [Google Scholar] [CrossRef]








| Years | 2010 | 2011 | 2012 | 2013 | 2014 | All Years |
|---|---|---|---|---|---|---|
| Average | 0.171 | 0.147 | 0.128 | 0.155 | 0.151 | 0.151 |
| STDev | 0.051 | 0.049 | 0.041 | 0.047 | 0.040 | 0.048 |
| CV (%) | 29.6 | 33.3 | 31.9 | 30.5 | 26.6 | 31.8 |
| Skewness | 0.546 | 0.567 | 0.354 | 0.201 | 0.303 | 0.470 |
| Kurtosis | 1.766 | 1.086 | 0.459 | 1.792 | 0.679 | 1.343 |
| Minimal | 0.0 | 0.0 | 0.0 | 0.0 | 0.0 | 0.0 |
| Maximal | 0.504 | 0.430 | 0.313 | 0.471 | 0.343 | 0.504 |
| Year | Quarter | Model | C0 | C0+C | C0/(C0+C) | A0 | A | R2 | RSS | Azimuth | Anis:min |
|---|---|---|---|---|---|---|---|---|---|---|---|
| 2010 | I | Exp. | 0.000010 | 0.00335 | 0.003 | 0.333 | 0.999 | 0.987 | 1.66 × 10−7 | 105 | 0.00314 |
| II | Exp. | 0.000001 | 0.00176 | 0.001 | 0.539 | 1.617 | 0.995 | 2.49 × 10−8 | 58 | 0.00147 | |
| III | Exp. | 0.000029 | 0.00168 | 0.017 | 0.514 | 1.542 | 0.989 | 5.12 × 10−8 | 66 | 0.00137 | |
| IV | Exp. | 0.000129 | 0.00205 | 0.063 | 0.627 | 1.881 | 0.994 | 3.79 × 10−8 | 116 | 0.00189 | |
| 2011 | I | Exp. | 0.000976 | 0.00327 | 0.298 | 0.911 | 2.733 | 0.985 | 1.51 × 10−7 | 97 | 0.00253 |
| II | Exp. | 0.000068 | 0.00114 | 0.060 | 0.576 | 1.728 | 0.989 | 2.10 × 10−8 | 124 | 0.00106 | |
| III | Exp. | 0.000002 | 0.00131 | 0.002 | 0.568 | 1.704 | 0.990 | 3.10 × 10−8 | 41 | 0.00124 | |
| IV | Exp. | 0.000134 | 0.00119 | 0.113 | 0.798 | 2.394 | 0.972 | 5.73 × 10−8 | 58 | 0.00118 | |
| 2012 | I | Exp. | 0.000777 | 0.00371 | 0.209 | 0.678 | 2.034 | 0.985 | 2.29 × 10−7 | 58 | 0.00343 |
| II | Exp. | 0.000114 | 0.00108 | 0.106 | 0.542 | 1.626 | 0.984 | 2.46 × 10−8 | 154 | 0.00099 | |
| III | Exp. | 0.000912 | 0.00142 | 0.644 | 0.910 | 2.731 | 0.941 | 3.92 × 10−8 | 0 | 0.00126 | |
| IV | Exp. | 0.000924 | 0.00135 | 0.683 | 1.284 | 3.853 | 0.985 | 8.77 × 10−9 | 170 | 0.00111 | |
| 2013 | I | Exp. | 0.000473 | 0.00290 | 0.163 | 0.603 | 1.809 | 0.978 | 2.25 × 10−7 | 131 | 0.00265 |
| II | Exp. | 0.000001 | 0.00222 | 0.000 | 0.700 | 2.100 | 0.993 | 6.34 × 10−8 | 146 | 0.00207 | |
| III | Exp. | 0.000565 | 0.00091 | 0.621 | 0.622 | 1.867 | 0.912 | 1.96 × 10−8 | 1 | 0.00066 | |
| IV | Exp. | 0.000878 | 0.00154 | 0.569 | 1.361 | 4.083 | 0.997 | 2.67 × 10−9 | 172 | 0.00118 | |
| 2014 | I | Exp. | 0.000001 | 0.00127 | 0.001 | 0.497 | 1.491 | 0.982 | 4.50 × 10−8 | 86 | 0.00123 |
| II | Exp. | 0.000001 | 0.00095 | 0.001 | 0.531 | 1.593 | 0.991 | 1.26 × 10−8 | 145 | 0.00083 | |
| III | Exp. | 0.000780 | 0.00120 | 0.652 | 0.848 | 2.543 | 0.988 | 5.93 × 10−9 | 65 | 0.00113 | |
| IV | Exp. | 0.000916 | 0.00184 | 0.503 | 0.575 | 1.725 | 0.977 | 5.60 × 10−8 | 145 | 0.00182 |
© 2019 by the authors. Licensee MDPI, Basel, Switzerland. This article is an open access article distributed under the terms and conditions of the Creative Commons Attribution (CC BY) license (http://creativecommons.org/licenses/by/4.0/).
Share and Cite
Usowicz, B.; Lipiec, J.; Lukowski, M. Evaluation of Soil Moisture Variability in Poland from SMOS Satellite Observations. Remote Sens. 2019, 11, 1280. https://doi.org/10.3390/rs11111280
Usowicz B, Lipiec J, Lukowski M. Evaluation of Soil Moisture Variability in Poland from SMOS Satellite Observations. Remote Sensing. 2019; 11(11):1280. https://doi.org/10.3390/rs11111280
Chicago/Turabian StyleUsowicz, Bogusław, Jerzy Lipiec, and Mateusz Lukowski. 2019. "Evaluation of Soil Moisture Variability in Poland from SMOS Satellite Observations" Remote Sensing 11, no. 11: 1280. https://doi.org/10.3390/rs11111280
APA StyleUsowicz, B., Lipiec, J., & Lukowski, M. (2019). Evaluation of Soil Moisture Variability in Poland from SMOS Satellite Observations. Remote Sensing, 11(11), 1280. https://doi.org/10.3390/rs11111280

