Sustainable Stabilization of Expansive Soils Using Metakaolin and Cement: Evaluation Through Soil–Water Characteristic Curve Analysis
Abstract
1. Introduction
2. Materials and Methods
2.1. Description of the Study Area
2.2. Materials
2.2.1. Expansive Soils
2.2.2. Metakaolin
Chemical Properties
Physical Materials
2.3. Methodology
2.3.1. Determination of the Soil–Water Characteristic Curve
Test Procedure
Soil Samples on the Porous Ceramic Plate
Requirements
Pressure Generation and Regulation
Running for Moisture-Retention Studies
2.4. Machine Learning Modeling
3. Results and Discussion
3.1. Test Result (SWCC Determination)
3.2. Modeling of Soil Water Characteristics Curve/SWCC Fitting Models
3.3. Test Result for Untreated Soil
3.4. Test Result for Untreated Expansive Soil
3.5. Test Result for Cement-Treated Expansive Soil
3.6. Test Result for Metakaolin and Cement-Treated Expansive Soil
3.7. Machine Learning Results
4. Conclusions
Author Contributions
Funding
Institutional Review Board Statement
Informed Consent Statement
Data Availability Statement
Conflicts of Interest
References
- Zamanian, M.; Payan, M.; Salimi, M.; Qahremani, F.; Arabani, M.; Shalchian, M.M. Comparative Efficacy of Grouting and Mixing Methods for Stabilizing Collapsible Soils with Nano-Clay and Cement. Case Stud. Constr. Mater. 2025, 23, e05159. [Google Scholar] [CrossRef]
- Ahmadi Chenarboni, H.; Hamid Lajevardi, S.; MolaAbasi, H.; Zeighami, E. The Effect of Zeolite and Cement Stabilization on the Mechanical Behavior of Expansive Soils. Constr. Build. Mater. 2021, 272, 121630. [Google Scholar] [CrossRef]
- Zhai, Q.; Rahardjo, H.; Satyanaga, A.; Dai, G. Estimation of Unsaturated Shear Strength from Soil–Water Characteristic Curve. Acta Geotech. 2019, 14, 1977–1990. [Google Scholar] [CrossRef]
- Admassie, F.Z.; Mekonen, W.W. A Simplified Model to Estimate Soil Water Characteristic Curve from Basic Soil Properties for Expansive Soils. Discov. Appl. Sci. 2025, 7, 1050. [Google Scholar] [CrossRef]
- Zamin, B.; Nasir, H.; Sikandar, M.A.; Ahmad, W.; Khan, B.J.; Ahmad, M.; Bashir, M.T. Comparative Study on the Field-and Lab-Based Soil-Water Characteristic Curves for Expansive Soils. Adv. Civ. Eng. 2022, 2022, 6390442. [Google Scholar] [CrossRef]
- Abbaszadeh, M.M.; Houston, S.L.; Zapata, C.E. Influence of Soil Cracking on the Soil-Water Characteristic Curve of Clay Soil. Soils Rocks 2015, 38, 49–58. [Google Scholar] [CrossRef]
- Puppala, A.J.; Punthutaecha, K.; Vanapalli, S.K. Soil-Water Characteristic Curves of Stabilized Expansive Soils. J. Geotech. Geoenvironmental Eng. 2006, 132, 736–751. [Google Scholar] [CrossRef]
- Mahedi, M.; Cetin, B.; White, D.J. Performance Evaluation of Cement and Slag Stabilized Expansive Soils. Transp. Res. Rec. 2018, 2672, 164–173. [Google Scholar] [CrossRef]
- Phanikumar, B.R.; Ramanjaneya Raju, E. Compaction and Strength Characteristics of an Expansive Clay Stabilised with Lime Sludge and Cement. Soils Found. 2020, 60, 129–138. [Google Scholar] [CrossRef]
- Salami, Y.; Jaafri, R. Correlation between Shape Parameters of Particle Size Distribution and Soil Water Retention Curves. Int. J. Geo-Eng. 2025, 16, 21. [Google Scholar] [CrossRef]
- Gómez, A.V. A Theoretical Pore Network Model for the Soil—Water Characteristic Curve and Hysteresis in Unsaturated Soils. Civ. Eng. J. 2025, 11, 763–778. [Google Scholar] [CrossRef]
- Al-Khalili, A.M.; Ali, A.S.; Al-Taie, A.J. Effect of Metakaolin and Silica Fume on the Engineering Properties of Expansive Soil. J. Phys. Conf. Ser. 2021, 1895, 012017. [Google Scholar] [CrossRef]
- Zumrawi, M.M.E.; Mohammed, M.H. Effect of Fly Ash on the Characteristics of Expansive Soils in Sudan. Univ. Khartoum Eng. J. 2016, 6, 5–10. [Google Scholar]
- Janani, V.; Ravichandran, P.T. Effect of Calcined Clay on the Improvement of Compaction, Swell and Microstructural Characteristics of Expansive Soil. Heliyon 2023, 9, e19337. [Google Scholar] [CrossRef] [PubMed]
- Abd, N.T.; Abbas, J.M. Effect of Metakaolin on the Swelling and Shrinkage Behaviour of a Highly Expansive Soil. Diyala J. Eng. Sci. 2023, 8716, 60–67. [Google Scholar] [CrossRef]
- Bosco Niyomukiza, J.; Yasir, Y. Effects of Using Sawdust Ash as a Stabilizer for Expansive Soils. In Proceedings of the 8th International Conference on Energy, Environment, Epidemiology and Information System (ICENIS 2023), Semarang City, Indonesia, 8–9 August 2023; Volume 448. [Google Scholar] [CrossRef]
- Ehwailat, K.I.A.; Mohamad Ismail, M.A.; Ezreig, A.M.A. Novel Approach to the Treatment of Gypseous Soil-Induced Ettringite Using Blends of Non-Calcium-Based Stabilizer, Ground Granulated Blast-Furnace Slag, and Metakaolin. Materials 2021, 14, 10–12. [Google Scholar] [CrossRef]
- Al-Gharbawi, A.S.A.; Najemalden, A.M.; Fattah, M.Y. Expansive Soil Stabilization with Lime, Cement, and Silica Fume. Appl. Sci. 2023, 13, 436. [Google Scholar] [CrossRef]
- Tao, G.; Li, Z.; Liu, L.; Chen, Y.; Gu, K. Effects of Contact Angle on the Hysteresis Effect of Soil-Water Characteristic Curves during Dry-Wet Cycles. Adv. Civ. Eng. 2021, 2021, 6683859. [Google Scholar] [CrossRef]
- Alnmr, A.; Alzawi, M.O.; Ray, R.; Abdullah, S.; Ibraheem, J. Experimental Investigation of the Soil-Water Characteristic Curves (SWCC) of Expansive Soil: Effects of Sand Content, Initial Saturation, and Initial Dry Unit Weight. Water 2024, 16, 627. [Google Scholar] [CrossRef]
- Chen, J.; Mu, J.; Chen, A.; Long, Y.; Zhang, Y.; Zou, J. Experimental Study on the Properties of Basalt Fiber–Cement-Stabilized Expansive Soil. Sustainability 2024, 16, 7579. [Google Scholar] [CrossRef]
- Zhang, R.; Zheng, J.L.; Ng, C.W. Experimental Study on Stress-Dependent Soil Water Characteristic Curve of a Recompacted Expansive Soil. Appl. Mech. Mater. 2013, 256–259, 283–286. [Google Scholar] [CrossRef]
- Sharma, S.; Pratap, A.; Rathor, S.; Kumar, J. Prediction of Soil Water Characteristic Curve of Unsaturated Soil Using Machine Learning Prediction of Soil Water Characteristic Curve of Unsaturated Soil Using. Multiscale Multidiscip. Model. Exp. Des. 2024, 8, 72. [Google Scholar] [CrossRef]
- ASTM:D421-85; Standard Practice for Dry Preparation of Soil Samples for Particle-Size Analysis and Determination of Soil Constants. ASTM: West Conshohocken, PA, USA, 2007.
- ASTM D 422-63; Standard Test Method for Particle-Size Analysis of Soils 1. ASTM: West Conshohocken, PA, USA, 2002.
- ASTM C618-08; Standard Specification for Coal Fly Ash and Raw or Calcined Natural Pozzolan for Use in Concrete. ASTM: West Conshohocken, PA, USA, 2008.
- Macías-Párraga, M.; Echarri, F.J.T.; Alonso-Pandavenes, O.; Garzón-Roca, J. Improvement of Expansive Soils: A Review Focused on Applying Innovative and Sustainable Techniques in the Ecuadorian Coastal Soils. Appl. Sci. 2025, 15, 8184. [Google Scholar] [CrossRef]
- Zamin, B.; Nasir, H.; Mehmood, K.; Iqbal, Q. Field-Obtained Soil-Water Characteristic Curves of KPK Expansive Soil and Their Prediction Correlations. Adv. Civ. Eng. 2020, 2020, 4039134. [Google Scholar] [CrossRef]
- Shaker, A.A.; Dafalla, M. Introducing Cement-Enhanced Clay-Sand Columns under Footings Placed on Expansive Soils. Appl. Sci. 2024, 14, 8152. [Google Scholar] [CrossRef]
- Kennedy, C.; Wokoma, T.T.T.; Kabari, G.S. Effect of Composite Materials on Geotechnical Characteristics of Expansive Soil Stabilization Using Costus Afer and Cement. Artic. J. Sci. Eng. Res. 2018, 5, 603–613. [Google Scholar]
- Manzanal, D.; Orlandi, S.; Fernandez, M.; Laskowski, C.; Barría, J.C.; Codevila, M.; Piqué, T. Soil-Water Retention of Highly Expansive Clay Stabilized with a Bio-Polymer. In Proceedings of the PanAm-Unsat 2021: 3rd Pan-American Conference on Unsaturated Soils, Online, 25–28 July 2021; Volume 337, p. 01006. [Google Scholar] [CrossRef]
- Ma, L.; Guo, J.; Liang, D.; Ding, X.; Xue, Y. Model Modification of the Soil–Water Characteristic Curve of Unsaturated Weak Expansive Soil. Appl. Sci. 2024, 14, 7498. [Google Scholar] [CrossRef]
- Temilade, T.; Wokoma, T.; Kennedy, C.; Belema, A.W. Performance Characteristics of Cement, Lime—Pozzolanic Bagasse Fibre Ash Stabilized Expansive Lateritic Soils for Highway Pavement Materials. Int. J. Sci. Eng. Res. 2018, 9, 1092–1109. [Google Scholar]
- Li, S.; Zhang, B.; Chen, S.; Liu, Z.; Zheng, J.; Zhao, M.; Gao, L. Shallow Sliding Failure of Slope Induced by Rainfall in Highly Expansive Soils Based on Model Test. Water 2025, 17, 2144. [Google Scholar] [CrossRef]
- Wubineh, B.Z.; Metekiya, B.Y. A Knowledge-Based System to Predict Crime from Criminal Records in the Case of Hossana Police Commission. In Proceedings of the International Conference on Information and Communication Technology for Development for Africa (ICT4DA), Bahir Dar, Ethiopia, 26–28 October 2023; IEEE: New York, NY, USA, 2023; pp. 90–95. [Google Scholar]
- Kassa, S.M.; Wubineh, B.Z. Use of Machine Learning to Predict California Bearing Ratio of Soils. Adv. Civ. Eng. 2023, 2023, 8198648. [Google Scholar] [CrossRef]
- Kassa, S.M.; Wubineh, B.Z.; Geremew, A.M.; Azmatch, T.F.; Kumar, N.D. Prediction of Compaction Parameters Based on Atterberg Limit by Using a Machine Learning Approach. In Proceedings of the International Conference on Advances of Science and Technology, Bahir Dar, Ethiopia, 25–27 August 2023; pp. 133–146. [Google Scholar]
- Wubineh, B.Z.; Sewunet, S.D. Classifying Dairy Farmers’ Knowledge, Attitudes, and Practices towards Aflatoxin Using Bootstrap Oversampling and Machine Learning. In Proceedings of the 2024 International Conference on Information and Communication Technology for Development for Africa (ICT4DA), Bahir Dar, Ethiopia, 18–20 November 2024; pp. 43–48. [Google Scholar] [CrossRef]
- Kassa, S.M.; Wubineh, B.Z.; Geremew, A.M. Domain-Driven Teacher-Student Machine Learning Framework for Predicting Slope Stability Under Dry Conditions. Appl. Sci. 2025, 15, 10613. [Google Scholar] [CrossRef]
- Wubineh, B.Z. Crime Analysis and Prediction Using Machine-Learning Approach in the Case of Hossana Police Commission. Secur. J. 2024, 37, 1269–1284. [Google Scholar] [CrossRef]
- Wubineh, B.Z.; Asamenew, Y.A.; Kassa, S.M. Prediction of Road Traffic Accident Severity Using Machine Learning Techniques in the Case of Addis Ababa. In Proceedings of the International Conference on Robotics and Networks, Istanbul, Turkey, 15–116 December 2023; Springer Nature: Cham, Switzerland, 2023; pp. 129–144. [Google Scholar]
- Umar, I.H.; Abubakar, S.; Bello, A.B.; Lin, H.; Hassan, J.I.; Cao, R. Stabilization of Expansive Soils Using Cement–Zeolite Mixtures: Experimental Study and Lasso Modeling. Materials 2025, 18, 2286. [Google Scholar] [CrossRef]
- Khattab, S.A.A.; Al-Taie, L.K.I. Soil-Water Characteristic Curves (SWCC) for Lime Treated Expansive Soil from Mosul City. In Proceedings of the Fourth International Conference on Unsaturated Soils, Carefree, AZ, USA, 2–6 April 2006; Volume 40802, pp. 1671–1682. [Google Scholar] [CrossRef]
- Almuaythir, S.; Zaini, M.S.I.; Hasan, M. Shear Strength, Compressibility, and Consolidation Behaviour of Expansive Clay Soil Stabilized with Lime and Silica Fume. Sci. Rep. 2025, 15, 26185. [Google Scholar] [CrossRef]
- Jalal, F.E.; Mulk, S.; Memon, S.A.; Jamhiri, B.; Naseem, A. Strength, Hydraulic, and Microstructural Characteristics of Expansive Soils Incorporating Marble Dust and Rice Husk Ash. Adv. Civ. Eng. 2021, 2021, 9918757. [Google Scholar] [CrossRef]
- ASTM D6836; Standard Test Methods for Determination of the Soil Water Characteristic Curve for Desorption Using Hanging Column, Pressure Extractor, Chilled Mirror Hygrometer, or Centrifuge. ASTM: West Conshohocken, PA, USA, 2016.
- Wang, S.; Zhang, X.; Zhang, P.; Chen, Z. Strength Performance and Stabilization Mechanism of Fine Sandy Soils Stabilized with Cement and Metakaolin. Sustainability 2023, 15, 3431. [Google Scholar] [CrossRef]
- Chao, K.C.; Nelson, J.D.; Overton, D.D.; Cumbers, J.M. Soil Water Retention Curves for Remolded Expansive Soils. In Proceedings of the 1st European Conference on Unsaturated Soils 2008, Durham, UK, 2–4 July 2008; pp. 243–248. [Google Scholar] [CrossRef]
- Khodabandeh, M.A.; Kopecskó, K.; Nagy, G. The Effect of Expanded Perlite and Metakaolin on the Physicochemical Properties of Collapsible Soils. Hidrológiai Közlöny 2024, 104, 45–52. [Google Scholar] [CrossRef]
- Zhao, Y.; Zhang, H.; Wang, G.; Yang, Y. The Infiltration Characteristics of Expansive Soil Considering Fracture under Wet-Dry Cycle Conditions. Heliyon 2024, 10, e36840. [Google Scholar] [CrossRef]
- Fityus, S.; Buzzi, O. The Place of Expansive Clays in the Framework of Unsaturated Soil Mechanics. Appl. Clay Sci. 2009, 43, 150–155. [Google Scholar] [CrossRef]
- Awadalseed, W.; Zhao, H.; Sun, H.; Huang, M.; Liu, C. Expansive Soil Stabilization by Bagasse Ash in Partial Replacement of Cement. J. Renew. Mater. 2023, 11, 1911–1935. [Google Scholar] [CrossRef]
- Zhu, M.; Leo, C.; Zeng, Q.; Fanna, D.J.; Hsi, J.; Karimi, R.; Fabbri, A.; Liyanapathirana, S.; Hu, P.; Alzghool, H. Efficacy of Expansive Soil Stabilisation Using Un-Calcinated Kaolinite-Based Alkali-Activated Binders. Clean. Mater. 2025, 16, 100315. [Google Scholar] [CrossRef]
- Zhang, X.; Mavroulidou, M.; Gunn, M.J. A Study of the Water Retention Curve of Lime-Treated London Clay. Acta Geotech. 2017, 12, 23–45. [Google Scholar] [CrossRef]
- Premalatha, K.; Suriya, P. Soil Water Characteristic Curves of Expansive Clays of Chennai. In Proceedings of the 4th Asia Pacific Conference on Unsaturated Soils, Newcastle, Australia, 23 November 2009; pp. 257–262. [Google Scholar]
- Vanapalli, S.K.; Fredlund, D.G.G. Comparison of Different Procedures to Predict Unsaturated Soil Shear Strength. In Advances in Unsaturated Geotechnics; ASCE: Reston, VA, USA, 2000; pp. 195–209. [Google Scholar]
- Zhou, J.; Yu, J.L. Influences Affecting the Soil-Water Characteristic Curve. J. Zhejiang Univ. Sci. 2005, 6, 797–804. [Google Scholar] [CrossRef]











| Oxide | Percentage |
|---|---|
| SiO2 | 62.62 |
| Al2O3 | 29.38 |
| Fe2O3 | 1.9 |
| CaO | <0.01 |
| MgO | <0.01 |
| Na2O | <0.01 |
| K2O | 1.98 |
| H2O | 0.78 |
| MnO | 0.02 |
| P2O3 | 0.12 |
| TiO2 | 0.16 |
| LoI | 2.16 |
| Properties | Symbol | Test Result |
|---|---|---|
| Liquid Limit (%) | LL | 38.05 |
| Plastic Limit, (%) | PL | 27.20 |
| Plasticity Index, (%) | PI | 10.85 |
| Maximum Dry Density, (g/cm3) | MDD | 1.45 |
| Optimum Moisture Content (%) | OMC | 26.3 |
| Specific Gravity (unitless) | Gs | 2.6 |
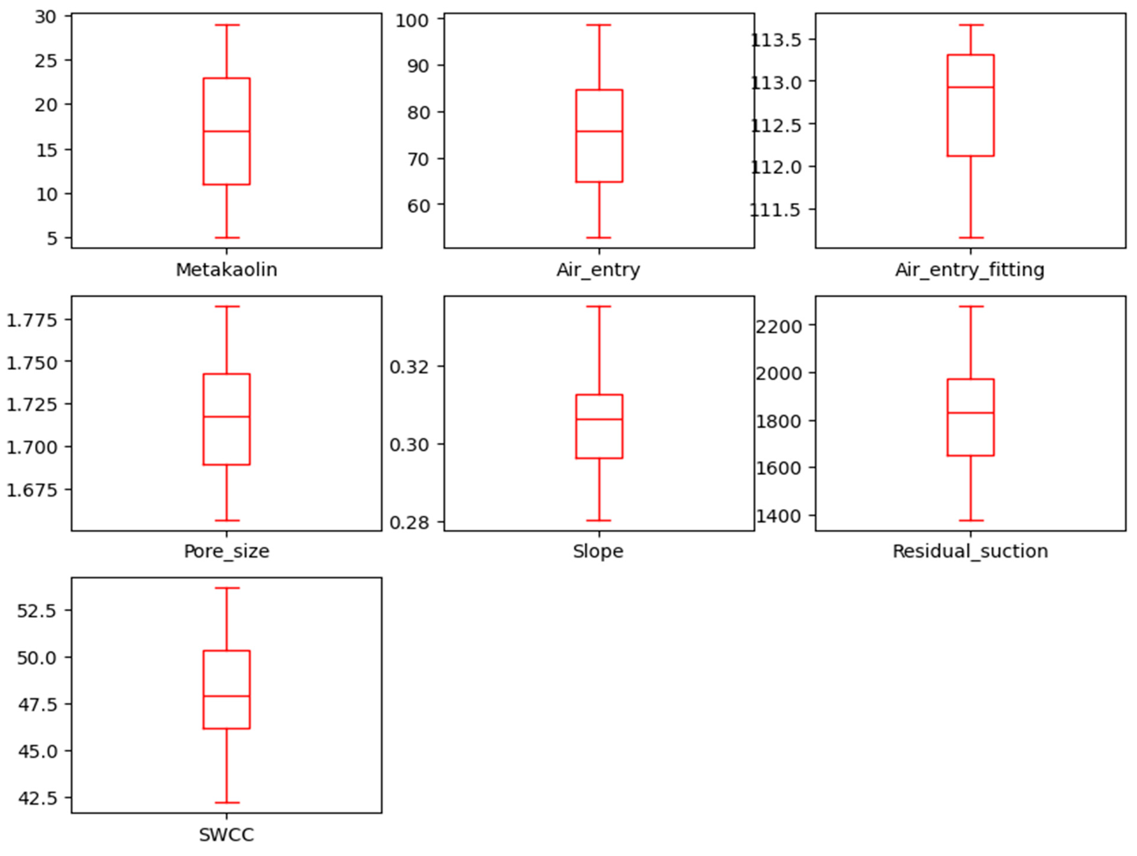
| Metakaolin | Air_Entry | Air_Entry_Fitting | Pore_Size | Slope | Residual_Suction | SWCC | |
|---|---|---|---|---|---|---|---|
| count | 100.000000 | 100.000000 | 100.000000 | 100.000000 | 100.000000 | 100.000000 | 100.000000 |
| mean | 17.000000 | 74.769387 | 112.696185 | 1.716326 | 0.305424 | 1814.003141 | 48.147658 |
| std | 7.033089 | 11.855261 | 0.697843 | 0.031730 | 0.012494 | 207.500457 | 3.034008 |
| min | 5.000000 | 52.774671 | 111.162188 | 1.656912 | 0.280416 | 1379.176567 | 42.184973 |
| 25% | 11.000000 | 64.877536 | 112.126387 | 1.689213 | 0.296129 | 1648.284716 | 46.169018 |
| 50% | 17.000000 | 75.853340 | 112.930894 | 1.717862 | 0.306400 | 1831.698329 | 47.905325 |
| 75% | 23.000000 | 84.653346 | 113.306888 | 1.742517 | 0.312632 | 1970.276198 | 50.351798 |
| max | 29.000000 | 98.859535 | 113.668376 | 1.782300 | 0.335266 | 2279.352963 | 53.633877 |
| Model | Key Parameters |
|---|---|
| RF | n_estimators = 500, max_depth = 12, random_state = 42, min_samples_split = 8, min_samples_leaf = 4 |
| DT | max_depth = 10, min_samples_split = 8, min_samples_leaf = 4, splitter = ‘best’, random_state = 42 |
| ANN | Layers: (256, 128, 64], activation = ReLU, dropout = 0.2, optimizer = Adam (lr = 0.001), loss = MSE, epochs = 500, batch_size = 16 |
| Suction (Kpa) | 33 | 200 | 400 | 800 | 1000 | 1200 | 1400 |
| Gravimetric water content (%) | 53.95 | 45.88 | 40.22 | 35.19 | 33.68 | 32.51 | 31.57 |
| Suction (kPa) | 10 | 33 | 200 | 400 | 800 | 1000 | 1200 | 1400 |
| Metakaolin ɷ (%) | 36.21 | 33.61 | 20.47 | 15.66 | 13.79 | 12.89 | 11.41 | 10.65 |
| Suction (kPa) | ° | Gravimetric Water Content (%) | ° | ° | ° | ||
|---|---|---|---|---|---|---|---|
| 33 | 200 | 400 | 800 | 1000 | 1200 | 1400 | |
| Soil+ 5% Metakaolin | 51.67 | 43.94 | 38.49 | 33.71 | 32.27 | 31.14 | 30.24 |
| Soil + 8% Metakaolin | 51.15 | 43.5 | 38.14 | 33.37 | 31.95 | 30.83 | 29.94 |
| Soil + 11% Metakaolin | 49.11 | 41.77 | 36.62 | 32.04 | 30.67 | 29.6 | 28.74 |
| Soil + 14% Metakaolin | 47.94 | 40.77 | 35.75 | 31.27 | 29.93 | 28.91 | 28.04 |
| Soil + 17% Metakaolin | 47.1 | 40.04 | 35.11 | 30.7 | 29.39 | 28.37 | 27.55 |
| Soil + 20% Metakaolin | 46.46 | 39.51 | 34.64 | 30.31 | 29.01 | 28 | 27.19 |
| Soil + 23% Metakaolin | 45.44 | 38.64 | 33.88 | 29.64 | 28.37 | 27.38 | 26.59 |
| Soil + 26% Metakaolin | 43.8 | 37.25 | 32.66 | 28.57 | 27.35 | 26.39 | 25.63 |
| Soil + 29% Metakaolin | 42.71 | 36.32 | 31.84 | 27.86 | 26.67 | 25.73 | 24.99 |
| Soil Specimen | AEV (kPa) | af (kPa) | nf | mf | Ψr (kPa) | ws |
|---|---|---|---|---|---|---|
| Soil + 5% Metakaolin | 95 | 113.66 | 1.67 | 0.33 | 2206.86 | 52.58 |
| Soil + 8% Metakaolin | 90 | 113.38 | 1.68 | 0.32 | 2012.42 | 52.03 |
| Soil + 11% Metakaolin | 85 | 113.36 | 1.69 | 0.31 | 1962.77 | 49.95 |
| Soil + 14% Metakaolin | 80 | 113.14 | 1.70 | 0.31 | 1914.14 | 48.76 |
| Soil + 17% Metakaolin | 75 | 113.00 | 1.71 | 0.31 | 1864.54 | 47.88 |
| Soil + 20% Metakaolin | 70 | 112.27 | 1.73 | 0.30 | 1696.86 | 47.22 |
| Soil + 23% Metakaolin | 65 | 112.18 | 1.74 | 0.30 | 1666.66 | 46.18 |
| Soil + 26% Metakaolin | 60 | 111.89 | 1.75 | 0.29 | 1562.21 | 44.50 |
| Soil + 29% Metakaolin | 55 | 111.1 | 1.78 | 0.28 | 1416.42 | 43.38 |
| Suction (kPa) | Gravimetric Water Content (%) | |||
|---|---|---|---|---|
| Expansive Soil + 3% Cement | Expansive Soil + 5% Cement | Expansive Soil + 8% Cement | Expansive Soil + 10% Cement | |
| 33 | 44.53 | 43.2 | 41.47 | 38.98 |
| 200 | 37.87 | 36.73 | 35.26 | 33.15 |
| 400 | 33.2 | 32.21 | 30.92 | 29.06 |
| 800 | 29.05 | 28.18 | 27.05 | 25.43 |
| 1000 | 27.8 | 26.97 | 25.89 | 24.34 |
| 1200 | 26.83 | 26.03 | 24.99 | 23.49 |
| 1400 | 26.06 | 25.28 | 24.27 | 22.81 |
| Soil Specimen | AEV (kPa) | af (kPa) | nf | mf | Ψr (kPa) | ws |
|---|---|---|---|---|---|---|
| Soil + 3% cement | 80 | 112.52 | 1.72 | 0.31 | 1729.99 | 45.26 |
| Soil + 5% cement | 70 | 111.80 | 1.74 | 0.30 | 1606.04 | 43.70 |
| Soil + 8% cement | 60 | 111.49 | 1.77 | 0.29 | 1499.84 | 42.12 |
| Soil + 10% cement | 55 | 111.6 | 1.77 | 0.29 | 1499.84 | 39.59 |
| Suction (kPa) | Gravimetric Water Content (%) | ||||
|---|---|---|---|---|---|
| Soil + 5% Metakaolin 5% Cement | Soil + 8% Metakaolin 5% Cement | Soil + 11% Metakaolin 5% Cement | Soil + 14% Metakaolin 5% Cement | Soil + 17% Metakaolin 5% Cement | |
| 10 | 40.01 | 38.64 | 37.38 | 36.00 | 35.04 |
| 33 | 36.46 | 34.84 | 34.98 | 33.98 | 32.60 |
| 200 | 25.81 | 23.88 | 23.78 | 21.01 | 19.47 |
| 400 | 19.67 | 18.56 | 17.46 | 16.16 | 15.66 |
| 800 | 18.32 | 16.57 | 16.48 | 15.80 | 13.79 |
| 1000 | 15.49 | 13.4 | 12.16 | 11.91 | 11.54 |
| 1200 | 13.02 | 11.73 | 11.5 | 11.15 | 10.95 |
| 1400 | 11.65 | 11.53 | 11.28 | 10.89 | 10.45 |
| Soil Specimen | AEV (kPa) | af (kPa) | nf | mf | Ψr (kPa) | ws |
|---|---|---|---|---|---|---|
| Soil + 5% Metakaolin + 5% cement | 40 | 111.71 | 0.85 | 1.19 | 1115.44 | 42.03 |
| Soil + 8% Metakaolin + 5% cement | 35 | 90.26 | 0.87 | 1.16 | 944.77 | 40.95 |
| Soil + 11% Metakaolin + 5% cement | 30 | 87.69 | 1.08 | 0.95 | 899.11 | 38.95 |
| Soil + 14% Metakaolin + 5% cement | 25 | 52.71 | 1.27 | 0.74 | 852.74 | 38.1 |
| Soil + 17% Metakaolin + 5% cement | 20 | 46.53 | 1.41 | 0.68 | 762.21 | 36.78 |
| Model | R2 | Adjusted R2 | MAE | MSE | RMSE |
|---|---|---|---|---|---|
| RF | 0.9063 | 0.8631 | 0.8015 | 0.9118 | 0.9549 |
| DT | 0.8919 | 0.8421 | 0.8063 | 1.0516 | 1.0255 |
| ANN | 0.8590 | 0.7940 | 0.9588 | 1.3717 | 1.1712 |
Disclaimer/Publisher’s Note: The statements, opinions and data contained in all publications are solely those of the individual author(s) and contributor(s) and not of MDPI and/or the editor(s). MDPI and/or the editor(s) disclaim responsibility for any injury to people or property resulting from any ideas, methods, instructions or products referred to in the content. |
© 2025 by the authors. Licensee MDPI, Basel, Switzerland. This article is an open access article distributed under the terms and conditions of the Creative Commons Attribution (CC BY) license (https://creativecommons.org/licenses/by/4.0/).
Share and Cite
Kacprzak, G.; Demlew, M.B.; Kassa, S.M.; Wubineh, B.Z. Sustainable Stabilization of Expansive Soils Using Metakaolin and Cement: Evaluation Through Soil–Water Characteristic Curve Analysis. Sustainability 2025, 17, 10249. https://doi.org/10.3390/su172210249
Kacprzak G, Demlew MB, Kassa SM, Wubineh BZ. Sustainable Stabilization of Expansive Soils Using Metakaolin and Cement: Evaluation Through Soil–Water Characteristic Curve Analysis. Sustainability. 2025; 17(22):10249. https://doi.org/10.3390/su172210249
Chicago/Turabian StyleKacprzak, Grzegorz, Muluager Bewket Demlew, Semachew Molla Kassa, and Betelhem Zewdu Wubineh. 2025. "Sustainable Stabilization of Expansive Soils Using Metakaolin and Cement: Evaluation Through Soil–Water Characteristic Curve Analysis" Sustainability 17, no. 22: 10249. https://doi.org/10.3390/su172210249
APA StyleKacprzak, G., Demlew, M. B., Kassa, S. M., & Wubineh, B. Z. (2025). Sustainable Stabilization of Expansive Soils Using Metakaolin and Cement: Evaluation Through Soil–Water Characteristic Curve Analysis. Sustainability, 17(22), 10249. https://doi.org/10.3390/su172210249

