Crack Detection and Displacement Measurement of Earth-Fill Dams Based on Computer Vision and Deep Learning
Abstract
1. Introduction
2. Methodology
2.1. Earth-Fill Dams Crack Detection
2.1.1. Crack Segmentation Based on Improved YOLOv8-CGA Method
- (1)
- Cascaded Group Attention
- (2)
- Network structure of YOLOv8-CGA
- (3)
- Evaluation Metrics
2.1.2. Crack Width Calculation
- (1)
- Crack edge and skeleton extraction
- (2)
- Crack width
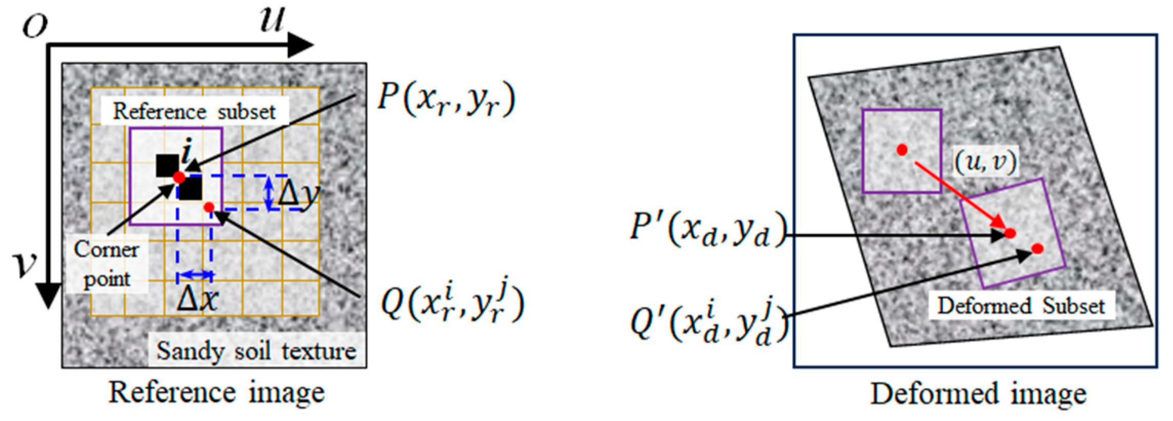
2.2. Displacement and Strain Measurement Base on DIC Method
3. Results
3.1. Experimental Setup
3.2. Experimental Results of Crack Segmentation
- (1)
- Performance comparison of models
- (2)
- Crack detection visualization of models
3.3. Experimental Results of Crack Width
3.4. Experimental Results of Displacement and Strain Measurements
4. Discussion
5. Conclusions
Author Contributions
Funding
Institutional Review Board Statement
Informed Consent Statement
Data Availability Statement
Conflicts of Interest
Correction Statement
References
- Gordan, B.; Raja, M.A.; Armaghani, D.J.; Adnan, A. Review on dynamic behaviour of earth dam and embankment during an earthquake. Geotech. Geol. Eng. 2022, 40, 3–33. [Google Scholar] [CrossRef]
- Wang, F.; Tulamaiti, Y.; Fang, H.; Yu, X.; Zhou, C. Seismic response characteristics of polymer anti-seepage wall in earth dam based on earthquake wave motion input method. Structures 2023, 47, 358–373. [Google Scholar] [CrossRef]
- He, K.; Song, C.; Fell, R. Numerical modelling of transverse cracking in embankment dams. Comput. Geotech. 2021, 132, 104028. [Google Scholar] [CrossRef]
- Xiong, J.; Lu, W.; Wang, G.; Chen, M.; Wang, Y.; Liu, J. Vertical crack identification of arch dam under underwater explosion based on mode transition. Structures 2024, 59, 105671. [Google Scholar] [CrossRef]
- Park, G.; Cudney, H.H.; Inman, D.J. Impedance-based health monitoring of civil structural components. J. Infrastruct. Syst. 2000, 6, 153–160. [Google Scholar] [CrossRef]
- Hu, H.; Li, Z.; He, Z.; Wang, L.; Cao, S.; Du, W. Road surface crack detection method based on improved YOLOv5 and vehicle-mounted images. Measurement 2024, 229, 114443. [Google Scholar] [CrossRef]
- Stałowska, P.; Suchocki, C.; Rutkowska, M. Crack detection in building walls based on geometric and radiometric point cloud information. Autom. Constr. 2022, 134, 104065. [Google Scholar] [CrossRef]
- Steen, C.V.; Pahlavan, L.; Verstrynge, E. Smart aggregates for acoustic emission monitoring of concrete cracking and reinforcement corrosion. Constr. Build. Mater. 2024, 443, 137644. [Google Scholar] [CrossRef]
- Deng, Z.; Gao, Q.; Huang, M.; Wan, N.; Zhang, J.; He, Z. From data processing to behavior monitoring: A comprehensive overview of dam health monitoring technology. Structures 2025, 71, 108094. [Google Scholar] [CrossRef]
- Kheradmandi, N.; Mehranfar, V. A critical review and comparative study on image segmentation-based techniques for pavement crack detection. Constr. Build. Mater. 2022, 321, 126162. [Google Scholar] [CrossRef]
- Cheng, H.D.; Chen, J.R.; Glazier, C. Novel approach to pavement cracking detection based on fuzzy set theory. J. Comput. Civ. Eng. 1999, 13, 270–280. [Google Scholar] [CrossRef]
- Kirschke, K.R.; Velinsky, S.A. Histogram-based approach for automated pavement-crack sensing. J. Transp. Eng. 1992, 118, 700–710. [Google Scholar] [CrossRef]
- Golding, V.P.; Gharineiat, Z.; Munawar, H.S.; Ullah, F. Crack detection in concrete structures using deep learning. Sustainability 2022, 14, 8117. [Google Scholar] [CrossRef]
- Laxman, K.; Tabassum, N.; Ai, L.; Cole, C.; Ziehl, P. Automated crack detection and crack depth prediction for reinforced concrete structures using deep learning. Constr. Build. Mater. 2023, 370, 130709. [Google Scholar] [CrossRef]
- Fan, C.L. Evaluation model for crack detection with deep learning: Improved confusion matrix based on linear features. J. Constr. Eng. Manag. 2025, 151, 04024210. [Google Scholar] [CrossRef]
- Liu, Y.; Yao, J.; Lu, X.; Xie, R.; Li, L. DeepCrack: A deep hierarchical feature learning architecture for crack segmentation. Neurocomputing 2019, 338, 139–153. [Google Scholar] [CrossRef]
- Han, C.; Ma, T.; Huyan, J.; Huang, X.; Zhang, Y. CrackW-Net: A novel pavement crack image segmentation convolutional neural network. IEEE Trans. Intell. Transp. Syst. 2021, 23, 22135–22144. [Google Scholar] [CrossRef]
- Al-Huda, Z.; Peng, B.; Algburi, R.N.A.; Al-antari, M.A.; Al-Jarazi, R.; Zhai, D. A hybrid deep learning pavement crack semantic segmentation. Eng. Appl. Artif. Intell. 2023, 122, 106142. [Google Scholar] [CrossRef]
- Lu, X.; Li, Q.; Li, J.; Zhang, L. Deep learning-based method for detection and feature quantification of microscopic cracks on the surface of concrete dams. Measurement 2025, 240, 115587. [Google Scholar] [CrossRef]
- Zhou, J.; Zhao, G.; Li, Y. Vison Transformer-Based Automatic Crack Detection on Dam Surface. Water 2024, 16, 1348. [Google Scholar] [CrossRef]
- Huang, B.; Kang, F.; Li, X.; Zhu, S. Underwater dam crack image generation based on unsupervised image-to-image translation. Autom. Constr. 2024, 163, 105430. [Google Scholar] [CrossRef]
- Guo, B.; Li, X.; Li, D. Crackwave R-convolutional neural network: A discrete wavelet transform and deep learning fusion model for underwater dam crack detection. Struct. Health Monit. 2025. [Google Scholar] [CrossRef]
- Zhu, Y.; Niu, X.; Tian, J. A machine vision-based intelligent segmentation method for dam underwater cracks using swarm optimization algorithm and deep learning. Comput. Aided Civ. Infrastruct. Eng. 2025, 40, 1405–1417. [Google Scholar] [CrossRef]
- Li, Y.; Zhao, H.; Wei, Y.; Bao, T.; Li, T.; Wang, Q. Vision-guided crack identification and size quantification framework for dam underwater concrete structures. Struct. Health Monit. 2025, 24, 2125–2148. [Google Scholar] [CrossRef]
- Khan, U.S.; Ishfaque, M.; Khan, S.U.R.; Xu, F.; Chen, L.; Lei, Y. Comparative analysis of twelve transfer learning models for the prediction and crack detection in concrete dams, based on borehole images. Front. Struct. Civ. Eng. 2024, 18, 1507–1523. [Google Scholar] [CrossRef]
- Dai, Q.; Ishfaque, M.; Khan, S.U.R.; Luo, Y.L.; Lei, Y.; Zhang, B. Image classification for sub-surface crack identification in concrete dam based on borehole CCTV images using deep dense hybrid model. Stoch. Environ. Res. Risk Assess. 2024, 39, 4367–4654. [Google Scholar] [CrossRef]
- Pal, M.; Palevičius, P.; Landauskas, M.; Orinaitė, U.; Timofejeva, I.; Ragulskis, M. An overview of challenges associated with automatic detection of concrete cracks in the presence of shadows. Appl. Sci. 2021, 11, 11396. [Google Scholar] [CrossRef]
- Panella, F.; Lipani, A.; Boehm, J. Semantic segmentation of cracks: Data challenges and architecture. Autom. Constr. 2022, 135, 104110. [Google Scholar] [CrossRef]
- Redmon, J.; Farhadi, A. Yolov3: An incremental improvement. arXiv 2018, arXiv:1804.02767. [Google Scholar] [CrossRef]
- Sohan, M.; Sai Ram, T.; Rami Reddy, C.V. A review on yolov8 and its advancements. In Proceedings of the International Conference on Data Intelligence and Cognitive Informatics, Tirunelveli, India, 27–28 June 2024; pp. 529–545. [Google Scholar]
- Liu, X.; Peng, H.; Zheng, N.; Yang, Y.; Hu, H.; Yuan, Y. Efficientvit: Memory efficient vision transformer with cascaded group attention. In Proceedings of the IEEE/CVF Conference on Computer Vision and Pattern Recognition, Vancouver, BC, Canada, 17–24 June 2023; pp. 14420–14430. [Google Scholar]
- Yu, C.; Shin, Y. MCG-RTDETR: Multi-convolution and context-guided network with cascaded group attention for object detection in unmanned aerial vehicle imagery. Remote Sens. 2024, 16, 3169. [Google Scholar] [CrossRef]
- Tomasi, C.; Manduchi, R. Bilateral filtering for gray and color images. In Proceedings of the Sixth International Conference on Computer Vision, Bombay, India, 4–7 January 1998; pp. 839–846. [Google Scholar]
- Otsu, N. A threshold selection method from gray-level histograms. Automatica 1975, 11, 23–27. [Google Scholar] [CrossRef]
- Cornea, N.D.; Silver, D.; Min, P. Curve-skeleton properties, applications, and algorithms. IEEE Trans. Vis. Comput. Graph. 2024, 13, 530–548. [Google Scholar] [CrossRef]
- Canny, J. A computational approach to edge detection. IEEE Trans. Pattern Anal. Mach. Intell. 2009, PAMI-8, 679–698. [Google Scholar] [CrossRef]
- Chu, T.C.; Ranson, W.F.; Sutton, M.A. Applications of digital-image-correlation techniques to experimental mechanics. Exp. Mech. 1985, 25, 232–244. [Google Scholar] [CrossRef]
- Bruck, H.A.; McNeill, S.R.; Sutton, M.A. Digital image correlation using Newton-Raphson method of partial differential correction. Exp. Mech. 1989, 29, 261–267. [Google Scholar] [CrossRef]
- Pan, B.; Xie, H.; Wang, Z. Equivalence of digital image correlation criteria for pattern matching. Appl. Opt. 2010, 49, 5501–5509. [Google Scholar] [CrossRef] [PubMed]
- Harris, C.; Stephens, M. A combined corner and edge detector. In Proceedings of the Alvey Vision Conference, Manchester, UK, 31 August–2 September 1988. 10-5244. [Google Scholar]
- Li, Z.; Miao, Y.; Torbaghan, M.E.; Zhang, H.; Zhang, J. Semi-automatic crack width measurement using an OrthoBoundary algorithm. Autom. Constr. 2024, 158, 105251. [Google Scholar] [CrossRef]
- Huang, H.; Wu, Z.; Shen, H. A three-stage detection algorithm for automatic crack-width identification of fine concrete cracks. J. Civ. Struct. Health Monit. 2024, 14, 1373–1382. [Google Scholar] [CrossRef]














| Model | Box Prediction | Box Recall | Box Map 50 | Mask Prediction | Mask Recall | Mask Map 50 | Parameters (M) |
|---|---|---|---|---|---|---|---|
| Yolov5m | 0.736 | 0.667 | 0.766 | 0.58 | 0.5 | 0.572 | 21.2 |
| Yolov7 | 0.822 | 0.777 | 0.877 | 0.806 | 0.5 | 0.546 | 36.9 |
| YOLOv8m | 0.761 | 0.833 | 0.824 | 0.761 | 0.833 | 0.824 | 27.2 |
| YOLOv8-CGA | 1 | 0.833 | 0.917 | 1 | 0.833 | 0.917 | 27.6 |
Disclaimer/Publisher’s Note: The statements, opinions and data contained in all publications are solely those of the individual author(s) and contributor(s) and not of MDPI and/or the editor(s). MDPI and/or the editor(s) disclaim responsibility for any injury to people or property resulting from any ideas, methods, instructions or products referred to in the content. |
© 2025 by the authors. Licensee MDPI, Basel, Switzerland. This article is an open access article distributed under the terms and conditions of the Creative Commons Attribution (CC BY) license (https://creativecommons.org/licenses/by/4.0/).
Share and Cite
Feng, W.; Cao, S.; Fang, L.; Du, W.; Ma, S. Crack Detection and Displacement Measurement of Earth-Fill Dams Based on Computer Vision and Deep Learning. Sustainability 2025, 17, 10186. https://doi.org/10.3390/su172210186
Feng W, Cao S, Fang L, Du W, Ma S. Crack Detection and Displacement Measurement of Earth-Fill Dams Based on Computer Vision and Deep Learning. Sustainability. 2025; 17(22):10186. https://doi.org/10.3390/su172210186
Chicago/Turabian StyleFeng, Weiwu, Siwen Cao, Lijing Fang, Wenxue Du, and Shuaisen Ma. 2025. "Crack Detection and Displacement Measurement of Earth-Fill Dams Based on Computer Vision and Deep Learning" Sustainability 17, no. 22: 10186. https://doi.org/10.3390/su172210186
APA StyleFeng, W., Cao, S., Fang, L., Du, W., & Ma, S. (2025). Crack Detection and Displacement Measurement of Earth-Fill Dams Based on Computer Vision and Deep Learning. Sustainability, 17(22), 10186. https://doi.org/10.3390/su172210186

