Characteristics and Relevance of Reduced Inorganic Sulphur Forms and Heavy Metal Elements in Surface Sediments of the Dongzhai Harbour Mangrove Wetland
Abstract
1. Introduction
2. Material and Methods
2.1. Study Area and Sample Collection
2.2. Sample Analysis
2.2.1. Determinations of Soil Properties and Heavy Metal Concentrations
2.2.2. AVS CRS and ES Extraction Process Using the Cold Diffusion Method
2.2.3. QA/QC
3. Results and Discussion
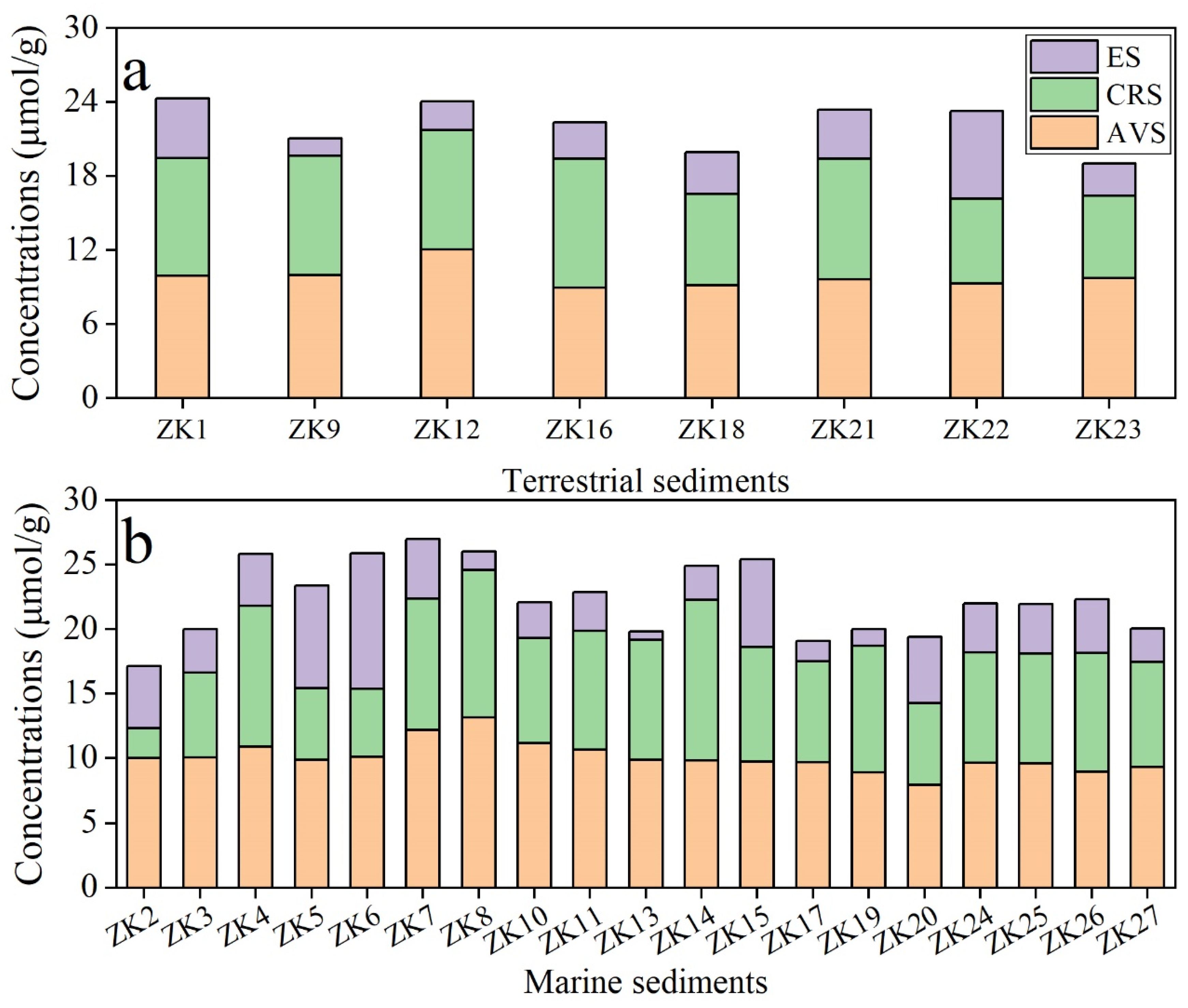
3.1. pH Values, Grain Sizes, and Inorganic Sulphur Forms
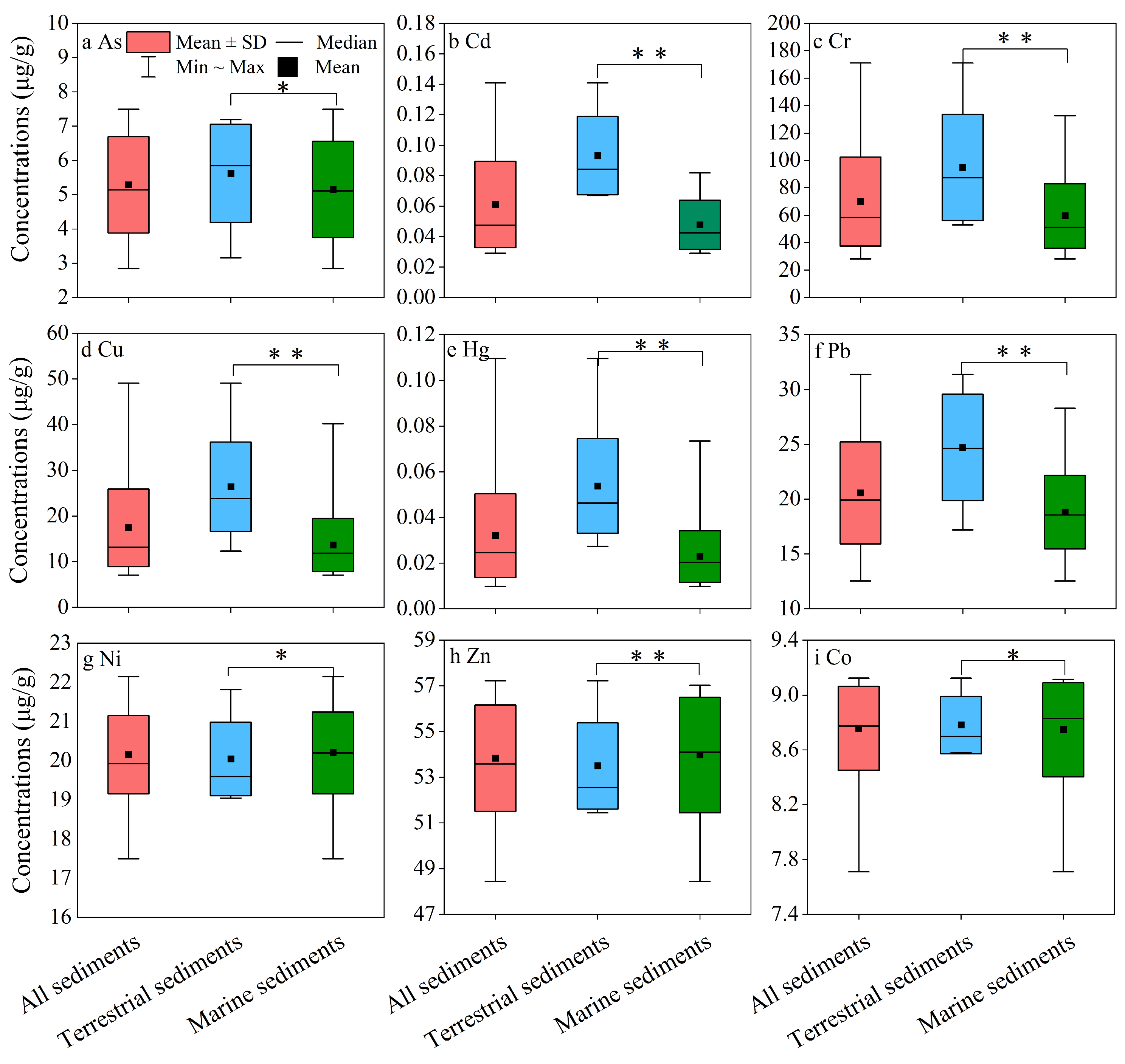
3.2. The Relationships Between Inorganic Sulphur Forms and Heavy Metals in Surface Sediments
3.3. Preliminary Source Assessment of Inorganic Sulphur Forms and Heavy Metals in Surface Sediments
4. Conclusions
Author Contributions
Funding
Institutional Review Board Statement
Informed Consent Statement
Data Availability Statement
Acknowledgments
Conflicts of Interest
References
- Dahdouh-Guebas, F.; Hugé, J.; Abuchahla, G.M.; Cannicci, S.; Jayatissa, L.P.; Kairo, J.G.; Arachchilage, S.K.; Koedam, N.; Nijamdeen, T.W.M.; Mukherjee, N.; et al. Reconciling nature, people and policy in the mangrove social-ecological system through the adaptive cycle heuristic. Estuar. Coast. Shelf Sci. 2021, 248, 106942. [Google Scholar] [CrossRef]
- Gnansounou, S.C.; Salako, K.V.; Visée, C.; Dahdouh-Guebas, F.; Kakai, R.G.; Kestemont, P.; Henry, S. The role of local deities and traditional beliefs in promoting the sustainable use of mangrove ecosystems. For. Policy Econ. 2024, 160, 103145. [Google Scholar] [CrossRef]
- zu Ermgassen, P.S.; Mukherjee, N.; Worthington, T.A.; Acosta, A.; Araujo, A.R.d.R.; Beitl, C.M.; Castellanos-Galindo, G.A.; Cunha-Lignon, M.; Dahdouh-Guebas, F.; Diele, K.; et al. Fishers who rely on mangroves: Modeling and mapping the global intensity of mangrove-associated fisheries. Estuar. Coast. Shelf Sci. 2021, 248, 107159. [Google Scholar] [CrossRef]
- Alongi, D.M. Carbon cycling and storage in mangrove forests. Annu. Rev. Mar. Sci. 2014, 6, 195–219. [Google Scholar] [CrossRef]
- Bayen, S. Occurrence, bioavailability and toxic effects of trace metals and organic contaminants in mangrove ecosystems: A review. Environ. Int. 2012, 48, 84–101. [Google Scholar] [CrossRef]
- Zhang, J.; Liu, C.L.; Deng, H.Z.; Wang, Y. Heavy metal contamination, sources, and pollution assessment of surface water in the Tianshan Mountains of China. Environ. Monit. Assess. 2014, 186, 4969–4980. [Google Scholar] [CrossRef]
- Marchand, C.; Allenbach, M.; Lallier-Vergès, E. Heavy metals distribution in mangrove sediments along the mobile coastline of French Guiana. Mar. Chem. 2016, 182, 1–8. [Google Scholar] [CrossRef]
- Alongi, D.M.; Sasekumar, A.; Tirendi, F.; Dixon, P. Sediment accumulation and organic material flux in a managed mangrove ecosystem: Estimates of land-ocean-atmosphere exchange in peninsular Malaysia. Mar. Geol. 2004, 208, 383–402. [Google Scholar] [CrossRef]
- Zhu, B.; Liao, J.; Shen, G. Spatio-temporal simulation of mangrove forests under different scenarios: A case study of mangrove protected areas, Hainan Island, China. Remote Sens. 2021, 13, 4059. [Google Scholar] [CrossRef]
- Wang, T.-T.; Shao, S.; Fan, S.-D.; Tang, W.-Q.; Miao, J.-W.; Wang, S.; Cao, X.-C.; Liu, C.; Ying, G.-G.; Chen, Z.-B.; et al. Occurrence, distribution, and risk assessment of antibiotics in a typical aquaculture area around the Dongzhai Harbor mangrove forest on Hainan Island. Sci. Total Environ. 2024, 920, 170558. [Google Scholar] [CrossRef]
- Herbeck, L.S.; Krumme, U.; Andersen, T.J.; Jennerjahn, T.C. Decadal trends in mangrove and pond aquaculture cover on Hainan (China) since 1966: Mangrove loss, fragmentation, and associated biogeochemical changes. Estuar. Coast. Shelf Sci. 2020, 233, 106531. [Google Scholar] [CrossRef]
- Xia, D.; Vaye, O.; Yang, Y.N.; Zhang, H.T.; Sun, Y.F. Spatial distributions, source apportionment and ecological risks of C9-C17 chlorinated paraffins in mangrove sediments from Dongzhai Harbor, Hainan Island. Environ. Pollut. 2021, 270, 116076. [Google Scholar] [CrossRef] [PubMed]
- Qiu, Y.W.; Yu, K.F. Accumulation of heavy metals in sediment of mangrove wetland from Hainan Island. J. Trop. Oceanogr. 2011, 30, 102–108. [Google Scholar]
- Morgan, B.; Burton, E.D.; Rate, A.W. Iron monosulfide enrichment and the presence of organosulfur in eutrophic estuarine sediments. Chem. Geol. 2012, 296, 119–130. [Google Scholar] [CrossRef]
- Burton, E.D.; Bush, R.T.; Sullivan, L.A. Fractionation and extractability of sulfur, iron and trace elements in sulfidic sediments. Chemosphere 2006, 64, 1421–1428. [Google Scholar] [CrossRef]
- Pester, M.; Knorr, K.-H.; Fuchs, S.; Wagner, M.; Amann, R. Multicellular bacteria challenge the concept of microbial individuality. ISME J. 2012, 6, 1015–1022. [Google Scholar]
- Poulton, S.W.; Canfield, D.E. Development of a sequential extraction procedure for iron: Implications for the study of iron biogeochemistry in low-oxygen environments. Geochim. Cosmochim. Acta 2005, 69, 387–400. [Google Scholar]
- Sheng, Y.; Sun, Q.; Shi, W.; Bottrell, S.; Mortimer, R. Geochemistry of reduced inorganic sulfur, reactive iron, and organic carbon in fluvial and marine surface sediment in the Laizhou Bay region, China. Environ. Earth Sci. 2015, 74, 1151–1160. [Google Scholar] [CrossRef]
- Wijsman, J.W.M.; Middelburg, J.J.; Herman, P.M.J.; Böttcher, M.E.; Heip, C.H.R. Sulfur and iron speciation in surface sediments along the northwestern margin of the Black Sea. Mar. Chem. 2001, 74, 261–278. [Google Scholar] [CrossRef]
- Poulton, S.W.; Krom, M.D.; Raiswell, R. A revised scheme for the reactivity of iron (oxyhydr) oxide minerals towards dissolved sulfide. Geochim. Cosmochim. Acta 2004, 68, 3703–3715. [Google Scholar] [CrossRef]
- Liu, B.S.; Xia, P.; Du, J.; Luo, X.N.; Zhai, R.X.; Lin, J.J. Sedimentary records of environmental evolution in Dongzhai Port mangrove swamps (South China) over the last hundred years: Insights from corrections of grain-size effects. Environ. Pollut. 2024, 343, 123179. [Google Scholar] [CrossRef] [PubMed]
- Boyd, R.S. Heavy metal pollutants and chemical ecology: Exploring new frontiers. J. Chem. Ecol. 2010, 36, 46–58. [Google Scholar] [CrossRef] [PubMed]
- Yang, J.; Paytan, A.; Yang, Y.Q.; Wei, S.P.; Liu, B.L.; Cui, H.P.; Chen, Y.X.; Zhan, Y.Q. Organic carbon and reduced inorganic sulfur accumulation in subtropical salt marsh sediments along a dynamic coast, Yancheng, China. J. Mar. Syst. 2020, 211, 103415. [Google Scholar] [CrossRef]
- Yin, X.J.; Lin, Y.P.; Li, Y.H.; Wang, L.; Sun, Z.L.; Li, G.G. Inorganic sulfur cycles in sediments of the Pearl River Estuary: Processes, mechanisms, and isotopic indicators. Estuar. Coast. Shelf Sci. 2023, 280, 108185. [Google Scholar] [CrossRef]
- Alnasser, A.S.; Halawani, R.F.; Quicksall, A.N. Assessment of heavy metal distribution, risk, and sourcing in mangrove sediments from three Saudi Arabian Red Sea locations. Mar. Pollut. Bull. 2023, 198, 115821. [Google Scholar] [CrossRef]
- Trung, N.N.; Nam, B.V.; Duc-Anh, L.; Thuy, H.T.T.; Thanh-Duong, N.; Tung, D.X.; Hoai-Nam, T.; Pham, N.S.; Mohamed, S.M.; Van-Hao, D. Characteristics of heavy metals in surface sediments of the Van Don-Tra Co coast, northeast Vietnam. Reg. Stud. Mar. Sci. 2024, 73, 103459. [Google Scholar] [CrossRef]
- Zhang, Y.; Xin, K.; Sheng, N.; Xie, Z.L.; Liao, B.W. The regenerative capacity of eight mangrove species based on propagule traits in Dongzhai Harbor, Hainan Province, China. Glob. Ecol. Conserv. 2021, 30, 101788. [Google Scholar] [CrossRef]
- Xin, K.; Huang, X.; Hu, J.; Li, C.; Yang, X.; Arndt, S.K. Land use change impacts on heavy metal sedimentation in mangrove wetlands-A case study in Dongzhai Harbor of Hainan, China. Wetlands 2014, 34, 1–8. [Google Scholar] [CrossRef]
- Li, Z.R.; Ma, T.; Sheng, Y.Q. Ecological risks assessment of sulfur and heavy metals in sediments in a historic mariculture environment, North Yellow Sea. Mar. Pollut. Bull. 2022, 183, 114083. [Google Scholar] [CrossRef]
- Li, X.; Zhao, X.R.; Zhou, F.Q.; Chen, Y.Q.; Huang, T.; Sun, Q.Y. Distribution characteristics of sulfur species and isotopes in sediments of rivers around Zhongshan tailing at Lujiang County, Anhui Province. Environ. Chem. 2021, 40, 1787–1794. [Google Scholar]
- Provencher, J.F.; Covernton, G.A.; Moore, R.C.; Horn, D.A.; Conkle, J.L.; Lusher, A.L. Proceed with caution: The need to raise the publication bar for microplastic research. Sci. Total Environ. 2020, 748, 141426. [Google Scholar] [CrossRef] [PubMed]
- Bolden, I.W.; Satkoski, A.; Lassiter, J.C.; Sachs, J.P.; Gagnon, A.C. Temporal variability in seawater Sr/Ca ratios within a coral atoll as an indicator of marine calcifier community diversity. Geochim. Cosmochim. Acta 2023, 357, 92–104. [Google Scholar] [CrossRef]
- Zhu, A.M.; Liu, J.H.; Qiao, S.Q. Quantitative source apportionment of heavy metals in sediments from the Bohai Sea, China. Mar. Pollut. Bull. 2023, 196, 115620. [Google Scholar] [CrossRef] [PubMed]
- Dahlbäck, B.; Gunnarsson, L.Å.H. Sedimentation and sulfate reduction under a mussel culture. Mar. Biol. 1981, 63, 269–275. [Google Scholar] [CrossRef]
- Howard, D.E.; Evans, R.D. Acid-volatile sulfide in a seasonally anoxic mesotrophic lake. Environ. Toxicol. Chem. 1993, 12, 1051–1057. [Google Scholar] [CrossRef]
- Sheng, Y.Q.; Fu, G.Y.; Chen, F.Z.; Chen, J. Geochemical characteristics of inorganic sulfur in Shijing River, South China. J. Environ. Monit. 2011, 13, 807–812. [Google Scholar] [CrossRef]
- Smith, R.L.; Klug, M.J. Reduction of sulfur compounds in the sediments of a eutrophic lake basin. Appl. Environ. Microbiol. 1981, 41, 1230–1237. [Google Scholar] [CrossRef]
- Leonard, E.N.; Mattson, V.R.; Benoit, D.A.; Hoke, R.A.; Ankley, G.T. Seasonal variation of acid volatile sulfide concentration in sediment cores from three northeastern Minnesota lakes. Hydrobiologia 1993, 271, 87–95. [Google Scholar] [CrossRef]
- Painuly, A.S.; Shrestha, S.; Hackney, P. Bioavailability of heavy metals using simultaneously extracted metal/acid volatile sulfide in the sediments of Lake Burragorang, NSW, Australia. J. Environ. Pollut. Hum. Health 2015, 3, 12–17. [Google Scholar]
- Chen, Y.Q. Transformation of Sulfur Species and Its Effects on the Trace Heavy Metals Bioavailability in Antarctic Lake Sediments; Anhui University: Hefei, China, 2020. [Google Scholar]
- Mao, C.P.; Du, S.M.; Jia, Z.M.; Yu, G.; Wang, Y.; Rao, W.B. Experimental Method and Application of Rapid and Continuous Extraction of Reduced Inorganic Sulfur from Sediments. Rock Miner. Anal. 2023, 42, 576–586. [Google Scholar]
- Nriagu, J.Q.; Soon, Y.K. Distribution and isotopic composition of sulfur in lake sediments of northern Ontario. Geochim. Cosmochim. Acta 1985, 49, 823–834. [Google Scholar] [CrossRef]
- Gagnon, C.; Mucci, A.; Pelletier, É. Anomalous accumulation of acid-volatile sulfides (AVS) in coastal marine sediment, Saguenay Fjord, Canada. Geochim. Cosmochim. Acta 1995, 59, 2663–2675. [Google Scholar] [CrossRef]
- Wen, J.S. Research on Characteristics of Reduced Inorganic Sulfur Species and Its Influence on the Ecological Risk of Heavy Metals in Sediments of Coastal Waters of Hainan Province; South China University of Technology: Guangzhou, China, 2017. [Google Scholar]
- Li, T.N.; Rao, W.B.; Wang, S.; Mao, C.P. Identifying the clay-size sediment provenance of the radial sand ridges in the southwestern Yellow Sea using geochemical and Sr-Nd isotopic tracers. Mar. Geol. 2022, 455, 106957. [Google Scholar] [CrossRef]
- Liu, J.; Myat, T. Contaminants and heavy metals along the mangrove area of Dongzhai Harbor, China: Distribution and assessment. SN Appl. Sci. 2021, 3, 823. [Google Scholar] [CrossRef]
- Fei, X.; Lou, Z.; Xiao, R.; Ren, Z.; Lv, X. Contamination assessment and source apportionment of heavy metals in agricultural soil through the synthesis of PMF and GeogDetector models. Sci. Total Environ. 2020, 747, 141293. [Google Scholar] [CrossRef]
- Sun, Y.L.; Yang, J.Z.; Gong, J.J.; Duan, Z. Contamination and source of metals in surface sediments from the Nandu River of Hainan Island, China. Mar. Pollut. Bull. 2022, 182, 114037. [Google Scholar] [CrossRef]
- Jiang, W.; Hou, Q.Y.; Yang, Z.F.; Yu, T.; Zhong, C.; Yang, Y.; Fu, Y.R. Annual input fluxes of heavy metals in agricultural soil of Hainan Island, China. Environ. Sci. Pollut. Res. 2014, 21, 7876–7885. [Google Scholar] [CrossRef]
- Fu, X.D.; Qiu, N.S.; Qin, J.Z.; Wenhui, L.; Wang, X.F. Content distribution and isotopic composition characteristics of sulfur in marine source rocks in Middle-Upper Yangtze region. Pet. Geol. Exp. 2013, 35, 545–551. [Google Scholar] [CrossRef]
- Zhang, J.Y.; Xing, Z.F.; Ren, G.D.; Cen, R.; Wang, C. Distribution and ecological hazard of heavy metals in sediments of Haikou Bay. Environ. Sci. Manag. 2023, 48, 126–131. [Google Scholar]
- Zhang, Y. Effects of Biochar Amendment on the Risk of Methylmercury in Hg-Contaminated Soils; Nanjing University: Nanjing, China, 2018. [Google Scholar]







| Study Area | RIS | AVS | CRS | ES | Data Source |
|---|---|---|---|---|---|
| Yancheng, China | 10.5~32.9 | / | / | / | Yang et al., 2020 [23] |
| North Yellow Sea | 23.6 | 7.4 | 10.8 | 5.4 | Li et al., 2022 [29] |
| Shijing River of China | 50.6 | 32.6 | 15.7 | 2.4 | Sheng et al., 2011 [36] |
| Burragorang Lake in Australia | / | 0.09~0.59 | / | / | Painuly et al., 2015 [39] |
| Lakes in Antarctica | 13.1 | 10.3 | 1.9 | 0.9 | Chen, 2020 [40] |
| Gorges Reservoir area of China | / | 0.18~0.20 | 3.06~3.13 | 0.36~0.38 | Mao et al., 2023 [41] |
| Dongzhai Harbour mangrove wetland | 17.16~26.00 | 7.92~13.15 | 2.32~12.46 | 0.67~10.48 | This study |
Disclaimer/Publisher’s Note: The statements, opinions and data contained in all publications are solely those of the individual author(s) and contributor(s) and not of MDPI and/or the editor(s). MDPI and/or the editor(s) disclaim responsibility for any injury to people or property resulting from any ideas, methods, instructions or products referred to in the content. |
© 2025 by the authors. Licensee MDPI, Basel, Switzerland. This article is an open access article distributed under the terms and conditions of the Creative Commons Attribution (CC BY) license (https://creativecommons.org/licenses/by/4.0/).
Share and Cite
Li, X.; Li, T.; Rao, W.; Mao, C. Characteristics and Relevance of Reduced Inorganic Sulphur Forms and Heavy Metal Elements in Surface Sediments of the Dongzhai Harbour Mangrove Wetland. Sustainability 2025, 17, 2029. https://doi.org/10.3390/su17052029
Li X, Li T, Rao W, Mao C. Characteristics and Relevance of Reduced Inorganic Sulphur Forms and Heavy Metal Elements in Surface Sediments of the Dongzhai Harbour Mangrove Wetland. Sustainability. 2025; 17(5):2029. https://doi.org/10.3390/su17052029
Chicago/Turabian StyleLi, Xiaohui, Tianning Li, Wenbo Rao, and Changping Mao. 2025. "Characteristics and Relevance of Reduced Inorganic Sulphur Forms and Heavy Metal Elements in Surface Sediments of the Dongzhai Harbour Mangrove Wetland" Sustainability 17, no. 5: 2029. https://doi.org/10.3390/su17052029
APA StyleLi, X., Li, T., Rao, W., & Mao, C. (2025). Characteristics and Relevance of Reduced Inorganic Sulphur Forms and Heavy Metal Elements in Surface Sediments of the Dongzhai Harbour Mangrove Wetland. Sustainability, 17(5), 2029. https://doi.org/10.3390/su17052029

