Field Discovery and Evaluation of Native Spontaneous Plants for Soil Heavy Metal Pollution and Sustainable Phytoremediation Potential for Mining Wastelands
Abstract
1. Introduction
2. Materials and Methods
2.1. Study Site

2.2. Soil and Plants Sampling
2.3. Chemical Analysis
2.4. Data Analysis
2.4.1. Soil Data Analysis Methods
2.4.2. Plant Data Analysis Methods
3. Results and Discussion
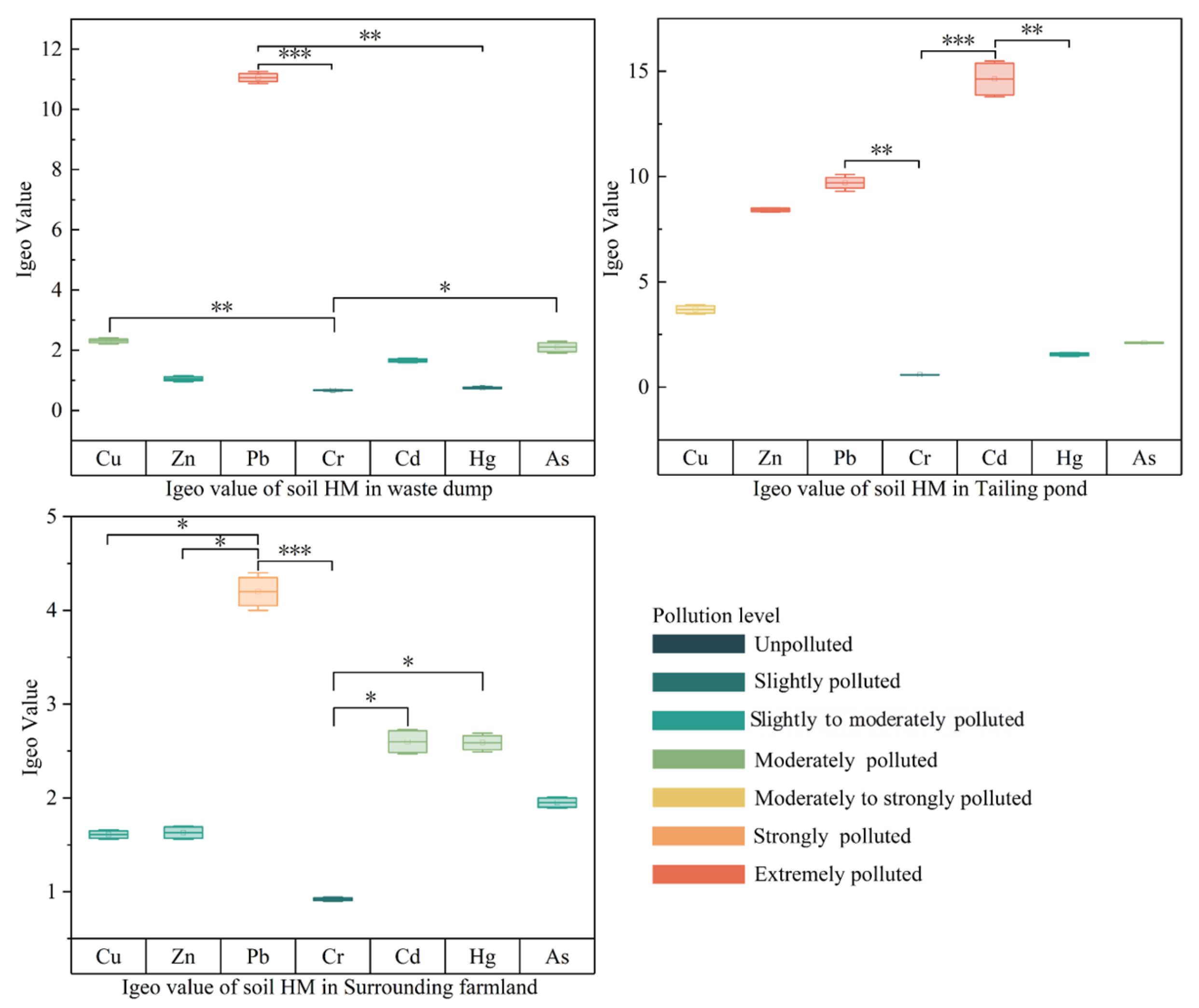
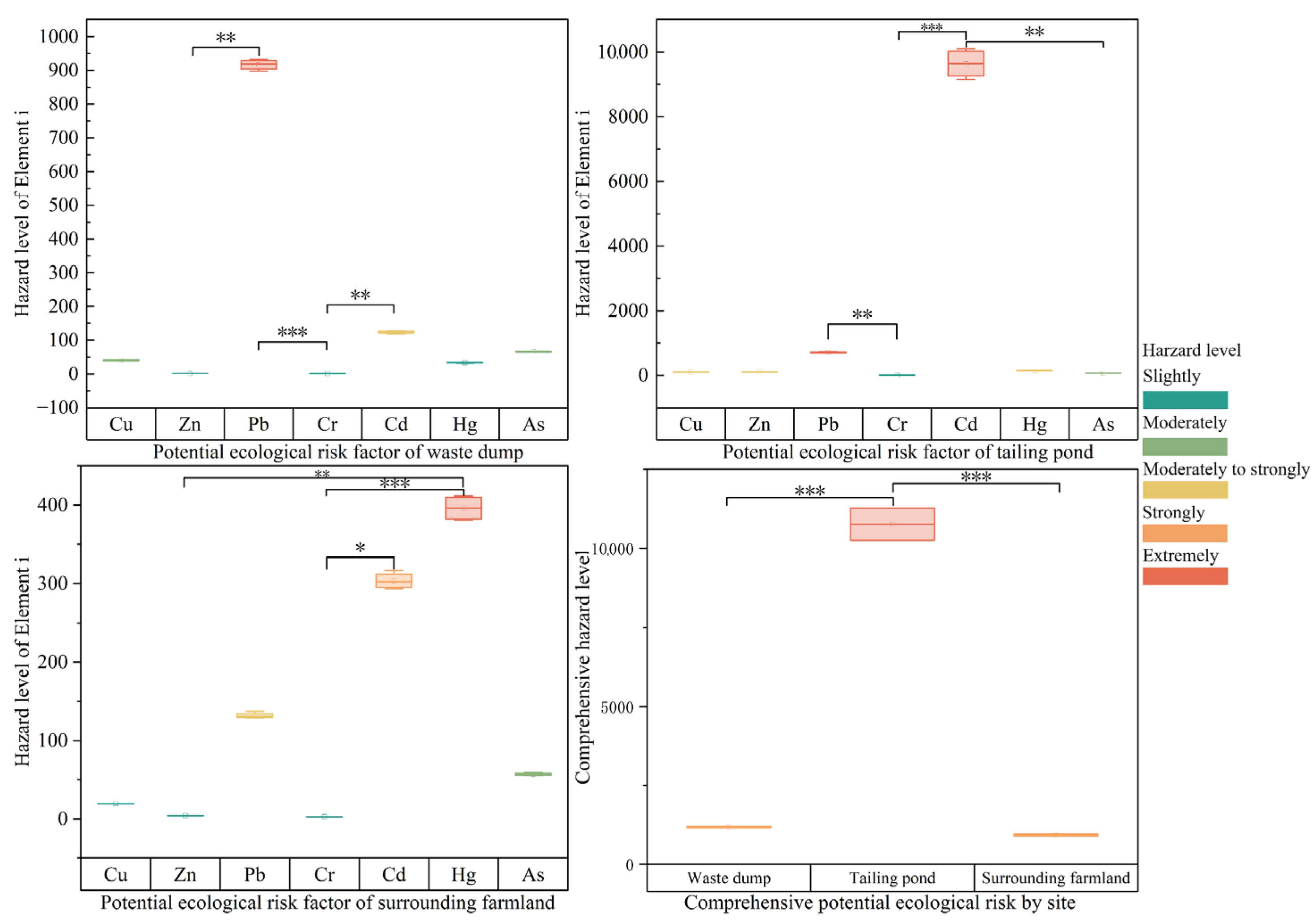
3.1. Evaluation of Soil HM Pollution Across the Entire Mining Site
3.2. HM Content Analysis in Rhizosphere Soil of Plants in Tailing Ponds and Surrounding Areas
3.3. Analysis of Dominant Plant Species and Their Biological Characteristics in Tailing Ponds and Surrounding Areas
3.4. Analysis of HM Content in Dominant Plants
3.5. Accumulation Ability of Dominant Plants to HM in Tailing Wasteland
3.6. Transfer Ability of Dominant Plants to HM
4. Conclusions
Author Contributions
Funding
Institutional Review Board Statement
Informed Consent Statement
Data Availability Statement
Acknowledgments
Conflicts of Interest
Abbreviations
| HM | heavy metals |
| NSP | native spontaneous plant |
| BCF | bioconcentration factor |
| TF | translocation factor |
| Cd | cadmium |
| Pb | lead |
| Zn | zinc |
| Cu | copper |
| Hg | mercury |
References
- U.S. Geological Survey. Mineral Commodity Summaries 2019; U.S. Geological Survey: Reston, VA, USA, 2019; p. 200. [Google Scholar]
- Hossain, A.; Mondal, C.K.; Hasan, M.; Al Masud, A.; Senapathi, V.; Pal, S.C.; Idris, A.M.; Islam, A.R.M.T. Navigating The Hidden Crisis: Microplastics And Heavy Metals in Soil-Transport, Impact, and Remediation. Soil Sediment Contam. Int. J. 2025, 34, 2491–2532. [Google Scholar] [CrossRef]
- China Council for International Cooperation on Environment and Development (CCICED). Progress on Environment and Development Policies in China and Impact of CCICED’s Policy Recommendations (2023). In Green Empowerment and High Quality Development: CCICED Annual Policy Report 2023; CCICED Secretariat: Beijing, China, 2025; pp. 331–361. [Google Scholar]
- Ghosh, P.; Konar, A.; Dalal, D.D.; Roy, A.; Chatterjee, S. Phytoremediation technology: A review. Int. J. Agric. Plant Sci. 2023, 5, 44–49. [Google Scholar]
- Sharma, J.K.; Kumar, N.; Singh, N.P.; Santal, A.R. Phytoremediation technologies and their mechanism for removal of heavy metal from contaminated soil: An approach for a sustainable environment. Front. Plant Sci. 2023, 14, 1076876. [Google Scholar] [CrossRef]
- Oladoye, P.O.; Olowe, O.M.; Asemoloye, M.D. Phytoremediation technology and food security impacts of heavy metal contaminated soils: A review of literature. Chemosphere 2022, 288, 132555. [Google Scholar] [CrossRef] [PubMed]
- Kumar, V.; Shah, M.P.; Shahi, S.K. (Eds.) Phytoremediation Technology for the Removal of Heavy Metals and Other Contaminants from Soil and Water; Elsevier: Amsterdam, The Netherlands, 2022. [Google Scholar]
- Ugur, K.; Dogan, M. Effectiveness of light-emitting diodes for arsenic and mercury accumulation by Ceratophyllum demersum L.: An innovative advancement in phytoremediation technology. Chemosphere 2024, 358, 142064. [Google Scholar] [CrossRef] [PubMed]
- Park, J.K.; Oh, K. Advancements in phytoremediation research for soil and water resources: Harnessing plant power for environmental cleanup. Sustainability 2023, 15, 13901. [Google Scholar] [CrossRef]
- Yin, Z.; Yu, J.; Han, X.; Wang, H.; Yang, Q.; Pan, H.; Lou, Y.; Zhuge, Y. A novel phytoremediation technology for polluted cadmium soil: Salix integra treated with spermidine and activated carbon. Chemosphere 2022, 306, 135582. [Google Scholar] [CrossRef]
- Alhag, S.K.; Al-Shuraym, L.A.; Shukla, N.; Fayssal, S.A.; Kumar, P.; Kumar, V.; Kumar, P. Phytoremediation of Composite Industrial Effluent using Water Caltrop (Trapa natans L.) and Bio-Methanation of Post-Harvest Biomass. Water Air Soil Pollut. 2026, 237, 52. [Google Scholar] [CrossRef]
- Házi, J.; Purger, D.; Penksza, K.; Bartha, S. Interaction of management and spontaneous succession suppresses the impact of harmful native dominant species in a 20-year-long experiment. Land 2023, 12, 149. [Google Scholar] [CrossRef]
- Yang, Y.; Xu, B.; Yu, Q.; Fan, L.; Guo, T.; Fu, D.; Chen, H.; Yan, H.; Shao, F.; Li, X. Distribution pattern and factors influencing spontaneous plant diversity in different wetland habitats. Forests 2022, 13, 1678. [Google Scholar] [CrossRef]
- Ran, C.; Pan, J.; Lin, Y.; Li, T.; Huang, Y.; Huang, J.; Fan, S.; Fang, W.; Zhao, S.; Liu, Y.; et al. Utilizing spontaneous plants for sustainable development in residential green spaces: Insights from environmental drivers and niche analysis in Fuzhou City, China. J. Environ. Manag. 2024, 368, 122219. [Google Scholar] [CrossRef]
- Akatov, V.V.; Akatova, T.V.; Eskina, T.G.; Sazonets, N.M.; Chefranov, S.G. Frequency of occurrence and level of dominance of alien and native species in synanthropic plant communities of southern Russia. Russ. J. Biol. Invasions 2022, 13, 399–411. [Google Scholar] [CrossRef]
- Chen, C.; Wang, R.; Chen, M.; Zhao, J.; Li, H.; Ignatieva, M.; Zhou, W. The post-effects of landscape practices on spontaneous plants in urban parks. Urban For. Urban Green. 2025, 107, 128744. [Google Scholar] [CrossRef]
- Zhu, H.; Zhao, C.; Li, F.; Shen, P.; Liu, L.; Hu, Y. Distribution Patterns of Urban Spontaneous Vegetation Diversity and Their Response to Habitat Heterogeneity: A Case Study of Five Cities in Heilongjiang Province, China. Plants 2024, 13, 2982. [Google Scholar] [CrossRef] [PubMed]
- Li, D.; Li, W.; Do, R.; Hu, Y. Diversity and Distribution Characteristics of Spontaneous Plants in Urban Industrial Wasteland in Harbin. Landsc. Archit. 2024, 31, 112–120. [Google Scholar] [CrossRef]
- Szabó, K.; Gergely, A.; Tóth, B.; Szilágyi, K. Assessing the Spontaneous Spread of Climate-Adapted Woody Plants in an Extensively Maintained Collection Garden. Plants 2023, 12, 1989. [Google Scholar] [CrossRef]
- El Berkaoui, M.; El Adnani, M.; Hakkou, R.; Ouhammou, A.; Bendaou, N.; Smouni, A. Assessment of the transfer of trace metals to spontaneous plants on abandoned pyrrhotite mine: Potential application for phytostabilization of phosphate wastes. Plants 2022, 11, 179. [Google Scholar] [CrossRef] [PubMed]
- Yang, Y.; Yu, Q.; Fu, D.; Hou, Y.; Chen, Y.; Guo, T.; Chen, H.; Yan, H.; Shao, F.; Zhang, Y. Diversity of spontaneous plants in eco-parks and its relationship with environmental characteristics of parks. Forests 2023, 14, 946. [Google Scholar] [CrossRef]
- Zine, H.; Hakkou, R.; Elmansour, A.; Elgadi, S.; Ouhammou, A.; Benzaazoua, M. Native plant diversity for ecological reclamation in Moroccan open-pit phosphate mines. Biodivers. Data J. 2023, 11, e104592. [Google Scholar] [CrossRef]
- Zhang, M.; Fan, S.; Li, X.; Li, K.; Xing, X.; Hao, P.; Dong, L. How urban riparian corridors affect the diversity of spontaneous herbaceous plants as pollination and dispersal routes-a case of the Wenyu River-North Canal in Beijing, China. Ecol. Indic. 2023, 146, 109869. [Google Scholar] [CrossRef]
- de Almeida, J.W.; Heringer, G.; Zenni, R.D. Decreased functional dispersal traits of spontaneous plants in urban areas. Urban Ecosyst. 2024, 27, 15–26. [Google Scholar] [CrossRef]
- Ntloko, B.R.; Mokotjomela, T.M.; Mphafi, S.P.; Siebert, S.J. Success in restoring native plant communities on kimberlite mining dumps in the Afro-alpine Drakensberg region of Lesotho. Ecol. Evol. 2024, 14, e11022. [Google Scholar] [CrossRef]
- Shen, X.; Ge, M.; Handel, S.N.; Wang, W.; Jin, Z.; Kirkwood, N.G. Advancing environmental design with phytoremediation of brownfield soils using spontaneous invasive plants. Sci. Total Environ. 2023, 883, 163635. [Google Scholar] [CrossRef]
- Yang, Y.; Ignatieva, M.; Gaynor, A.; Chen, C. Urban biodiversity in design: Insights into the debate on native versus non-native plants and bees in Western Australia. Urban For. Urban Green. 2024, 98, 128391. [Google Scholar] [CrossRef]
- Ni, Z.; Zhang, X.; Jia, C.; Hashmi, M.Z.; Guo, S.; Pan, H.; Gong, Z. Winter bioaugmentation of co-contaminated soil: Differential effects in greenhouse and open-field settings on microbial communities. Appl. Soil Ecol. 2025, 215, 106446. [Google Scholar] [CrossRef]
- Xu, Q.; Wu, B.; Chai, X. In Situ Remediation Technology for Heavy Metal ContaminatedSediment: A Review. Int. J. Environ. Res. Public Health 2022, 19, 16767. [Google Scholar] [CrossRef] [PubMed]
- Ma, Y.; Xing, S.; Zhang, Z.; Sun, J. Assessment of the heavy metal soil pollution in Qingchengzi Lead-zinc Mine area. Met. Mine 2010, 4, 172–175. [Google Scholar]
- Ma, Y.B.; Xing, S.W.; Zhang, Z.J.; Sun, J.G. Preliminary study of geochemical characteristics of ore-forming fluid in Zhenzigou veined Pb-Zn deposit, Qingchengzi, Liaoning Province. Miner. Depos. 2012, 31, 569–578. [Google Scholar]
- Bao, S. Soil Agrochemical Analysis; China Agricultural Press: Beijing, China, 2005; pp. 66–68. [Google Scholar]
- Rahman, M.S.; Ahmed, Z.; Seefat, S.M.; Alam, R.; Islam, A.R.M.T.; Choudhury, T.R.; Begum, B.A.; Idris, A.M. Assessment of heavy metal contamination in sediment at the newly established tannery industrial Estate in Bangladesh: A case study. Environ. Chem. Ecotoxicol. 2022, 4, 1–12. [Google Scholar] [CrossRef]
- Orosun, M.M. Assessment of arsenic and its associated health risks due to mining activities in parts of North-central Nigeria: Probabilistic approach using Monte Carlo. J. Hazard. Mater. 2021, 412, 125262. [Google Scholar] [CrossRef]
- Mrmošanin, J.; Pavlović, A.; Mišić, I.R.; Tošić, S.; Petrović, S.; Mitić, Z.; Pecev-Marinković, E.; Arsić, B. Evaluation of an inductively coupled plasma–atomic emission spectrometry (ICP-AES) method for the determination of macro and microelements in trifolium L. Species. Anal. Lett. 2024, 57, 558–571. [Google Scholar] [CrossRef]
- Hussain, A.; Sajid, M.; Potter, D.; Rasheed, H.; Hassan, M.; Akhtar, N.; Ahmad, B.; Bokhari, S.A.I. Diversity in elemental content in selected Artemisia L. (Asteraceae) species from Gilgit-Baltistan region of Pakistan based on inductively coupled plasma atomic emission spectrophotometry (ICP-AES). Biol. Trace Elem. Res. 2023, 201, 4143–4155. [Google Scholar] [CrossRef]
- Muller, G. Index of geoaccumulation in sediments of the Rhine River. Geol. J. 1969, 2, 109–118. [Google Scholar]
- Hakanson, L. Ecological risk index for aquatic pollution control. A sedimentological approach. Water Res. 1980, 14, 975–1001. [Google Scholar] [CrossRef]
- Bhat, B.A.; Rather, M.A.; Bilal, T.; Nazir, R.; Qadir, R.U.; Mir, R.A. Plant hyperaccumulators: A state-of-the-art review on mechanism of heavy metal transport and sequestration. Front. Plant Sci. 2025, 16, 1631378. [Google Scholar] [CrossRef]
- Sun, Y.; Zhou, Q.; Diao, C. Effects of cadmium and arsenic on growth and metal accumulation of Cd-hyperaccumulator Solanum nigrum L. Bioresour. Technol. 2008, 99, 1103–1110. [Google Scholar] [CrossRef]
- Zu, Y.; Li, Y.; Schvartz, C.; Langlade, L.; Fan, L. Accumulation of Pb, Cd, Cu and Zn in plants and hyperaccumulator choice in Lanping leadzinc mine area. China Envrion. Int. 2004, 30, 567–576. [Google Scholar]
- Chitimus, D.; Nedeff, V.; Mosnegutu, E.; Barsan, N.; Irimia, O.; Nedeff, F. Studies on the accumulation, translocation, and enrichment capacity of soils and the plant species Phragmites australis (common reed) with heavy metals. Sustainability 2023, 15, 8729. [Google Scholar] [CrossRef]
- Canal, S.B.; Bozkurt, M.A.; Yilmaz, H. The effect of humic acid on rapeseed (Brassica napus L.) plant growth, heavy metal uptake, phytoremediation parameters (BCF, TF and TI), and antioxidant activity in heavy metal polluted soil. Yuz. Yıl Univ. J. Agric. Sci. 2022, 32, 237–248. [Google Scholar]
- Skuza, L.; Szućko-Kociuba, I.; Filip, E.; Bożek, I. Natural Molecular Mechanisms of Plant Hyperaccumulation and Hypertolerance towards Heavy Metals. Int. J. Mol. Sci. 2022, 23, 9335. [Google Scholar] [CrossRef]
- Baker, A.J.M.; Whiting, S.N. In search of the Holy Grail a further step in understanding metal hyperaccumulation. New Phytol. 2002, 155, 1–4. [Google Scholar] [CrossRef]
- Shi, P.; Wei, Z.; Jiang, L.; Wang, E. Research on Tolerance of Plants to Heavy Metal in Wastelands of Fushun Hongtoushan Copper Mine. Met. Mine. 2010. Available online: https://kns.cnki.net/kcms2/article/abstract?v=PZRn9VlzpTb19vAq6-XCFPGvqIa7yey4AV1KOmWq5COXLt9FAzzSh2ZWe0VJCqcsxJncLYJvn8RAvND54XoafRgGUkxW759ZHVy7SDMOgPkEGtbnhX6hHJBkPUr8RrHuT1sYsexlvKxBQv0DIUnrDgx0Z4QK2gXMggOHJDubgfVLeXgponTEKA==&uniplatform=NZKPT&language=CHS (accessed on 4 November 2025).
- Ba, V.N.; Thien, B.N.; Phuong, H.T.; Loan, T.T.H.; Anh, T.T. Bioconcentration and translocation of elements from soil to vegetables and associated health risk. J. Food Compos. Anal. 2024, 132, 106296. [Google Scholar] [CrossRef]
- Sharma, P.; Singh, S.P.; Tong, Y.W. Phytoremediation of Metals: Bioconcentration and Translocation Factors; Elsevier: Amsterdam, The Netherlands, 2022. [Google Scholar]
- Aziz, R.A.; Yiwen, M.; Saleh, M.; Salleh, M.N.; Gopinath, S.C.B.; Giap, S.G.E.; Chinni, S.V.; Gobinath, R. Bioaccumulation and translocation of heavy metals in paddy (Oryza sativa L.) and soil in different land use practices. Sustainability 2023, 15, 13426. [Google Scholar] [CrossRef]
- Kim, S.H.; Bae, S.; Hwang, Y.S. Comparative bioaccumulation, translocation, and phytotoxicity of metal oxide nanoparticles and metal ions in soil-crop system. Sci. Total Environ. 2023, 856, 158938. [Google Scholar] [CrossRef]
- Zain, A.S.; Sitogasa, P.S. Potensi Fitoremediasi Salvinia molesta terhadap Logam Berat dalam Limbah Cair: Pendekatan melalui Analisis Biokonsentrasi Faktor dan Faktor Translokasi. J. Serambi Eng. 2025, 10, 14113–14120. [Google Scholar]
- Lawan, A.A.; Inuwa, L.B.; Baba, A.; Mohammed, A.I.; Chellube, Z.M.; Ibrahim, S.; Thliza, B.A. Uptake, Translocation and Hyperaccumulating Potentials of Bahama Grass (Cynodon dactylon) for some Heavy Metals in Soil. Dutse J. Pure Appl. Sci. 2025, 11, 33–41. [Google Scholar] [CrossRef]
- Nemadodzi, M.; Ogola, J.; Mundalamo, H. Metal Bioaccumulation and Translocation Factors in Equisetum ramosissimum at Zaaiplaats Mine, South Africa. J. Solid Waste Technol. Manag. 2025, 51, 421–433. [Google Scholar] [CrossRef]
- Omoregie, A.I.; Ong, D.E.L.; Alhassan, M.; Basri, H.F.; Muda, K.; Ojuri, O.O.; Ouahbi, T. Two decades of research trends in microbial-induced carbonate precipitation for heavy metal removal: A bibliometric review and literature review. Environ. Sci. Pollut. Res. 2024, 31, 52658–52687. [Google Scholar] [CrossRef]
- Oliveira, T. Physiological potential of Swietenia macrophylla seeds and plants in heavy metal contamination for use in phytorremediation as a clean technology. Contrib. Las Cienc. Soc. 2024, 17, 9. [Google Scholar] [CrossRef]
- Pan, Z.; Zhang, S.; Ren, D.; Zhang, X.; Liu, S. Growth and accumulation of Cu and Zn by Commelina communis under Cu, Zn and their combined pollution. Int. J. Environ. Pollut. 2021, 69, 197–211. [Google Scholar] [CrossRef]
- Fu, J.; Ran, M.; Zhou, H.; Jiao, Y.; Shi, Y.; Li, J. Enhancing Copper (Cu) Phytostabilization Efficiency of Commelina communis by Inoculating with Endophytic bacillus sp. D2: Impacts on Plant Growth, Soil Ecological Characteristics, and Underground Bacterial Community. Water Air Soil Pollut. 2025, 236, 322. [Google Scholar] [CrossRef]
- Liu, W.; Tang, R.; Peng, X.; Yang, X.; Wang, Y.; Hu, H. Synergistic Effects of Phosphorus and EDDS on Enhancing Phytoremediation Efficiency of Ricinus communis L. in Cu and Cd Co-Contaminated Soils. Agriculture 2025, 15, 2153. [Google Scholar] [CrossRef]
- Kricsfalusy, V.; Chakma, K. Prediction of Potential Habitat Distributions and Climate Change Impacts on Six carex L. Species of Conservation Concern in Canada. Conservation 2025, 5, 55. [Google Scholar] [CrossRef]
- Tammaru, K.; Košnar, J.; Abbas, A.F.; Barta, K.A.; de Bello, F.; Harrison, S.; Degli, E.I.; Kiss, R.; Lukács, K.; Neumann, S.M.; et al. Ecological differentiation of Carex species coexisting in a wet meadow: Comparison of pot and field experiments. Acta Oecologica 2021, 110, 103692. [Google Scholar] [CrossRef]
- Soudani, A.; Gholami, A.; Mohammadi Roozbahani, M.; Sabzalipour, S.; Mojiri, A. Heavy metal phytoremediation of aqueous solution by Typha domingensis. Aquat. Ecol. 2022, 56, 513–523. [Google Scholar] [CrossRef]










Disclaimer/Publisher’s Note: The statements, opinions and data contained in all publications are solely those of the individual author(s) and contributor(s) and not of MDPI and/or the editor(s). MDPI and/or the editor(s) disclaim responsibility for any injury to people or property resulting from any ideas, methods, instructions or products referred to in the content. |
© 2026 by the authors. Licensee MDPI, Basel, Switzerland. This article is an open access article distributed under the terms and conditions of the Creative Commons Attribution (CC BY) license.
Share and Cite
Shi, P.; Jiang, L.; Kuznetsova, A.; Ren, Y.; Lu, J.; Siddique, T. Field Discovery and Evaluation of Native Spontaneous Plants for Soil Heavy Metal Pollution and Sustainable Phytoremediation Potential for Mining Wastelands. Sustainability 2026, 18, 1923. https://doi.org/10.3390/su18041923
Shi P, Jiang L, Kuznetsova A, Ren Y, Lu J, Siddique T. Field Discovery and Evaluation of Native Spontaneous Plants for Soil Heavy Metal Pollution and Sustainable Phytoremediation Potential for Mining Wastelands. Sustainability. 2026; 18(4):1923. https://doi.org/10.3390/su18041923
Chicago/Turabian StyleShi, Ping, Lin Jiang, Alsu Kuznetsova, Yiwei Ren, Jun Lu, and Tariq Siddique. 2026. "Field Discovery and Evaluation of Native Spontaneous Plants for Soil Heavy Metal Pollution and Sustainable Phytoremediation Potential for Mining Wastelands" Sustainability 18, no. 4: 1923. https://doi.org/10.3390/su18041923
APA StyleShi, P., Jiang, L., Kuznetsova, A., Ren, Y., Lu, J., & Siddique, T. (2026). Field Discovery and Evaluation of Native Spontaneous Plants for Soil Heavy Metal Pollution and Sustainable Phytoremediation Potential for Mining Wastelands. Sustainability, 18(4), 1923. https://doi.org/10.3390/su18041923

