The Coupling Coordination Degree and Constraints of the Water–Energy–Food Security System: A Case Study in Northeast China
Abstract
1. Introduction
2. Literature Review
2.1. Theoretical Framework
2.2. Research Review and Novelty
3. Overview of the Study Area and Data Sources
3.1. Overview of the Study Area
3.2. Selection of Indicators and Data Sources
4. Research Methodology
4.1. Entropy Weight Method
4.2. Comprehensive Security Index
4.3. Coupling Coordination Degree Model
4.4. Obstacle Degree Model
5. Results and Analysis
5.1. Development Level of the WEF Security System in Northeast China
5.1.1. Analysis of the Comprehensive Development Level
5.1.2. Analysis of Development Levels Across WEF Security Subsystems
5.2. Coupling Coordination Analysis of the WEF Security System in Northeast China
5.2.1. Analysis of Coupling Coordination Degree
5.2.2. Analysis of Coupling Coordination Degree Levels
5.3. Research on Obstacle Factors Affecting the Coordinated Development of the WEF Security System in Northeast China
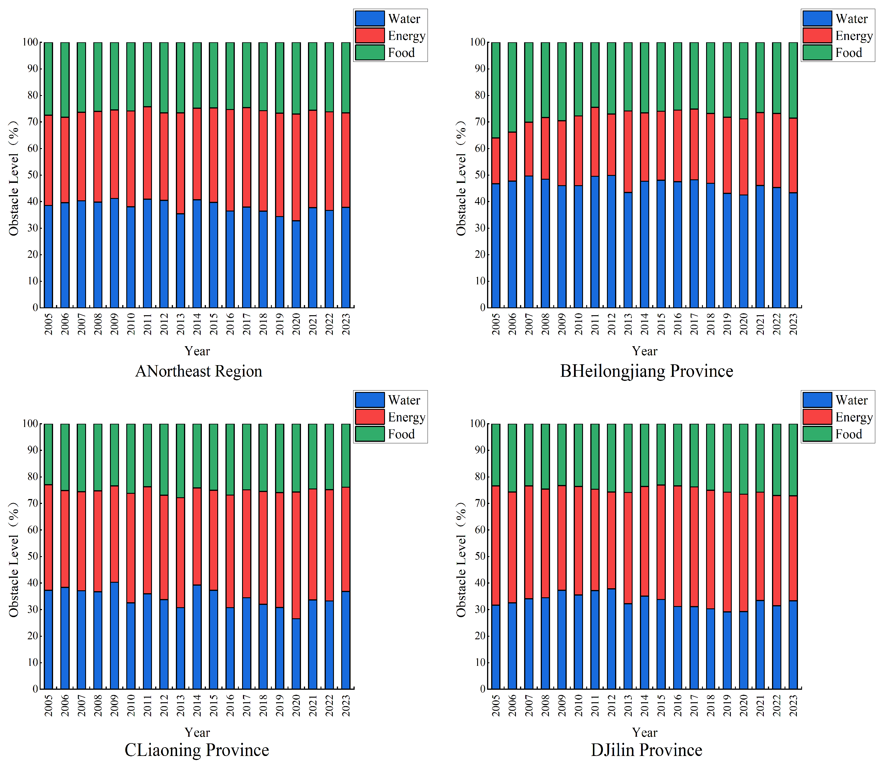
5.3.1. Analysis of Obstacle Factors at the System Level
5.3.2. Analysis of Obstacle Factors at the Indicator Level
6. Conclusions and Policy Implications
6.1. Conclusions
6.2. Policy Implications
Author Contributions
Funding
Data Availability Statement
Acknowledgments
Conflicts of Interest
Abbreviations
| WEF | Water–Energy–Food |
| CCD | Coupling Coordination Degree |
References
- Chang, Y.; Li, G.; Yao, Y.; Zhang, L.; Yu, C. Quantifying the Water-energy-food Nexus: Current Status and Trends. Energies 2016, 9, 65. [Google Scholar] [CrossRef]
- United Nations, Department of Economic and Social Affairs, Population Division, World Population Prospects: The 2015 Revision; United Nations: New York, NY, USA, 2015.
- Flammini, A.; Puri, M.; Pluschke, L.; Dubois, O. Walking the Nexus Talk: Assessing the Water-Energy-Food Nexus in the Context of the Sustainable Energy for All Initiative; FAO: Rome, Italy, 2014. [Google Scholar]
- Mountford, H. Water: The environmental outlook to 2050. In Proceedings of the OECD Global Forum on Environment: Making Water Reform Happen, Paris, France, 25–26 October 2011; pp. 25–26. [Google Scholar]
- Sivakumar, B. Water-energy-food nexus: Challenges and opportunities. Stoch. Environ. Res. Risk Assess. 2021, 35, 1–2. [Google Scholar] [CrossRef]
- An, Z.; Sun, C.; Hao, S. Supply-demand matching relationship of ecosystem services in Northeast China: From the perspective of water-energy-food linkage. Acta Ecol. Sin. 2024, 44, 4170–4186. [Google Scholar] [CrossRef]
- Hoff, H. Understanding the Nexus; Background Paper for the Bonn2011 Nexus Conference: The Water, Energy and Food Security Nexus; Stockholm Environment Institute: Stockholm, Sweden, 2011. [Google Scholar]
- Smajgl, A.; Ward, J.; Pluschke, L. The Water-Food-Energy Nexus-Realising a New Paradigm. J. Hydrol. 2016, 533, 533–540. [Google Scholar] [CrossRef]
- Zhang, Z.; Liu, J.; Wang, K.; Tian, Z.; Zhao, D. Review of Water-Food-Energy Linkage System: Bibliometric and Analysis. Sci. Bull. 2020, 65, 1569–1581. [Google Scholar]
- Wang, Q.; Li, S.; He, G.; Li, R.; Wang, X. Evaluating Sustainability of Water-Energy-Food Nexus Using an improved Matter-Element Extension Model: A Case Study of China. J. Clean. Prod. 2018, 202, 1097–1106. [Google Scholar] [CrossRef]
- Hao, X.; Wang, Z.; Li, L.; Wan, Y.; Wei, P. Research on Safety Evaluation and Identification of Obstacles to the “Water-Energy-Food” System in the Western Region. J. Chin. Agric. Mech. 2023, 44, 250–257. [Google Scholar] [CrossRef]
- Li, L.; Bi, J.; Zhou, Y.; Zhou, Y. Research Progress on Risk Management Based on Food-Energy-Water Relationship. Chin. Popul. Resour. Environ. 2018, 28, 85–92. [Google Scholar]
- Chang, H.; Cao, Y.; Yao, J.; Ren, H.; Hong, Z.; Fang, N. The Synergistic Evolution and Coordination of the Water-Energy-Food Nexus in Northeast China: An Integrated Multi-Method Assessment. Sustainability 2025, 17, 6745. [Google Scholar] [CrossRef]
- Xian, C.; Yang, S.; Fan, Y.; Wu, H.; Gong, C. Coupling Efficiency Assessment of Food-Energy-Water (FEW) Nexus Based on Urban Resource Consumption towards Economic Development: The Case of Shenzhen Megacity, China. Land 2022, 11, 1783. [Google Scholar] [CrossRef]
- Sun, C.; Shen, Z. Research on Water-Energy-Food Input-Output Efficiency Based on Data Envelopment Analysis Model. J. Beijing Univ. Civ. Eng. Archit. 2021, 37, 87–95. [Google Scholar] [CrossRef]
- Tone, K. A Slacks-Based Measure of Efficiency in Data Envelopment Analysis. Eur. J. Oper. Res. 2001, 130, 498–509. [Google Scholar] [CrossRef]
- Gao, J.; Liu, J.; Xu, K.; He, L. Research on the Efficiency of Water-Energy-Food Nexus System in the Yellow River Basin. People’s Yellow River 2024, 46, 67–71. [Google Scholar]
- Zheng, Y.; Liu, C.; Li, L.; Jiang, E.; Feng, G.; Qu, B.; Hao, L.; Li, J.; Li, J. Spatiotemporal Evolution and Driving Mechanisms of Water-Energy-Food Synergistic Efficiency: A Case Study of Irrigation Districts in the Lower Yellow River. Sustainability 2025, 17, 11265. [Google Scholar] [CrossRef]
- Feng, C.; Qu, S.; Jin, Y.; Tang, X.; Liang, S.; Chiu, A.S.; Xu, M. Uncovering Urban Food-Energy-Water Nexus Based on Physical Input-Output Analysis: The Case of the Detroit Metropolitan Area. Appl. Energy 2019, 252, 113422. [Google Scholar] [CrossRef]
- Mannan, M.; Al-Ansari, T.; Mackey, H.R.; Al-Ghamdi, S.G. Quantifying the Energy, Water and Food Nexus: A Review of the Latest Developments Based on Life-Cycle Assessment. J. Clean. Prod. 2018, 193, 300–314. [Google Scholar] [CrossRef]
- Liang, S.; Qu, S.; Zhao, Q.; Zhang, X.; Daigger, G.T.; Newell, J.P.; Miller, S.A.; Johnson, J.X.; Love, N.G.; Zhang, L. Quantifying the Urban Food–Energy–Water Nexus: The Case of the Detroit Metropolitan Area. Environ. Sci. Technol. 2018, 53, 779–788. [Google Scholar] [CrossRef]
- Lu, S.; Zhang, F.; Pei, L.; Deng, W.; Xue, Y. Water Resources Security in China’s Five Typical Areas from the Perspective of Energy-Food Relationship. J. Soil Water Conserv. 2026, 1, 1–13. [Google Scholar] [CrossRef]
- Cai, X.; Wallington, K.; Shafiee-Jood, M.; Marston, L. Understanding and Managing the Food-Energy-Water Nexus–Opportunities for Water Resources Research. Adv. Water Resour. 2018, 111, 259–273. [Google Scholar] [CrossRef]
- Arthur, M.; Liu, G.; Hao, Y.; Zhang, L.; Liang, S.; Asamoah, E.F.; Lombardi, G.V. Urban Food-Energy-Water Nexus Indicators: A Review. Resour. Conserv. Recycl. 2019, 151, 104481. [Google Scholar] [CrossRef]
- Islam, K.N.; Kenway, S.J.; Renouf, M.A.; Lam, K.L.; Wiedmann, T. A Review of the Water-Related Energy Consumption of the Food System in Nexus Studies. J. Clean. Prod. 2021, 279, 123414. [Google Scholar] [CrossRef]
- Hejnowicz, A.; Thorn, J.; Giraudo, M.; Sallach, J.; Hartley, S.; Grugel, J.; Pueppke, S.; Emberson, L. Appraising the Water-Energy-Food Nexus from a Sustainable Development Perspective: A Maturing Paradigm? Earth’s Future 2022, 10, e2021EF002622. [Google Scholar] [CrossRef]
- Pittock, J.; Hussey, K.; McGlennon, S. Australian climate, Energy and Water Policies: Conflicts and Synergies. Aust. Geogr. 2013, 44, 3–22. [Google Scholar] [CrossRef]
- Kellner, E.; Martin, D.A. Learning from Past Coevolutionary Processes to Envision Sustainable Futures: Extending an Action Situations Approach to the Water-Energy-Food Nexus. Earth Syst. Gov. 2023, 15, 100168. [Google Scholar] [CrossRef]
- Yu, L.; Wang, H.; Hu, Y.; Cui, W.; Li, H.; Sui, G. Research on the Collaborative Security and Coupling Coordination of Water-Energy-Food System in the Inner Mongolia Section of the Yellow River Basin. South-to-North Water Transf. Water Sci. Technol. 2024, 22, 12–23. [Google Scholar] [CrossRef]
- Sun, C.; Wu, Y.; Liu, W. Water Poverty Evaluation and Obstacle Factor Analysis in Dalian Based on Entropy-Weighted TOPSIS Method. Water Resour. Prot. 2017, 33, 1–8. [Google Scholar]
- Martin, R.; Sunley, P. On the Notion of Regional Economic Resilience: Conceptualization and Explanation. J. Econ. Geogr. 2015, 15, 1–42. [Google Scholar] [CrossRef]
- Xu, D.; Yang, F.; Yu, L.; Zhou, Y.; Li, H.; Ma, J.; Huang, J.; Wei, J.; Xu, Y.; Zhang, C. Quantization of the Coupling Mechanism between Eco-Environmental Quality and Urbanization from Multisource Remote Sensing Data. J. Clean. Prod. 2021, 321, 128948. [Google Scholar] [CrossRef]
- Zhang, Q.; Ye, B.; Shen, X.; Zhu, Y.; Su, B.; Yin, Q.; Zhou, S. Coupling Coordination Evaluation of Ecology and Economy and Development Optimization at Town-Scale. J. Clean. Prod. 2024, 447, 141581. [Google Scholar] [CrossRef]
- Cui, X.; Xu, C. Differences and Obstacles to the Coordinated Development of Food-Ecology-Energy Security in the Yellow River Basin. Chin. J. Agric. Resour. Reg. Plan. 2023, 44, 1–16. [Google Scholar]
- Zhang, L.; Kang, C.; Jin, J.; Bai, Y.; Zhang, Q.; Chen, X. Research on the Coupling Coordination and Optimization of Water-Energy-Food System in Rice Irrigation Area under Bilateral Regulation of Supply and Demand. J. Hydraul. Eng. 2023, 54, 829–842. [Google Scholar] [CrossRef]
- Hao, Y.; Xia, Y.; Zhang, Y.; Li, X. Spatio-Temporal Dynamics and Predictive Analysis of Water-Energy-Food System Coupling and Coordinated Development in Northwest China. Soil Water Conserv. 2025, 32, 251–269. [Google Scholar] [CrossRef]
- Li, H.; Wang, H.; Zhao, R.; Yang, Y.; Guo, J. Water-Energy-Food Symbiosis Security Risk Probability Based on Copula Function. Trans. Chin. Soc. Agric. Eng. 2021, 37, 332–340. [Google Scholar]
- Li, C.; Zhang, S. Coordination Degree and Influencing Factors of Water-Energy-Food Coupling in China. Chin. Popul. Resour. Environ. 2020, 30, 120–128. [Google Scholar]
- Chen, Y.; Zhao, Q.; Ai, M.; Li, X.; Pengyu, R. Analysis of Spatio-Temporal Characteristics of Meteorological Drought in the Liao River Basin from 1959 to 2019. Water Resour. Hydropower Eng. 2023, 54, 42–52. [Google Scholar] [CrossRef]
- Lu, C.; Wen, F.; Yang, Q.; Chen, L.; Zong, H. Urban Land Use Performance Evaluation and Obstacle Factor Diagnosis Based on Improved TOPSIS Method: A Case Study of Chongqing. Resour. Sci. 2011, 33, 535–541. [Google Scholar]
- Yu, L.; Cai, Y. Performance Evaluation and Diagnosis of Obstacle Factors of Economic Compensation Policy for Cultivated Land Protection Based on Farmers’ Satisfaction. J. Nat. Resour. 2015, 30, 1092–1103. [Google Scholar]
- Han, C.; Han, X.; Ma, B.; Li, D.; Wang, Z.; Hao, Z.; Zhang, X. Research on the Coupling Coordination Relationship and Spatial Equilibrium Measurement of the Water-Energy-Food Nexus System in China. Water 2025, 17, 527. [Google Scholar] [CrossRef]
- Zhang, Q.; Shao, J.; Qiao, J.; Cao, Q.; Liu, H. Coupling Relationships and Driving Mechanisms of Water–Energy–Food in China from the Perspective of Supply and Demand Security. Land 2024, 13, 1637. [Google Scholar] [CrossRef]
- Zhang, P.; Fu, Y.; Lu, B.; Li, H.; Qu, Y.; Ibrahim, H.; Wang, J.; Ding, H.; Ma, S. Coupling Coordination Evaluation and Optimization of Water-Energy-Food System in the Yellow River Basin for Sustainable Development. Systems 2025, 13, 278. [Google Scholar] [CrossRef]
- Ren, D.; Hu, Z.; Cao, A. Evaluation and Prediction of the Coordination Degree of Coupling Water-Energy-Food-Land Systems in Typical Arid Areas. Sustainability 2024, 16, 6996. [Google Scholar] [CrossRef]






| Criterion Layer | Primary Indicator Layer | Secondary Indicator Layer | Formula/Unit | Direction | Weight |
|---|---|---|---|---|---|
| Security | Water Resources Subsystem | A1: Per Capita Water Resources | Total water resources/Permanent population (m3/person) | + | 0.046 |
| Water Resources Subsystem | A2: Per Capita Water Use | Total water use/Permanent population (m3/person) | − | 0.095 | |
| Water Resources Subsystem | A3: Water Resource Utilization Rate | Total water use/Total water resources (%) | − | 0.043 | |
| Energy Subsystem | A4: Per Capita Energy Production | Total energy production/Permanent population (tce/person) | + | 0.076 | |
| Energy Subsystem | A5: Per Capita Energy Consumption | Total energy consumption/Permanent population (tce/person) | − | 0.035 | |
| Energy Subsystem | A6: Elasticity Coefficient of Energy Consumption | Growth rate of energy consumption/Growth rate of GDP (%) | − | 0.041 | |
| Food Subsystem | A7: Per Capita Cultivated Land Area | Cultivated land area/Permanent population (m2/person) | + | 0.064 | |
| Food Subsystem | A8: Grain Yield per Unit Area | Total grain output/Sown area of grain crops (kg/hm2) | + | 0.020 | |
| Food Subsystem | A9: Grain Output Fluctuation Rate | | (Actual output in year t—Trend output in year t)/Trend output in year t | (%) | − | 0.019 | |
| Coordination | Water–Energy Nexus | B1: Water Consumption per Unit GDP | Total water use/GDP (m3/104 CNY) | − | 0.052 |
| Water–Energy Nexus | B2: Water Consumption per Unit Energy Production | Industrial water use/Total energy production (m3/tce) | − | 0.030 | |
| Energy–Food Nexus | B3: Total Agricultural Machinery Power per Unit Area | Total power of agricultural machinery/Total sown area of crops (kW/hm2) | + | 0.029 | |
| Energy–Food Nexus | B4: Proportion of Effective Irrigated Area | Effective irrigated area/Cultivated land area (%) | + | 0.021 | |
| Water–Food Nexus | B5: Proportion of Agricultural Water Use | Agricultural water use/Total water use (%) | − | 0.043 | |
| Water–Food Nexus | B6: Water Consumption per Unit Grain Output | Agricultural water use/Total grain output (m3/kg) | − | 0.055 | |
| Resilience | Coping Capacity | C1-1: Per Capita Grain Availability | Total grain output/Permanent population (kg/person) | + | 0.060 |
| Coping Capacity | C1-2: Total Reservoir Storage Capacity | (108 m3) | + | 0.015 | |
| Coping Capacity | C1-3: Energy Self-Sufficiency Rate | Total energy production/Total energy consumption (%) | + | 0.078 | |
| Recovery Capacity | C2-1: Proportion of Water-Saving Irrigated Area | Water-saving irrigated area/Effective irrigated area (%) | + | 0.052 | |
| Recovery Capacity | C2-2: Growth Rate of Rural Electricity Consumption | (Current year’s consumption—Previous year’s consumption)/Previous year’s consumption (%) | + | 0.010 | |
| Recovery Capacity | C2-3: Multiple Cropping Index | Total sown area of crops/Cultivated land area (%) | + | 0.036 | |
| Adaptive Capacity | C3-1: Comprehensive Agricultural Mechanization Level | Mechanized plowing area/Cultivated land area (%) | + | 0.014 | |
| Adaptive Capacity | C3-2: Proportion of Coal Consumption | Coal consumption/Total energy consumption (%) | − | 0.041 | |
| Adaptive Capacity | C3-3: Area of Soil Erosion Control | (104 hm2) | + | 0.025 |
| Coupling Coordination Degree (D) | Coordination Level | Coupling Degree Stage |
|---|---|---|
| 0.00 ≤ D < 0.20 | Extreme Dysfunction (I) | Low-Level Coupling |
| 0.20 ≤ D < 0.40 | Severe Dysfunction (II) | Low-Level Coupling |
| 0.40 ≤ D < 0.50 | Near Dysfunction (III) | Antagonistic Stage |
| 0.50 ≤ D < 0.60 | Primary Coordination (IV) | Running-in Stage |
| 0.60 ≤ D < 0.70 | Intermediate Coordination (V) | Running-in Stage |
| 0.70 ≤ D < 0.80 | Good Coordination (VI) | Running-in Stage |
| 0.80 ≤ D < 0.90 | High-Quality Coordination (VII) | High-Level Coupling |
| 0.90 ≤ D ≤ 1.00 | Superior Coordination (VIII) | High-Level Coupling |
| Province | Heilongjiang | Liaoning | Jilin | Regional Average |
|---|---|---|---|---|
| 2005 | 0.518 | 0.527 | 0.345 | 0.463 |
| 2006 | 0.567 | 0.399 | 0.293 | 0.420 |
| 2007 | 0.526 | 0.363 | 0.386 | 0.425 |
| 2008 | 0.531 | 0.378 | 0.396 | 0.435 |
| 2009 | 0.626 | 0.303 | 0.419 | 0.450 |
| 2010 | 0.655 | 0.494 | 0.503 | 0.550 |
| 2011 | 0.647 | 0.476 | 0.410 | 0.511 |
| 2012 | 0.496 | 0.363 | 0.445 | 0.435 |
| 2013 | 0.466 | 0.378 | 0.414 | 0.419 |
| 2014 | 0.495 | 0.230 | 0.368 | 0.365 |
| 2015 | 0.506 | 0.323 | 0.401 | 0.410 |
| 2016 | 0.510 | 0.409 | 0.427 | 0.448 |
| 2017 | 0.499 | 0.353 | 0.416 | 0.423 |
| 2018 | 0.566 | 0.386 | 0.421 | 0.458 |
| 2019 | 0.622 | 0.392 | 0.445 | 0.486 |
| 2020 | 0.641 | 0.396 | 0.485 | 0.507 |
| 2021 | 0.585 | 0.425 | 0.431 | 0.480 |
| 2022 | 0.567 | 0.443 | 0.466 | 0.492 |
| 2023 | 0.588 | 0.432 | 0.484 | 0.501 |
Disclaimer/Publisher’s Note: The statements, opinions and data contained in all publications are solely those of the individual author(s) and contributor(s) and not of MDPI and/or the editor(s). MDPI and/or the editor(s) disclaim responsibility for any injury to people or property resulting from any ideas, methods, instructions or products referred to in the content. |
© 2026 by the authors. Licensee MDPI, Basel, Switzerland. This article is an open access article distributed under the terms and conditions of the Creative Commons Attribution (CC BY) license.
Share and Cite
Qin, L.; Wu, H. The Coupling Coordination Degree and Constraints of the Water–Energy–Food Security System: A Case Study in Northeast China. Sustainability 2026, 18, 2085. https://doi.org/10.3390/su18042085
Qin L, Wu H. The Coupling Coordination Degree and Constraints of the Water–Energy–Food Security System: A Case Study in Northeast China. Sustainability. 2026; 18(4):2085. https://doi.org/10.3390/su18042085
Chicago/Turabian StyleQin, Li, and Hongting Wu. 2026. "The Coupling Coordination Degree and Constraints of the Water–Energy–Food Security System: A Case Study in Northeast China" Sustainability 18, no. 4: 2085. https://doi.org/10.3390/su18042085
APA StyleQin, L., & Wu, H. (2026). The Coupling Coordination Degree and Constraints of the Water–Energy–Food Security System: A Case Study in Northeast China. Sustainability, 18(4), 2085. https://doi.org/10.3390/su18042085
