Eco Rehabilitation at Real Scale of a Water Stream with Acid Mine Drainage Traits
Abstract
1. Introduction
2. Study Area Setting
2.1. Location of Água Forte (AF) Stream
2.2. Meteorological Data
2.3. Physical and Chemical Characterization of Water Quality of AF Stream
3. Materials and Methods
3.1. EFBs Installation
3.2. Experimental Procedure
Sampling Strategy
3.3. Data Treatment
4. Results and Discussion
4.1. Hydraulic EFBs Characterization
4.2. Physical Parameters Monitoring
4.2.1. pH and Electrical Potential (Eh)
4.2.2. Electrical Conductivity (EC) and Total Dissolved Solids (TDS)
4.2.3. Dissolved Oxygen (DO)
4.3. Chemical Parameters and Nutrients Monitoring
4.3.1. Chemical Oxygen Demand (COD)
4.3.2. Sulphates (SO42−) and Chlorides (Cl−)
4.3.3. Ammoniacal Nitrogen (NH4+-N) and Total Phosphorus (TP)
4.4. Heavy Metals Monitoring
4.4.1. Zinc (Zn2+)
4.4.2. Copper (Cu2+)
4.4.3. Iron (Fe2+)
4.4.4. Manganese (Mn2+)
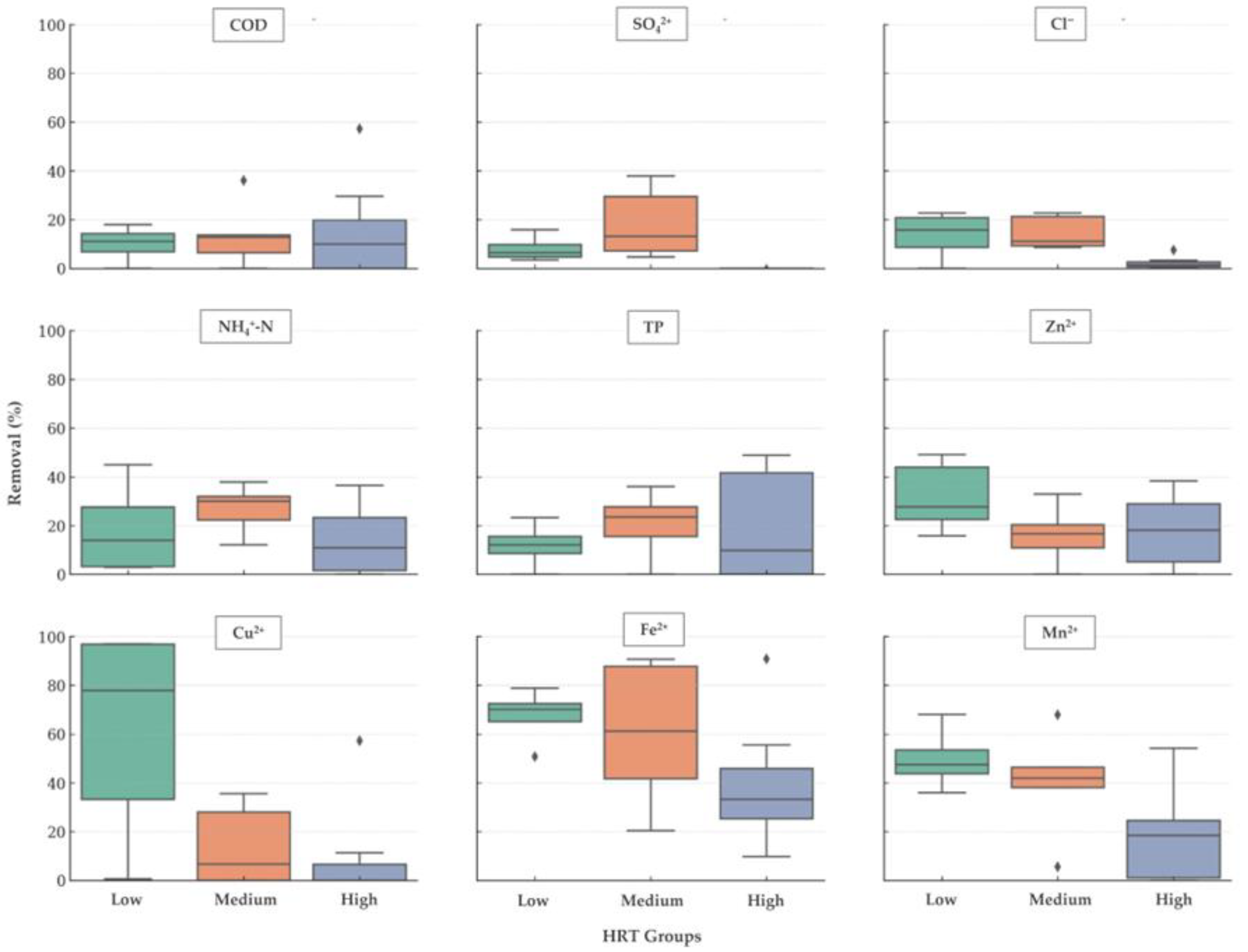
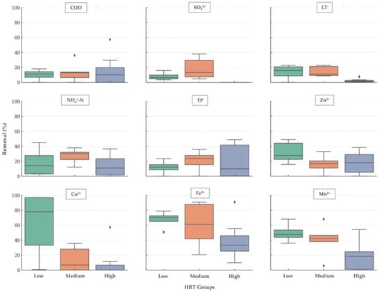
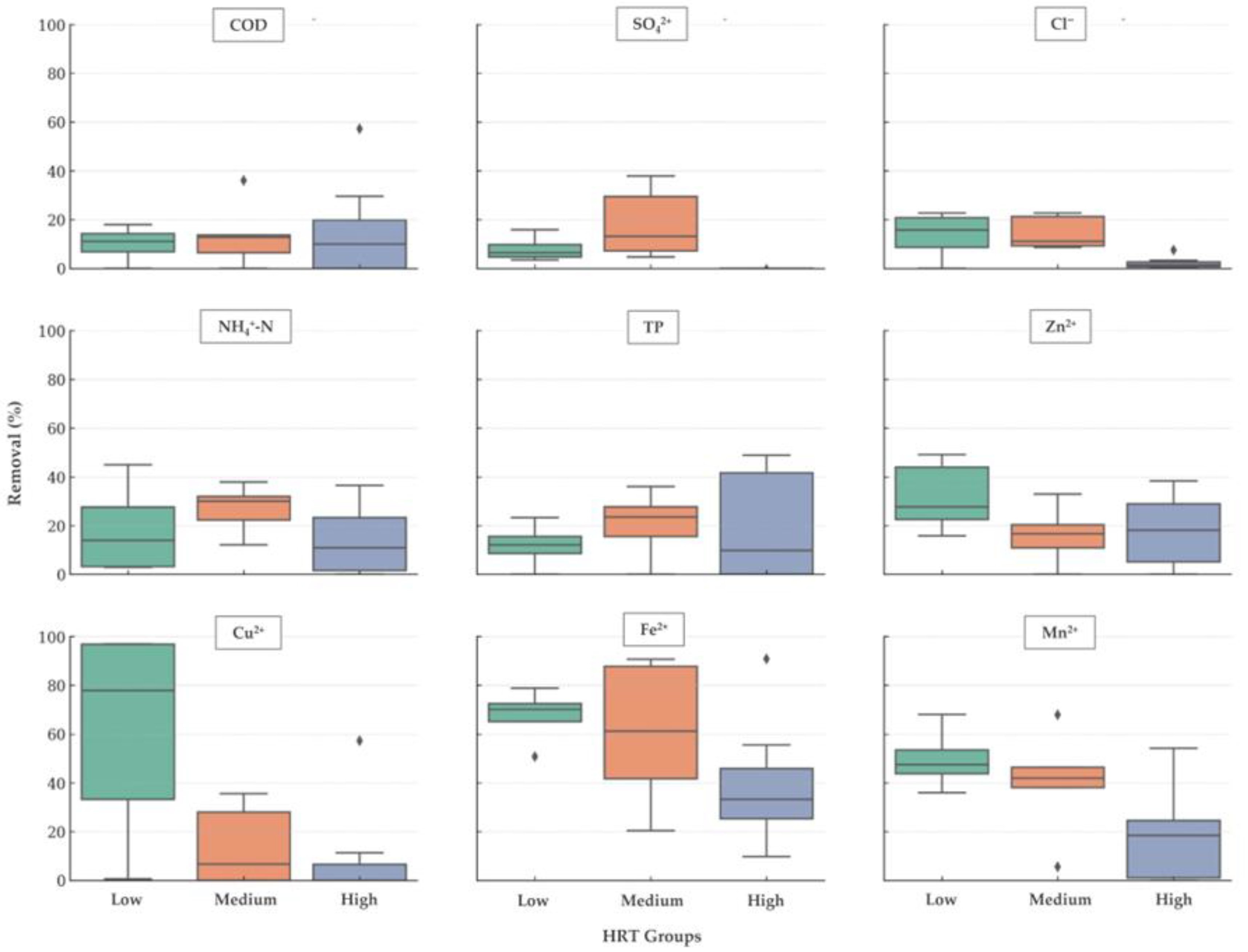
4.5. Hydraulic Retention Time (HRT) Treatment Influence
5. Conclusions
Author Contributions
Funding
Institutional Review Board Statement
Informed Consent Statement
Data Availability Statement
Acknowledgments
Conflicts of Interest
Appendix A

References
- Borralho, T.; Durão, A. Qualidade da Água da Albufeira do Roxo na Dinâmica dos Solos e Culturas Agrícolas (QARSC); Associação de Regantes do Roxo, Instituto Politécnico de Beja, Universidade de Évora: Aljustrel, Portugal, 2016; pp. 25–45. [Google Scholar]
- Agência Portuguesa do Ambiente. Plano de Gestão da Região Hidrográfica do Sado e Mira (RH6) 2022–2027: Parte Sobre Qualidade da Água Superficial. Lisboa: Agência Portuguesa do Ambiente. 2022. Available online: https://tinyurl.com/apa-ambiente (accessed on 10 October 2025).
- Lange, M.A. Climate Change in the Mediterranean: Environmental Impacts and Extreme Events. In IEMed. Mediterranean Editions Yearbook 2020; European Institute of the Mediterranean: Girona, Spain, 2020. [Google Scholar]
- Tomaz, A.; Catarino, A.; Tomaz, P.; Fabião, M.; Palma, P. Patterns, Risks, and Forecasting of Irrigation Water Quality Under Drought Conditions in Mediterranean Regions. Water 2025, 17, 1783. [Google Scholar] [CrossRef]
- Joseph, L.; Jun, B.M.; Joseph, R.V.F.; Park, C.M.; Yoon, Y. Removal of heavy metals from water sources in the developing world using low-cost materials: A review. Chemosphere 2019, 229, 142–159. [Google Scholar] [CrossRef] [PubMed]
- Jiao, Y.; Zhang, C.; Su, P.; Tang, Y.; Huang, Z.; Ma, T. A review of acid mine drainage: Formation mechanism, treatment technology, typical engineering cases and resource utilization. Process Saf. Environ. Prot. 2023, 170, 1240–1260. [Google Scholar] [CrossRef]
- Werner, T.T.; Bebbington, A.; Gregory, G. Assessing impacts of mining: Recent contributions from GIS and remote sensing. Extr. Ind. Soc. 2019, 6, 993–1012. [Google Scholar] [CrossRef]
- Gupta, V.; Courtemanche, J.; Gunn, J.J.; Mykytczuk, N. Shallow floating treatment wetland capable of sulfate reduction in acid mine drainage impacted waters in a northern climate. J. Environ. Manag. 2020, 263, 110351. [Google Scholar] [CrossRef]
- Grande, J.A.; Luís, A.T.; Santisteban, M.; Dávila, J.M.; Sarmiento, A.M.; Fortes, J.C.; Ferreira da Silva, E.; Córdoba, F. A common paragenesis and two A.M.D. pollution sources in the Iberian Pyrite Belt (SW Spain): Proposal of a natural attenuation model in the affected fluvial network. J. Iber. Geol. 2022, 2, 191–204. [Google Scholar] [CrossRef]
- Oliveira, J. Fenómenos de Contaminação Metálica Associados à Evolução Supergénica de Paragéneses Sulfuretadas em Formações do Silúrico Caminha, N Portugal. Master’s Thesis, Universidade do Minho, Caminha, Portugal, 2011. Available online: https://hdl.handle.net/1822/19721 (accessed on 10 July 2025).
- Borralho, T.; Gago, D.; Almeida, A. Study on the Application of Floating Beds of Macrophites (Vetiveria zizanioides and Phragmites australis) in Pilot Scale for the Removal of Heavy Metals from AF Stream (Alentejo-Portugal). J. Ecol. Eng. 2020, 21, 153–163. [Google Scholar] [CrossRef]
- Nie, Z.; Wu, X.; Huang, H.; Fang, X.M.; Xu, C.; Wu, J.Y.; Liang, X.Q.; Shi, J.Y. Tracking fluorescent dissolved organic matter in multistage rivers using EEM-PAAFAC analysis: Implications of the secondary tributary remediation for watershed management. Environ. Sci. Pollut. Res. 2016, 23, 8756–8769. [Google Scholar] [CrossRef]
- European Environment Agency. Nature-Based Solutions in Europe: Policy, Knowledge and Practice for Climate Change Adaptation and Disaster Risk Reduction; Report No 01/2021; Publications Office of the European Union: Copenhagen, Denmark, 2021; ISBN 978-92-9480-362-7. [Google Scholar] [CrossRef]
- Rome, M.; Happel, A.; Dahlenburg, C.; Nicodemus, P.; Schott, E.; Mueller, S.; Lovell, K.; Beighley, R.E. Application of floating wetlands for the improvement of degraded urban waters: Findings from three multi-year pilot-scale installations. Sci. Total Environ. 2023, 877, 162669. [Google Scholar] [CrossRef]
- Arivukkarasu, D.; Sathyanathan, R. Floating wetland treatment an ecological approach for the treatment of water and wastewater—A review. Mater. Today Proc. 2023, 77, 176–181. [Google Scholar] [CrossRef]
- Samal, K.; Kar, S.; Trivedi, S. Ecological floating bed (EFBS) for decontamination of polluted water bodies: Design, mechanism and performance. J. Environ. Manag. 2019, 251, 109550. [Google Scholar] [CrossRef]
- Ge, P.; Chen, M.; Zhang, L.; Song, Y.; Mo, M.; Wang, L. Study on Water Ecological Restoration Technology of River. CCESEM IOP Conf. Series. Earth Environ. Sci. 2019, 371, 032025. [Google Scholar] [CrossRef]
- Hossain, M.A.; Chowdhury, R. Remediation of Polluted River Water by Biological, Chemical, Ecological and Engineering Processes. Sustainability 2020, 12, 7017. [Google Scholar] [CrossRef]
- Walker, C.; Tondera, K.; Lucke, T. Stormwater treatment evaluation of a constructed floating wetland after two years operation in an urban catchment. Sustainability 2017, 9, 1687. [Google Scholar] [CrossRef]
- Lucke, T.; Walker, C.; Beecham, S. Experimental designs of field-based constructed floating wetland studies: A review. Sci. Total Environ. 2019, 660, 199–208. [Google Scholar] [CrossRef]
- San Miguel, G.; Martín-Girela, I.; Ruiz, D.; Rocha, G.; Curt, M.D.; Aguado, P.L.; Fernández, J. Environmental and economic assessment of a floating constructed wetland to rehabilitate eutrophicated waterways. Sci. Total Environ. 2023, 884, 163817. [Google Scholar] [CrossRef]
- Liang, Y.; Zhang, T.; Cui, W.; Kuang, Z.; Xu, D. Effects of Different Ecological Floating Bed Plant Assemblages on Water Purification and Phytoplankton Community Structure in Shallow Eutrophic Lakes: A Case Study in Lake Taihu. Biology 2025, 14, 807. [Google Scholar] [CrossRef]
- Oktaviyani, D.; Pratiwi, N.T.M.; Krisanti, M.; Susanti, E. Floating treatment wetlands using Vetiveria zizanioides and Heliconia psittacorum in aquaculture wastewater treatment. IOP Conference Series. Earth Environ. Sci. 2023, 1201, 012074. [Google Scholar] [CrossRef]
- Oliveira, G.A.; Colares, G.S.; Lutterbeck, C.A.; Dell’Osbel, N.; Machado, E.L.; Rodrigues, L.R. Floating treatment wetlands in domestic wastewater treatment as a decentralized sanitation alternative. Sci. Total Environ. 2021, 773, 145609. [Google Scholar] [CrossRef]
- Yadav, S.; Kumar, J.; Malyan, S.K.; Singh, R.; Singh, O.; Goyal, V.C.; Singh, J.; Negi, R. Evaluating Pilot-Scale Floating Wetland for Municipal Wastewater Treatment Using Canna indica and Phragmites australis as Plant Species. Sustainability 2023, 15, 13601. [Google Scholar] [CrossRef]
- Schück, M.; Greger, M. Plant traits related to the heavy metal removal capacities of wetland plants. Int. J. Phytoremediat. 2020, 22, 427–435. [Google Scholar] [CrossRef]
- Sharma, R.; Vymazal, J.; Malaviya, P. Application of floating treatment wetlands for stormwater runoff: A critical review of the recent developments with emphasis on heavy metals and nutrient removal. Sci. Total Environ. 2021, 777, 146044. [Google Scholar] [CrossRef]
- Dorafshan, M.M.; Abedi-Koupai, J.; Eslamian, S.; Amiri, M.J. Vetiver Grass (Chrysopogon zizanoides L.): A hyper-accumulator crop for bioremediation of unconventional water. Sustainability 2023, 15, 3529. [Google Scholar] [CrossRef]
- Thakur, L.S.; Parmar, H.; Varma, A.K.; Chaurasia, A.K.; Mondal, P. Removal of Manganesee from synthetic wastewater by Vetiveria zizanioides. Mater. Today Proc. 2023, 72 Pt 5, 2687–2690. [Google Scholar] [CrossRef]
- Mao, J.; Hu, G.; Deng, W.; Zhao, W.; Li, J. Industrial wastewater treatment using floating wetlands: A review. Environ. Sci. Pollut. Res. 2024, 31, 5043–5070. [Google Scholar] [CrossRef]
- Hassan, E.A.; Tony, M.A.; Nabwey, H.A.; Awad, M.M. Ecologically engineered systems for treating agriculture runoff by integrating wastes into constructed wetlands. Processes 2023, 11, 396. [Google Scholar] [CrossRef]
- Aryal, M. Phytoremediation strategies for mitigating environmental toxicants. Heliyon 2024, 10, 38683. [Google Scholar] [CrossRef]
- Mohamed, A.R.N.E.; Kasem, A.M.M.A.; Ghanem, A.E.M.F.M.; Badry, M.O. Green solutions for heavy metal pollution in the aquatic environment of the Nile Islands: Cues from some submerged and emergent macrophytes. Water Air Soil Pollut. 2025, 236, 410. [Google Scholar] [CrossRef]
- Bista, S.; Karki, B.K.; Maharjan, R. A Review Paper on Floating Treatment Wetlands: Working Principles and Applications for River Water Remediation. J. Advanced College Eng. Manag. 2025, 10, 13–30. [Google Scholar] [CrossRef]
- Sun, S.; Zhang, M.; Gu, X.; He, S.; Tang, L. Microbial response mechanism of plants and zero valent iron in ecological floating bed: Synchronous nitrogen, phosphorus removal and greenhouse gas emission reduction. J. Environ. Manag. 2022, 324, 116326. [Google Scholar] [CrossRef]
- Portuguese Law-Decreto-Lei 92/2019, 1 Julho 2019, Assembleia da República. Diário da República, 1.ª Série—N.º 130; INCM: Lisboa, Portugal, 2019; pp. 5688–5724. Available online: https://tinyurl.com/Decree-Law-1 (accessed on 10 July 2025).
- Ramos-Arcos, S.A.; González-Mondragón, E.G.; López-Hernández, E.S.; Rodríguez-Luna, A.R.; Morales-Bautista, C.M.; Lagunas-Rivera, S.; López-Martínez, S. Phytoremediation Potential of Chrysopogon zizanioides for Toxic Elements in Contaminated Matrices. In Biodegradation Technology of Organic and Inorganic Pollutants; Mendes, K.F., Sousa, N., Mielke, K.C., Eds.; IntechOpen: London, UK, 2022. [Google Scholar] [CrossRef]
- Davamani, V.; Parameshwari, C.I.; Arulmani, C.; John, J.E.J.; Poornima, R. Hydroponic phytoremediation of paperboard mill wastewater by using vetiver (Chrysopogon zizanioides). J. Environ. Chem. Eng. 2021, 9, 105528. [Google Scholar] [CrossRef]
- Anning, A.K.; Akoto, R. Assisted phytoremediation of heavy metal contaminated soil from a mined site with Typha latifolia and Chrysopogon zizanioides. Ecotoxicol. Environ. Saf. 2018, 148, 97–104. [Google Scholar] [CrossRef] [PubMed]
- Gautam, M.; Agrawal, M. Phytoremediation of metals using vetiver (Chrysopogon zizanioides (L.) Roberty) grown under different levels of red mud in sludge amended soil. J. Geochem. Explor. 2017, 182, 218–227. [Google Scholar] [CrossRef]
- Suelee, A.L.; Hasan, S.N.M.S.; Kusin, F.M.; Yusuff, F.M.; Ibrahim, Z.Z. Phytoremediation Potential of Vetiver Grass (Vetiveria zizanioides) for Treatment of Metal-Contaminated. Water Air Soil Pollut. 2017, 228, 158. [Google Scholar] [CrossRef]
- Kusin, F.M.; Has, S.N.M.S.; Nordin, N.A.; Mohamat-usuff, F.; Ibraim, Z.Z. Floating vetiver island (FVI) and implications for treatment system design of polluted running water. Appl. Ecol. Environ. Res. 2019, 17, 497–510. [Google Scholar] [CrossRef]
- Pavlineri, N.; Skoulikidis, N.T.; Tsihrintzis, V.A. Constructed floating wetlands: A review of research, design, operation and management aspects, and data meta-analysis. Chem. Eng. J. 2017, 308, 1120–1132. [Google Scholar] [CrossRef]
- Alvarenga, P.; Guerreiro, N.; Simões, I.; Imaginário, M.J.; Palma, P. Assessment of the Environmental Impact of Acid Mine Drainage on Surface Water, Stream Sediments, and Macrophytes Using a Battery of Chemical and Ecotoxicological Indicators. Water 2021, 13, 1436. [Google Scholar] [CrossRef]
- Chen, J.; Li, X.; Jia, W.; Shen, S.; Deng, S.; Ji, B.; Chang, J. Promotion of bioremediation performance in constructed wetland microcosms for acid mine drainage treatment by using organic substrates and supplementing domestic wastewater and plant litter broth. J. Hazard. Mater. 2021, 404, 124125. [Google Scholar] [CrossRef]
- Kiiskila, J.D.; Sarkar, D.; Panja, S.; Sahi, S.V.; Datta, R. Remediation of acid mine drainage-impacted water by vetiver grass (Chrysopogon zizanioides): A multiscale long-term study. Ecol Eng. 2019, 129, 97–108. [Google Scholar] [CrossRef]
- Palihakkara, C.R.; Dassanayake, S.; Chulantha Jayawardena, C.; Senanayake, I.P. Floating Wetland Treatment of Acid Mine Drainage using Eichhornia crassipes (Water Hyacinth). J. Health Pollut. 2018, 8, 14–19. [Google Scholar] [CrossRef]
- Marwa, A. Evaluation of wetland plants treatment potentials for acid mine drainage in Tanzania. Nigerian J. Technol. 2024, 43, 381–390. [Google Scholar] [CrossRef]
- COTR SAGRA. Sistema Agrometeorológico Para a Gestão da Rega No Alentejo (Agrometeorological System for Irrigation Management in Alentejo). Available online: http://www.cotr.pt/servicos/sagranet.php (accessed on 1 August 2025).
- IPMA. Drought Monitoring. Available online: https://www.ipma.pt/pt/oclima/observatorio.secas/ (accessed on 30 August 2025).
- Portuguese Law-Decreto-Lei 236/98, 1 Agosto 1998. Diário da República n º 176/98–I Série A; Ministério do Ambiente: Lisboa, Portugal, 1998; pp. 3677–3722. Available online: https://tinyurl.com/Decree-Law-2 (accessed on 10 July 2025).
- Critérios para a Classificação do Estado das Massas de Água Superficiais. Available online: https://tinyurl.com/58hmvkmc (accessed on 21 July 2025).
- APHA. Standard Methods for Examination of Water and Wastewater, 22nd ed.; American Public Health Association: Washington, DC, USA, 2012. [Google Scholar]
- APHA. Standard Methods for Examination of Water and Wastewater, 23rd ed.; American Public Health Association: Washington, DC, USA, 2017. [Google Scholar]
- Kadlec, R.H.; Wallace, S. Treatment Wetlands, 2nd ed.; CRC Press, Taylor & Francis Group: Boca Raton, NY, USA, 2008; pp. 21–25. [Google Scholar]
- Nagoum, I.; Edahbi, M.; Meliá, J.A.H.K.; Rodriguez, M.; Durães, N.; Pascual, B.A.; Salmoun, F. Passive Treatment of Acid Mine Drainage Effluents Using Constructed Wetlands: Case of an Abandoned Iron Mine, Morocco. Water 2025, 17, 687. [Google Scholar] [CrossRef]
- Wang, X.; Wu, Y.; Chen, N.; Piao, H.; Sun, D.; Ratnaweera, H.; Maletskyi, Z.; Bi, X. Characterization of Oxidation-Reduction Potential Variations in Biological Wastewater Treatment Processes: A Study from Mechanism to Application. Processes 2022, 10, 2607. [Google Scholar] [CrossRef]
- Gabr, M.E.; Salem, M.; Mahanna, H.; Mossad, M. Floating Wetlands for Sustainable Drainage Wastewater Treatment. Sustainability 2022, 14, 6101. [Google Scholar] [CrossRef]
- Ali, M.; Aslam, A.; Qadeer, A.; Javied, S.; Nisar, N.; Hassan, N.; Hussain, A.; Ali, B.; Iqbal, R.; Chaudhary, T.; et al. Domestic wastewater treatment by Pistia stratiotes in constructed wetland. Sci. Rep. 2024, 14, 7553. [Google Scholar] [CrossRef]
- Skousen, J.; Zipper, C.E.; Rose, A.; Ziemkiewicz, P.F.; Nairn, R.; McDonald, L.M.; Kleinman, R.L. Review of Passive Systems for Acid Mine Drainage Treatment. Mine Water Environ. 2017, 36, 133–153. [Google Scholar] [CrossRef]
- Vymazal, J. Constructed wetlands for wastewater treatment: Five decades of experience. Environ. Sci. Pollut. Res. 2011, 45, 61–69. [Google Scholar] [CrossRef]
- Nadagouda, A.N.; Varshney, G.; Varshney, V.; Charifa, A.; Hejase, C.A. Recent Advances in Technologies for Phosphate Removal and Recovery: A Review. ACS Environ. Au 2024, 4, 271–291. [Google Scholar] [CrossRef]
- Kill, K.; Grinberga, L.; Koskiaho, J.; Mander, Ü.; Wahlroos, O.; Lauva, D.; Pärn, J.; Kasak, K. Phosphorus removal efficiency by in-stream constructed wetlands treating agricultural runoff: Influence of vegetation and design. Ecol. Eng. 2022, 180, 106664. [Google Scholar] [CrossRef]
- Liu, W.; Yang, F.J.; Zhou, Y.L.; Li, Y.Y.; Liu, H.; Dan, A. Optimization and mechanism of phosphorus removal in plant-biofilm oxidation ditches: Plant uptake, iron plaque adsorption, and rhizosphere regulation. Ecol. Eng. 2023, 196, 106950. [Google Scholar] [CrossRef]
- Shen, Y.T.; Hou, S.N.; Hu, S.L.; Miao, Y.Q.; Cui, H.; Zhu, H. Water purification capacity of ecological ditch: A systematic review and meta-analysis of influencing factors. Ecol. Eng. 2024, 204, 107280. [Google Scholar] [CrossRef]
- Chu, X.; Zhao, F.; Liu, Y.; Xiao, J.; Ma, X.; Yan, Z. Phosphorus activation from phosphorus-saturated substrates by constructed wetlands plants: Performance and mechanism. J. Water Process Eng. 2025, 71, 107219. [Google Scholar] [CrossRef]
- Boynukisa, E.; Schück, M.; Greger, M. Differences in metal accumulation from stormwater by three plant species growing in floating treatment wetlands in a cold climate. Water Air Soil Pollut. 2023, 234, 235. [Google Scholar] [CrossRef]
- Barco, A.; Borin, M. Treatment performances of floating wetlands: A decade of studies in North Italy. Ecol. Eng. 2020, 158, 106016. [Google Scholar] [CrossRef]
- Vo, T.K.Q.; Vo, T.D.H.; Ngatia, E.; Amulya, K.; Nguyen, N.K.Q.; Tran, P.Y.N.; Ninh, N.T.T.; Le, S.L.; Le, L.T.; Tran, C.S.; et al. Pilot and full-scale applications of floating treatment wetlands for treating diffuse pollution. Sci. Total Environ. 2023, 899, 165595. [Google Scholar] [CrossRef]
- Bokhari, S.H.; Ahmad, I.; Ul-Hassan, M.M.; Mohammad, A. Phytoremediation potential of Lemna minor L. for heavy metals. Int. J. Phytoremediat. 2016, 18, 25–32. [Google Scholar] [CrossRef]
- Okeleji, O.A.; Ioannidou, V.G. Seasonal Variation of Iron Removal in Coal Mine Water Discharge Lagoons and Constructed Wetlands. Environ. Processes 2025, 12, 29. [Google Scholar] [CrossRef]











| Parameter | Units | AF Water Quality [11] | Irrigation Water Quality [51] | Ecological State [52] | |
|---|---|---|---|---|---|
| RMV 1 | MAV 2 | ||||
| pH | Sorensen Scale | 3.2 ± 0.1 | 6.5–8.4 | 4.5–9 | 6–9 |
| T | °C | 17 ± 2 | - | - | - |
| Eh | mV | 522 ± 19 | - | - | - |
| EC | µS·cm−1 20 °C | 1813 ± 117 | - | - | - |
| DO | mg·L−1 | 7 ± 1 | - | - | ≥5 |
| COD | mg·L−1 O2 | 30 ± 3 | - | - | - |
| BOD5 | mg·L−1 O2 | 4 ± 0 | - | - | ≤6 |
| B3+ | mg·L−1 | 0.3 ± 0.1 | 0.3 | 3.7 | - |
| PO43− | mg·L−1 | 0.007 ± 0.001 | - | - | - |
| TP | mg·L−1 | 0.009 ± 0.001 | - | - | ≤0.13 |
| TN | mg·L−1 | 11± 2 | - | - | - |
| NH4+ | mg·L−1 | 9 ± 2 | - | - | ≤1 |
| NH3− | mg·L−1 | 7 ± 1 | 50 | - | ≤25 |
| SO42− | mg·L−1 | 826 ± 321 | 575 | - | - |
| Cl− | mg·L−1 | 208 ± 21 | 70 | - | - |
| F− | mg·L−1 | 1.0 ± 0.0 | 1.0 | 15 | - |
| TSS | mg·L−1 | 17 ± 1 | 60 | - | - |
| TDS | mg·L−1 | 1238 ± 232 | - | - | - |
| Zn2+ | mg·L−1 | 13 ± 2 | 2 | 10 | - |
| Fe2+ | mg·L−1 | 8 ± 1 | 5 | - | - |
| Cu2+ | mg·L−1 | 3 ± 1 | 0.20 | 5 | - |
| Mn2+ | mg·L−1 | 7 ± 1 | 0.20 | 10 | - |
| Time (Months) | Water Level (m) | Width (m) | Flow Rate (m3·s−1) | HRT (min) |
|---|---|---|---|---|
| May 2020 | 1.0 | 9.0 | 0.07 | 2.6 |
| June 2020 | 0.9 | 9.0 | 0.06 | 2.6 |
| July 2020 | 1.0 | 8.9 | 0.05 | 3.7 |
| August 2020 | n.d. | n.d. | n.d. | n.d. |
| September 2020 | 1.4 | 9.0 | 0.03 | 2.2 |
| October 2020 | 1.0 | 9.2 | 0.05 | 3.6 |
| November 2020 | 1.0 | 9.3 | 0.09 | 1.8 |
| December 2020 | 1.4 | 9.0 | 0.03 | 9.3 |
| January 2021 | n.d. | n.d. | n.d. | n.d. |
| February 2021 | 1.6 | 9.9 | 0.60 | 0.4 |
| March 2021 | 2.1 | 9.2 | 0.20 | 1.8 |
| April 2021 | 0.90 | 8.9 | 0.08 | 1.9 |
| May 2021 | 1.2 | 8.9 | 0.01 | 19 |
| June 2021 | 0.90 | 8.8 | 0.01 | 19 |
| July 2021 | 1.0 | 8.9 | 0.01 | 19 |
| August 2021 | 1.3 | 8.7 | 0.01 | 19 |
| September 2021 | 1.1 | 9.0 | 0.05 | 3.7 |
| October 2021 | 1.2 | 8.1 | 0.70 | 0.30 |
| November 2021 | 1.1 | 7.4 | 0.04 | 4.5 |
Disclaimer/Publisher’s Note: The statements, opinions and data contained in all publications are solely those of the individual author(s) and contributor(s) and not of MDPI and/or the editor(s). MDPI and/or the editor(s) disclaim responsibility for any injury to people or property resulting from any ideas, methods, instructions or products referred to in the content. |
© 2025 by the authors. Licensee MDPI, Basel, Switzerland. This article is an open access article distributed under the terms and conditions of the Creative Commons Attribution (CC BY) license (https://creativecommons.org/licenses/by/4.0/).
Share and Cite
Borralho, T.; Ferreira, R.A.; Almeida, A.; Durão, A. Eco Rehabilitation at Real Scale of a Water Stream with Acid Mine Drainage Traits. Sustainability 2025, 17, 10064. https://doi.org/10.3390/su172210064
Borralho T, Ferreira RA, Almeida A, Durão A. Eco Rehabilitation at Real Scale of a Water Stream with Acid Mine Drainage Traits. Sustainability. 2025; 17(22):10064. https://doi.org/10.3390/su172210064
Chicago/Turabian StyleBorralho, Teresa, Renata A. Ferreira, Adelaide Almeida, and Anabela Durão. 2025. "Eco Rehabilitation at Real Scale of a Water Stream with Acid Mine Drainage Traits" Sustainability 17, no. 22: 10064. https://doi.org/10.3390/su172210064
APA StyleBorralho, T., Ferreira, R. A., Almeida, A., & Durão, A. (2025). Eco Rehabilitation at Real Scale of a Water Stream with Acid Mine Drainage Traits. Sustainability, 17(22), 10064. https://doi.org/10.3390/su172210064

