Next Article in Journal
Climate-Induced Vegetation Stress Detected Through Remote Sensing of Hydroclimatic Indicators
Previous Article in Journal
Decent Work as a Core Dimension of Social Sustainability in Tourism
 
 
Font Type:
Arial Georgia Verdana
Font Size:
Aa Aa Aa
Line Spacing:
Column Width:
Background:
Article

Short-Term Photovoltaic Power Forecasting Based on EEMD Residual Secondary IWOA-VMD Decomposition and ISSA-Optimized BiGRU

1
College of Electrical and Information Engineering, Northeast Agricultural University, Harbin 150030, China
2
School of Electrical and Information Engineering, Jilin Agricultural Science and Technology College, Jilin 132101, China
*
Authors to whom correspondence should be addressed.
Sustainability 2026, 18(5), 2234; https://doi.org/10.3390/su18052234
Submission received: 14 January 2026 / Revised: 14 February 2026 / Accepted: 24 February 2026 / Published: 25 February 2026

Abstract

With the global energy structure transitioning toward low-carbon and sustainable development, improving the stability and predictability of renewable energy generation has become a key challenge for achieving carbon neutrality goals. However, photovoltaic power output exhibits significant variability and uncertainty, and accurate power forecasting is of great significance for optimizing grid dispatch, improving renewable energy integration capacity, and reducing system reserve requirements. Therefore, this paper proposes a multi-stage prediction model that integrates Ensemble Empirical Mode Decomposition (EEMD), Improved Whale Optimization Algorithm-based Variational Mode Decomposition (IWOA-VMD), and an Improved Sparrow Search Algorithm (ISSA)-optimized Bidirectional Gated Recurrent Unit (BiGRU) network. Specifically, EEMD is first used to decompose the photovoltaic power sequence to extract Intrinsic Mode Functions (IMFs); then, the residual IMF is further decomposed using IWOA-optimized VMD to enhance low-frequency modeling capability; next, ISSA adaptively optimizes the hidden layer dimensions and learning rate of the BiGRU; Finally, each component is predicted individually, and the overall power sequence is reconstructed. Experimental results based on publicly available real photovoltaic data demonstrate that the proposed model outperforms BiGRU and several hybrid models in terms of MAE and RMSE. The research findings contribute to improving the accuracy of photovoltaic power forecasting, thereby providing technical support for the low-carbon transition and sustainable development of energy systems.

1. Introduction

With the continuous intensification of the global energy crisis, green and low-carbon development has become a common focus of attention among countries. Under the dual pressure of economy and environment, the transformation of the energy structure has become imminent [1]. Among various renewable energy sources, solar energy has become one of the core directions of energy transition due to its wide distribution, environmental friendliness, and great development potential. As a key technology for solar energy utilization, photovoltaic power generation has made significant progress in recent years. According to statistics from the International Renewable Energy Agency (IRENA), by 2050, renewable energy will account for two-thirds of the global electricity supply [2]. However, in photovoltaic power prediction, data feature characterization is crucial and is significantly affected by solar irradiance, seasons, and weather conditions. Its uncertainty poses a major challenge to the stable operation of the power grid and electricity dispatching. Therefore, the accuracy of photovoltaic power prediction is crucial to mitigating grid voltage fluctuations and achieving stable and economical scheduling of the power system [3]. Numerous innovative models have been proposed for photovoltaic power prediction, which can be mainly categorized into physical modeling methods, statistical analysis methods, and artificial intelligence methods. Physical modeling is a typical mechanism-based forecasting method. This method builds a photovoltaic conversion model based on the physical characteristics of the PV system and environmental parameters to simulate power output. Its principle is to calculate the irradiance on the inclined surface of PV modules using radiative transfer or coordinate geometry algorithms, corrected by atmospheric adjustment factors; Then, the single/double diode equivalent circuit model is used to derive the current-voltage (I–V) characteristics and determine the maximum power point under different irradiance and temperature conditions. Reference [4] used coordinate analysis to calculate hourly irradiance on the PV panel surface. The equivalent circuit model was used to compute the current-voltage characteristics of PV panels. Finally, an improved maximum power point tracking algorithm was used to adjust the output voltage of the PV panel to obtain PV power [4]. Such methods offer explicit physical interpretability. However, the accuracy of such models heavily depends on the precise acquisition of PV module and system parameters, which are often difficult to obtain in real-world operations. Statistical methods predict power output using historical power data and related meteorological time-series features, employing classic models such as ARIMA and exponential smoothing. These models have simple structures; the classical ARIMA model predicts future power through autoregressive and moving average processes based on historical data. Reference [5] introduced exogenous meteorological variables such as temperature, precipitation, sunshine duration, and humidity into the ARIMA model, significantly improving prediction accuracy and validating the critical role of weather information [5]. However, statistical models are essentially linear and have limited ability to handle complex nonlinear relationships and multi-scale fluctuations in PV power signals. Their main drawback lies in complete dependence on historical data, making it difficult to fully account for the influence of meteorological variables on PV generation, thus limiting prediction accuracy and failing to capture complex weather effects and equipment dynamics.
With the accumulation of big data resources and the continuous improvement of computing power, artificial intelligence methods have gradually become a core research direction and development hotspot in photovoltaic power prediction due to their advantages in nonlinear modeling and deep feature extraction. In the field of time series modeling, neural network models have been widely used, especially deep neural networks (DNNs) and their sequence-processing variants—recurrent neural networks (RNNs) and their derivatives such as long short-term memory (LSTM), gated recurrent units (GRU), and bidirectional gated recurrent units (BiGRU)—due to their excellent temporal feature extraction capabilities. Since the raw photovoltaic power signal exhibits high non-stationarity, nonlinearity, and multi-scale characteristics, single models often face issues such as low prediction accuracy and insufficient training stability when dealing with complex fluctuating signals. Thus, recent research increasingly favors multi-model fusion architectures to improve prediction performance [6]. Reference [7] compared the prediction errors of different single models and selected BiGRU and extreme gradient boosting (XGBoost), which had the lowest error and least correlation, to propose a short-term hybrid forecasting model named GSK-BiGRU-XGBoost [7], which significantly improved prediction accuracy and robustness compared to single models. Reference [8] constructed an ensemble model combining XGBoost LightGBM and LSTM using a Stacking framework to predict PV power [8]. Reference [9] proposed a data fusion-based Transformer generation model, LSTformer, which introduced the Time Series Analysis (TSA) module, Time Series Feature Fusion (TSFF) module, and the cycleEmbed module [9]. It addresses the difficulty of extracting multiple time series features through data fusion, and the designed Temporal Convolutional Feedforward (TCNforward) unit further extracts temporal features during the encoding and decoding processes, effectively improving short-term PV power prediction accuracy. In Reference [10], a two-stage deep learning framework was used for accurate solar PV power prediction, and this framework [10] combined long short-term memory (LSTM) and convolutional neural network (CNN) architectures. The key function of the CNN layer is to recognize weather conditions, while the LSTM layer learns solar power generation patterns. Reference [11] proposed a model based on recent clear-sky day decomposition and Temporal Convolutional Networks (TCN), using TCN to integrate the feature extraction capabilities of Convolutional Neural Networks (CNNs) with the modeling abilities of Recurrent Neural Networks (RNNs) and Long Short-Term Memory (LSTMs) [11]. Reference [12], in order to mitigate the impact of data fluctuations on prediction accuracy, employed the Random Forest method for feature selection [12], followed by comparison after dataset optimization, which effectively improved the prediction accuracy. In summary, current studies have continuously explored multi-model fusion, deep learning framework innovation, and feature optimization methods, effectively enhancing the accuracy and stability of photovoltaic power prediction, laying a solid foundation for future model construction and optimization. However, these methods still face many challenges. For instance, under severe fluctuations or abrupt weather changes, although BiGRU can capture bidirectional temporal dependencies, its gated structure is relatively complex, which easily leads to an increased number of parameters, thus causing overfitting or prediction deviation under small sample conditions. Meanwhile, although BiGRU outperforms standard recurrent networks in capturing long-term dependencies, it still struggles to effectively alleviate the gradient vanishing problem, resulting in insufficient modeling of long-range dependencies. In addition, the deep network structure itself incurs high computational cost, and sample features may contain redundancy or insufficient information. These issues limit the practical application of models in real-world deployment.
Although the continuous optimization of multi-model fusion strategies and deep learning frameworks has improved the accuracy and robustness of PV power prediction to some extent, existing methods still face challenges in dealing with the non-stationarity, nonlinearity, and multi-scale fluctuation characteristics commonly found in raw power sequences, and current methods still have limitations in capturing deeper temporal patterns. How to address this challenge more effectively remains a key issue to be addressed. Against this background, signal decomposition techniques have been introduced into PV power forecasting research, by decomposing the original power sequence into several intrinsic mode functions (IMFs) with distinct frequency characteristics, each IMF is modeled separately, and the prediction results are then aggregated to reconstruct the final forecasting output. For example, reference [13] proposed the EEMD-LSTM-BP model to address the issue of poor predictability of high-frequency data, effectively capturing complex fluctuation features [13]. Reference [14] further combined multidimensional similar-day clustering with a dual decomposition strategy, and constructed an improved XGBoost–Kernel Extreme Learning Machine model for short-term PV forecasting, and proposed a dual-signal decomposition model based on Variational Mode Decomposition and Complete Ensemble Empirical Mode Decomposition with Adaptive Noise (CEEMDAN) [14]. Literature has shown that single decomposition methods still exhibit limitations when handling complex residual signals, which may lead to the loss of important information. Thus, the residual two-stage decomposition strategy was introduced, which further models the high-frequency noise or residuals remaining after the initial decomposition. Among them, Variational Mode Decomposition (VMD), a signal decomposition technique with a solid mathematical foundation, has advantages such as strong noise resistance and minimal boundary effects [15], making it suitable for further analysis of residual signals. However, key parameters in VMD, such as the number of modes (K) and the penalty factor (α), have a significant impact on decomposition performance, and traditional empirical settings are often insufficient to obtain optimal values, which brings new challenges and opportunities for further optimization.
In photovoltaic power forecasting, the performance of deep learning models often depends on the setting of numerous hyperparameters, such as the number of hidden layer units, learning rate, and time steps. These parameters are usually determined through empirical methods or grid search, which suffers from high computational cost, low search efficiency, and unstable results. To overcome these limitations, heuristic optimization algorithms are introduced to adaptively optimize deep learning models and decomposition parameters. Reference [16] proposed an intelligent photovoltaic power forecasting model based on Extreme Learning Machine (ELM) and Adaptive Spiral Dingo Optimization (ASDBO) algorithm [16], which achieved improved accuracy under nonlinear scenarios. Reference [17] indicates that residual components obtained from the first-stage decomposition usually contain high-frequency trends and stochastic residuals, which are critical factors affecting forecasting accuracy. Therefore, variational mode decomposition (VMD) is applied to the residual component for secondary decomposition to further alleviate mode mixing while balancing forecasting performance and model complexity. In contrast, high-frequency intrinsic mode functions (IMFs) exhibit relatively clear time scales after the first decomposition, and further decomposition provides limited benefits while increasing the risk of overfitting. Subsequently, the crested porcupine optimizer (CPO) algorithm is employed to optimize key parameters of the bidirectional long short-term memory (BiLSTM) model, thereby enhancing overall forecasting performance [17]. Reference [18] proposed a PV power prediction method based on an improved Avalanche Optimization algorithm (Good Point and Vibration Strategy Avalanche Optimizer, GVSAO) and Bi-directional LSTM network (Bi-LSTM) [18], which optimizes key Bi-LSTM structural parameters based on the good point and vibration strategies, such as feature dimensions per time step and the number of hidden units in each LSTM layer. It can be seen that heuristic optimization algorithms play an important role in tuning deep learning parameters by efficiently searching for the optimal parameter combinations, which helps significantly improve model forecasting performance and stability.
To address the limitations in existing studies and improve the accuracy of photovoltaic power forecasting, the proposed model introduces optimization mechanisms into signal decomposition and prediction modeling, respectively, thereby constructing a dual-layer collaborative optimization framework. Specifically, after preprocessing the raw data to handle missing values and performing similar-day clustering based on the Pearson correlation coefficient and K-means, although CEEMDAN and ICEEMDAN can further alleviate the mode mixing problem of EEMD to a certain extent, they are usually accompanied by higher computational costs. Therefore, EEMD is employed to perform an initial decomposition of the photovoltaic power series. Experimental analysis indicates that the residual signal retained after the first decomposition commonly contains low-frequency trend components and complex disturbance structures. If these intrinsic characteristics are ignored, forecasting errors are likely to accumulate in subsequent stages. Therefore, the residual is not simply treated as noise; instead, an IWOA-optimized VMD is introduced based on the initial EEMD decomposition to conduct secondary decomposition of the residual. In this process, IWOA is used to adaptively optimize the hyperparameters of VMD, including the number of decomposition modes K and the penalty factor. In the forecasting stage, ISSA is further applied to independently optimize the parameters of the BiGRU network. These parameters include the learning rate and the number of hidden units. Finally, the forecasting results are obtained by aggregating the outputs of all sub-models. The contributions of this paper are summarized as follows:
(1)
To address the issues of noise residuals and mode mixing in traditional decomposition models, a cascaded decomposition framework based on EEMD and VMD is constructed. By performing secondary decomposition on the low-frequency components remaining after EEMD, the correlation between noise residuals and the decomposed data is further reduced. This effectively compensates for the shortcomings of a single decomposition method when dealing with complex non-stationary signals. Since the performance of VMD is affected by the number of modes K and the penalty factor α, an improved IWOA is used to optimize VMD by selecting the appropriate K and α.
(2)
To address the tendency of traditional PV forecasting models to overfit and fall into local optima, a strategy is proposed using the Improved Sparrow Search Algorithm to intelligently optimize BiGRU hyperparameters. This method can search for and optimize key structural parameters of the BiGRU, improving its prediction accuracy in feature learning and temporal modeling, thereby avoiding overfitting.

2. Materials and Methods

2.1. Missing Value Processing

In photovoltaic power forecasting tasks, the original observation data often contain missing values due to factors such as sensor failure, communication errors, or weather influences. If not addressed, these missing values will significantly affect the training performance and accuracy of forecasting models. This paper adopts the Cubic Spline Interpolation (CSI) method to smoothly fill in the missing data [19]. To avoid the numerical instability caused by high-order interpolation, CSI performs local modeling within each subinterval, effectively balancing fitting accuracy and interpolation stability. Therefore, it preserves the trend characteristics of the original data while generating smooth and reasonable fitting curves at the missing positions. In this study, all PV power data and associated features with missing values are filled using the CSI method to ensure the integrity and continuity of the data used for subsequent model training.
Suppose there are N + 1 data points (xi, yi), where i = 0, 1, 2,…, N, satisfying the following conditions.
x 0 x 1 x N
In this study, a spline function S(xi) is constructed such that:
S ( x i ) = y i , i = 0,1 , 2 , , N
On each spline interval [xi, xi+1], the spline function is defined as a cubic polynomial:
S i ( x ) = a i + b i ( x x i ) + c i ( x x i ) 2 + d i ( x x i ) 3 , x [ x i , x i + 1 ]
The coefficients ai, bi, ci, and di of the cubic polynomial are used to ensure the smoothness of the generated data. The function S(xi) must be continuous everywhere.

2.2. Influencing Factors of Photovoltaic Power Generation

The factors influencing photovoltaic power are generally divided into intrinsic and extrinsic factors. Intrinsic factors mainly include design differences of the power station, conversion efficiency of PV modules, and variations in inverters; Extrinsic factors mainly consist of meteorological variables such as irradiance, temperature, humidity, pressure, and wind speed. To quantify the correlation between meteorological factors and PV power output, this paper uses the Pearson correlation coefficient to measure the linear correlation between each meteorological factor and photovoltaic power [20].
r = i = 1 n ( x i x ¯ ) ( ( y i y ¯ ) i = 1 n x i x ¯ 2 i = 1 n y i y ¯ 2 1 / 2
where x and y are meteorological factors and photovoltaic power, respectively; where x and y are the mean values of x and y; where r is the Pearson correlation coefficient, ranging from −1 to 1, a positive or negative value indicates positive or negative correlation, respectively; A higher value of r indicates a stronger correlation between the variables.

2.3. K-Means Similar-Day Clustering

To achieve automatic classification of daily solar irradiance and meteorological conditions during the operation of photovoltaic power stations, this study applies the K-Means method to cluster daily irradiance and meteorological features. K-Means clustering is a classical unsupervised machine learning algorithm, which is applied in fields such as pattern recognition, data mining, and time series clustering. Its core idea is to divide the data into K mutually exclusive subsets, such that similarity among samples within a cluster is maximized, and similarity between clusters is minimized. The optimization objective of K-Means is to minimize the sum of squared Euclidean distances between each sample and its assigned cluster center [21].
J = i = 1 K   x j C i   x j μ i 2
where K is the number of clusters, xj is the input sample, μi is the centroid of cluster i, and Ci is the set of all data points assigned to cluster i.

2.4. Ensemble Empirical Mode Decomposition

The EEMD technique breaks down time series data into a limited set of intrinsic mode functions (IMFs) and a residual component. It is particularly effective for extracting meaningful patterns from complex and nonlinear time series data. Moreover, it has been shown to enhance the accuracy and computational efficiency of time-series forecasting models. In EEMD, Gaussian white noise is introduced during decomposition, which helps alleviate local mode mixing problems that often occur in empirical decompositions. The method is data-driven, adaptive, and intuitively interpretable.
The Ensemble Empirical Mode Decomposition (EEMD) algorithm process can be described using the following steps [22]:
  i.
Input the original signal x0(t).
 ii.
Consider the white noise εi(t) and the number of realizations I, and initialize the realization index as i = 1.
iii.
Generate white noise εi(t) and reconstruct the signal using Equation (5).
x i t = x 0 t + ε i t
iv.
Decompose xi(t) via EMD into n IMF components cj,i(t) (j = 1, 2,…, n) and a residual ri(t).
 v.
If the maximum number of realizations is reached, go to Step 6; otherwise, set i = i + 1 and return to Step 3.
vi.
Compute the final IMFs using Equation (6).
c j t = 1 I i = 1 I c j , i t
The original signal x0(t) can be decomposed into n IMFs and a residual. and the residual can be computed using Equation (7):
x 0 t = j = 1 n c j t + r t

2.5. IWOA-VMD

For VMD decomposition, the accuracy of the decomposition largely depends on the number of selected modes. If the value of k is too low, under-decomposition may occur, while an excessively large k may introduce redundant noise, compromising the decomposition quality. To overcome this limitation, the parameter selection approach proposed in is employed to determine optimal VMD settings [23].
WOA also suffers from the imbalance between global search and local search when solving optimization problems. When primarily engaged in global exploration, WOA may prematurely converge to local optima. A linearly varying control parameter limits WOA’s ability to adaptively adjust its search intensity. To address this issue, we introduce a nonlinear adaptation strategy, where the control factor a in WOA is linearly decreased over iterations, and the improved WOA (IWOA) boosts early-stage exploration through greater solution diversity, applying an adaptive strategy that helps the algorithm escape local minima more effectively, The mathematical formula for its simulation is as follows (Equation (8)).
a = 2 2 sin μ 2 t M a x I t e r π + ϕ
where μ = 0.5 is the parameter controlling the oscillation frequency, and ϕ = 0 is the initial phase.
The WOA often tends to fall into local optima during the early search stage, leading to suboptimal search results and occasional premature convergence. To improve the practical effectiveness of WOA so that the algorithm can obtain better results with faster computation, this paper adopts an adaptive weight strategy, as shown in Equation (9).
ω = 1 e x p t M a x I t e r 1 e x p ( 1 ) 1
where t is the current iteration number, and ω ∈ 0, 1 is the adaptive scaling factor.
In the improved WOA, the whale position update is no longer fixed, but instead combines spiral search with random whale information plus the best whale information, and is finally updated according to Equation (10).
X t + 1 = ω X r a n d t A D D e b l cos 2 π l + ω X b e s t t
where Xrand is the position of a randomly selected individual, Xbest is the current global best individual, D and D′ are the distances between the whale and the target/random whale; b and l are the spiral search parameters and ω is the adaptive scaling factor.

Definition of the IWOA Fitness Function

The fitness function of IWOA is defined as the mean squared error (MSE) between the original residual signal and its VMD-reconstructed signal. By minimizing the MSE between the original residual signal and the VMD-reconstructed signal, IWOA can adaptively determine the optimal parameter combination (K, α). This enables a more accurate and stable decomposition of the residual signal. The mathematical expression is given as follows:
F I W O A ( K , α ) = 1 N t = 1 N   x ( t ) x ^ ( t ) 2
where K is the number of VMD modes and K ∈ [3, 8]. where α is the penalty factor of VMD and α ∈ [100, 2000]. where N is the sample length of the residual signal. where x ( t ) is the original residual signal. where x ^ ( t ) is the signal reconstructed from VMD modes.

2.6. Improved Sparrow Search Algorithm

2.6.1. Opposition-Based Learning Strategy

In the standard SSA framework, the initial population is randomly generated, which usually leads to an unevenly distributed population, resulting in limited population diversity and reduced overall population quality, which ultimately slows down the convergence speed of the algorithm. To address this issue, the improved ISSA in this study incorporates an opposition-based learning (OBL) strategy. The OBL mechanism [24] substitutes random initialization with an opposition-based search strategy. The core concept behind applying OBL to population generation is that first, a random initial population is generated, followed by constructing an opposite population corresponding to the initial one, and the superior individuals are selected to form the next-generation population. The OBL strategy tends to select individuals located closer to the potential optimal region as the initial population, allowing each individual to start closer to the optimal solution, thereby accelerating the convergence of the entire population. Moreover, OBL enhances population diversity by enabling exploration across a wider and more effective search space, thus improving the global exploration capability of the algorithm.
The initial population Xi = [xi1, …, xid] is randomly generated, where i = 1, 2,…, N and its corresponding opposite population X i * = [ X i 1 * , …, X i d * ] is defined by Equation (12):
X i * = r a n d · l b + μ b X i
where μ b is the upper bound of the search space, lb is the lower bound of the search space and rand is a random number in [0, 1].
After merging the original and opposite populations into a new combined population, the fitness values of all individuals in the new population are evaluated, and the individuals are sorted in ascending order based on fitness, after which the top N best-performing individuals are chosen as the initial population for the sparrow search.

2.6.2. Dynamic Step-Size Adjustment Strategy

In the original SSA, both step-size control parameters β and K are randomly generated, which limits the algorithm’s ability to thoroughly explore the entire search space, potentially leading to premature convergence and local optima. Hence, optimization of the step-size parameters β and K is introduced, where larger parameter values facilitate global exploration, whereas smaller values enhance local exploitation capability. The improved formulations of the step-size parameters β and K are presented in Equations (13) and (14).
β = f i t n e s s b e s t ( f i t n e s s b e s t ( f i t n e s s w o r s t ) T t T 1.5
K = ( f i t n e s s b e s t ( f i t n e s s w o r s t ) e x p ( 20 t a n t T 2 ) ( 2 r a n d 1 )
where fitnessbest is the best fitness value, fitnessworst is the worst fitness value; T is the maximum number of iterations.
As indicated by Equation (13), the improved step-size control parameter increases nonlinearly, because the population maintains high diversity during the early iterations of SSA, indicating strong global exploration ability but relatively weak local exploitation capability. Therefore, the control parameter is initially set to a relatively small value to reinforce local exploitation. In later iterations, once all sparrows are drawn toward the current global optimum, and the remaining search space becomes insufficient, the algorithm may converge prematurely, the control parameter is increased to prevent entrapment in local optima and to encourage further exploration. According to Equation (14), the step-size factor K increases during the early iterations and then decays rapidly in later stages, which enables SSA to conduct sufficient exploration in the early search phase, while accelerating convergence in the later phase. Dynamically adjusting the step-size parameter helps balance global exploration and local exploitation in SSA, thereby improving optimization accuracy and reducing the likelihood of falling into local optima.

2.6.3. Lévy Flight Strategy

Levy flight [25] represents a non-Gaussian random walk process, characterized by step lengths that follow a heavy-tailed probability distribution, exhibiting long periods of short random movements punctuated by occasional long-distance jumps [26]. The standard SSA tends to become trapped in local optima, preventing it from achieving the global optimum [27]. During the optimization process, Levy flight enables both short-range local exploration as well as long-range global exploration. Thus, when the search moves near the optimal region, Levy flight strengthens the local search capability, effectively alleviating the tendency of standard SSA to get trapped in local optima. In this study, the Lévy flight strategy is incorporated, and the improved SSA updates positions based on the distance between the current position and the global best sparrow position, which significantly reduces the risk of being trapped in local optima while still enabling effective local exploration. and the improved update formulation is given in Equation (15):
X i , j ι + 1 = L e v y d X b e s t ι + β X i , j ι L e v y d X b e s t ι , f i > f g X b e s t ι + K X i , j ι X w o r s t ι | f i f w | + ε , f i = f g
where d is the dimensionality of the search space. The expressions for the Levy flight are given in Equations (16) and (17):
L e v y d = 0.01 r 1 σ r 2 1 / β
σ = Γ 1 + θ sin π θ / 2 Γ 1 + λ / 2 θ 2 ( θ 1 ) / 2 1 / θ
where Γ is the gamma function, θ is a constant, r1 and r2 are random numbers in [0, 1].

2.6.4. Definition of the ISSA Fitness Function

After incorporating the reverse learning strategy, the dynamic step-size adjustment strategy, and the Lévy flight strategy, the ISSA is used to adaptively optimize the key hyperparameters of the BiGRU network. To evaluate the prediction performance of the model under different hyperparameter combinations, the fitness function of ISSA is defined as the minimum mean squared error of the validation set during the training stage, and its mathematical expression is given as follows:
F I S S A H , η = m i n e = 1 , , E q   1 N v a l i = 1 N v a l   y ^ i e y i 2
where H is the number of hidden units in the BiGRU network, with H ∈ [15, 256]. where η is the learning rate of the BiGRU network, with η ∈ [0.001, 0.002]. where N v a l is the total number of samples in the validation set. where y i is the true value of the i-th sample in the validation set. where y ^ i e is the predicted output of the BiGRU model for the i-th validation sample after the e-th training epoch. By minimizing the validation prediction error during the training stage, ISSA can effectively select superior BiGRU hyperparameter combinations, thereby improving the overall performance and stability of the prediction model while maintaining computational efficiency.

2.7. BiGRU Model

The Bidirectional Gated Recurrent Unit (BiGRU) model employed in this study combines the strengths of Bidirectional Recurrent Neural Networks (BiRNN) and Gated Recurrent Units (GRU) in its architecture. It constructs a deep learning architecture capable of modeling both past and future temporal dependencies. As illustrated in Figure 1, BiGRU consists of two parallel GRU layers that independently capture forward and backward sequence information. Input sequences are simultaneously passed into both the forward and backward GRU layers, allowing the model to leverage both historical and future context at every time step. The hidden states from both directions are then merged via a fully connected layer to generate the final prediction.
In photovoltaic power forecasting tasks, BiGRU shows significant advantages. Since photovoltaic generation is affected by multiple factors, its output power exhibits pronounced nonlinearity and temporal dependency. By employing bidirectional modeling, BiGRU can more comprehensively learn the trends in historical power variation and the potential future-related features. Thus, it improves the ability to model complex temporal signals. Compared to traditional unidirectional RNN or standard GRU, BiGRU performs better in capturing both short- and long-term dependencies, which contributes to improved forecasting accuracy and enhanced model stability.

2.8. Overall Research Framework

The full modeling pipeline—from data preprocessing and feature decomposition to model optimization and prediction—is illustrated in Figure 2. The proposed framework integrates similar-day clustering with a dual decomposition strategy for photovoltaic power forecasting. Initially, preprocessed meteorological and power data with missing values imputed are taken as inputs, followed by Pearson correlation analysis to extract meteorological features strongly related to PV power output. Next, similar-day clustering is performed using K-means based on multi-dimensional weather features, aiming to reduce the adverse effects of meteorological uncertainty on model performance. Then, the dataset is chronologically split into training, validation, and testing subsets with an 80–10–10 ratio, and the original PV power sequence in the training set is decomposed into several IMFs and a residual using EEMD, where the residual component is further decomposed using VMD, whose parameters are adaptively optimized via the IWOA, to enhance the extraction of rich multi-scale signal features. Finally, each IMF and the residual component are fed into a BiGRU network, whose structure is fine-tuned by the ISSA. ISSA determines optimal hyperparameters through adaptive search, population update, and fitness-based selection, thereby enhancing prediction accuracy and model robustness.

3. Results and Analysis

3.1. Data Sources

The PV power dataset used in this study originates from the State Grid Corporation of China’s New Energy Forecasting Competition, which was made publicly available by Chen and Xu in Scientific Data [28]. The dataset spans a wide range of wind and solar power stations across mainland China, offering high-resolution meteorological observations alongside the corresponding real power output records. In this work, data from a 110 MW photovoltaic station located in Macheng, Hubei Province, is selected for analysis. The solar panels used in this plant are of model JNMP60-255 (Jinneng Clean Energy Technology Co., Ltd., Datong, China), and data is recorded at 15 min intervals, spanning a full year from 1 January to 31 December 2019. All experiments in this study were conducted on a system running Ubuntu 22.04.2 LTS with an Intel Xeon Silver 4110 processor (Intel Corporation, Santa Clara, CA, USA) and an NVIDIA RTX 3090 GPU (NVIDIA Corporation, Santa Clara, CA, USA), using Python 3.9.21 and PyTorch 2.0.1 as the software environment.

3.2. Feature Selection

Before conducting photovoltaic power forecasting modeling, it is necessary to screen and analyze the meteorological features that influence power generation output.
Fluctuations in photovoltaic power output are driven by the combined effects of various meteorological variables. Among these factors, weather conditions play a decisive role in determining the power output profile. Therefore, identifying and quantitatively assessing the most influential meteorological factors is essential for accurate power forecasting and performance optimization. In this study, Pearson correlation analysis is applied to the PV power forecasting dataset. The meteorological variables examined include total irradiance, direct normal irradiance, diffuse horizontal irradiance, ambient temperature, air pressure, and relative humidity. Correlation coefficients between these variables and PV power are computed using Equation (3). The correlation strengths between meteorological variables and PV power are visualized in Figure 3, providing a robust quantitative basis for feature selection and model development.
Table 1 presents the correlation analysis between PV power output and various meteorological variables. As indicated in Table 1, total irradiance, temperature, and relative humidity show strong correlations with PV power generation, and thus represent the dominant meteorological factors influencing PV power output. Taking into account both correlation magnitude and physical interpretability, this study selects total irradiance, direct normal irradiance, diffuse horizontal irradiance, temperature, and relative humidity as the essential input features for the PV forecasting model. Aiming to improve prediction accuracy and strengthen the model’s ability to respond to changing weather conditions.

3.3. K-Means Clustering Results

To verify the effectiveness of the proposed similar-day clustering method, the K-means clustering results are analyzed and discussed in this study.
First, global horizontal irradiance, diffuse horizontal irradiance, and air temperature are selected as clustering features to comprehensively characterize the effects of solar radiation intensity and meteorological conditions on photovoltaic power output. Based on these features, the K-means method is applied to perform unsupervised clustering of the samples. To reasonably determine the number of clusters K, the Silhouette Coefficient and the Calinski–Harabasz (CH) index are introduced on the training dataset as clustering validity metrics, and clustering results for K = 2–8 are comparatively analyzed. As shown in Table 2, when K = 3, the Silhouette Coefficient remains at a relatively high level and the CH index reaches its maximum value. This indicates that the clustering scheme achieves optimal performance in terms of intra-cluster compactness and inter-cluster separability. By considering the statistical distribution characteristics of irradiance and meteorological features across clusters, the three clusters can be respectively associated with three typical weather scenarios: clear, cloudy, and rainy conditions. The distribution of sample days is shown in Table 3; therefore, the cluster number is finally determined as K = 3. It should be noted that K-means clustering is only used to partition similar weather scenarios based on historical meteorological observations. The resulting clustering labels are not directly used as input features for the prediction model. During the modeling stage, samples are divided into three subsets corresponding to clear, cloudy, and rainy conditions based on the clustering results, and separate photovoltaic power forecasting models are trained for each subset. During the prediction stage, the distances between the current meteorological observations and each cluster center are calculated, and the corresponding model for the identified weather scenario is then invoked to perform power prediction.
The clustering results are shown in Figure 4, where the PV output curves for sunny samples exhibit high stability and regularity. Cloudy weather, influenced by cloud cover and irradiance fluctuations, exhibits significant instability in power output. while rainy days yield relatively low PV output due to consistently weak irradiance levels, reflecting a typical low-energy characteristic.

3.4. Model Evaluation Metrics

To provide a comprehensive and objective evaluation of the PV power forecasting model, this study adopts three commonly used and representative performance metrics, namely the Mean Absolute Error (MAE), Root Mean Square Error (RMSE), and the Coefficient of Determination (R2). The mathematical formulations of these metrics are given as follows:
M A E = 1 N i = 1 N y i y ^ i
R M S E = 1 N i = 1 N y i y ^ i 2
R 2 = 1 i = 1 N   ( y i y ^ i ) 2 i = 1 N   ( y i y ¯ ) 2
where yi is the actual power value at time step i, yi is the predicted power value at time step i; N is the total number of samples; 1 N i = 1 N y i is the mean of the actual power values.

3.5. Residual Component After Single EEMD Decomposition

According to the K-means clustering results, the data are categorized into three weather types: sunny, rainy, and cloudy, and each subset is then split into training (80%), validation (10%), and test (10%) sets in an 8:1:1 ratio, ensuring independence among training, tuning, and evaluation stages while maintaining representativeness. To reveal the complex fluctuation patterns and multi-scale nonlinear characteristics in PV power sequences, EEMD is performed separately for each weather category to decompose the power sequences. During the decomposition process, to ensure the stability and reproducibility of the decomposition results, the noise amplitude is set to 0.2 times the standard deviation of the original photovoltaic power sequence, and the ensemble size is set to 100. By adding adaptive white noise and repeatedly decomposing the signal, EEMD obtains an ensemble average of all decomposition trials, yielding several intrinsic mode functions (IMFs) along with a residual component. The IMFs represent oscillatory components at multiple temporal scales, while the residual component preserves the long-term trend of the sequence. The residual components obtained through EEMD for all three weather types are shown in Figure 5. By further analyzing the non-stationary behaviors and hidden information embedded in the residual signals, more representative inputs can be generated for the subsequent secondary decomposition and model development; therefore, the residuals obtained from EEMD are further subjected to a secondary decomposition, enhancing the stability and forecasting accuracy of the final prediction model.

3.6. IVMD Secondary Decomposition Results

Although EEMD effectively reduces mode mixing and captures the nonlinear, multi-scale fluctuation characteristics of PV power sequences, the residual components obtained from EEMD still exhibit low-frequency nonstationary structures, mixed trends, and insufficient separation of weak disturbance components. These implicit components obscure deeper dynamic patterns of PV power variations under different weather conditions, limiting the ability of subsequent forecasting models to learn and generalize multi-scale information effectively. To further explore the latent nonstationary structures in the residual signals, this study incorporates an IWOA to adaptively tune the parameters of VMD based on the preliminary EEMD results, thereby constructing a cascaded decomposition framework termed “EEMD–IWOA–VMD”. In this framework, the residuals produced by EEMD serve as the input, while IWOA dynamically adjusts the penalty factor and the number of modes in VMD, enabling the secondary decomposition of the residual signals. The optimization results for IVMD are summarized in Table 4, showing that the optimal decomposition parameters differ across weather types. Specifically, for sunny and cloudy conditions, the optimal mode number is K = 7 and the penalty factor is α = 204.16, whereas during rainy conditions, the optimal mode number increases to K = 8 while the penalty factor decreases to α = 100.00. These results demonstrate that weather conditions have a substantial impact on the decomposition behavior of the signals. By integrating IWOA to perform adaptive parameter optimization for VMD, the framework achieves a balanced global–local search capability, mitigating the tendency of the traditional WOA to become trapped in local optima, thus enhancing the stability and accuracy of the VMD decomposition. Figure 6 illustrates the residual signals and their corresponding IVMD decomposition results for sunny, cloudy, and rainy samples across the training, validation, and testing phases.
As shown in the residual plots on the left side of the figure, the EEMD residuals display pronounced fluctuations and high-frequency disturbances, indicating distinct non–white-noise characteristics. This suggests that although EEMD removes the primary trend and major periodic components, some informative structures remain insufficiently extracted, particularly under non-sunny conditions, where the residual amplitudes are significantly larger, reflecting the strong nonlinear disturbances introduced by unstable weather conditions on PV output. Under sunny conditions, the residual signals exhibit comparatively small amplitudes, and the IVMD-derived IMFs exhibit strong stationarity with low-amplitude oscillatory behavior, suggesting that the main forecasting model has successfully learned the primary irradiance-driven trend, leaving only minor residual perturbations. For cloudy samples, residual fluctuations are more pronounced, and distinct periodic oscillation patterns remain observable in the IVMD-generated IMFs, indicating that in cloudy conditions, PV output is strongly influenced by intermittent cloud occlusion, leaving certain predictable high-frequency components within the residuals. In contrast, rainy-day samples exhibit the most intense residual fluctuations, showing a wide spectral distribution and strongly nonstationary behavior. After IVMD decomposition, the high-frequency IMFs successfully extract multi-scale fine-grained disturbances, greatly enhancing the structural identifiability of the residual components, confirming the necessity and applicability of IVMD for modeling highly complex disturbance patterns. Overall, applying IVMD for secondary decomposition of EEMD residuals enhances the resolution and interpretability of residual modeling and provides a solid feature foundation for developing subsequent multi-scale error compensation submodels.

3.7. Comparison and Analysis of Prediction Results

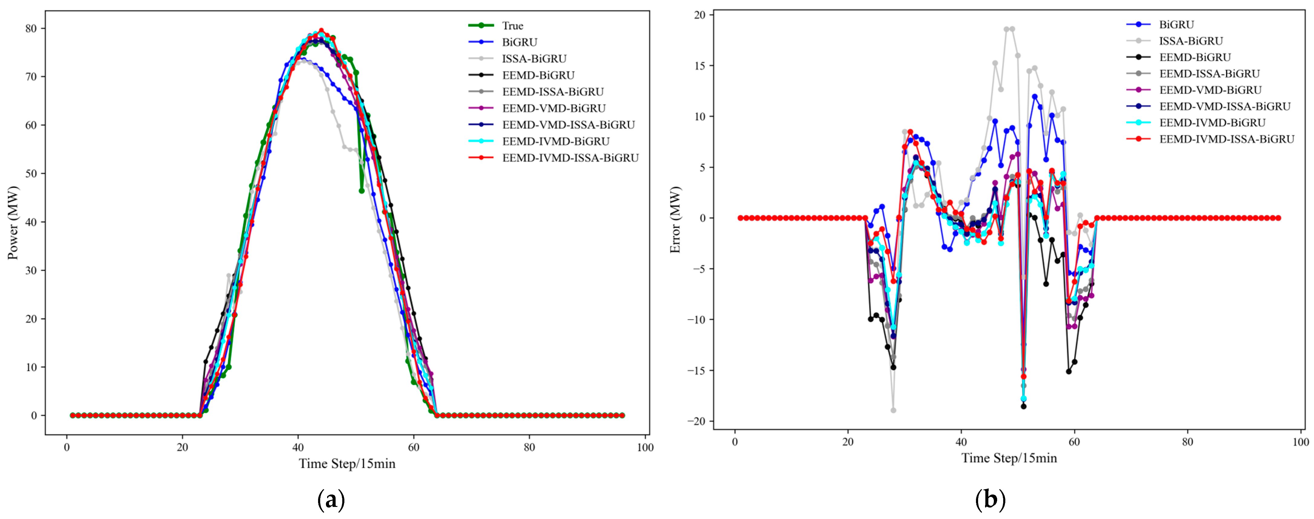
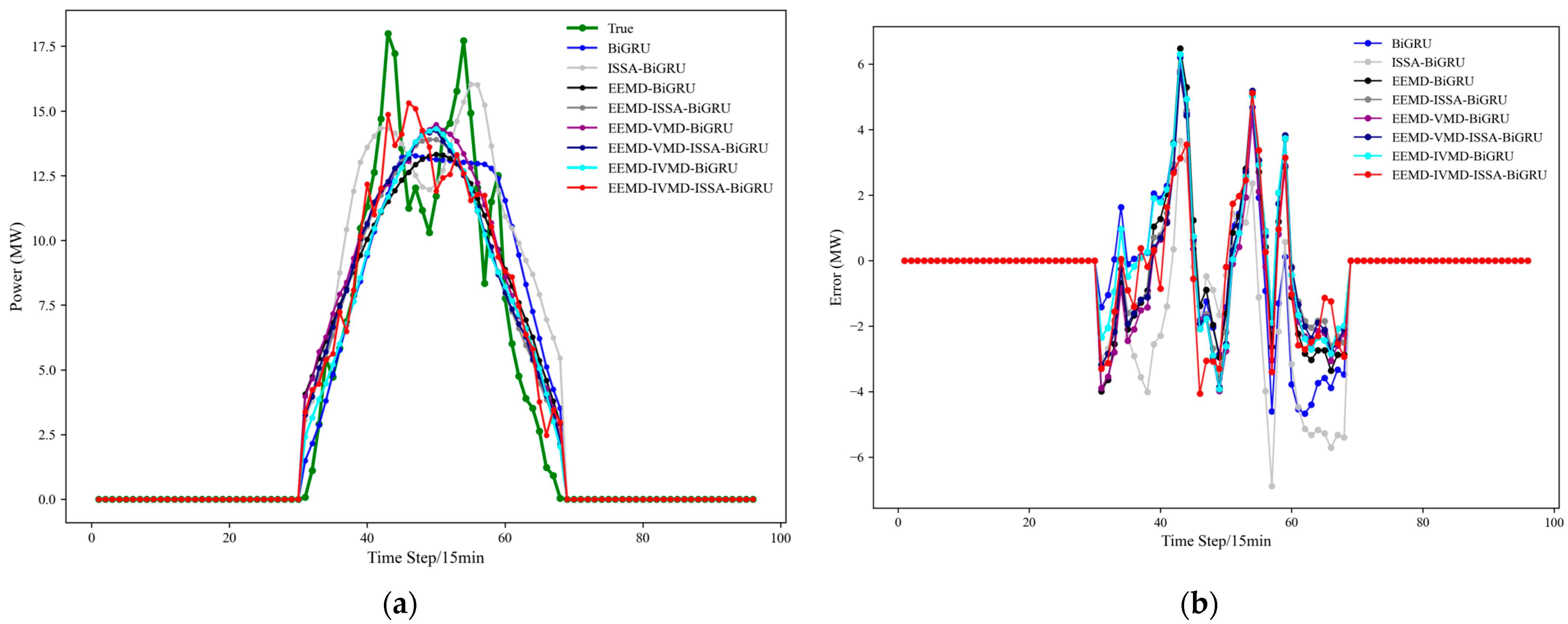
To comprehensively evaluate the forecasting performance of the proposed EEMD-IVMD-ISSA-BiGRU model, the model is fed with similar-day meteorological features and historical power sequences as inputs, and forecasting experiments are conducted under three typical weather scenarios: cloudy, rainy, and sunny. To guarantee a fair and comprehensive evaluation, several widely used baseline models listed in Table 5 are included for comparison. The experimental results and the corresponding visualizations in Figure 7 reveal that all forecasting models are capable of describing the general intraday variation pattern of PV power output, yet their performance differs markedly under more complex weather scenarios. In particular, under rainy conditions, single models frequently suffer from prediction delays or peak underestimation during abrupt power changes, indicating their limited capability in capturing sharp fluctuations in PV output. Under cloudy conditions, where irradiance fluctuates drastically due to intermittent cloud cover, hybrid models outperform single models with lower errors around sunrise/sunset periods and in low-power intervals, demonstrating superior robustness.
The comparative performance of different models is summarized in Table 5. At a temporal resolution of 15 min, a single-step short-term forecasting strategy is adopted in this study. The BiGRU model constructs input samples using a sliding window with a length of 48 time steps and predicts the photovoltaic power value at the 24th future time step. Under the above settings, where the proposed model achieves MAE values of 1.3804 for sunny, 2.0465 for cloudy, and 1.4770 for rainy conditions, with corresponding RMSE of 2.9468, 4.7888, and 3.5797, and R2 values reaching 0.9863, 0.9720, and 0.9002. Compared with the best-performing benchmark model (BiGRU), the proposed EEMD-IVMD-ISSA-BiGRU reduces MAE by about 65.0%, 38.3%, and 57.9% under sunny, cloudy, and rainy scenarios, while RMSE is reduced by approximately 62.2%, 26.2%, and 56.9%, respectively. Regarding R2, it improves significantly from 0.9039, 0.9489, and 0.4685 to 0.9863, 0.9720, and 0.9002, indicating substantial enhancement in model fitting capability across all weather conditions, with the most pronounced improvement occurring under rainy conditions. Notably, in rainy scenarios characterized by strong fluctuations, R2 rises sharply from 0.4685 (BiGRU) to 0.9002, highlighting the superior fitting ability and robustness of the proposed model under strongly disturbed weather conditions.
To further evaluate the feasibility of the proposed model in practical applications, this study conducts a comparative analysis of the computational time of different models during the training and inference stages, and the results are presented in Table 6. Taking the clear-sky condition as an example, compared with the conventional BiGRU model, the EEMD-ISSA-BiGRU-IVMD model required 686.0356 s in the training stage, which is significantly higher than the 27.9730 s required by the BiGRU model. This increase is mainly attributed to the introduction of EEMD decomposition, ISSA-based parameter optimization, and the IVMD module in the model architecture, which increases the computational complexity during the training stage. During the inference stage, the inference time of the proposed model is 1.8259 s, which is higher than the 0.0254 s of the BiGRU model. Meanwhile, the EEMD-ISSA-BiGRU-IVMD model exhibits higher prediction accuracy and more stable forecasting performance under various weather conditions, including clear, cloudy, and rainy scenarios, indicating that improved forecasting performance is achieved at the cost of increased computational time.

4. Discussion

To systematically evaluate the contribution of each module to model performance, multiple ablation experiments were conducted in this study. The performance metrics of different models under various weather conditions are presented in Table 7, while Figure 8, Figure 9 and Figure 10 illustrate the prediction results and corresponding error curves for rainy, cloudy, and sunny scenarios. As shown in Table 7, when only ISSA optimization was introduced, the error metrics under all weather conditions exhibited slight improvements, indicating that global parameter optimization can enhance convergence quality and prediction stability to a certain extent. However, the overall improvement was limited, indicating that single-parameter optimization is insufficient to fundamentally enhance the model’s capability in modeling strongly non-stationary sequences. In contrast, incorporating EEMD decomposition significantly improved model performance, with more pronounced gains observed under highly variable conditions such as rainy days, demonstrating the critical role of signal decomposition in alleviating the non-stationarity of photovoltaic power series. Further integrating ISSA optimization led to additional reductions in error metrics, reflecting a synergistic effect between the decomposition strategy and parameter optimization.
Further comparison of the decomposition structures reveals that multi-stage decomposition outperforms single-stage decomposition overall. By performing secondary decomposition on the residual sequence and integrating optimization mechanisms, the model demonstrates more stable error control across different weather conditions, with more pronounced advantages under highly volatile scenarios, indicating that refined processing of high-frequency disturbance components enhances the modeling of complex dynamic features. Compared with the original BiGRU model, the proposed EEMD-IVMD-ISSA-BiGRU reduces the MAE from 3.9469, 3.3152, and 3.5052 to 1.3804, 2.0465, and 1.4770 under sunny, cloudy, and rainy conditions, respectively; the RMSE decreases from 7.7936, 6.4867, and 8.3067 to 2.9468, 4.7888, and 3.5797; and the R2 increases from 0.9039, 0.9489, and 0.4685 to 0.9863, 0.9720, and 0.9002, demonstrating superior prediction accuracy and stability across different meteorological scenarios.
The performance differences among the models exhibit clear scene dependency under different weather conditions. This study utilizes one year of photovoltaic operational data from Macheng, Hubei Province, which is characterized by a typical subtropical monsoon climate with distinct seasonal transitions and frequent cloud variability. Under sunny conditions, all models achieve relatively high R2 values, indicating that the baseline model can adequately capture the power curve when irradiance varies smoothly, and that multi-stage decomposition and optimization mainly refine prediction errors. In contrast, under highly variable conditions such as cloudy and rainy weather, the performance gap widens significantly; in particular, the R2 of the baseline BiGRU under rainy conditions is only 0.4685, whereas the proposed model achieves 0.9002, highlighting the effectiveness of structural enhancements in dynamically changing environments. Therefore, from a practical application perspective, the proposed model demonstrates greater advantages in highly variable and intermittent environments, while the marginal gain under stable operating conditions remains limited.
In addition, the ablation experiments reveal that stacking all improvement strategies does not necessarily lead to linear performance gains. First, when only a single optimization algorithm was introduced without incorporating a decomposition structure, the overall improvement remained limited, suggesting that parameter-level optimization cannot compensate for insufficient sequence decomposition. Second, in certain experimental configurations, increasing the decomposition levels did not consistently improve prediction performance, indicating a diminishing-return effect in multi-stage decomposition strategies. These findings suggest that the effectiveness of the proposed framework depends on the proper coordination between decomposition structures and optimization strategies, and that blindly stacking modules does not ensure sustained performance improvement.

5. Conclusions

This study proposes an EEMD-IVMD-ISSA-BiGRU short-term photovoltaic power forecasting model that integrates signal decomposition and parameter optimization. By incorporating a meteorological feature-based weather classification strategy, adaptive modeling of photovoltaic power fluctuation characteristics under different meteorological conditions is achieved. Multiple models are employed for analysis and validation, leading to the following conclusions:
A systematic forecasting framework for short-term photovoltaic power prediction is constructed, in which different types of uncertainties in the forecasting process are addressed step by step, forming a clear modeling pathway. First, a weather classification strategy is introduced to divide the samples into clear, cloudy, and rainy categories, thereby reducing meteorological heterogeneity among samples. This enables the model to learn power variation patterns under relatively homogeneous meteorological scenarios, thereby effectively mitigating uncertainties caused by data distribution differences and abrupt weather changes. Second, EEMD is employed to perform an initial decomposition of the time series to reconstruct its structure and weaken the interference of non-stationarity and severe fluctuations on the model learning process. Under clear-sky conditions, the MAE decreases from 3.9469 to 2.7519, and the RMSE decreases from 7.7936 to 5.4165. On this basis, an IWOA-optimized VMD is introduced to perform secondary decomposition of the residual component, resulting in a further reduction in the MAE to 1.9025 and the RMSE to 3.8500. Finally, ISSA is used to optimize the parameters of the BiGRU model, enhancing the modeling stability of the time-series model under different meteorological conditions. As a result, the EEMD-ISSA-BiGRU-IVMD model achieves MAE values of 1.3804, 2.0465, and 1.4770 under clear, cloudy, and rainy conditions, respectively, with corresponding RMSE values of 2.9468, 4.7888, and 3.5797, and R2 values increasing to 0.9863, 0.9720, and 0.9002, respectively. Compared with the best-performing conventional BiGRU model, the MAE is reduced by 2.5665, 1.2687, and 2.0282 under the three weather conditions, respectively, and the RMSE is reduced by 4.8468, 1.6979, and 4.7270, respectively, while the R2 values are significantly improved. The synergistic effects of the above strategies enable the model to maintain relatively consistent forecasting performance under complex meteorological conditions, significantly improving the accuracy and stability of photovoltaic power prediction, and providing a modeling approach with good generalization capability for short-term photovoltaic power forecasting.
Although the proposed method achieves good performance in terms of prediction accuracy and stability, it still has certain limitations. On the one hand, the multi-layer signal decomposition and heuristic optimization processes increase the computational complexity of the model, leaving room for further optimization when applied to large-scale datasets. On the other hand, the model exhibits a certain dependence on the quality of meteorological feature data, and model performance may be affected when key meteorological variables are insufficiently represented or subject to large errors. Future research will focus on introducing joint calibration methods using actual meteorological observations, such as ground-based measured meteorological data, and combining model structure simplification with computational acceleration strategies, to further enhance the practical applicability of the model while maintaining prediction accuracy.

Author Contributions

Conceptualization, J.Z., H.Q. and X.J.; Methodology, J.Z. and H.W.; Software, J.Z. and H.Q.; Validation, H.Q.; Formal analysis, H.Q.; Investigation, B.H.; Resources, J.Z. and G.Y.; Data curation, H.Q.; Writing—original draft, H.Q.; Writing—review and editing, J.Z., H.Q. and M.Q.; Visualization, J.Z. and H.Q.; Supervision, J.Z., M.Q. and Y.T.; Project administration, J.Z. and M.Q.; Funding acquisition, J.Z. and Y.T. All authors have read and agreed to the published version of the manuscript.

Funding

This research was funded by the Sanjiang Laboratory Science and Technology Innovation Project, grant number SJ2025008; the project “Research on Data Visualization Technology Based on Metadata Governance”, grant number 2023706; and the Jilin Provincial Science and Technology Development Plan Project, grant number YDZJ202503CGZH033.

Institutional Review Board Statement

Not applicable.

Informed Consent Statement

Not applicable.

Data Availability Statement

The data presented in this study are openly available in Scientific Data at https://doi.org/10.1038/s41597-022-01696-6.

Conflicts of Interest

The authors declare no conflicts of interest.

References

  1. Li, J.T.; Ren, X.Y.; Zhang, F.; Gao, L.; Li, J.R.; Cui, T.H. Multi-timescale photovoltaic station power prediction based on Reformer model. Energy 2025, 327, 136423. [Google Scholar] [CrossRef]
  2. Rey-Costa, E.; Elliston, B.; Green, D.; Abramowitz, G. Firming 100% renewable power: Costs and opportunities in Australia’s National Electricity Market. Renew. Energy 2023, 219, 119416. [Google Scholar] [CrossRef]
  3. Zheng, W.T.; Xiao, H.; Pei, W. Distributed-regional photovoltaic power generation prediction with limited data: A robust autoregressive transfer learning method. Appl. Energy 2025, 380, 125058. [Google Scholar] [CrossRef]
  4. Zhi, Y.; Sun, T.; Yang, X.D. A physical model with meteorological forecasting for hourly rooftop photovoltaic power prediction. J. Build. Eng. 2023, 75, 125058. [Google Scholar] [CrossRef]
  5. Li, Y.T.; Su, Y.; Shu, L.J. An ARMAX model for forecasting the power output of a grid connected photovoltaic system. Renew. Energy 2014, 66, 78–89. [Google Scholar] [CrossRef]
  6. Lee, J.; Kang, J.; Lee, S.; Oh, H.M. Ultra-Short Term Photovoltaic Generation Forecasting Based on Data Decomposition and Customized Hybrid Model Architecture. IEEE Access 2024, 12, 20840–20853. [Google Scholar] [CrossRef]
  7. Xiong, G.J.; Zhang, J.; Fu, X.F.; Chen, J.; Mohamed, A.W. Seasonal short-term photovoltaic power prediction based on GSK-BiGRU-XGboost considering correlation of meteorological factors. J. Big Data 2024, 11, 164. [Google Scholar] [CrossRef]
  8. Yang, G.; Zhang, K.; Wang, D.; Liu, J.; Qin, M. Multi-mode fusion ultra-short-term photovoltaic power prediction algorithm based on envelope clustering. Electr. Power Autom. Equip. 2021, 41, 39–46. [Google Scholar]
  9. Liu, S.; Ning, D.; Ma, J. LSTformer Model for Photovoltaic Power Prediction. Comput. Eng. Appl. 2024, 60, 317–325. [Google Scholar]
  10. Aman, R.; Rizwan, M.; Kumar, A. A novel hybrid intelligent approach for solar photovoltaic power prediction considering UV index and cloud cover. Electr. Eng. 2025, 107, 1203–1224. [Google Scholar] [CrossRef]
  11. Zhang, R.X.; Pang, C.X.; Zhu, X.G.; Gao, F.; Jiang, P.Y. A Short-term photovoltaic power prediction method based on the nearest clear sky day decomposition and temporal convolutional network. Electr. Eng. 2025, 107, 11075–11086. [Google Scholar] [CrossRef]
  12. Dai, Y.M.; Wang, Y.X.; Leng, M.M.; Yang, X.Y.; Zhou, Q. LOWESS smoothing and Random Forest based GRU model: A short-term photovoltaic power generation forecasting method. Energy 2022, 256, 124661. [Google Scholar] [CrossRef]
  13. Wang, S.; Sun, Y.H.; Zhang, S.M.; Zhou, Y.; Hou, D.C.; Wang, J.X. Very short-term probabilistic prediction of PV based on multi-period error distribution. Electr. Power Syst. Res. 2023, 214, 108817. [Google Scholar] [CrossRef]
  14. Wu, T.M.; Hu, R.F.; Zhu, H.Y.; Jiang, M.H.; Lv, K.Y.; Dong, Y.X.; Zhang, D.D. Combined IXGBoost-KELM short-term photovoltaic power prediction model based on multidimensional similar day clustering and dual decomposition. Energy 2024, 288, 129770. [Google Scholar] [CrossRef]
  15. Li, M.; Wang, W.; He, Y.; Wang, Q.H. Deep learning model for short-term photovoltaic power forecasting based on variational mode decomposition and similar day clustering. Comput. Electr. Eng. 2024, 115, 109116. [Google Scholar] [CrossRef]
  16. Zhang, Y.H.; Li, T.; Ma, T.Y.; Yang, D.S.; Sun, X.L. Short-Term Photovoltaic Power Prediction Based on Extreme Learning Machine with Improved Dung Beetle Optimization Algorithm. Energies 2024, 17, 960. [Google Scholar] [CrossRef]
  17. Zhang, J.J.; Sun, T.L.; Guo, X.L.; Lu, M. Short-term photovoltaic power prediction with CPO-BILSTM based on quadratic decomposition. Electr. Power Syst. Res. 2025, 243, 111511. [Google Scholar] [CrossRef]
  18. Wu, Y.H.; Xiang, C.; Qian, H.; Zhou, P.J. Optimization of Bi-LSTM Photovoltaic Power Prediction Based on Improved Snow Ablation Optimization Algorithm. Energies 2024, 17, 4434. [Google Scholar] [CrossRef]
  19. He, Y.Y.; Li, H.Y.; Wang, S.; Yao, X. Uncertainty analysis of wind power probability density forecasting based on cubic spline interpolation and support vector quantile regression. Neurocomputing 2021, 430, 121–137. [Google Scholar] [CrossRef]
  20. Jebli, I.; Belouadha, F.Z.; Kabbaj, M.I.; Tilioua, A. Prediction of solar energy guided by pearson correlation using machine learning. Energy 2021, 224, 120109. [Google Scholar] [CrossRef]
  21. Sun, F.; Li, L.; Bian, D.; Bian, W.; Wang, Q.; Wang, S. Photovoltaic power prediction based on multi-scale photovoltaic power fluctuation characteristics and multi-channel LSTM prediction models. Renew. Energy 2025, 246, 122866. [Google Scholar] [CrossRef]
  22. Wang, L.N.; Mao, M.X.; Xie, J.L.; Liao, Z.; Zhang, H.; Li, H.X. Accurate solar PV power prediction interval method based on frequency-domain decomposition and LSTM model. Energy 2023, 262, 125592. [Google Scholar] [CrossRef]
  23. Han, X.S.; Shi, Y.; Tong, R.J.; Wang, S.T.; Zhang, Y. Research on short-term load forecasting of power system based on IWOA-KELM. Energy Rep. 2023, 9, 238–246. [Google Scholar] [CrossRef]
  24. Tizhoosh, H.R. Opposition-Based Learning: A New Scheme for Machine Intelligence. In Proceedings of the International Conference on Computational Intelligence for Modelling, Control and Automation and International Conference on Intelligent Agents, Web Technologies and Internet Commerce (CIMCA-IAWTIC’06), Vienna, Austria, 28–30 November 2005; pp. 695–701. [Google Scholar]
  25. Reynolds, A. Liberating Levy walk research from the shackles of optimal foraging. Phys. Life Rev. 2015, 14, 59–83. [Google Scholar] [CrossRef]
  26. Iacca, G.; dos Santos, V.C., Jr.; de Melo, V.V. An improved Jaya optimization algorithm with Levy flight. Expert Syst. Appl. 2021, 165, 113902. [Google Scholar] [CrossRef]
  27. Liu, Z.; Hu, C.; Xiang, T.; Hu, P.; Li, X.; Yu, J. A Novel Sparrow Search Scheme Based on Enhanced Differential Evolution Operator. IEEE Trans. Emerg. Top. Comput. Intell. 2024, 9, 1253–1268. [Google Scholar] [CrossRef]
  28. Chen, Y.B.; Xu, J.J. Solar and wind power data from the Chinese State Grid Renewable Energy Generation Forecasting Competition. Sci. Data 2022, 9, 577. [Google Scholar] [CrossRef] [PubMed]
Figure 1. Schematic Diagram of the Bidirectional BiGRU Network.
Figure 1. Schematic Diagram of the Bidirectional BiGRU Network.
Sustainability 18 02234 g001
Figure 2. Overall Framework of an ISSA-Optimized BiGRU Photovoltaic Power Forecasting Model Based on Similar-Day Clustering and a Dual-Decomposition Mechanism.
Figure 2. Overall Framework of an ISSA-Optimized BiGRU Photovoltaic Power Forecasting Model Based on Similar-Day Clustering and a Dual-Decomposition Mechanism.
Sustainability 18 02234 g002
Figure 3. Heatmap of Pearson Correlation Coefficients.
Figure 3. Heatmap of Pearson Correlation Coefficients.
Sustainability 18 02234 g003
Figure 4. Power Distribution under Different Weather Conditions.
Figure 4. Power Distribution under Different Weather Conditions.
Sustainability 18 02234 g004
Figure 5. Decomposition results under different weather conditions: (a) results under cloudy conditions; (b) results under sunny conditions; (c) results under rainy conditions.
Figure 5. Decomposition results under different weather conditions: (a) results under cloudy conditions; (b) results under sunny conditions; (c) results under rainy conditions.
Sustainability 18 02234 g005
Figure 6. IVMD residual decomposition results (a) Residual Decomposition Results under Rainy Conditions; (b) Residual Decomposition Results under Cloudy Conditions; (c) Residual Decomposition Results under Sunny Conditions.
Figure 6. IVMD residual decomposition results (a) Residual Decomposition Results under Rainy Conditions; (b) Residual Decomposition Results under Cloudy Conditions; (c) Residual Decomposition Results under Sunny Conditions.
Sustainability 18 02234 g006
Figure 7. Comparison results of different models: (a) Prediction results on rainy days; (b) Prediction results on cloudy days; (c) Prediction results on sunny days.
Figure 7. Comparison results of different models: (a) Prediction results on rainy days; (b) Prediction results on cloudy days; (c) Prediction results on sunny days.
Sustainability 18 02234 g007
Figure 8. Rainy-day prediction results (a) and corresponding errors (b).
Figure 8. Rainy-day prediction results (a) and corresponding errors (b).
Sustainability 18 02234 g008
Figure 9. Cloudy-day prediction results (a) and corresponding errors (b).
Figure 9. Cloudy-day prediction results (a) and corresponding errors (b).
Sustainability 18 02234 g009
Figure 10. Sunny-day prediction results (a) and corresponding errors (b).
Figure 10. Sunny-day prediction results (a) and corresponding errors (b).
Sustainability 18 02234 g010
Table 1. Correlation between photovoltaic power and meteorological factor.
Table 1. Correlation between photovoltaic power and meteorological factor.
Meteorological Factor r Correlation Level
Global irradiance0.9833Strong
Direct normal irradiance0.8965Strong
Diffuse horizontal irradiance0.9005Strong
Relative humidity0.5663Moderate
Temperature0.4012Moderate
Atmospheric pressure0.1379Weak
Table 2. Clustering Evaluation Metrics under Different Numbers of Clusters K.
Table 2. Clustering Evaluation Metrics under Different Numbers of Clusters K.
KSilhouetteCalinski-Harabasz
20.4491447.0716
30.4534520.3784
40.4121445.4993
50.4222405.8894
60.4053379.6301
70.4268375.2370
80.3395369.4214
Table 3. Distribution of Clustered Days under Different Weather Types.
Table 3. Distribution of Clustered Days under Different Weather Types.
Weather TypeNumber of Clustered Days
Cloudy133
Sunny127
Rainy105
Table 4. IVMD Decomposition Results.
Table 4. IVMD Decomposition Results.
Weather CategoryOptimal Number of ModesPenalty Parameter
Cloudy7204.16
Sunny7204.16
Rainy8100.00
Table 5. Error comparison of different prediction models under different weather types.
Table 5. Error comparison of different prediction models under different weather types.
ModelMAERMSER2
SunnyCloudyRainySunnyCloudyRainySunnyCloudyRainy
RF4.51173.87273.62208.76257.50698.67730.87850.93160.4201
Xgboost4.20353.96493.59408.28537.80438.51060.89140.92610.4421
RNN8.241111.61423.601114.969120.48228.55180.64550.49090.4367
Transformer4.13393.87423.93498.38336.92349.13420.88880.94180.3574
LSTM4.27815.21733.66058.47118.54158.64420.88650.91150.4245
GRU4.50313.39753.72198.79586.49008.94000.87760.94880.3844
BiGRU3.94693.31523.50527.79366.48678.30670.90390.94890.4685
EEMD-ISSA-BiGRU-IVMD1.38042.04651.47702.94684.78883.57970.98630.97200.9002
Table 6. Comparison of Training and Inference Time of Different Models under Various Weather Conditions.
Table 6. Comparison of Training and Inference Time of Different Models under Various Weather Conditions.
ModelTraining Time (Seconds)Inference Time (Seconds)
SunnyCloudyRainySunnyCloudyRainy
RF3.77463.93262.75150.12400.12480.1089
XGboost15.022213.823711.20760.00600.00500.0070
RNN14.588313.926011.76050.01700.01400.0140
GRU25.901223.568821.16070.02600.02200.0192
LSTM18.443918.026315.08580.02250.02420.0210
Transformer77.862074.031062.26820.06300.06000.0462
BiGRU27.973026.525822.44370.02540.02300.0220
EEMD-ISSA-BiGRU-IVMD686.0356654.1187568.66731.82591.68171.5677
Table 7. Comparison of Model Performance.
Table 7. Comparison of Model Performance.
ModelMAERMSER2
SunnyCloudyRainySunnyCloudyRainySunnyCloudyRainy
BiGRU3.94693.31523.50527.79366.48678.30670.90390.94890.4685
ISSA-BiGRU3.72423.18123.37237.51616.39028.24450.91060.95030.4765
EEMD-BiGRU2.75193.06142.26295.41655.82835.15920.95360.95880.7950
EEMD-ISSA-BiGRU2.08672.81212.07414.20265.57704.81130.97210.96230.8217
EEMD-VMD-BIGRU2.24103.01922.11874.4395.75734.85590.96880.95980.8184
EEMD-VMD-ISSA-BIGRU1.94282.97441.93224.00275.74624.4990.97470.95990.8441
EEMD-IVMD-BiGRU1.90252.71171.83043.85005.44774.32810.97660.96400.8557
EEMD-IVMD-ISSA-BiGRU1.38042.04651.47702.94684.78883.57970.98630.97200.9002
Disclaimer/Publisher’s Note: The statements, opinions and data contained in all publications are solely those of the individual author(s) and contributor(s) and not of MDPI and/or the editor(s). MDPI and/or the editor(s) disclaim responsibility for any injury to people or property resulting from any ideas, methods, instructions or products referred to in the content.

Share and Cite

MDPI and ACS Style

Zhang, J.; Qi, H.; Ju, X.; Wang, H.; Ye, G.; Huang, B.; Qi, M.; Tang, Y. Short-Term Photovoltaic Power Forecasting Based on EEMD Residual Secondary IWOA-VMD Decomposition and ISSA-Optimized BiGRU. Sustainability 2026, 18, 2234. https://doi.org/10.3390/su18052234

AMA Style

Zhang J, Qi H, Ju X, Wang H, Ye G, Huang B, Qi M, Tang Y. Short-Term Photovoltaic Power Forecasting Based on EEMD Residual Secondary IWOA-VMD Decomposition and ISSA-Optimized BiGRU. Sustainability. 2026; 18(5):2234. https://doi.org/10.3390/su18052234

Chicago/Turabian Style

Zhang, Jicheng, Haobo Qi, Xuyang Ju, Haoyu Wang, Guanshi Ye, Bin Huang, Mingyang Qi, and You Tang. 2026. "Short-Term Photovoltaic Power Forecasting Based on EEMD Residual Secondary IWOA-VMD Decomposition and ISSA-Optimized BiGRU" Sustainability 18, no. 5: 2234. https://doi.org/10.3390/su18052234

APA Style

Zhang, J., Qi, H., Ju, X., Wang, H., Ye, G., Huang, B., Qi, M., & Tang, Y. (2026). Short-Term Photovoltaic Power Forecasting Based on EEMD Residual Secondary IWOA-VMD Decomposition and ISSA-Optimized BiGRU. Sustainability, 18(5), 2234. https://doi.org/10.3390/su18052234

Note that from the first issue of 2016, this journal uses article numbers instead of page numbers. See further details here.

Article Metrics

Back to TopTop