Next Article in Journal
Can Government Regulation Promote the Development of Agricultural Insurance Technology? Evidence from China
Next Article in Special Issue
Contamination Analysis of an Old Croatian Industrial Site and Proposals for Its Planned Remediation and Repurposing
Previous Article in Journal
Underdevelopment of Agri- and Rural Tourism in the Agrarian Regions of Northern Kazakhstan: Determinants of the Underdog
Previous Article in Special Issue
Stakeholder Collaboration for Effective ESG Implementation for Forests: Applying the Resource-Based View and Delphi
 
 
Font Type:
Arial Georgia Verdana
Font Size:
Aa Aa Aa
Line Spacing:
Column Width:
Background:
Article

Baseline Ecological Insights of Vegetation and Carbon Stocks Assessment in Probolinggo Natural Mangrove Forests

1
Warm Temperate and Subtropical Forest Research Center, National Institute of Forest Science, 22 Donnaeko-ro, Seogwipo-si 63582, Jeju-do, Republic of Korea
2
Forestry Study Program, Faculty of Agriculture and Animal Science, University of Muhammadiyah Malang, Tlogomas Street, Malang 65144, East Java, Indonesia
3
Department of Aquatic Resources Management, Faculty of Agriculture, Science and Technology, Warmadewa University, Terompong Street, Denpasar 80239, Bali, Indonesia
*
Author to whom correspondence should be addressed.
Sustainability 2026, 18(4), 1906; https://doi.org/10.3390/su18041906
Submission received: 29 December 2025 / Revised: 30 January 2026 / Accepted: 3 February 2026 / Published: 12 February 2026
(This article belongs to the Special Issue Land Use and Sustainable Environment Management)

Abstract

Flooding and sea-level rise are recurrent challenges in Probolinggo Regency, driven by the anthropogenic degradation of mangrove forests. Although restoration initiatives are ongoing, the vegetation condition of natural mangrove forests remain poorly characterized. The aim of this study was to provide a baseline ecological assessment of natural mangrove forests across Probolinggo Regency by evaluating vegetation structure and carbon stocks. Using a purposive sampling method, species composition, vegetation height, and diameter at breast height (DBH) were measured in 33 plots across eight subdistricts. Avicennia marina and Rhizophora mucronata were the dominant species, with relative abundances varying spatially. Saplings represented the most abundant growth stage. Kraksaan subdistrict exhibited the highest Shannon–Wiener diversity index (H’ = 1.8), whereas Sumberasih had the lowest (H’ = 0.9). Species richness (R) ranged from low to moderate, evenness (E) was consistently high, and dominance (C) was low in all subdistricts. Carbon stocks were highest in Dringu (508.1 Mg C ha−1) and lowest in Tongas (87.6 Mg C ha−1). Overall, the natural mangrove forests in Probolinggo Regency appeared to be in an early to mid-successional stage because of past degradation, highlighting the need for continuous monitoring to support vegetation recovery and sustain ecosystem services.

1. Introduction

Mangroves play a crucial ecological role in coastal protection, biodiversity conservation, and safeguarding the livelihoods of coastal communities [1,2]. In Probolinggo Regency, mangrove ecosystems are under severe anthropogenic pressure, which causes climate change impacts such as sea-level rise and coastal hazards [3,4,5]. Effective mangrove restoration therefore requires a robust ecological understanding to ensure long-term sustainability.
Natural mangrove forests provide essential ecosystem services, including significant carbon sinks [6,7,8,9], biodiversity support, shoreline protection, and climate regulations [10,11,12,13]. Assessing their ecological condition through analyses of species diversity and composition is important for determining their health and resilience. Ecological assessments include measurements of vegetation structure, species presence and dominance, and productivity, which determine the effects of environmental stress on anthropogenic pressures [14]. In this context, the estimation of biomass and carbon stocks is critical for evaluating the contribution of existing mangrove forests to the global carbon cycle, as mangroves store substantial amounts of both above- and belowground carbon. Integrated ecological assessments are essential for establishing a scientific evidence-based baseline for identifying conservation priorities and guiding the improvement of restoration programs.
Probolinggo Regency, like many coastal regions in Indonesia—particularly on Java Island—has experienced extensive degradation of natural mangrove forests owing to aquacultural expansion and human development [15,16,17]. Studies on vegetation and ecological assessment in this region are spatially limited [18], with most focusing on faunal ecology or socio-economic aspects. To address this gap, this study evaluated the current ecological condition of natural mangrove forests across all subdistricts of Probolinggo Regency by analyzing vegetation structure and composition and estimating biomass and carbon stocks. These results provide a comprehensive overview of the present ecological state, supporting the development of more effective and ecologically informed restoration strategies that align with original habitat characteristics and enhance climate regulation through carbon sequestration and storage.
In this study, we hypothesized that: (i) species diversity differs significantly among subdistricts, indicating environmental variations and disturbance history; (ii) species dominance patterns, as indicated by the Importance Value Index (IVI), richness, evenness, and dominance, vary across subdistricts, indicating species adaptability to environmental variability; and (iii) biomass and carbon stocks vary among subdistricts, corresponding to differences in species composition and structure. These findings are intended to establish a scientifically grounded reference to inform restoration strategies that align species selection with ecological conditions for long-term ecosystem resilience and carbon sequestration.

2. Materials and Methods

2.1. Study Site

This study was conducted in the natural mangrove forests of Probolinggo Regency, East Java, Indonesia, which comprises nine coastal subdistricts. Eight of these subdistricts—Kraksaan, Pajarakan, Gending, Mayangan, Kademangan, Sumberasih, Dringu, and Tongas—were selected for ecological assessment from east to west. Paiton (the easternmost district) was excluded owing to the limited extent of its natural mangrove forests. The natural mangrove forests of Kraksaan, Pajarakan, Gending, Dringu, and Tongas are located downstream of several large rivers that transport sand and mud sediments, resulting in predominantly sand–mud substrates in these areas. In contrast, the mangrove forests in Mayangan, Kademangan, and Sumberasih are characterized by sand-dominated substrates derived from volcanic materials originating from Mount Bromo. Overall, the mangrove substrates across Probolinggo Regency are broadly similar, consisting mainly of sand–mud substrates shaped by sediment inputs and strong wave dynamics. The coastline of Probolinggo Regency spans approximately 74.2 km and has a total mangrove forest area (including both natural and restored forests) of 1286.5 ha [15].
Bordering the Madura Strait, the coastline is exposed to strong wave action and high tidal currents, which present significant challenges for mangrove reforestation and natural regeneration. The ongoing loss of mangrove cover has increased the region’s vulnerability to natural hazards, including strong winds, tidal inundation, sea-level rise, and flooding (Figure 1). These impacts have adversely affected local tourism and livelihoods have been adversely affected, contributing to economic instability and raising concerns regarding long-term environmental sustainability.
Data on the mangrove and aquaculture areas in Probolinggo Regency were extracted from the 2023 spatial database of TGE Watershed and Natural Resource Management Agency, Ministry of Forestry, Indonesia. Aquaculture expansion continues to exceed mangrove conservation efforts, with aquaculture areas covering approximately 1.5 times the area of remaining mangrove forest. Maps of the study sites and the distribution of mangrove forests and aquaculture areas are shown in Figure 2 and Figure 3, respectively.

2.2. Vegetation Inventory

Vegetation data inventories were conducted from September 2024 to February 2025 using a quantitative, field-based approach to document the taxonomic composition and spatial distribution of mangrove species across eight subdistricts of Probolinggo Regency. This study focused exclusively on natural mangrove forests to assess the existing plant species without the influence of restoration interventions. Prior to field surveys, satellite imagery was used to identify candidate sampling areas. Mangrove stands exhibiting heterogeneous canopy colors were classified as natural mangrove forests, whereas areas with uniform canopy colors were excluded because they were considered monospecific or planted areas. Candidate areas were subsequently verified through field survey to confirm accessibility.
A total of 33 permanent sampling plots established using purposive sampling, with the number of plots in each subdistrict varying depending on the extent of mangrove coverage and field accessibility (Table 1). Although zonation-based sampling (seaward–middle–landward) was initially considered, this approach could not be applied consistently because middle or landward zones had been partially or completely lost in several subdistricts owing to land conversion. Therefore, purposive sampling targeting the remaining natural mangrove stands was adopted to ensure comparability among the subdistricts.
Each main plot measured 20 m × 20 m and was used to record vegetation height, diameter at breast height (DBH), and species identity. Within each main plot, subplots of 10 m × 10 m and 5 m × 5 m were established to record tree (DBH > 20 cm), pole (10 ≥ DBH < 19 cm), and sapling (DBH < 10 cm) stages, respectively [16]. The DBH was measured approximately 1.3 m above the highest prop root for Rhizophora spp. and 1.3 m aboveground level for the other species. Local community guides assisted with site access and navigation; however, they had no influence on plot placement or measurements.

2.3. Species Composition and Diversity

Species composition and diversity assesment are essential for understanding ecological conditions and species roles within natural mangrove forests. Ecological indices were used to evaluate disturbance levels and successional status across subdistricts. The results are expected to give explicit recommendations on disturbance level and successional status of the mangrove forests using ecological indices.
The Importance Value Index (IVI) was calculated to assess the ecological significance of each mangrove species within the study area [17]. IVI is derived from three components: Relative Density (RD), Relative Frequency (RF), and Relative Dominance (RDo). These indices provide insights into the dominance or influence of a species in an ecosystem. RD refers to the proportion of individuals of a particular species relative to the total number of individuals of all species in the sampling area. RF indicates how frequently a species appears across sampling plots and is expressed as a percentage of the total species frequency. RDo is based on the total basal area occupied by a species relative to the total basal area of all species within a plot. Higher IVI values indicate greater ecological importance of the species in the community. The formulas used were as follows:
R D i ( % ) = N u m b e r   o f   i n d i v i d u a l s   o f   i   s p e c i e s N u m b e r   o f   a l l   r e c o r d e d   i n d i v i d u a l s   o f   a l l   s p e c i e s   a t   a   p l o t × 100 %
R F i ( % ) = N u m b e r   o f   s u b p l o t s   w h e r e   i   s p e c i e s   f o u n d T o t a l   f r e q u e n c y   o f   a l l   s p e c i e s   a t   a   p l o t × 100 %
R D o i % = B a s a l   a r e a   o f   i   s p e c i e s T o t a l   b a s a l   a r e a   o f   a l l   i n d i v i d u a l s   o f   a l l   s p e c i e s   a t   a   p l o t × 100 %
I V I i = R D + R F + R D o
Species diversity was assessed using the Shannon–Wiener index (H’), which quantifies species heterogeneity within a community. Species diversity was calculated using the following formula:
H = P i l n P i
where H’ is the value of Shannon–Wiener diversity index; Pi is the proportion of individuals of species relative to the total number of individuals; and ln denotes the natural logarithm of Pi. The following scores were used for the standard assessment [18]:
  • H’ ≤ 1 = Low diversity;
  • 1 > H’ < 3 = Intermediate diversity;
  • H’ ≥ 3 = High diversity.
The richness index (R) was calculated to compare biodiversity among different areas or to track changes in biodiversity over time within a specific area. The evenness index (E) was calculated to determine how evenly individuals were distributed among other species within a community. The Simpson’s dominance index (D) was calculated to understand how evenly individuals in a community were distributed among different species. The results of all indices were compared to each subdistrict using the formulas in Table 2. These indices are independent of the total sampling area, allowing valid comparisons among the subdistricts.

2.4. Estimation of Above- and Belowground Biomass and Carbon Stock

The estimation of biomass and carbon stock is a critical component in providing information on forest structure (e.g., tree size and stand density) and quantifying the value and contribution of natural mangrove forests to carbon sequestration and storage. These estimations provide information for evaluating the role of Probolinggo Regency’s natural mangrove forests within global carbon pools.
All mangrove individuals with a DBH ≥ 5 cm were included in the estimation of above and belowground biomass and carbon stock. Aboveground biomass was estimated using allometric equations developed by Chave et al. 2005 [21], while belowground biomass was estimated using equations proposed by Komiyama et al. 2005 [22]. These equations were selected because of their broad applicability to diverse mangrove species, many of which occur in the study area. Wood density ( ρ ) values were obtained from the Global Wood Density Database [23], International Tropical Timber Organization (ITTO), Komiyama et al. (2005) [22], and Kauffman and Donato (2012) [24]. Total above- and belowground biomass was obtained by summing the biomass of all measured trees within each subdistrict, and the results were expressed on a per-hectare basis ( M g   h a 1 ). Carbon stock was estimated by applying a carbon conversion factor to the total biomass and was expressed in megagrams of carbon per hectare ( M g   C   h a 1 ) [24,25]. Additionally, carbon values were converted into carbon dioxide equivalents (CO2eq) and reported in M g   C O 2   h a 1 to reflect the potential climate mitigation value of the mangrove forests. The equations for estimating the biomass and carbon stocks are as follows:
A G B = ρ × e x p ( 1.349 + 1.980 ln D + 0.207 ln D 2 0.00281 ln ( D ) ) 3
B G B = 0.199 ρ 0.899 D 2.22
T G B = A G B + B G B
A G C = A G B × 0.47
B G C = B G B × 0.39
T G C = A G C + B G C
C O 2 e q = T G C × 3.67
  • AGB: aboveground biomass ( M g   h a 1 ).
  • BGB: belowground biomass ( M g   h a 1 ).
  • TGB: total of above- and belowground biomass ( M g   h a 1 ).
  • AGC: aboveground carbon stock ( M g   C   h a 1 ) .
  • BGC: belowground carbon stock ( M g   C   h a 1 ) .
  • TGC: total of above- and belowground carbon stock ( M g   C   h a 1 ) .
  • C O 2 e q : amount of carbon dioxide ( M g   C   h a 1 ).

2.5. Data Analysis

Species diversity indices and compositions were calculated of each subdistrict and compared to assess community structure and species dominance patterns. Biomass and carbon stock estimation were compared to each of the subdistricts to evaluate the capacity of natural mangrove forests in each subdistrict to sequester and store carbon. Both integrated datasets allowed the structural attributes (species diversity and composition) to align directly with ecosystem functions (biomass production and carbon stocks), thereby strengthening the ecological assessment of natural mangrove forests.

3. Results

3.1. Species Taxonomy

Table 3 lists the 12 mangrove species identified in the natural mangrove forests along the coastline of Probolinggo Regency. These species belong to six plant families: Rhizophoraceae, Acanthaceae, Lythraceae, Meliaceae, Euphorbiaceae, and Primulaceae. Among these, Rhizophoraceae had the highest species richness, followed by Acanthaceae and Lythraceae. Meliaceae, Euphorbiaceae, and Primulaceae were each represented by a single species. All taxonomic classifications were verified using the Plants of the World Online database (https://powo.science.kew.org, accessed on 28 December 2025) and relevant botanical literature.

3.2. Species Distribution

Among the 12 species, A. marina and R. mucronata were the most dominant in all subdistricts, followed by A. alba which was absent in the Pajarakan subdistrict (Table 4). R. stylosa was also found in most subdistricts but was absent in Mayangan and Sumberasih. Except for R. apiculata, species within the genera Rhizophora and Avicennia were the most abundant across the study area.
Although B. gymnorrhiza and S. alba were less dominant than Rhizophora and Avicennia spp., four species—X. granatum, E. agallocha, A. corniculatum, and C. tagal—were scarce and occurred only in the Tongas subdistrict. The total number of species found in Kraksaan and Gending was the same (seven species), while six species were found in Pajarakan, and five species were found in Kademangan and Dringu. Mayangan and Sumberasih had the smallest number of total species (three species), and Tongas had the highest number of species (nine species). No clear east to west gradient in species richness was observed across Probolinggo Regency. However, eastern subdistricts generally exhibited moderate species richness compared with western subdistricts, with Tongas being a notable exception.

3.3. Species Composition

Mangrove stand structure across Probolinggo Regency was dominated by the sapling stage, indicating an early phase of forest regeneration (Figure 4). The tree stage was scarce, and the pole stage was at an intermediate level. Among all the subdistricts, only Tongas and Sumberasih showed no tree stands (0%), with the highest predominance of the sapling stage (96.4% and 85.7%, respectively) (Figure 4). The two subdistricts are located west of Probolinggo Regency. The Mayangan and Kademangan subdistricts showed low tree proportions (2.4% and 1.8%, respectively), with saplings representing the dominant growth stage (83.9% and 79.2% for Kademangan and Mayangan, respectively). Moving eastward, Gending exhibited a lower proportion of tree-stage individuals than Dringu; however, no subdistricts had tree-stage proportions exceeding 20%.
Pole-stage proportions varied among subdistrics without a consistent east–west pattern. Tongas exhibited the lowest proportion of pole-stage individuals (3.6%), whereas Gending exhibited the highest (39.4%) (Figure 4). None of the subdistricts showed pole-stage dominance exceeding 50%. These results support the fact that natural mangrove forests in Probolinggo Regency are in the early stages of development.
For each species, large variations in stand density at each developmental stage were recognized in all subdistricts (Table 5). During the sapling stage, the most dominant species in most subdistricts was A. marina (2534 stands ha−1), followed by R. mucronata (1903 stands ha−1), A. alba (866 stands ha−1), and R. stylosa (521 stands ha−1) (Table 4). A. marina and R. mucronata were found in all subdistricts, whereas A. alba was found only in Pajarakan, and R. stylosa was dominant in Pajarakan and absent in Kademangan, Mayangan, and Sumberasih. Tongas exhibited the highest sapling species richness, whereas S. caseolaris was the leas abundant species overall (10 stands ha−1).
The pole-stage stand density was consistently lower than the sapling density across all subdistricts. R. mucronata dominated the pole stage (485 stands ha−1), followed by A. marina (364 stands ha−1) and A. alba (280 stands ha−1). R. mucronata was found in most subdistricts but not in Pajarakan, A. marina was found in all subdistricts, and A. alba was found only in Pajarakan and Tongas. Other species were found in several subdistricts, whereas R. apiculata (33 stands ha−1), B. gymnorrhiza, and X. granatum were found only in Kraksaan (15 stands ha−1) and Tongas (19 stands ha−1).
The tree stage had the lowest species density in all subdistricts, mainly in Tongas and Sumberasih, where no tree stands were found (Table 4). In the tree stage, S. alba was the most dominant species (293 stands ha−1), followed by A. marina (118 stands ha−1), and R. mucronata (48 stands ha−1). Overall, the tree density results showed that the dominant species was Rhizophora with a high diversity density in each subdistrict.

3.4. Important Value Index (IVI)

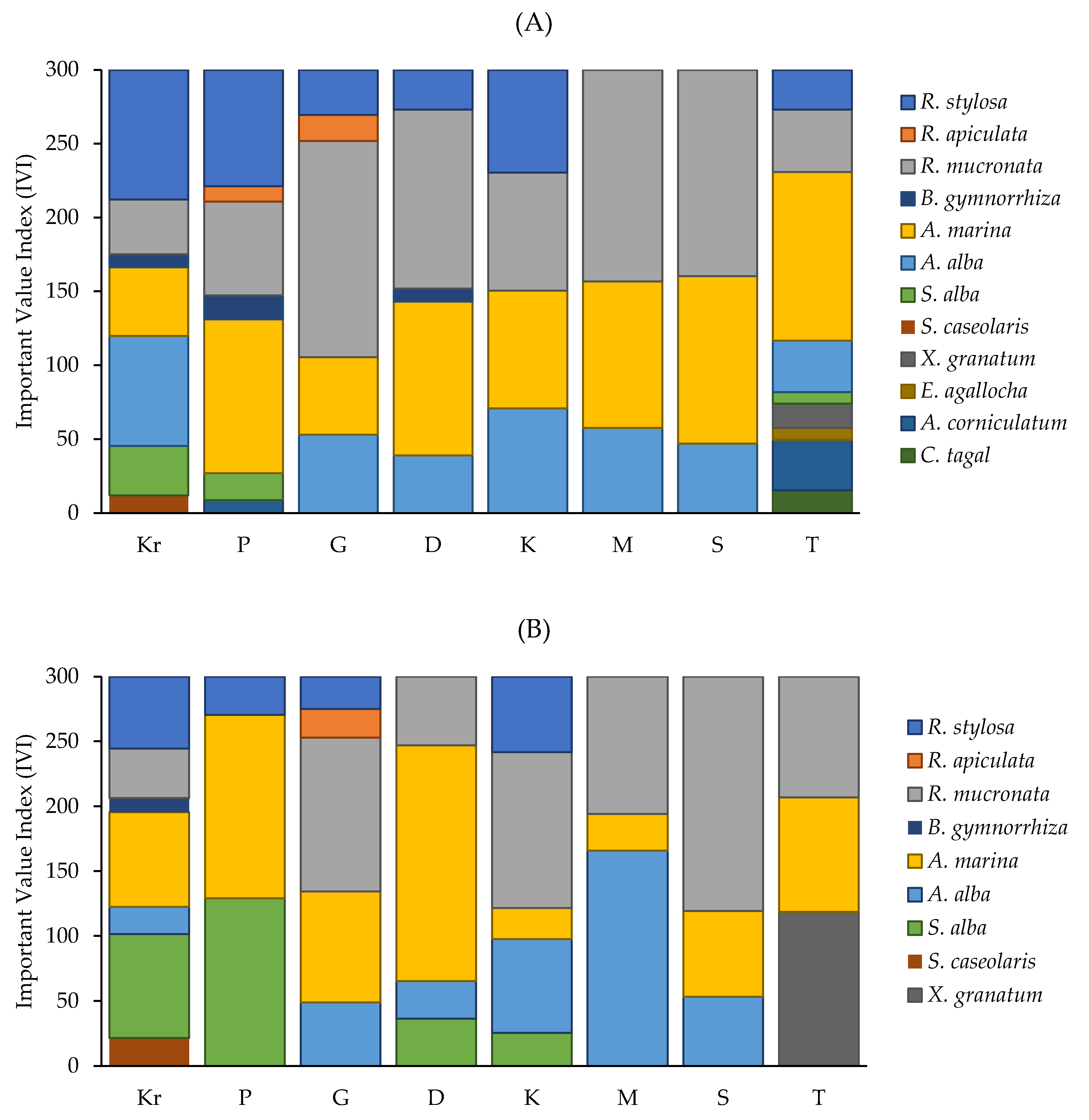
Figure 5 shows the importance value index (IVI) of mangrove species across various subdistricts for the sapling, pole, and tree growth stages. During the sapling stage, R. mucronata consistently exhibited the highest IVI values across five subdistricts, followed by A. marina (Figure 4). This suggests that this species has a strong regeneration potential.
At the pole stage, IVI values were varied among species. R. mucronata had the highest IVI values in Gending (118.7), Kademangan (120.3), and Sumberasih (180.7), whereas A. marina had the highest IVI in Pajarakan (141.3) and Dringu (181.5). Furthermore, A. alba, S. alba, and X. granatum exhibited the highest IVI values in Mayangan (165.7), Kraksaan (80.0), and Tongas (118.5), respectively. This reflects a widespread distribution and competitive ability in the early-to-intermediate growth stages, which potentially brings diverse species to Probolinggo Regency’s mangrove forests. Conversely, species such as X. granatum, A. corniculatum, and E. agallocha were localized, with lower IVI values restricted primarily to Tongas and specific growth stages. These species likely play minor ecological roles or are constrained by site-specific environmental conditions. At the tree stage, S. alba had the highest IVI in most subdistricts, followed by A. marina (Figure 5).

3.5. Species Diversity, Evenness, and Richness Index

Table 6 provides ecological indices—species diversity (H’), richness (R), evenness (E), and dominance (C)—for mangrove communities across eight subdistricts in Probolinggo Regency. These indices provide a comprehensive overview of the ecological complexity and balance of the mangrove ecosystems in each area. Overall, species diversity (H’) ranges from 0.9 to 1.8, classifying most subdistricts in the medium diversity category. Kraksaan exhibited the highest diversity (1.8), indicating a balanced and variable species composition. In contrast, Mayangan and Sumberasih showed the lowest diversity (1.0 and 0.9, respectively), suggesting lower ecological heterogeneity, likely owing to the dominance of one or a few species.
Species richness (R), which reflects the number of species present regardless of their abundance, varied across sites. The species richness index was low in all subdistricts (Table 6). Tongas had the highest richness value (1.5), indicating the presence of a relatively large number of species. Mayangan (0.4) and Sumberasih (0.4) had the lowest species richness, further supporting their low biodiversity status.
Evenness (E), representing the distribution of individuals among species, showed moderate variation among subdistricts. Most subdistricts had evenness values between 0.7 and 0.9. Gending and Tongas had the lowest evenness values (0.7), whereas Kraksaan, Kademangan, and Mayangan exhibited the highest values (0.9). This suggests that, despite differences in species richness, individuals were generally evenly distributed among species.
Notably, the dominance index (C) remained consistently low across all subdistricts (0.2–0.5), indicating that no single species overwhelmingly dominated the communities. However, Mayangan (0.4) and Sumberasih (0.5) still showed relatively higher dominance despite low diversity, which is consistent with the observed dominance of A. marina in these areas.

3.6. Estimation of Biomass and Carbon Stock

Table 7 summarizes the aboveground biomass (AGB), belowground biomass (BGB), total biomass, and the corresponding carbon stock and carbon dioxide (CO2) equivalents across various subdistricts in Probolinggo Regency. These metrics are essential for evaluating the role of mangrove forests in carbon sequestration and climate change mitigation.
Dringu exhibited the highest total biomass (1129.9 Mg ha−1), comprising 749.0 Mg ha−1 AGB and 380.9 Mg ha−1 BGB. Consequently, Dringu had the highest total carbon stock (508.1 Mg C ha−1) and CO2 equivalent (1864.7 Mg CO2 ha−1), highlighting its critical role in carbon storage. Pajarakan and Gending also exhibited high biomass and carbon stocks. Pajarakan exhibited a total biomass of 1075.7 Mg ha−1 and stores of 370.8 Mg C ha−1, equivalent to 1360.8 Mg CO2 ha−1. Gending followed with 920.2 Mg ha−1 biomass and the second-highest carbon stock (412.4 Mg C ha−1), corresponding to 1513.6 Mg CO2 ha−1. In contrast, Tongas and Sumberasih had the lowest biomass and carbon stock values. Tongas had the lowest total biomass (155.8 Mg ha−1), resulting in a modest carbon stock of 69.1 Mg C ha−1 and 253.7 Mg CO2 ha−1, while Sumberasih has slightly higher values at 331.4 Mg ha−1, 147.2 Mg C ha−1, and 540.4 Mg CO2 ha−1. Across all subdistricts the average total biomass was 678.2 Mg ha−1, compromising 440.6 Mg ha−1 AGB and 237.6 Mg ha−1 BGB. This corresponds to an average total carbon stock of 289.8 Mg C ha−1 and an estimated 1063.7 Mg CO2 ha−1 sequestered.
Although the total biomass and carbon stocks showed varied values among subdistricts, these differences were not statistically significant (p total biomass = 0.21; p total carbon stock = 0.16) (see: Supplementary Materials S2). This indicates that the similarity of species composition and degradation history plays an important role in accumulating the total biomass and carbon stocks among subdistricts.

4. Discussion

The study indicated that mangrove species diversity in Probolinggo Regency is relatively low to moderate, with abundance varying across subdistricts. A. marina and R. mucronata consistently exhibited the highest IVI, emphasizing their dominance and underscoring the need for species enrichment across the subdistricts. Although Probolinggo Regency has considerable blue carbon potential, its mangrove carbon stock remains within the lower range of national estimates (average 289.8 Mg C ha−1).

4.1. Ecological Significance and Species Dominance

Mangrove communities of Probolinggo Regency are largely structured by the dominance of A. marina and R. mucronata. Their dominance defines the current structure of these natural mangrove forests and reflects a transitional stage of succession along the northern coast of Java. Similar dominance patterns have been reported in neighboring regions such as Pasuruan and Madura [26,27,28,29], suggesting that this composition is characteristic of East Java’s coastal ecology. The prevalence of these two genera underscores their superior adaptability to dynamic coastal conditions, including high tides, strong currents, and variable soil textures.
This dominance pattern aligns with classical mangrove zonation and succession frameworks [1,26], in which Avicennia spp. typically colonize open, saline, and sandy substrates, followed by Rhizophora which settles in more protected and fine-grained sediments. The widespread abundance of A. marina, reaching up to 2534 stands ha−1, demonstrates its tolerance to salinity, desiccation, and wave exposure. Such adaptability allows the species to thrive in physically demanding coastal settings, which is consistent with reports from arid or semi-arid mangrove systems in Indonesia, Pakistan, and China [30,31,32,33,34].
Beyond its ecological role, A. marina also has socioeconomic value. Its roots harbor nitrogen-fixing bacteria, which enhance nutrient availability and support interspecific growth [35,36,37,38,39]. The seeds are locally used as flour, reflecting cultural adaptation to mangrove resources and providing an alternative income source for the community. Meanwhile, R. mucronata and R. stylosa, with respective densities of 1903 and 521 stands ha−1, are frequently prioritized for rehabilitation in the area owing to their stilt-root systems, which effectively trap sediments and stabilize muddy substrates [40,41].
Collectively, Avicennia and Rhizophora spp. likely played important roles in early mangrove forest development, with Avicennia acting as a pioneer and Rhizophora as a structural consolidator. Therefore, both genera should be incorporated into restoration programs, with species selection tailored to site-specific conditions and socioeconomic needs. However, to enhance habitat heterogeneity and future resource potential, planting other taxa that are found in the Probolinggo Regency, such as X. granatum, A. corniculatum, E. agallocha, and C. tagal is recommended for medicinal and industrial applications [42,43,44,45,46].

4.2. Presumable Gradient Pattern and Environmental Drivers

Distinct east–west ecological gradients were observed along the Probolinggo coastline. The western subdistricts tended to exhibit higher species richness (Tongas) but lower tree density (Tongas, Sumberasih, Mayangan, and Kademangan), whereas the eastern subdistricts (Dringu, Gending, Pajarakan, and Kraksaan) supported taller, denser stands with greater biomass. This pattern is likely driven by environmental filtering associated with coarse sandy sediments in the west and fine riverine clay sediments in the east, consistent with findings from East Java and broader Southeast Asia [47,48,49].
Sandy soils in the western subdistricts, often derived from the volcanic materials of Mount Bromo and reworked by monsoonal runoff [26], promote species turnover but restrict root anchorage and seedling survival. This results in low tree density and high species richness. In contrast, clay-rich eastern subdistricts foster more favorable hydrology and nutrient retention, resulting in denser stands and higher aboveground biomass. Although this study did not directly assess soil substrate differences among subdistricts, future research should explicitly evaluate substrate characteristics and the effect of land conversion adjacent to mangrove forests. Our findings demonstrate the disturbance–succession continuum [50], in which varying exposure to hydrodynamic and anthropogenic stress produces different successional outcomes.
Anthropogenic pressure further accentuates these patterns. Western and urban subdistricts such as Mayangan and Kademangan exhibited lower tree density and diversity (H’ ≤ 1.0), likely owing to domestic and industrial waste discharge, which alter sediment chemistry and nutrient balance [1]. In contrast, the eastern subdistricts exhibited moderate diversity (H’ = 1.4–1.8) and greater biomass, suggesting ecological recovery toward more stable community states.
As in many coastal regions of Indonesia, mangroves in Probolinggo Regency face increasing pressure from land conversion for aquaculture. These activities alter hydrology, reduce sediment supply, and enhance erosion and pollution, leading to poor regeneration and soil degradation [51,52]. The conditions observed in Tongas, where species richness remained high but regeneration was weak, were consistent with such disturbances. This underscores the need for long-term monitoring of soil–vegetation dynamics and the influence of neighboring intact mangrove forests.

4.3. Evidence of Early Successional and Degraded Structure

The demographic structure of the observed stands provided strong evidence of early- to mid-successional stages. Saplings comprised more than 80% of the total individuals, whereas mature trees accounted for less than 10%. This imbalance has been widely reported as a hallmark of mangrove regeneration after disturbances, such as logging, hydrological alteration, or sediment stress [53]. The absence of mature trees limits essential ecological functions for shoreline protection, carbon sequestration, and faunal habitat provisioning, and reflects ongoing stress from anthropogenic activities in urbanized western subdistricts.
Therefore, classifying these mangroves as being “in a potential of ecologically degraded condition” is justified. The dominance of juvenile stands and their low structural diversity indicate heightened vulnerability to further degradation. Although species richness was low, evenness remained relatively high (E = 0.7–0.9), suggesting community homogenization and reduced functional diversity—conditions that increase sensitivity to climate-related stressors such as sea-level rise and storm surges [3,4].
Important Value Index (IVI) patterns support these findings. A. marina and R. mucronata consistently exhibited the highest IVI values across growth stages, reflecting their resilience to fluctuating salinity and sediment regimes. In contrast, other species such as B. gymnorrhiza, X. granatum, and C. tagal maintained moderate and uniform IVIs across subdistricts [51,54]. The prevalence of saplings with high IVI values further demonstrated an active but incomplete regeneration process, emphasizing the need for restoration in degraded western zones and conservation activities in all existing natural mangrove forests.

4.4. Carbon Stock and Implications for Blue Carbon Frameworks

Despite these structural constraints, mangrove forests in Probolinggo Regency possess considerable blue carbon potential. Mean total carbon stock was 289.8 Mg C ha−1, with the highest value recorded in Dringu (508.1 Mg C ha−1) and the lowest in Tongas (69.1 Mg C ha−1). These values fall within the global ranges for Indo-Pacific mangroves [7] and the lower bound of national estimates for Indonesian mangroves (360–450 Mg C ha−1) [55]. Spatial variation in carbon stocks reflects differences in forest maturity and substrate conditions, with higher proportions of mature trees in Dringu and Pajarakan corresponding to greater biomass accumulation and carbon storage [56].
Western subdistricts exhibited lower carbon stocks, aligning with the dominance of saplings and limited presence of mature trees. Similar patterns have been reported in other East Java regions such as Lamongan [57] and Pasuruan [58]. Nonetheless, even partially degraded mangroves retain a significant carbon storage capacity, supporting Indonesia’s carbon mitigation goals under the Paris Agreement [25] and emphasizing the importance of maintaining existing mangroves. Restoring degraded stands, especially in the western coastal areas, may enhance biomass and carbon stock up to 73% of intact forest values ~20 years after planting [59].

4.5. Regional and Theoretical Synthesis

In a broader context, the mangrove forests of Probolinggo Regency exemplify the ecological homogenization observed along Java’s northern coast, where recurrent disturbances simplify the community structure while maintaining moderate species diversity [60]. This trade-off between persistence and specialization under anthropogenic pressure has also been observed in other tropical mangrove systems [2,4,61,62]. The soil substrate is likely a key driver of species diversity and limited regeneration; however, its influence requires explicit evaluation, particularly in relation to the effect of neighboring intact mangrove areas. By integrating species-level diversity metrics with carbon estimates, this study bridges the gap between structural and functional ecology by showing how recovering mangroves play a role in climate regulation and shoreline stability. These insights contribute to the regional discourse on nature-based solutions and blue carbon management in Southeast Asia.
This study suggests that restoration and management should be site specific. Eastern subdistricts with more mature stands and higher biomass should prioritize conservation and assisted natural regeneration. In contrast, western subdistricts experiencing greater degradation require active restoration interventions to restore structural complexity and ecological resilience [46]. At the policy level, integrating these ecological findings into Indonesia’s National Mangrove Rehabilitation Plan (2021–2024) and the Blue Carbon Initiative could yield measurable progress toward Sustainable Development Goals 13, 14, and 15. The dataset presented in this study provides a robust baseline for tracking restoration success, carbon accounting, and biodiversity recovery along the Java coastline and beyond.
Overall, the mangrove forests of Probolinggo Regency represent ecosystems in transitional recovery from past degradation, yet they retain significant ecological and climatic importance. Integrating structural and functional data clarifies how soil texture, disturbance history, and species adaptability influence regeneration pathways. By connecting local patterns to regional succession theory and global blue carbon frameworks, this study enhances our understanding of mangrove resilience and reinforces the urgency for evidence-based, community-engaged restoration strategies. These implications extend beyond Probolinggo, offering insights into the recovery pathways of semi-arid mangroves across Java’s northern coast and comparable Indo-Pacific regions. This study is limited by its reliance on a single temporal snapshot and the use of allometric equations to estimate above- and belowground carbon stocks, excluding soil organic carbon and other belowground components, which may lead to underestimation of total carbon stocks in the ecosystem.

5. Conclusions

Natural mangrove forests in Probolinggo Regency exhibit pronounced spatial variation in species composition, stand structure, and ecosystem function. Several species were present in only one subdistrict, and only two species were dominant in all subdistricts, indicating the need for targeted species-enrichment planting. Mangrove stands were generally dominated by saplings, suggesting active natural regeneration and historical degradation. A restoration program with intensive monitoring and evaluation is recommended to ensure forest maturity and high productivity rates. This is also crucial for improving the substantial variation in carbon stock estimation among subdistricts, mainly Kademangan and Tongas (western subdistricts), which have the lowest biomass and carbon stock values. This study is limited to single-time survey, allometric biomass and carbon stock estimations, and no soil organic carbon has been included. Therefore, it is highly recommended to conduct more frequent vegetation surveys to assess regeneration rates and the success of restoration programs on carbon stock regain. Overall, the integrated assessment of species diversity, composition, biomass, and carbon stocks highlight the significant ecological value of Probolinggo’s natural mangrove forests, while also demonstrating the need for more intensive management practices to improve the conservation and restoration success rate.

Supplementary Materials

The following supporting information can be downloaded at: https://www.mdpi.com/article/10.3390/su18041906/s1.

Author Contributions

C.G.Q. Conceptualizations, methodology, investigation, field work, data analysis, writing—original draft, writing—review and editing. M.R. Field work, map creation and spatial analysis. I.P.S. writing—review and editing. B.L. writing—review and editing. All authors have read and agreed to the published version of the manuscript.

Funding

This research was funded by University of Muhammadiyah Malang and the APC was funded by National Institute of Forest Science (NIFoS), Republic of Korea.

Institutional Review Board Statement

Not applicable.

Informed Consent Statement

Not applicable.

Data Availability Statement

The data presented in this study are openly available in Zenodo at https://doi.org/10.5281/zenodo.18081765, reference number 18081765.

Acknowledgments

We are deeply grateful to University of Muhammadiyah Malang (UMM) for its support in providing funding and essential equipment to made this research successful. The authors also thank to the students of Forestry Department of UMM (M. Afif Zaidan, Muhamad Rizal, Felipe Uribe, and all members of mangrove research group) for their keen helps in collecting field data. Many thanks also appreciated to the Probolinggo Regency Forestry Service (Dinas Kehutanan) for the insightful support and guidance during the data collection. Your contributions are truly appreciated.

Conflicts of Interest

The authors declare no conflicts of interest.

References

  1. Alongi, D.M. The impact of climate change on mangrove forests. Curr. Clim. Change Rep. 2015, 1, 30–39. [Google Scholar] [CrossRef]
  2. Friess, D.A.; Yando, E.S.; Alemu, J.B.; Wong, L.W.; Soto, S.A.; Bhatia, N. Ecosystem services and disservices of mangrove forests and salt marshes. In Oceanography and Marine Biology; Taylor & Francis: Abingdon, UK, 2020; p. 58. [Google Scholar]
  3. Ward, R.D.; Friess, D.A.; Day, R.H.; Mackenzie, R.A. Impacts of climate change on mangrove ecosystems: A region-by-region overview. Ecosyst. Health Sustain. 2016, 2, e01211. [Google Scholar] [CrossRef]
  4. Lovelock, C.E.; Cahoon, D.R.; Friess, D.A.; Guntenspergen, G.R.; Krauss, K.W.; Reef, R.; Rogers, K.; Saunders, M.L.; Sidik, F.; Swales, A.; et al. The vulnerability of Indo-Pacific mangrove forests to sea-level rise. Nature 2015, 526, 559–563. [Google Scholar] [CrossRef] [PubMed]
  5. Donato, D.C.; Kauffman, J.B.; Mackenzie, R.A.; Ainsworth, A.; Pfleeger, A.Z. Whole-island carbon stocks in the tropical Pacific: Implications for mangrove conservation and upland restoration. J. Environ. Manag. 2012, 97, 89–96. [Google Scholar] [CrossRef]
  6. Hutchison, J.; Manica, A.; Swetnam, R.; Balmford, A.; Spalding, M. Predicting global patterns in mangrove forest biomass. Conserv. Lett. 2014, 7, 233–240. [Google Scholar] [CrossRef]
  7. Kauffman, J.B.; Adame, M.F.; Arifanti, V.B.; Schile-Beers, L.M.; Bernardino, A.F.; Bhomia, R.K.; Donato, D.C.; Feller, I.C.; Ferreira, T.O.; Garcia, M.C.J.; et al. Total ecosystem carbon stocks of mangrove across broad global environmental and physical gradients. Ecol. Monogr. 2020, 90, e01405. [Google Scholar] [CrossRef]
  8. Sugiana, I.P.; Prartono, T.; Rastina, R.; Koropitan, A.F. Warming Effect from Soil Greenhouse Gas Emission of Each Mangrove Zone during the Dry Season in Ngurah Rai Forest Park, Bali, Indonesia. Environ. Nat. Res. J. 2024, 22, 449–463. [Google Scholar] [CrossRef]
  9. Dharmayasa, I.G.N.P.; Sugiana, I.P.; Simanullang, D.R.; Putri, P.A.; Dewi, P.P.; As-syakur, A.R.; Novanda, I.G.A.; Aryunisha, P.E.P.; Boonyasana, K. Geomorphology-Driven variations in mangrove carbon stocks and economic valuation across fringing, estuarine, and riverine ecosystems. Anthr. Coasts 2025, 8, 16. [Google Scholar] [CrossRef]
  10. Carpenter, S.; Evans, C.; Pittman, S.J.; Antonopoulou, M.; Bejarano, I.; Das, H.S.; Möller, M.; Peel, K.; Samara, F.; Stamoulis, K.A.; et al. Multi-habitat carbon stock assessments to inform nature-based solutions for coastal seascapes in arid regions. Front. Mar. Sci. 2023, 1, 1239904. [Google Scholar] [CrossRef]
  11. Davis, J.L.; Currin, C.A.; O’Brien, C.; Raffenburg, C.; Davis, A. Living shorelines: Coastal resilience with a blue carbon benefit. PLoS ONE 2015, 10, e0142595. [Google Scholar] [CrossRef]
  12. Howard, J.; Hoyt, S.; Isensee, K.; Telszewski, M.; Pidgeon, E. (Eds.) Coastal Blue Carbon: Methods for Assessing Carbon Stocks and Emissions Factors in Mangroves, Tidal Salt Marshes, and Seagrasses; Conservation International, Intergovernmental Oceanographic Commission of UNESCO; International Union for Conservation of Nature: Arlington, VA, USA, 2014. [Google Scholar]
  13. Carugati, L.; Gatto, B.; Rastelli, E.; Lo Martire, M.; Coral, C.; Greco, S.; Danovaro, R. Impact of mangrove forests degradation on biodiversity and ecosystem functioning. Sci. Rep. 2018, 8, 13298. [Google Scholar] [CrossRef] [PubMed]
  14. Gerona-Daga, M.E.B.; Salmo, S.G., III. A systematic review of mangrove restoration studies in Southeast Asia: Challenges and opportunities for the United Nation’s Decade on Ecosystem Restoration. Front. Mar. Sci. 2022, 9, 987737. [Google Scholar] [CrossRef]
  15. Nurbaya, S. The State of Indonesia’s Forests 2020, 1st ed.; Ministry of Environment and Forestry: Central Jakarta, Indonesia, 2021; pp. 17–21.
  16. Wijaya, D.; Suryono, S.; Soenardjo, N. Ekologi Mangrove Di Pesisir Kecamatan Tongas dan Sumberasih Kabupaten Probolinggo, Jawa Timur. J. Mar. Res. 2019, 8, 218–222. [Google Scholar] [CrossRef]
  17. Arroyo-Rodriguez, V.; Mandujano, S. The importance of tropical rain forest fragments to the conservation of plant species diversity in Los Tuxtlas, Mexico. Biodivers. Conserv. 2006, 15, 4159–4179. [Google Scholar] [CrossRef]
  18. Magurran, A.E. Measuring Biological Diversity; Blackwell Science: Oxford, UK, 2004; pp. 100–130. [Google Scholar]
  19. Hordijk, I.; Maynard, D.S.; Hart, S.P.; Lidong, M.; Ter Steege, H.; Liang, J.; de-Miguel, S.; Nabuurs, G.J.; Reich, P.B.; Abegg, M.; et al. Evenness mediates the global relationship between forest productivity and richness. J. Ecol. 2023, 111, 1308–1326. [Google Scholar] [CrossRef]
  20. Simpson, E.H. Measurement of Diversity. Nature 1949, 163, 688. [Google Scholar] [CrossRef]
  21. Chave, J.; Andalo, C.; Brown, S.; Cairns, M.A.; Chambers, J.Q.; Eamus, D.; Folster, H.; Fromard, F.; Higuchi, N.; Kira, T.; et al. Tree allometry and improved estimation of carbon stocks and balance in tropical forests. Oecologia 2005, 145, 87–99. [Google Scholar] [CrossRef]
  22. Komiyama, A.; Poungparn, S.; Kato, S. Common allometric equations for estimating the tree weight of mangroves. J. Trop. Ecol. 2005, 21, 471–477. [Google Scholar] [CrossRef]
  23. Zanne, A.E.; Lopez-Gonzalez, G.; Coomes, D.A.; Ilic, J.; Jansen, S.; Lewis, S.L.; Miller, R.B.; Swenson, N.G.; Wiemann, M.C.; Chave, J. Global Wood Density Database; Dryad Digital: Oakland, CA, USA, 2024. [Google Scholar]
  24. Kauffman, J.B.; Donato, D.C. Protocols for the Measurement, Monitoring and Reporting of Structure, Biomass and Carbon Stocks in Mangrove Forests; CIFOR: Bogor, Indonesia, 2012; Volume 86. [Google Scholar]
  25. Eggleston, H.S.; Buendia, L.; Miwa, K.; Ngara, T.; Tanabe, K. 2006 IPCC Guidelines for National Greenhouse Gas Inventories; IPCC: Kanagawa, Japan, 2006; Chapter 4; Volume 4. [Google Scholar]
  26. Saputra, D.K.; Darmawan, A.; Silitonga, N.; Asadi, M.A.; Aliviyanti, D.; Fuad, M.A.Z.; Arsad, S. Shoreline Evolution and Mangrove Landscape Transition in Probolinggo, East Java, Indonesia. Ecol. Environ. Conserv. 2022, 28, 105–112. [Google Scholar] [CrossRef]
  27. Isroni, W.; Islamy, R.A.; Musa, M.; Wijanarko, P. Species composition and density of mangrove forest in Kedawang Village, Pasuruan, East Java, Indonesia. Biodiversitas J. Biol. Divers. 2019, 20, 1688–1692. [Google Scholar] [CrossRef]
  28. Rosadi, A.; Ario, R.; Pribadi, R. Struktur Dan Komposisi Vegetasi Mangrove Di Kabupaten Sampang, Pulau Madura, Provinsi Jawa Timur. J. Mar. Res. 2018, 7, 212–218. [Google Scholar]
  29. Lathifah, M.N.; Muazulfa, T.I.; Nisa, W.K.; Raharjo, Y.A.A.; Arta, Y.P.A.; Setyawan, A.D. Species diversity of mangrove at tree and pole level in Sampang and Pamekasan Districts, Madura Island, Indonesia. Indo Pac. J. Ocean. Life 2024, 8. [Google Scholar]
  30. Guo, Z.; Wei, M.Y.; Zhong, Y.H.; Wu, X.; Chi, B.J.; Li, J.; Li, H.; Zhang, L.D.; Wang, X.X.; Zhu, X.Y.; et al. Leaf sodium homeostasis controlled by salt gland is associated with salt tolerance in mangrove plant Avicennia marina. Tree Physiol. 2023, 43, 817–831. [Google Scholar] [CrossRef] [PubMed]
  31. Nguyen, H.T.; Stanton, D.E.; Schmitz, N.; Farquhar, G.D.; Ball, M.C. Growth responses of the mangrove Avicennia marina to salinity: Development and function of shoot hydraulic systems require saline conditions. Ann. Bot. 2015, 115, 397–407. [Google Scholar] [CrossRef]
  32. Ye, Y.; Tam, N.F.Y.; Lu, C.Y.; Wong, Y.S. Effects of salinity on germination, seedling growth and physiology of three salt-secreting mangrove species. Aquat. Bot. 2005, 83, 193–205. [Google Scholar] [CrossRef]
  33. Primavera, J.H.; Esteban, J.M.A. A review of mangrove rehabilitation in the Philippines: Successes, failures and future prospects. Wetl. Ecol. Manag. 2008, 16, 173–253. [Google Scholar] [CrossRef]
  34. Duke, N.C.; Benzie, J.A.; Goodall, J.A.; Ballment, E.R. Genetic structure and evolution of species in the mangrove genus Avicennia (Avicenniaceae) in the Indo-West Pacific. Evolution 1998, 52, 1612–1626. [Google Scholar] [CrossRef]
  35. Inoue, T.; Kohzu, A.; Miura, S.; Baba, S. Diazotrophic nitrogen fixation through aerial roots occurs in Avicennia marina: Implications for adaptation of mangrove plant growth to low-nitrogen tidal flats. New Phytol. 2023, 24, 1464–1475. [Google Scholar] [CrossRef]
  36. Hao, S.; Su, W.; Li, Q.Q. Adaptive roots of mangrove Avicennia marina: Structure and gene expressions analyses of pneumatophores. Sci. Total Environ. 2020, 757, 143994. [Google Scholar] [CrossRef]
  37. Ashraf, M.; Muhammad, F.; Hidayat, J.; Yasen, M.; Ayyaz, M.; Ahmed, W.; Anwar, M.S.; Ahmed, K. Comparison of salinity tolerance between Avicennia marina and Rhizophora mucronata Karachi Coast, Pakistan. J. Bioresour. Environ. Sci. 2023, 2, 89–99. [Google Scholar] [CrossRef]
  38. Schmitz, N.; Verheyden, A.; Beeckman, H.; Kairo, J.G.; Koedam, N. Influence of a salinity gradient on a vessel characters of the mangrove species Rhizophora mucronata. Ann. Bot. 2006, 98, 1321–1330. [Google Scholar] [CrossRef] [PubMed]
  39. De Deurwaerder, H.; Okello, J.A.; Koedam, N.; Schmitz, N.; Steppe, K. How are anatomical and hydraulic features of the mangroves Avicennia marina and Rhizophora mucronata influenced by siltation? Trees 2016, 30, 35–45. [Google Scholar] [CrossRef]
  40. Mulloy, R.; Aiken, C.M.; Dwane, G.; Ellis, M.; Jackson, E.L. Scalable mangrove rehabilitation: Roots of success for Rhizophora stylosa establishment. Ecol. Eng. 2025, 212, 107521. [Google Scholar] [CrossRef]
  41. Yoshikai, M.; Nakamura, T.; Herrera, E.C.; Suwa, R.; Rollon, R.; Ray, R.; Furukawa, K.; Nadaoka, K. Representing the effect of Rhizophora mangroves on flow in a hydrodynamic model (COAWST_rh v1.0): The importance of three-dimensional root system structure. Geosci. Model. Dev. 2023, 16, 5847–8563. [Google Scholar] [CrossRef]
  42. Vinodhini, D.S.; Santhanakrishnan, T.E.; Moorthy, V.; Nagaraha, S. Isolation and characterization of biopotential antimicrobial compounds from mangrove plant species (Excoecaria agallocha). Int. J. Eng. Res. Technol. 2020, 9. [Google Scholar]
  43. Budiarti, R.S.; Subagyo, A. Study on the utilization of mangrove forest plants. J. Penelit. Pendidik. IPA 2023, 9, 12082–12097. [Google Scholar] [CrossRef]
  44. Khadeeja, S.; Ragunathan, R.; Johney, J.; Muthusamy, K. Phytochemical analysis, antimicrobial and antioxidant activity of mangrove plants Bruguierra gymnorrhiza (L.) Lam. and Excoecaria agallocha L. Indian J. Sci. Tech. 2022, 15, 2594–2604. [Google Scholar] [CrossRef]
  45. Rout, T. Bioprospecting of underutilized mangrove fruits used by coastal communities in the Odisha coast, India: A review. Food Sci. Biotechnol. 2022, 31, 139–153. [Google Scholar] [CrossRef]
  46. Kusmana, C.; Sukristijiono, S. Mangrove resource uses by local community in Indonesia. J. Nat. Resour. Environ. Manag. 2016, 6, 217. [Google Scholar] [CrossRef]
  47. Amenoudji, C.I.; Sanogo, S.; Djogli, K.R.; Adanve, J.F.; Sodedji, K.F.A. Effect of salinity and substrate on the emergence and growth of propagules of the mangrove species Rhizophora racemosa in the Sassandra-Dagbego Ramsar complex, Cote d’lvoire. Annu. Res. Rev. Biol. 2024, 39, 21–31. [Google Scholar] [CrossRef]
  48. Zhou, S.; Deng, X.; Nethmini, R.T.; Zhao, H.; He, Q.; Jiang, G.; Hou, Q.; Chen, Q.; Li, X.; Dong, K.; et al. Fungal community complexity and stability in clay loam and sandy soils in mangrove ecosystems. J. Fungi 2025, 11, 262. [Google Scholar] [CrossRef] [PubMed]
  49. Cooray, P.L.I.G.M.; Chalmers, S.; Chittleborough, D. A review of properties of organic matter fractions in soils of mangrove wetlands: Implications for carbon storage. Soil Biol. Biochem. 2025, 201, 109660. [Google Scholar]
  50. Odum, E.P.; Barrett, G.W. Fundamentals of Ecology, 5th ed.; Brooks/Cole: Pacific Grove, CA, USA, 2005; Chapters 7–8. [Google Scholar]
  51. Royna, M.; Murdiyarso, D.; Sasmito, S.D.; Arriyadi, D.; Rahajoe, J.S.; Zahro, M.G.; Ardhani, T.S.P. Carbon stocks and effluxes in mangroves converted into aquaculture: A case study from Banten province, Indonesia. Front. Ecol. Evol. 2024, 12, 1340531. [Google Scholar] [CrossRef]
  52. Chawchai, S.; Leknettip, S.; Seaton, N.; Wangritthikraikul, K.; Dubois, N.; Löwemark, L.; Wang, P.L.; Preusser, F. Coastal evolution, environmental change and carbon storage in the Thung Prong Thong Mangrove, eastern Gulf of Thailand. Boreas, 2025; early view. [Google Scholar] [CrossRef]
  53. Mohan, M. Evaluating Climate, Environmental and Anthropogenic Influences on Regenerating Tropical and Mangrove Forests Through Remote Sensing: Insights into Nature-Based Solutions. Ph.D. Thesis, University of California, Barkeley, CA, USA, 2024. [Google Scholar]
  54. Phillips, O.L.; Martinez, R.V.; Vragas, P.N.; Monteagudo, A.L.; Zans, M.E.C.; Sanchez, W.G.; Cruz, A.P.; Timana, M.; Yli-Halla, M.; Rose, S. Efficient plot-based floristic assessment of tropical forests. J. Trop. Ecol. 2003, 19, 629–645. [Google Scholar] [CrossRef]
  55. Murdiyarso, D.; Sasmito, S.D.; Sillanpää, M.; MacKenzie, R.; Gaveau, D. Mangrove selective logging sustains biomass carbon recovery, soil carbon, and sediment. Sci. Rep. 2021, 11, 12325. [Google Scholar] [CrossRef]
  56. Wang, T.; Dong, L.; Liu, Z. Factors driving carbon accumulation in forest biomass and soil organic carbon across natural forests and planted forests in China. Front. For. Glob. Change 2024, 6, 1333868. [Google Scholar] [CrossRef]
  57. Fikri, M.Z. Comparative Analysis of Carbon and Nitrogen Stocks in Sediments in Natural and Artificial Mangrove Forests in Lamongan Regency. Bachelor’s Thesis, Brawijaya University, Malang, Indonesia, 2017. [Google Scholar]
  58. Aldus, W. Study of Carbon Stock and Carbon Dioxide Absorption in Mangrove Ecosystems in Penunggul Village, Pasuruan Regency. Bachelor’s Thesis, Brawijaya University, Malang, Indonesia, 2017. [Google Scholar]
  59. Bourgeois, C.F.; MacKenzie, R.A.; Sharma, S.; Bhomia, R.K.; Johnson, N.G.; Rovai, A.S.; Worthington, T.A.; Krauss, K.W.; Analuddin, K.; Bukoski, J.J.; et al. Four decades of data indicate that planted mangroves stored up to 75% of the carbon stocks found in intact mature stands. Sci. Adv. 2024, 10, eadk5430. [Google Scholar] [CrossRef]
  60. Van Der Plas, F.; Manning, P.; Allan, E.; Scherer-Lorenzen, M.; Verheyen, K.; Wirth, C.; Zavala, M.A.; Hector, A.; Ampoorter, E.; Baeten, L.; et al. Jack-of-all-trades effects drive biodiversity-ecosystem multifunctionality relationships in European forests. Nat. Commun. 2016, 7, p11109. [Google Scholar] [CrossRef]
  61. Giri, C.; Ochieng, E.; Tieszen, L.L.; Zhu, Z.; Singh, A.; Loveland, T.; Masek, J.; Duke, N. Status and Distribution of Mangrove Forests of the World Using Earth Observation Satellite Data. Glob. Ecol. Biogeogr. 2011, 20, 154–159. [Google Scholar] [CrossRef]
  62. Finke, D.L.; Snyder, W.E. Niche partitioning increases resources exploitation by diverse communities. Science 2008, 321, 1488–1490. [Google Scholar] [CrossRef]
Figure 1. Damaged vegetation due to high tide events in Probolinggo Regency (A), Roads and houses (B), and elevated surface water levels (C) (Photographs were taken by Mr. Aziz, head of the mangrove groups in Probolinggo Regency. The photographs were taken following a monthly high tide event in May 2025).
Figure 1. Damaged vegetation due to high tide events in Probolinggo Regency (A), Roads and houses (B), and elevated surface water levels (C) (Photographs were taken by Mr. Aziz, head of the mangrove groups in Probolinggo Regency. The photographs were taken following a monthly high tide event in May 2025).
Sustainability 18 01906 g001
Figure 2. Map of the study site in natural mangrove forests of Probolinggo Regency.
Figure 2. Map of the study site in natural mangrove forests of Probolinggo Regency.
Sustainability 18 01906 g002
Figure 3. Total area of aquaculture (A) and mangrove forests (B) in each subdistrict of Probolinggo Regency.
Figure 3. Total area of aquaculture (A) and mangrove forests (B) in each subdistrict of Probolinggo Regency.
Sustainability 18 01906 g003
Figure 4. Proportion ratio of mangrove growth stage from all plots in each subdistrict of Probolinggo Regency.
Figure 4. Proportion ratio of mangrove growth stage from all plots in each subdistrict of Probolinggo Regency.
Sustainability 18 01906 g004
Figure 5. Important Value Index (IVI) of each mangrove species in each development stage of sapling (A), pole (B), and tree (C), along subdistricts (Kr; Kraksaan; P: Pajarakan; G: Gending; D: Dringu; K: Kademangan; M: Mayangan; S: Sumberasih; T: Tongas) of Probolinggo regency, Indonesia.
Figure 5. Important Value Index (IVI) of each mangrove species in each development stage of sapling (A), pole (B), and tree (C), along subdistricts (Kr; Kraksaan; P: Pajarakan; G: Gending; D: Dringu; K: Kademangan; M: Mayangan; S: Sumberasih; T: Tongas) of Probolinggo regency, Indonesia.
Sustainability 18 01906 g005aSustainability 18 01906 g005b
Table 1. Plots allocation and coordinates in each subdistrict.
Table 1. Plots allocation and coordinates in each subdistrict.
SubdistrictTotal PlotsVillageLatitudeLongitude
Kraksaan5Asembagus−7.737120113.407738
Asembagus−7.741248113.395615
Kebonagung−7.727806113.449539
Kebonagung−7.731936113.442137
Kebonagung−7.734851113.435823
Pajarakan5Sukokerto−7.748847113.372955
Karanggeger−7.758505113.359979
Gejugan−7.769597113.346757
Penambangan−7.746376113.387308
Penambangan−7.743814113.384527
Gending4Pantai Bentar−7.782892113.277441
Pantai Bentar−7.774474113.319236
Pesisir−7.774616113.335947
Klaseman−7.776330113.326551
Dringu6Dringu−7.746932113.249160
Dringu−7.746491113.249380
Dringu−7.746225113.248350
Randu putih−7.765788113.264720
Kalisalam−7.761690113.264895
Randu putih−7.776819113.261895
Kademangan3Mangunharjo−7.743704113.193253
Pilang−7.740415113.191823
Ketapang−7.746534113.180512
Mayangan3Pantai Permata−7.739707113.234780
Pantai Mutiara−7.739456113.226763
Pantai Takad−7.739938113.280700
Sumberasih3Ketapang−7.746546113.179568
Pantai Takad−7.727808113.171128
Pesisir−7.736515113.170306
Tongas4Pantai Bahak−7.724502113.113954
Pantai Bahak−7.725982113.118545
Renek−7.718378113.106768
Pantai Tambakrejo−7.702466113.100909
Table 2. Mathematical formulas and assessment score for richness (R), evenness (E), and Simpson’s dominance (D) indices.
Table 2. Mathematical formulas and assessment score for richness (R), evenness (E), and Simpson’s dominance (D) indices.
FormulaAbbreviationAssessment Score
R = S 1 ln N R = Index of richnessR 3.5=Low richness
S = number of species in study area3.5 > R < 5=Intermediate richness
N = total number of all species in study areaR 5.0=High richness [18]
E = H ln S E = index of evenness0 < E 0.4=Low evenness
H = index of diversity0.4 > E 0.6=Intermediate evenness
S = number of species in study area0.6 > E 1.0=High evenness [19]
D = n i N D = Index of dominance by Simpson0 < D 0.5=Low dominance
n i = number of individuals of species0.5 > D 0.75=Intermediate dominance
N = total number of individuals0.75 > D 1.0=High dominance [20]
Table 3. List of mangrove species observed in the natural mangrove forests of Probolinggo Regency.
Table 3. List of mangrove species observed in the natural mangrove forests of Probolinggo Regency.
Common NameTaxonomical Classification
LocalEnglishClassOrderFamilyGenusSpecies
BakauSpotted mangroveEquisetopsidaMalpighialesRhizophoraceaeRhizophoraRhizophora stylosa
Bakau minyakTall-stilt mangroveEquisetopsidaMalpighialesRhizophoraceaeRhizophoraRhizophora apiculata
Bakau hitamRed mangroveEquisetopsidaMalpighialesRhizophoraceaeRhizophoraRhizophora mucronata
Api-api putihGrey mangroveEquisetopsidaLamialesAcanthaceaeAvicenniaAvicennia marina
Api-apiWhite mangroveEquisetopsidaLamialesAcanthaceaeAvicenniaAvicennia alba
PidadaMangrove appleEquisetopsidaMyrtalesLythraceaeSonneratiaSonneratia alba
Pidada merahMangrove appleEquisetopsidaMyrtalesLythraceaeSonneratiaSonneratia caseolaris
Tanjang/TumuOriental mangroveEquisetopsidaMalpighialesRhizophoraceaeRhizophoraBruguiera gymnorrhiza
NyiriCannonball mangroveEquisetopsidaSapindalesMeliaceaeXylocarpusXylocarpus granatum
Buta-butaMilky mangroveEquisetopsidaMalpighialesEuphorbiaceaeExcoecariaExcoecaria agallocha
Gigi gajahRiver mangrove/black mangroveEquisetopsidaEricalesPrimulaceaeAegicerasAegiceras corniculatum
TengarIndian mangroveEquisetopsidaMalpighialesRhizophoraceaeRhizophoraCeriops tagal
Table 4. Species distribution in each subdistrict. Plus (+) and minus (−) signs represent the existed and not-existed mangrove species, respectively.
Table 4. Species distribution in each subdistrict. Plus (+) and minus (−) signs represent the existed and not-existed mangrove species, respectively.
NoSpeciesSubdistricts
KraksaanPajarakanGendingKademanganMayanganDringuSumberasihTongas
1R. stylosa++++++
2R. apiculata++
3R. mucronata++++++++
4B. gymnorrhiza+++++
5A. marina++++++++
6A. alba+++++++
7S. alba++++
8S. caseolaris+
9X. granatum+
10E. agallocha+
11A. corniculatum+
12C. tagal+
Total species76753539
Table 5. Mean value of sapling, pole, and tree density (stands. ha−1) in each subdistrict of Probolinggo Regency, Indonesia. The N/A represents non-existent individuals of the related species in the subdistrict.
Table 5. Mean value of sapling, pole, and tree density (stands. ha−1) in each subdistrict of Probolinggo Regency, Indonesia. The N/A represents non-existent individuals of the related species in the subdistrict.
ParameterSubdistricts
KraksaanPajarakanGendingDringuKademanganMayanganSumberasihTongasTotal
Sapling density (stands. ha−1)
R. stylosa952304254N/AN/AN/A100521
R. apiculataN/A525N/AN/AN/AN/AN/A30
R. mucronata651503502461754083581501903
B. gymnorrhiza540N/A4183N/AN/AN/A233
A. marina1203201171752503506585442534
A. alba160N/A1171131756767169866
S. alba2515N/A13N/AN/AN/A1365
S. caseolaris10N/AN/AN/AN/AN/AN/AN/A10
X. granatumN/AN/AN/AN/AN/AN/AN/A1919
A. corniculatumN/A10N/AN/AN/AN/AN/A175185
C. tagalN/AN/AN/AN/AN/AN/AN/A1919
Total density (stands. ha−1)48077065060478382510831188
Pole density (stands. ha−1)
R. stylosa15517N/A25N/AN/AN/A62
R. apiculataN/AN/A33N/AN/AN/AN/AN/A33
R. mucronata60N/A1921358678313485
B. gymnorrhiza15N/AN/AN/AN/AN/AN/AN/A15
A. marina506014267881713364
A. alba5N/A10083311717N/A280
S. alba5550N/A48N/AN/AN/A118
S. caseolaris30N/AN/AN/AN/AN/AN/AN/A30
X. granatumN/AN/AN/AN/AN/AN/AN/A1919
Total density (stands. ha−1)2301154839213319211744
Tree density (stands. ha−1)
R. stylosa10N/AN/AN/AN/AN/ANo treeNo tree10
R. apiculataN/AN/A25N/AN/AN/A 25
R. mucronata10N/A254N/A8 48
B. gymnorrhiza558N/AN/AN/A 18
A. marina1020867N/A8 113
A. alba5N/AN/A4N/A8 18
S. alba60150254217N/A 293
S. caseolaris5N/AN/AN/AN/AN/A 15
Total density (stands. ha−1)10517592117172500
Table 6. Species diversity (H’), richness (R), evenness (E), richness, and dominance (C) indices in all subdistricts of Probolinggo Regency.
Table 6. Species diversity (H’), richness (R), evenness (E), richness, and dominance (C) indices in all subdistricts of Probolinggo Regency.
SubdistrictH’REC
Kraksaan1.8 (medium)1.2 (low)0.9 (high)0.2 (low)
Pajarakan1.5 (medium)1.1 (low)0.8 (high)0.3 (low)
Gending1.4 (medium)1.2 (low)0.7 (high)0.3 (low)
Dringu1.4 (medium)0.9 (low)0.8 (high)0.3 (low)
Kademangan1.5 (medium)0.8 (low)0.9 (high)0.2 (low)
Mayangan1.0 (low)0.4 (low)0.9 (high)0.4 (low)
Sumberasih0.9 (low)0.4 (low)0.8 (high)0.5 (low)
Tongas1.6 (medium)1.5 (low)0.7 (high)0.3 (low)
Total 1.7 (medium)1.5 (low)0.7 (high)0.2 (low)
Table 7. Estimation of biomass and carbon stock of above- and belowground biomass in each subdistrict of Probolinggo Regency. Abbreviations: Aboveground biomass (AGB), belowground biomass (BGB), aboveground carbon stock (AGC), belowground carbon stock (BGC).
Table 7. Estimation of biomass and carbon stock of above- and belowground biomass in each subdistrict of Probolinggo Regency. Abbreviations: Aboveground biomass (AGB), belowground biomass (BGB), aboveground carbon stock (AGC), belowground carbon stock (BGC).
SiteAGBBGBTotal BiomassAGCBGCTotal CarbonTotal CO2
(Mg ha−1)(Mg ha−1)(Mg ha−1)(Mg ha−1)(Mg C ha−1)(Mg C ha−1)(Mg CO2 ha−1)
Kraksaan579.8±168320.5±89.7900.3±257.8278.3±80.7125.0±35.0403.3±115.71480.1±424.5
Pajarakan732.5±224343.2±132.41075.7±350.7270.6±64.4100.2±32.1370.8±92.11360.8±337.9
Gending595.1±178325.0±92.6920.2±270.4285.7±85.4126.8±36.1412.4±121.51513.6±445.8
Dringu749.0±251380.9±116.51129.9±367.5359.5±120.6148.6±45.4508.1±165.91864.7±609.0
Kademangan273.4±136158.8±63.8432.1±199.7131.2±65.261.9±24.9193.1±90.1708.8±330.7
Mayangan302.3±114178.1±64.7480.4±178.3145.1±54.769.5±25.2214.6±79.8787.5±292.8
Sumberasih200.1±75.5131.3±46.8331.4±122.296.0±36.251.2±18.2147.2±54.5540.4±199.9
Tongas92.7±30.463.1±20.6155.8±51.044.5±14.624.6±8.069.1±22.6253.7±83.0
All440.6±89.6237.6±41.8678.2±131.1201.4±39.388.5±15.3289.8±54.51063.7±199.9
Disclaimer/Publisher’s Note: The statements, opinions and data contained in all publications are solely those of the individual author(s) and contributor(s) and not of MDPI and/or the editor(s). MDPI and/or the editor(s) disclaim responsibility for any injury to people or property resulting from any ideas, methods, instructions or products referred to in the content.

Share and Cite

MDPI and ACS Style

Qur’ani, C.G.; Rizal, M.; Sugiana, I.P.; Lee, B. Baseline Ecological Insights of Vegetation and Carbon Stocks Assessment in Probolinggo Natural Mangrove Forests. Sustainability 2026, 18, 1906. https://doi.org/10.3390/su18041906

AMA Style

Qur’ani CG, Rizal M, Sugiana IP, Lee B. Baseline Ecological Insights of Vegetation and Carbon Stocks Assessment in Probolinggo Natural Mangrove Forests. Sustainability. 2026; 18(4):1906. https://doi.org/10.3390/su18041906

Chicago/Turabian Style

Qur’ani, Citra G., Muhamad Rizal, I Putu Sugiana, and Bora Lee. 2026. "Baseline Ecological Insights of Vegetation and Carbon Stocks Assessment in Probolinggo Natural Mangrove Forests" Sustainability 18, no. 4: 1906. https://doi.org/10.3390/su18041906

APA Style

Qur’ani, C. G., Rizal, M., Sugiana, I. P., & Lee, B. (2026). Baseline Ecological Insights of Vegetation and Carbon Stocks Assessment in Probolinggo Natural Mangrove Forests. Sustainability, 18(4), 1906. https://doi.org/10.3390/su18041906

Note that from the first issue of 2016, this journal uses article numbers instead of page numbers. See further details here.

Article Metrics

Back to TopTop