Spatial Dependence of Conditional Recurrence Periods for Extreme Rainfall in the Qiantang River Basin: Implications for Sustainable Regional Disaster Risk Governance
Abstract
1. Introduction
2. Overview of the Study Area and Data
2.1. Study Area
2.2. Data Sources and Preprocessing
3. Methodology
3.1. Definition of Extreme Rainfall Events
3.2. POT-GPD Marginal Distribution
3.2.1. Principle of the Peak-over-Threshold (POT) Sampling Method
3.2.2. Threshold Selection
3.2.3. Generalized Pareto Distribution Fitting
3.3. The Mixed Copula Model
3.3.1. Copula Function
3.3.2. The Mixed Copula Strategy
3.4. Conditional Probability Calculation
4. Results and Discussion
4.1. Extreme Rainfall Event Screening Results
4.2. Marginal Distribution Results
4.3. The Mixed Copula Model Fitting Results
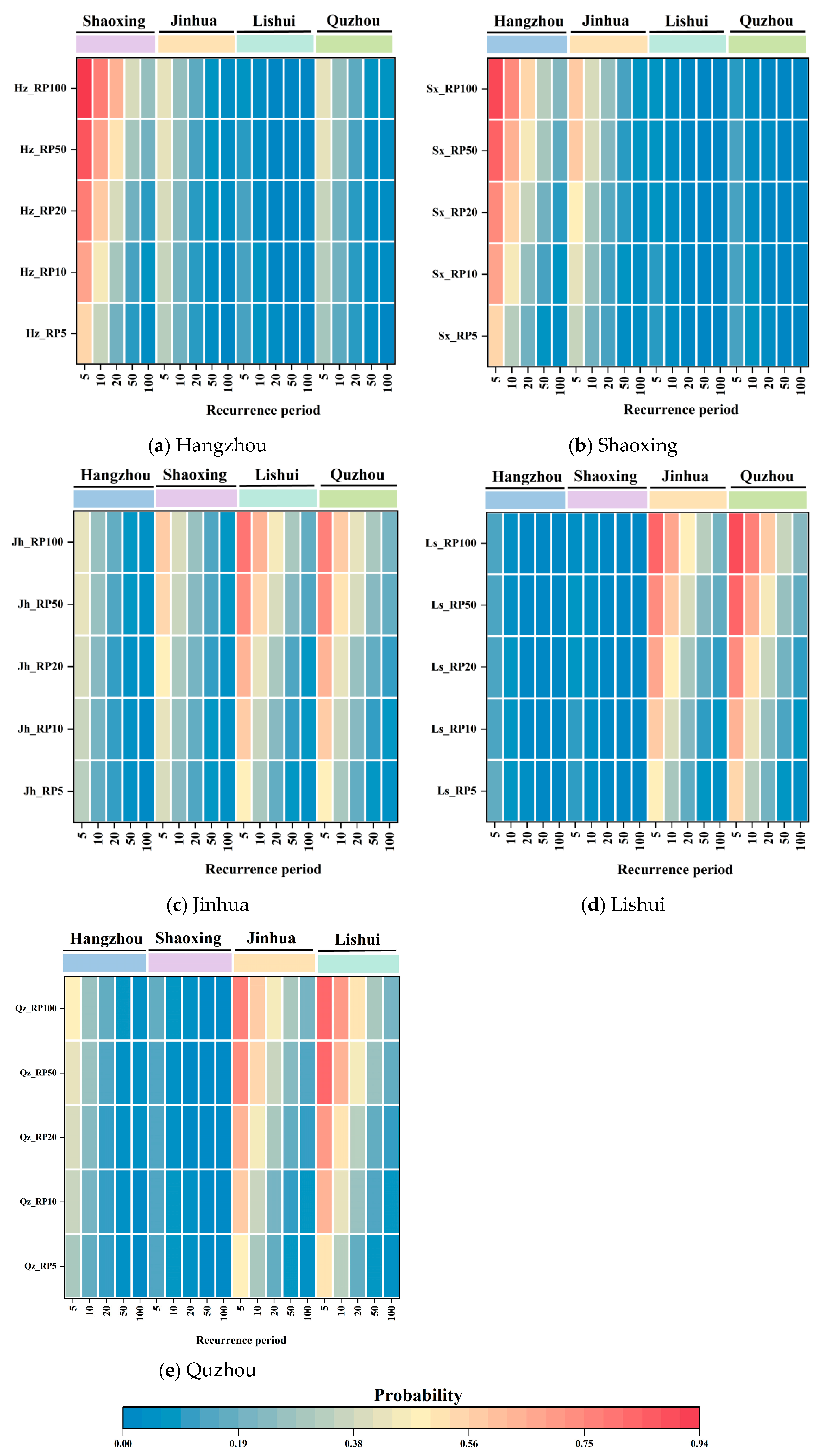
4.4. Conditional Probability Matrix for Recurrence Periods
5. Discussion
- The five selected regions cover the major climate and terrain zones of the basin: the northern plains (Hangzhou and Shaoxing), the central hilly basins (Jinhua), and the southern mountains (Lishui and Quzhou). This provides reasonable geographic representation. However, a zoning scheme based on natural features—such as terrain gradients or watershed boundaries—may better reveal the physical mechanisms of precipitation. This is a direction worth exploring in future research.
- The ERA5-Land rainfall data used in this study meets the needs of most hydrological research. However, like all reanalysis products, it has inherent uncertainties and may contain regional biases. For more precise quantitative analysis, future work could compare ERA5-Land with other datasets (such as APHRODITE and MSWEP) to provide a more comprehensive assessment.
- The mixed Copula approach performed well in this case study. However, its applicability to basins with different climate or terrain characteristics requires further testing. The optimal Copula combination and weight scheme may vary depending on regional precipitation mechanisms and may need basin-specific calibration. Future studies could apply this method to other basins to test its transferability and robustness.
6. Conclusions
- (1)
- The basin shows strong applicability of the POT-GPD method with region-specific threshold optimization. In the end, a differentiated threshold strategy was adopted, with fixed thresholds of 50 mm for Quzhou, Shaoxing, and Hangzhou and 99th percentile thresholds for Jinhua and Lishui. The significance of localized modeling in regional extreme-value analysis is highlighted by these threshold differences, which reflect the basin’s spatial heterogeneity in topography and climate. All areas, however, display shape parameters “ξ” within the moderately heavy-tailed range, despite the threshold variations, suggesting an inherent consistency in the statistical features of extreme rainfall throughout the basin.
- (2)
- Copulas with tail-dependent characteristics are dominant in the mixture; Joe Copula gains influence at longer recurrence periods, whereas Gumbel Copula dominates at shorter ones. In contrast, the Gaussian Copula, less sensitive to tail dependence, remains active at lower recurrence levels, achieving complementary performance across different recurrence periods.
- (3)
- A clear “dual-cluster” spatial pattern is revealed by conditional probability analysis. While the southern cluster (Jinhua-Lishui-Quzhou) displays notable internal coherence but noticeably weaker cross-cluster correlations, the northern cluster (Hangzhou-Shaoxing) displays extremely strong inter-region dependence. The spatial heterogeneity of rainfall systems throughout the basin is highlighted by the fact that all high-probability (>0.6) combinations only occur within clusters.
- (4)
- The “north–south dual-core” spatial pattern is basin-specific and closely matches the terrain and climate features of the Qiantang River Basin. In the flat north, storms move easily, so rainfall is highly synchronized. In the mountainous south, shared terrain lifting and moisture paths keep areas moderately correlated. The weak correlation between the two clusters is due to mountain barriers in western Zhejiang. This shows how the basin’s “plain versus mountain” landscape shapes rainfall patterns.
Author Contributions
Funding
Institutional Review Board Statement
Informed Consent Statement
Data Availability Statement
Conflicts of Interest
References
- Westra, S.; Fowler, H.J.; Evans, J.P.; Alexander, L.V.; Berg, P.; Johnson, F.; Kendon, E.J.; Lenderink, G.; Roberts, N.M. Future changes to the intensity and frequency of short-duration extreme rainfall. Rev. Geophys. 2014, 52, 522–555. [Google Scholar] [CrossRef]
- Evans, C.P.; DeGaetano, A.T. A comparison of the rates of change associated with hourly and 24-hour precipitation extremes across the eastern United States. Water Resour. Res. 2025, 61, e2025WR040435. [Google Scholar] [CrossRef]
- Xia, C.; Xu, J.; Tian, H.; Liu, J.; Zhang, S.; Lin, S.; Chen, T. Quantitative hydrological response to climate change and human activities in North and South Sources in upper stream of Qiantang River Basin, East China. J. Hydrol. Reg. Stud. 2022, 44, 101222. [Google Scholar] [CrossRef]
- Gao, C.; Xu, Y.-P.; Zhu, Q.; Bai, Z.; Liu, L. Stochastic generation of daily rainfall events: A single-site rainfall model with Copula-based joint simulation of rainfall characteristics and classification and simulation of rainfall patterns. J. Hydrol. 2018, 564, 41–58. [Google Scholar] [CrossRef]
- Xu, Y.; Ma, C.; Pan, S.; Zhu, Q.; Ran, Q. Evaluation of a multi-site weather generator in simulating precipitation in the Qiantang River Basin, East China. J. Zhejiang Univ. Sci. A 2014, 15, 219–230. [Google Scholar] [CrossRef][Green Version]
- Madsen, H.; Rasmussen, P.F.; Rosbjerg, D. Comparison of annual maximum series and partial duration series methods for modeling extreme hydrologic events: 1. At-site modeling. Water Resour. Res. 1997, 33, 747–757. [Google Scholar] [CrossRef]
- Dodangeh, E.; Shahedi, K.; Solaimani, K.; Shiau, J.-T.; Abraham, J. Data-based bivariate uncertainty assessment of extreme rainfall-runoff using copulas: Comparison between annual maximum series (AMS) and peaks over threshold (POT). Environ. Monit. Assess. 2019, 191, 67. [Google Scholar] [CrossRef]
- Serinaldi, F.; Kilsby, C.G. Rainfall extremes: Toward reconciliation after the battle of distributions. Water Resour. Res. 2014, 50, 336–352. [Google Scholar] [CrossRef]
- Zhai, P.; Zhang, X.; Wan, H.; Pan, X. Trends in total precipitation and frequency of daily precipitation extremes over China. J. Clim. 2005, 18, 1096–1108. [Google Scholar] [CrossRef]
- Fan, Y.; Wang, Y.; Xie, W.; He, B. Risk assessment of heavy rain disasters using an interpretable random forest algorithm enhanced by MAML. Appl. Sci. 2025, 15, 6165. [Google Scholar] [CrossRef]
- Cooley, D.; Nychka, D.; Naveau, P. Bayesian spatial modeling of extreme precipitation return levels. J. Am. Stat. Assoc. 2007, 102, 824–840. [Google Scholar] [CrossRef]
- Zhang, L.; Singh, V.P. Bivariate rainfall frequency distributions using Archimedean copulas. J. Hydrol. 2007, 332, 93–109. [Google Scholar] [CrossRef]
- Zhao, L.; Xia, J.; Sobkowiak, L.; Wang, Z.; Guo, F. Spatial pattern characterization and multivariate hydrological frequency analysis of extreme precipitation in the Pearl River Basin, China. Water Resour. Manag. 2012, 26, 3619–3637. [Google Scholar] [CrossRef]
- Serinaldi, F. A multisite daily rainfall generator driven by bivariate copula-based mixed distributions. J. Geophys. Res. Atmos. 2009, 114, D10103. [Google Scholar] [CrossRef]
- Qian, L.; Wang, X.; Wang, Z. Modeling the dependence pattern between two precipitation variables using a coupled copula. Environ. Earth Sci. 2020, 79, 486. [Google Scholar] [CrossRef]
- Muñoz-Sabater, J.; Dutra, E.; Agustí-Panareda, A.; Albergel, C.; Arduini, G.; Balsamo, G.; Boussetta, S.; Choulga, M.; Harrigan, S.; Hersbach, H.; et al. ERA5-Land: A state-of-the-art global reanalysis dataset for land applications. Earth Syst. Sci. Data 2021, 13, 4349–4383. [Google Scholar] [CrossRef]
- Gomis-Cebolla, J.; Rattayova, V.; Salazar-Galán, S.; Francés, F. Evaluation of ERA5 and ERA5-Land reanalysis precipitation datasets over Spain (1951–2020). Atmos. Res. 2023, 284, 106606. [Google Scholar] [CrossRef]
- Xie, W.; Yi, S.; Leng, C.; Xia, D.; Li, M.; Zhong, Z.; Ye, J. The evaluation of IMERG and ERA5-Land daily precipitation over China with considering the influence of gauge data bias. Sci. Rep. 2022, 12, 8085. [Google Scholar] [CrossRef]
- Guo, C.; Ning, N.; Guo, H.; Tian, Y.; Bao, A.; De Maeyer, P. Does ERA5-Land effectively capture extreme precipitation in the Yellow River Basin? Atmosphere 2024, 15, 1254. [Google Scholar] [CrossRef]
- Xu, J.; Ma, Z.; Yan, S.; Peng, J. Do ERA5 and ERA5-Land precipitation estimates outperform satellite-based precipitation products? A comprehensive comparison between state-of-the-art model-based and satellite-based precipitation products over mainland China. J. Hydrol. 2021, 605, 127353. [Google Scholar] [CrossRef]
- Vondou, D.A.; Guenang, G.M.; Djiotang, T.L.A.; Kamsu-Tamo, P.H. Trends and Interannual Variability of Extreme Rainfall Indices over Cameroon. Sustainability 2021, 13, 6803. [Google Scholar] [CrossRef]
- Yue, Z.; Xiong, L.; Zha, X.; Liu, C.; Chen, J.; Liu, D. Impact of thresholds on nonstationary frequency analyses of peak over threshold extreme rainfall series in Pearl River Basin, China. Atmos. Res. 2022, 276, 106269. [Google Scholar] [CrossRef]
- Tabari, H. Extreme value analysis dilemma for climate change impact assessment on global flood and extreme precipitation. J. Hydrol. 2020, 593, 125932. [Google Scholar] [CrossRef]
- Mann, H.B. Nonparametric tests against trend. Econometrica 1945, 13, 245–259. [Google Scholar] [CrossRef]
- McBride, C.M.; Kruger, A.C.; Dyson, L. Changes in extreme daily rainfall characteristics in South Africa: 1921–2020. Weather Clim. Extrem. 2022, 38, 100517. [Google Scholar] [CrossRef]
- Silva Lomba, J.; Fraga Alves, M.I. L-moments for automatic threshold selection in extreme value analysis. Stoch. Environ. Res. Risk Assess. 2020, 34, 465–491. [Google Scholar] [CrossRef]
- Pickands, J., III. Statistical inference using extreme order statistics. Ann. Stat. 1975, 3, 119–131. [Google Scholar] [CrossRef]
- Tasena, S. On a distribution form of subcopulas. Int. J. Approx. Reason. 2020, 128, 1–19. [Google Scholar] [CrossRef]
- Zhang, J.; Gao, K.; Li, Y.; Zhang, Q. Maximum likelihood estimation methods for copula models. Comput. Econ. 2022, 60, 99–124. [Google Scholar] [CrossRef]
- Genest, C.; Favre, A.-C. Everything you always wanted to know about copula modeling but were afraid to ask. J. Hydrol. Eng. 2007, 12, 347–368. [Google Scholar] [CrossRef]
- Abraj, M.; Wang, Y.-G.; Thompson, M.H. A new mixture copula model for spatially correlated multiple variables with an environmental application. Sci. Rep. 2022, 12, 13867. [Google Scholar] [CrossRef]
- Chang, K.-L. A new dynamic mixture copula mechanism to examine the nonlinear and asymmetric tail dependence between stock and exchange rate returns. Comput. Econ. 2021, 58, 965–999. [Google Scholar] [CrossRef]
- Markonis, Y.; Batelis, S.C.; Dimakos, Y.; Moschou, E.; Koutsoyiannis, D. Temporal and spatial variability of rainfall over Greece. Theor. Appl. Climatol. 2017, 130, 217–232. [Google Scholar] [CrossRef]
- Svoboda, V.; Máca, P.; Hanel, M.; Pech, P. Spatial correlation structure of monthly rainfall at a mesoscale region of north-eastern Bohemia. Theor. Appl. Climatol. 2015, 121, 359–375. [Google Scholar] [CrossRef]
- Tootoonchi, F.; Sadegh, M.; Haerter, J.O.; Räty, O.; Grabs, T.; Teutschbein, C. Copulas for hydroclimatic analysis: A practice-oriented overview. Wiley Interdiscip. Rev. Water 2022, 9, e1579. [Google Scholar] [CrossRef]
- Coles, S.; Heffernan, J.; Tawn, J. Dependence measures for extreme value analyses. Extremes 1999, 2, 339–365. [Google Scholar] [CrossRef]







| Copula | Function Formula | Description |
|---|---|---|
| Gaussian Copula | denotes the inverse function of the standard normal distribution represents the multivariate normal distribution | |
| Gumbel Copula | ||
| T-Copula | . | |
| Joe Copula |
| Area | Optimal Threshold (mm) | The p-Value of K-S Test | |||
|---|---|---|---|---|---|
| The 99% Percentile | 50 mm | ||||
| Hangzhou | 50 | 0.021 | 16.582 | 0.92 | 0.84 |
| Shaoxing | 50 | 0.041 | 19.411 | 0.0086 * | 0.96 |
| Jinhua | 44 | 0.0283 | 17.65 | 0.86 | 0.60 |
| Lishui | 51.8 | 0.023 | 18.81 | 0.89 | 0.94 |
| Quzhou | 50 | 0.0107 | 17.118 | 0.80 | 0.60 |
| Combination | AIC | RMSE | CvM Statistic | p-Value |
|---|---|---|---|---|
| Hz-Sx | −139.06 | 0.050 | 0.0025 | 0.084 |
| Hz-Jh | −42.50 | 0.014 | 0.0002 | 1.000 |
| Hz-Ls | 45.25 | 0.027 | 0.0007 | 1.000 |
| Hz-Qz | −34.21 | 0.016 | 0.0002 | 1.000 |
| Sx-Jh | −77.64 | 0.019 | 0.0003 | 1.000 |
| Sx-Ls | 73.63 | 0.037 | 0.0014 | 0.988 |
| Sx-Qz | 39.53 | 0.031 | 0.0010 | 0.998 |
| Jh-Ls | −107.88 | 0.029 | 0.0009 | 0.994 |
| Jh-Qz | −130.38 | 0.035 | 0.0012 | 0.884 |
| Ls-Qz | −151.34 | 0.038 | 0.0014 | 0.764 |
| Combination | ||||||
|---|---|---|---|---|---|---|
| Hz-Sx | 0.61 | 1.19 | 1.44 | 2.9 | 0.21 | 0.39 |
| Hz-Jh | 0.20 | 1.11 | 1.35 | 3.8 | 0.14 | 0.33 |
| Hz-Ls | −0.13 | 1.06 | 1.35 | 3.6 | 0.07 | 0.32 |
| Hz-Qz | 0.22 | 1.11 | 1.35 | 5.6 | 0.13 | 0.33 |
| Sx-Jh | 0.37 | 1.14 | 1.38 | 4.1 | 0.17 | 0.35 |
| Sx-Ls | −0.23 | 1.04 | 1.35 | 5.8 | 0.05 | 0.33 |
| Sx-Qz | −0.16 | 1.07 | 1.34 | 4.0 | 0.09 | 0.32 |
| Jh-Ls | 0.47 | 1.15 | 1.37 | 3.8 | 0.17 | 0.34 |
| Jh-Qz | 0.49 | 1.17 | 1.37 | 3.8 | 0.19 | 0.34 |
| Ls-Qz | 0.53 | 1.16 | 1.39 | 3.0 | 0.19 | 0.35 |
Disclaimer/Publisher’s Note: The statements, opinions and data contained in all publications are solely those of the individual author(s) and contributor(s) and not of MDPI and/or the editor(s). MDPI and/or the editor(s) disclaim responsibility for any injury to people or property resulting from any ideas, methods, instructions or products referred to in the content. |
© 2025 by the authors. Licensee MDPI, Basel, Switzerland. This article is an open access article distributed under the terms and conditions of the Creative Commons Attribution (CC BY) license (https://creativecommons.org/licenses/by/4.0/).
Share and Cite
Zhang, Q.-T.; Qian, J.-L.; Jiang, X.-J.; Wu, Y.-X.; Yu, P.-B. Spatial Dependence of Conditional Recurrence Periods for Extreme Rainfall in the Qiantang River Basin: Implications for Sustainable Regional Disaster Risk Governance. Sustainability 2025, 17, 10896. https://doi.org/10.3390/su172410896
Zhang Q-T, Qian J-L, Jiang X-J, Wu Y-X, Yu P-B. Spatial Dependence of Conditional Recurrence Periods for Extreme Rainfall in the Qiantang River Basin: Implications for Sustainable Regional Disaster Risk Governance. Sustainability. 2025; 17(24):10896. https://doi.org/10.3390/su172410896
Chicago/Turabian StyleZhang, Qi-Ting, Jing-Lin Qian, Xiao-Jun Jiang, Yun-Xin Wu, and Pu-Bing Yu. 2025. "Spatial Dependence of Conditional Recurrence Periods for Extreme Rainfall in the Qiantang River Basin: Implications for Sustainable Regional Disaster Risk Governance" Sustainability 17, no. 24: 10896. https://doi.org/10.3390/su172410896
APA StyleZhang, Q.-T., Qian, J.-L., Jiang, X.-J., Wu, Y.-X., & Yu, P.-B. (2025). Spatial Dependence of Conditional Recurrence Periods for Extreme Rainfall in the Qiantang River Basin: Implications for Sustainable Regional Disaster Risk Governance. Sustainability, 17(24), 10896. https://doi.org/10.3390/su172410896
