Next Article in Journal
Sustainable Cationic Polyelectrolytes from Agri-Forestry Biomass: Conventional Chemistry to AI-Optimized Reactive Extrusion
Previous Article in Journal
Intercomparison of Data Products for Studying Trends in PM2.5 and Ozone Air Quality over Space and Time in China: Implications for Sustainable Air Quality Management
 
 
Font Type:
Arial Georgia Verdana
Font Size:
Aa Aa Aa
Line Spacing:
Column Width:
Background:
Article

Assessment of Glyphosate Runoff Pollution in Water Samples from Agricultural, Touristic and Ecologically Protected Areas

by
Anna Maria Sulej-Suchomska
1,*,
Joanna Katarzyna Jóźwik
2,
Katarzyna Kozłowska-Tylingo
3,
Marek Ruman
4,
Sara Lehmann-Konera
5,
Piotr Przybyłowski
1,
Aleksander Maria Astel
6 and
Żaneta Polkowska
2,*
1
Department of Quality Management, Faculty of Management and Quality Sciences, Gdynia Maritime University, 81-225 Gdynia, Poland
2
Department of Analytical Chemistry, Faculty of Chemistry, Gdańsk University of Technology, 80-233 Gdańsk, Poland
3
Department of Pharmaceutical Technology and Biochemistry, Faculty of Chemistry, Gdańsk University of Technology, Narutowicza 11/12, 80-233 Gdańsk, Poland
4
Faculty of Natural Sciences, University of Silesia, 60 Będzinska St., 41-200 Sosnowiec, Poland
5
Department of Environmental Engineering Technology, Faculty of Civil and Environmental Engineering, Gdańsk University of Technology, Narutowicza 11/12, 80-233 Gdańsk, Poland
6
Department of Environmental Chemistry and Toxicology, Institute of Geography, Pomeranian University in Słupsk, 22a Arciszewskiego Str., 76-200 Słupsk, Poland
*
Authors to whom correspondence should be addressed.
Sustainability 2025, 17(22), 10054; https://doi.org/10.3390/su172210054
Submission received: 3 October 2025 / Revised: 3 November 2025 / Accepted: 6 November 2025 / Published: 11 November 2025

Abstract

The global spread of glyphosate (GLY) via agricultural runoff poses a significant threat to ecosystems, human health, and the environment, underscoring the need for sustainable agricultural practices. A comprehensive study on glyphosate contamination in runoff water, flowing surface waters, groundwater-influenced, and stagnant water samples was conducted from 2019 to 2021, across a diverse range of landscape types and environmental zones. This research constitutes a novel contribution to the field, focused on several distinct regions, including agricultural regions, tourist zones, and ecologically sensitive areas, including the Beka Natura Reserve, Natura 2000 sites and the Coastal Landscape Park in Poland. Glyphosate residues, with a maximum concentration range of 43.0–8406 ng/L, were detected in 63.5% of water samples collected from protected and unprotected areas. Glyphosate concentrations in water at high-tourism areas were highest in runoff samples from recreational and protected areas, including the Czarna Wda River in Ostrowo (512 ± 9.91 ng/L). Investigated water samples showed target hazard quotient values for glyphosate < 1, indicating no human health risk, and risk quotient values for GLY < 0.1, indicating a low ecotoxicological risk. The presented study is aligned with the United Nations’ 2030 Agenda for Sustainable Development, aiming to contribute to global sustainability goals.

1. Introduction

The increasing reliance on chemical herbicides for weed management has become a defining characteristic of modern industrial agriculture, posing significant environmental and human health risks globally [1,2,3,4,5,6]. Glyphosate (N-phosphonomethylglycine, GLY), first introduced commercially in the 1970s [7], has become the most widely applied herbicide globally [5,8,9,10,11]. Glyphosate exhibits broad-spectrum herbicidal activity against over 150 weed species, encompassing both monocotyledonous and dicotyledonous plants [9,12,13,14,15]. This efficacy is demonstrated across diverse settings, including residential gardens, agricultural fields, and urban landscapes [6,12,16,17,18]. It is commercially available under trade names such as Roundup®, Faena®, and Dicamba, and has been documented in at least 130 countries worldwide [19,20,21]. Additionally, over 750 products incorporate glyphosate as their primary active ingredient [19,22]. Annual usage ranges from approximately 600 to 750 million kilograms, and projected demand is expected to increase to between 740 and 920 million kilograms by 2025 [23].
Prolonged exposure to glyphosate, especially at elevated concentrations, increases the risk of adverse health outcomes [24,25,26,27,28,29,30,31]. The International Agency for Research on Cancer (IARC) classified glyphosate in 2015 as a Group 2A carcinogen, indicating a probable association with human cancer risk [9,32,33,34,35]. Glyphosate exposure has been associated with an increased risk of reproductive toxicity, nephrotoxicity, endocrine disruption, and neurotoxic oxidative stress [19,33,36,37,38,39,40,41,42]. The target hazard quotient (THQ), which was established by the US Environmental Protection Agency (EPA), is frequently employed to evaluate the potential non-carcinogenic health risks to humans that may result from prolonged exposure to contaminated water via the oral route [43,44].
Agricultural runoff is a significant environmental concern, introducing pollutants that can harm water quality, ecosystem health, and human well-being [21,45,46,47,48,49,50]. The repeated application of glyphosate and other agrochemicals, along with excessive nutrient and metal loads, can lead to soil degradation, water pollution, and ecosystem disruption [2,13,19,45,51,52,53,54,55]. This can ultimately threaten the long-term sustainability of global food systems and necessitate costly remediation efforts [21,48,49]. The ecotoxicological risk assessment of pesticides involves a comprehensive evaluation of exposure and ecotoxicological effects. The risk quotient (RQ) method is a widely applied tool in the assessment of aquatic ecotoxicological risk. The resulting RQ values provide a quantitative measure of the potential adverse effects on aquatic ecosystems [44,56,57].
In this work, we hypothesize that the occurrence of glyphosate in aquatic environments within agricultural–tourism hybrid zones, particularly in protected areas such as coastal park and Natura 2000 sites, may pose potential threats to ecosystem integrity, biodiversity, and human health through exposure to contaminated recreational waters.
The European Commission’s Implementing Regulation (EU) 2023/2660, which entered into force on 16 December 2023, is the latest legislative act governing the use of glyphosate in the European Union, with specific provisions for its application, storage, and disposal [58]. Although it does not establish maximum allowable concentrations in surface and groundwater, it does set conditions and restrictions on the use of glyphosate in plant protection products. The maximum allowable concentrations for drinking water, as established in Directive (EU) 2020/2184, remain unchanged at 100 ng/L for individual pesticides and 500 ng/L for the sum of pesticides [59]. In turn, the EU’s Sustainable Use of Pesticides Directive (2009/128/EC) requires Member States to minimize pesticide use in sensitive environments, including recreation areas. This regulation aims to mitigate the risks associated with pesticide exposure in public spaces, particularly where children and vulnerable individuals are present, which can elevate the likelihood of dermal, inhalation, and water and soil contact [60]. Furthermore, the European Commission is currently weighing the feasibility of implementing a comprehensive ban on pesticide application in environmentally sensitive areas as a strategy to meet the risk mitigation targets enshrined in the Sustainable Use Regulation for Plant Protection Products [61,62].
Globally significant areas require sustained conservation efforts due to their extraordinary biodiversity and ecological significance. Effective conservation and management mitigate agricultural runoff and pollution, promoting sustainable development and ecotourism that supports environmental stewardship [63,64,65]. The Hel Peninsula, Puck Bay, and Władysławowo region in Poland constitute a highly ecologically valuable coastal system, integrating marine, estuarine, and terrestrial ecosystems under a unified protection framework, and are a prime example of the importance of conservation efforts in such regions [63,64,65,66,67,68,69]. The Coastal Landscape Park (CLP) serves as the primary management framework for the Puck Bay, Hel Peninsula, and Władysławowo region, integrating multiple levels of nature protection, including Natura 2000 sites, such as the Special Protection Area PLB220005 and the Special Area of Conservation PLH220032, which collectively aim to safeguard key avian habitats and priority coastal ecosystems [68,69]. The Baltic Sea Protected Area (BSAP), as part of the HELCOM MPA network, serves as a critical conservation zone for marine biodiversity [70]. In turn, the Natura Reserve ‘Beka’, located inland, was formally designated to conserve breeding and migratory bird populations, as well as rare wetland vegetation communities [71]. In contrast, a review of the Coastal Landscape Park’s administrative boundaries reveals that rivers in the northeastern part of the Pomeranian Voivodeship fall outside the park’s jurisdiction, and therefore are not under its direct management or control. As a result, the Park’s Board has limited authority over these water bodies, particularly with regard to tributaries, making effective protection and management extremely challenging. The drainage networks of streams and ditches that feed into larger river systems frequently intersect with agricultural landscapes, resulting in the transport of agrochemicals and nutrient-rich substances from farming activities into these water bodies [72]. The surface waters within the CLP area are subject to pollution from agricultural runoff, with pollutants being directly transported into the Baltic Sea [73]. Furthermore, the CLP is a popular destination for tourists, with tens of thousands visiting the area annually [74]. The scientific community is grappling with numerous complex challenges in balancing biodiversity conservation and sustainable development [63,75,76,77,78]. In this context, balancing the demands of biodiversity conservation with the pressures of sustainable tourism development requires careful consideration and strategic planning [63]. The control and monitoring of glyphosate levels in water samples is essential. The region’s exceptional natural heritage and tourism potential necessitate measures to mitigate further pollution influx from adjacent agricultural catchments, where numerous rivers, as well as smaller watercourses and canals, discharge into the area.
The main aim of the present research was to investigate glyphosate contamination in runoff water, flowing surface waters, groundwater-influenced, and stagnant water samples collected from various environments, including urban areas, agricultural regions, semi-natural landscapes, tourist zones, and protected coastal regions of the Baltic Sea. Within the framework of this study, human risk assessments and ecotoxicological risk assessments were conducted to evaluate the potential risks posed by glyphosate in water samples. Our comprehensive review of the literature reveals that this study constitutes a novel contribution to the field, as it represents the first investigation of glyphosate contamination in multifunctional landscapes characterized by the co-occurrence of agricultural and tourism activities within protected areas. Despite extensive research on glyphosate’s environmental impacts in agricultural contexts, a substantial knowledge gap remains regarding its occurrence and potential consequences in complex landscapes where human activities and conservation efforts co-occur. The current study is designed to inform and contribute to ongoing policy debates within the European Union, specifically regarding the proposed prohibition on pesticide application in environmentally sensitive zones, as contemplated by the forthcoming Sustainable Use of Pesticides Regulation. A comprehensive understanding of interconnections between ecosystems, tourism, and environmental pollution is crucial to creating strategies that promote sustainable development and stewardship by balancing human activity with ecological resilience.

2. Materials and Methods

2.1. Chemicals and Materials

A comprehensive list of the analytical reagents, calibration standards, and laboratory materials used in this study is provided in Table 1.

2.2. Sample Collection

The study area in Poland is situated within a coastal transitional zone, characterized by a diverse landscape with distinct sectors. The region encompasses a mix of urbanized areas, including the town of Puck, intensively managed agricultural lands, natural forest complexes such as the Darżłubska Primeval Forest, and protected wetland ecosystems like the Beka Natura Reserve (designated as a Natura 2000 site under codes PLB220005 and PLH220035). Additionally, the area features recreational zones along the coast, including popular destinations such as Dębki and Karwia. Between 2019 and 2021, a monitoring campaign was designed to investigate glyphosate contamination in agricultural runoff and its effects on surface waters across various types of areas. A total of 36 distinct locations were sampled during the monitoring campaign, representing a diverse range of sites with varying characteristics (Figure 1). The selection of sampling sites was primarily determined by their touristic value and protection status. Almost half of the sites were located within designated protected areas, including Natura 2000 and CLP, while also representing regions potentially exposed to glyphosate runoff from nearby agricultural activities. To ensure comprehensive representation of all landscape types, additional samples were collected from locations where glyphosate contamination via runoff was highly probable. The specific characteristics of each location are summarized in Table 2.
Samples of runoff water, flowing surface water, stagnant surface water and surface water influenced by shallow groundwater were collected in 60 mL polypropylene tubes. Collected samples were stored under refrigerated conditions and transported to the laboratory for analysis. After arrival at the laboratory, samples were analyzed promptly to prevent degradation and secondary metabolic changes.

2.3. Analytical Procedure

2.3.1. Sample Preparation

Effective sample preparation is critical for reliable glyphosate analysis in complex water matrices. Our approach integrates green chemistry principles to optimize purification and preconcentration, minimizing waste and environmental impact while maximizing analytical efficiency.
As the first step in the sample preparation protocol, a precisely measured quantity of isotopically labeled glyphosate was added to each sample. A concentrated stock solution of glyphosate was prepared by dissolving 10 mg of certified reference material in 10 mL of high-purity deionized water. Water samples were manually stirred and then filtered using 25 mm PTFE syringe filters. Following filtration, 999 μL of each sample was transferred to a 2 mL HPLC vial and subsequently acidified with 1 μL of concentrated formic acid to yield a final solution containing 0.1% (v/v) formic acid. All samples were subjected to three independent measurements by ultra-high performance liquid chromatography-tandem mass spectrometry (UHPLC-MS/MS).

2.3.2. Ultrahigh-Performance Liquid Chromatography–Tandem Mass Spectrometry

The Agilent 1260 Infinity HPLC system (Agilent Technologies, Waldbronn, Germany) was utilized to perform chromatographic separations and quantitate glyphosate concentrations in sample extracts. Separations were performed on an Agilent InfinityLab Poroshell 120 CS-C18 column (100 mm × 2.1 mm ID) packed with 2.7 μm particles and maintained at 40 °C. The mobile phase consisted of two components: (A) a solution of 0.1% formic acid and 5 μM Agilent InfinityLab deactivator additive in ultrapure water, and (B) methanol containing 0.1% formic acid. The following gradient elution protocol was applied: 0–1.5 min, 0.1% B; 1.5–2.0 min, linear increase to 10% B; 2.0–4.0 min, linear ramp from 10% to 40% B; 4.0–4.1 min, linear increase to 100% B; 4.1–8.0 min, isocratic hold at 100% B; 8.0–8.1 min, linear decrease from 100% to 0.1% B; and 8.1–20 min, isocratic hold at 0.1% B. The chromatographic system operated at a constant flow rate of 0.35 mL/min, with an injection volume of 50 μL applied throughout the analysis.
The analysis was conducted using an Agilent 6470A Triple Quad LC/MS system (Agilent Technologies, Waldbronn, Germany), which was equipped with a Jet Stream Technology Ion Source. The mass spectrometer was configured to utilize nitrogen as the sheath, auxiliary, and sweep gases, while argon was employed as the collision gas in the triple quadrupole analyser. The instrument was operated in multiple reaction monitoring (MRM) mode with a resolving power of 0.7 for both Q1 and Q3 quadrupoles. The Agilent MassHunter software (Version B.08.00) was used for LC-MS data acquisition and analysis.
Quantitative analysis of glyphosate was conducted via MRM mode, wherein the fragmentation products of the protonated pseudo-molecular ion of glyphosate were compared to those of a corresponding isotopically labeled internal standard. Glyphosate was determined in positive ionization mode. Two MRM ion transitions were monitored for the target analyte and its deuterated internal standard. The analytical performance of each multiple reaction monitoring transition was optimized through a comprehensive assessment of the effects of multiple collision energies. Automated method development and optimization using the MassHunter Workstation software’s Source Optimizer tool allowed for the refinement of MRM transition parameters, including dwell times, fragmentation voltages, and collision energies. The most intense transition (m/z 170 → m/z 88) was used for quantitation, while the second most intense transition (m/z 170 → m/z 60) served as an identification qualifier. Positive findings were confirmed by comparing the peak areas of MRM1 and MRM2 transitions. The calculated ratios were compared to the mean MRM1/MRM2 values from the calibration standard for the target analyte. Detection was deemed confirmed when the measured ion ratio conformed to the established tolerance limits, as outlined in the European Union’s guidelines for LC-MS/MS analysis (Commission Decision 2002/657/EC) [79]. Compound identification was further supported by consideration of the retention time, which was deemed acceptable when falling within a 2.5% margin of deviation from that of the reference standard. A schematic diagram illustrating the analytical workflow employed for the determination of glyphosate in water samples is presented as Figure 2.

2.4. Quality Assurance/Quality Control (QA/QC)

The analytical method was validated in accordance with established performance criteria, including specificity, linearity, range, trueness, limit of detection (LOD), limit of quantification (LOQ), precision, and uncertainty. Analytical performance was evaluated according to a pre-established QA/QC protocol [80]. A calibration curve was constructed using a series of standard solutions (29.6–1894 ng/L), yielding an excellent linear correlation (R = 0.9999). The proposed method exhibited excellent sensitivity, with a limit of detection of 12 ng/L and a limit of quantitation of 36 ng/L. Spike recovery results indicated an average accuracy of 93.3% ± 5.6%, confirming the method’s accuracy. The coefficient of variation (CV) values (0.33–5.4%) indicate a satisfactory level of precision.

2.5. Statistical Analysis

Basic statistics such as mean, median, minimum, maximum, and standard deviation were computed by the use of TIBCO Statistica 13.3 (TIBCO, Palo Alto, CA, USA). Standard deviation values were computed in two ways: to assess the dispersion of three analytical repetitions around the mean concentration, and to assess the dispersion of results around the mean in a set of samples collected in a given location, respectively. Basic statistics were computed for the entire data set as well as according to several criteria such as the code of the sampling place, sample type (river, regulated channel, regulated stream, drainage channel, weir), and protection form (yes: if any, no). As the glyphosate concentration value did not meet the assumption of normality (p > 0.05), non-parametric tests were used to assess differences in concentration values across groups. The Kruskal–Wallis ANOVA was employed to assess differences among multiple groups (according to the sample type), while the U Mann–Whitney test was used for pairwise comparisons (protected vs. non-protected areas). All statistical analyses were conducted at a significance level of p < 0.05.

2.6. Human Risk Assessment

The potential non-cancer health risks linked to the consumption of water contaminated with glyphosate residues were evaluated using the target hazard quotient (THQ) approach, which was calculated using the following equation (Equation (1)):
T H Q = ( E F × E D × W I R × C ) R f D × B W × A T
where EF—the exposure frequency (365 days/year); ED—the exposure duration (70 years; corresponding to the average human lifespan); WIR—the water ingestion rate (2 L/person/day); C—the GLY concentration in water (mg/L); RfD—the oral reference dose (0.1 mg/kg/day), BW is the body weight (70 kg/person); AT—the average time for non-carcinogens (365 days/year × ED). Exposure to contaminated water with a THQ value ≥ 1 may pose a health risk to individuals, necessitating the implementation of interventions and protective measures [44,81,82].

2.7. Evaluation of the Ecotoxicological Risk

The ecotoxicological risk to the environment posed by glyphosate in water samples was assessed using the risk quotient (RQ) method. The RQ calculation method was derived from the European Technical Guidance Document on Risk Assessment, which provides a framework for evaluating the ecological relevance of glyphosate exposure across different trophic levels, including primary producers (the microalgae Pseudokirchneriella subcapitata), primary consumers (the microcustacean Daphnia magna), and secondary consumers (the fish Oncorhynchus mykiss) [83]. The selected species are widely used as bioindicators to represent three trophic levels in aquatic ecosystems [57]. Ecotoxicological data for these species are available in the ECOTOX database [84]. The RQx values were calculated as the ratio of the highest measured environmental concentration (MEC) to the predicted no-effect concentration (PNEC) for the investigated compound (Equation (2)) [44,57].
R Q x = M E C x P N E C x = M E C x N O E C   o r   L C 50 A F
The PNEC was calculated by dividing the LC50 values by the assessment factor (AF), which is applied based on the available ecotoxicological data [57,85,86,87,88]. The AF is applied as follows: a value of 1000 is used when chronic studies are not available, 100 when one chronic test is available, 50 when two chronic tests are available, and 10 when a chronic test is available for each of the three trophic levels (algae, microcrustacean, and fish) [57]. Risk classification is based on the RQx, which categorizes values as follows: less than 0.1 (low risk), 0.1 to 1 (medium risk), and greater than 1 (high risk) [57,83,89].

3. Results and Discussion

3.1. Assessing Glyphosate Trends in Water: A Comparative Analysis of Protected and Unprotected Areas (2019–2021)

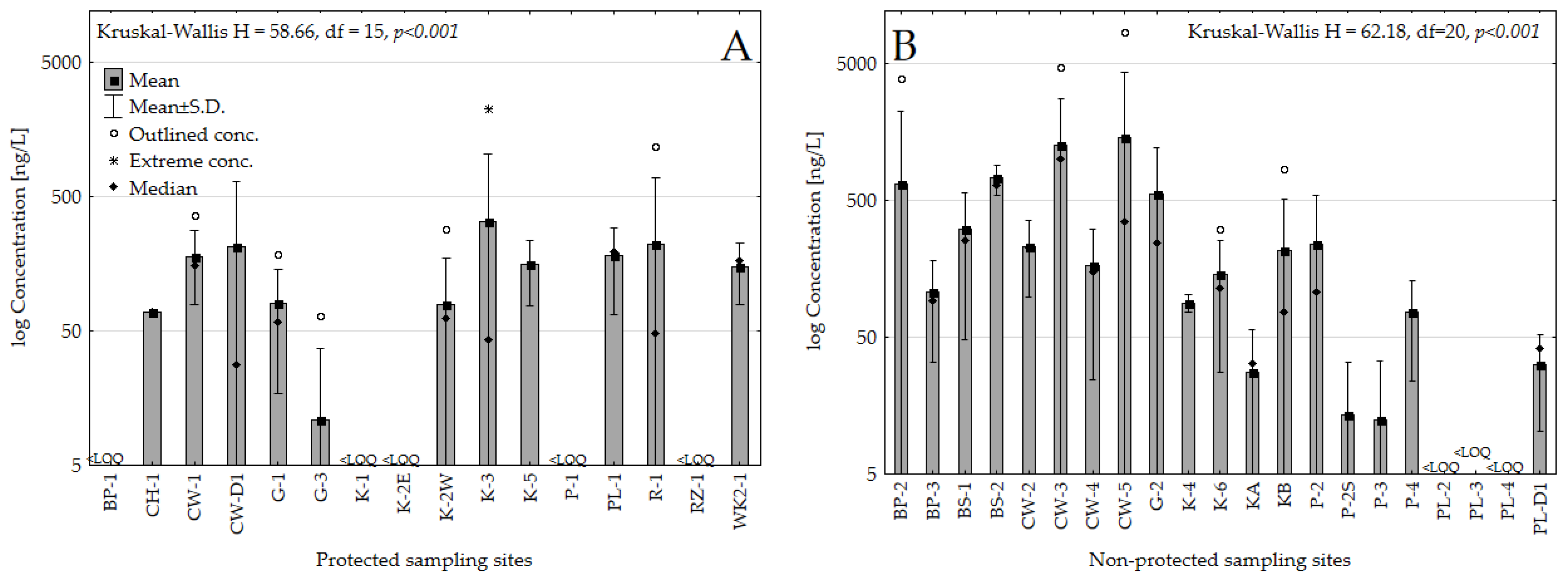
A total of 197 samples were collected from 37 monitoring locations across multiple seasons and three consecutive years (2019–2021). Basic statistics describing the quantitative determination of glyphosate in water samples were summarized in Table 3. Approximately 48% of all samples were collected within designated Natura 2000 areas, including both the Beka Natura Reserve (PLB220005 and PLH220035) and surrounding regions that fall under the same conservation designations. Additionally, these sites overlap with the Coastal Landscape Park, underscoring the intricate relationships between protected areas in this region. A comprehensive analysis of the sample data set showed that 63.5% of all investigated samples, including those from both protected and unprotected areas, contained glyphosate residues. Upon analyzing the measurement data obtained during the entire monitoring period, it was determined that 36.0% of samples collected from protected areas and 69.4% of samples from unprotected areas contained detectable levels of glyphosate. A graphical representation of the mean glyphosate concentrations determined in samples collected from protected and non-protected areas during the monitored period is shown in Figure 3A and 3B, respectively. The figures also show the median value, the outlined and extreme concentrations, as well as the results of the Kruskal–Wallis test applied to confirm differences in median glyphosate concentrations in water samples collected separately in protected (Figure 3A) and non-protected (Figure 3B) areas. To enable visual comparisons of concentration values, a logarithmic scale was applied. As could be seen, in both types of areas, significant differences in median glyphosate concentrations across the sites, classified as either protected or non-protected, were confirmed, since there were samples characterized by a variety of concentration ranges (from <LOQ to hundreds (protected) or even thousands (non-protected) ng/L). Moreover, based on the U Mann–Whitney test result (M-W Z = −4.40, p < 0.0001), it could be concluded that, in general, samples collected from protected sites were less (105 ng/L) contaminated with glyphosate than samples collected from non-protected water reservoirs (401 ng/L).
Upon examination of the detailed measurement data, it can be observed that the highest mean glyphosate concentrations in samples collected from protected areas were recorded at locations K-3 (Karwianka Stream, Plażowa Street), R-1 (Reda River, upstream of the mouth), and CW-D1 (Czarna Wda, Plażowa Street, Ostrowo), with corresponding mean values of 322 ± 704 ng/L, 218 ± 467 ng/L, and 211 ± 439 ng/L, respectively (Figure 3A). All of the aforementioned locations possess the designation as Natura 2000 sites, and it should be noted that the sampling point for the Reda River is situated within the boundaries of the Beka Natura Reserve. Results from the analysis of measurement data indicate that the highest average glyphosate concentrations were detected in samples from non-protected areas at locations CW-5 (Czarna Wda River, Kłanino), CW-3 (Czarna Wda River, Jastrzębia Góra), and BS-2 (Bychowska Struga, Bychowo), with corresponding values of 1422 ± 2855 ng/L, 1258 ± 1502 ng/L, and 720 ± 175 ng/L, respectively (Figure 3B). Comparison of glyphosate mean concentrations in samples from protected and unprotected areas shows a significant difference (confirmed by the U Mann–Whitney test results presented above), with average concentrations in unprotected areas four times higher (401 ng/L) than those in protected areas (105 ng/L). A comparative analysis indicates that the highest mean concentrations of glyphosate in samples collected from protected and unprotected areas exceed the benchmark of 100 ng/L by up to threefold, while those in non-protected areas exceed the benchmark by up to 14-fold.
Consecutive analysis revealed that maximal glyphosate concentrations were observed in various seasons (1—Spring, 11—Summer, 8—Autumn, 7—Winter) in the period between 2019 and 2021. In samples collected from protected areas, the three maximal glyphosate concentrations of 2234 ng/L, 1172 ng/L and 996 ng/L were observed in K-3 (Karwianka Stream, Plażowa Street), R-1 (Reda River, upstream of the mouth) and CW-D1 (Czarna Wda, Plażowa Street, Ostrowo), as shown in Figure 4a. Mean concentrations of glyphosate above the benchmark were observed at sites PL-1 (Płutnica River, upstream of the mouth) and WK2-1 (Władysławowo, Channel 2), with corresponding annual means in range of 129–292 ng/L and 119–254 ng/L, respectively (Figure 4a). The study’s findings reveal that measured glyphosate concentrations in water samples from protected areas with high tourism activities are substantially higher than expected. Elevated levels of glyphosate in recreational waters may pose health risks. In turn, protected areas located at the upstream of the mouth of rivers are particularly vulnerable to pollutant discharge into the Baltic Sea. Glyphosate concentrations in these areas exceeded even 10-fold the limit of 100 ng/L, which is in accordance with previous studies demonstrating the significance of rivers as a primary pathway for chemical substance flux to the Baltic Sea [59,90,91]. This finding is consistent with the established understanding that rivers play a critical role in transporting chemical substances to marine ecosystems.
In turn, the highest maximum concentration of glyphosate in water samples collected from unprotected areas was 8406 ± 84 ng/L in 2020 at CW-5 (Czarna Wda River, Voivodeship Road 213, Kłanino), as shown in Figure 4b. At the unprotected sampling site, glyphosate concentrations exceed the benchmark of 100 ng/L by up to 84-fold. The surrounding area is influenced by agricultural runoff from adjacent farmland, which contributes to the high levels of glyphosate determined in the investigated samples. Significantly high maximum concentrations of GLY were also detected at BP-2 (Błądzikowski Stream, Pucka Street, Żelistrzewo) with a concentration of 3882 ± 39 ng/L, and CW-3 (Czarna Wda River, upstream of the WWTP in Jastrzębia Góra) at concentration levels of 4683 ± 47 ng/L. The Błądzikowski Stream in Żelistrzewo, situated along Pucka Street, flows through a semi-urbanized landscape characterized by residential housing and local infrastructure. The presence of elevated glyphosate concentrations in this area is consistent with the high level of agricultural activity within the catchment. In turn, the Czarna Wda River, upstream of the WWTP in Jastrzębia Góra is a section of the river influenced by both natural and anthropogenic factors. The stream flows through an agricultural landscape, dominated by arable fields, which can be a source of nutrient and pesticide runoff, leading to elevated concentrations of glyphosate.
Studies of protected natural areas, such as those in Minnesota and Wisconsin, USA, have shown that surface waters adjacent to protected areas can contain high levels of glyphosate. Specifically, concentrations of up to 500 ng/L were detected in surface water samples, despite the absence of direct pesticide application on the protected area [92]. Another example of the widespread presence of glyphosate in surface waters is provided by monitoring studies involving the measurement of glyphosate concentrations in surface water samples from Natura Conservation Areas, which were conducted in Germany. Glyphosate was detected in the analyzed samples, and the investigations highlighted that the small size of the protected zones and their proximity to adjacent agricultural fields facilitated the migration of the pesticide into the conservation areas [61]. In turn, a review of the current literature on glyphosate determination in surface waters from non-protected areas reported maximum concentrations of 260 ng/L in the Venice Lagoon (Italy) [93]. An additional example comes from rivers in Quebec (Canada), where glyphosate was ubiquitously detected in riverine waters, with concentrations reaching up to 3000 ng/L [94]. Although the literature data on this topic is relatively limited, the results obtained underscore its critical importance and call for a broader policy dialog and the institutionalization of comparable monitoring programs for both protected and non-protected areas at a global scale [61,92].

3.2. Impact of Anthropogenic Activities on Glyphosate Levels in Various Types of Water Bodies

Within the scope of this study, four water categories were identified and selected, namely runoff water, flowing surface water, stagnant surface water, and surface water influenced by shallow groundwater. Each category was characterized by unique environmental parameters and differentiated by the magnitude of anthropogenic exposure. The basic statistics describing the quantitative determination of glyphosate in water samples according to the types of water bodies were summarized in Table 4.
To assess differences in median glyphosate concentration, the Kruskal–Wallis test was applied, excluding the stagnant class due to the lack of variation. Unfortunately, none of the differences in median glyphosate concentration according to the types of water body was found (Kruskal–Wallis H = 2.59, df = 2, p = 0.2737); however, some site- and annual-specific variation could be observed among exemplary sites. The average glyphosate concentrations determined in various water samples (flowing water, stagnant water, groundwater, runoff) according to exemplary anthropogenic influence are shown in Figure 5, while comparison of mean values limited to the flowing water types coupled with statistical assessment is presented in Figure 6. Fortunately, the Kruskal–Wallis test confirmed the existence of glyphosate concentration along the flowing-water sampling sites.
Despite the occasional extreme concentrations recorded, the highest average glyphosate concentrations recorded across all sampling campaigns within the monitoring period were observed at sites BS-2 (Bychowska Struga, Bychowo), and BS-1 (Bychowska Struga Stream, Brzyno), with measured values ranging from 611 to 832 ng/L, and from 248 to 409 ng/L, respectively) and 8 exceedances > 100 ng/L. The Bychowska Struga site is characterized by a small-scale stream with low discharge, making its hydrological behavior highly susceptible to climate variability and anthropogenic influences. The surface-water system is dominated by shallow groundwater input, especially during low-flow periods. The surrounding area is primarily agricultural, and this land use is a major source of glyphosate inputs to the stream, primarily through runoff and leaching [95]. In the group of flowing waters the highest number of exceedances > 100 ng/L was recorded in CW-1–CW-5, where annual means ranged from 133 to 264 ng/L and 11 out of 12 exceeded the benchmark. Glyphosate concentrations in the Czarna Wda River are elevated, attributed to a combination of agricultural runoff, urban green space management practices, and incomplete removal of glyphosate during wastewater treatment. Elevated average glyphosate concentrations (58.8–270 ng/L) were also determined in flowing surface water samples collected at sampling site K-6 on the Karwianka River (Krokowa, along Voivodeship Road 213, upstream of the Krokowa WWTP). This sampling site, located near a provincial road and agricultural fields provides a baseline for assessing the effects of agricultural activities and transportation on the water quality. Based on the obtained measurement data, it can be concluded that the runoff water samples collected from site PL-D1 on the Płutnica River (along Voivodeship Road 216 in Puck) exhibited low mean glyphosate concentrations during the entire monitoring period (Figure 5). The site’s agricultural landscape, characterized by meadows and arable fields, has maintained its ecological balance through sustainable agricultural practices, thereby reducing the risk of glyphosate contamination in water bodies. In turn, in the stagnant water samples collected at the Karwianka weir (up-stream of the confluence), the measured glyphosate concentration was below the limit of quantification (LOQ). A comparison of the present data with the literature reveals that glyphosate distribution patterns similar to those observed for flowing surface water samples through agriculturally protected areas in northeastern Italy. In those studies, glyphosate was determined in surface-flowing water samples, yielding an overall mean concentration of 170 ng/L across all analyzed samples [96]. Glyphosate monitoring has also been performed in streams draining United States catchments that comprise a mix of cropland and forested areas. Analysis of surface water samples from these catchments revealed glyphosate in every sampling site, including locations that appeared to receive limited agricultural inputs. The persistence of the herbicide in such a heterogeneous landscape underscores its potential to remain detectable in both heavily cultivated and comparatively forested catchments [97].

3.3. Analysis of Glyphosate Concentrations in Water at High-Tourism Areas

To evaluate the glyphosate contamination in water samples from densely populated tourist areas, five locations with the highest tourist traffic were selected for analysis (CW-D1, WK-2, G-3, K-1, and P-1). Summarized, detailed basic statistics concerning the glyphosate concentration in samples collected in those areas were summarized in Table 3 above, while the annual statistics, including mean, median and percentage of determinations above 100 ng/L are summarized in Table 5.
Based on the analysis of the measurement data, it can be concluded that the location CW-D1 (Czarna Wda, Plażowa Street, Ostrowo) recorded the highest average concentration of GLY in 2021, with a value of 512 ± 9.9 ng/L (Figure 7).
The sampling location is a drainage ditch of a melioration system, which supplies the main course of the Czarna Wda River in Ostrowo. The sampled water is classified as runoff water, predominantly originating from surface runoff from agricultural fields and meadows. The conditions at this location, particularly the surface runoff from agricultural areas into the drainage ditch, may be a significant factor contributing to the observed high levels of GLY in this region. Furthermore, the sampling point is located within a Natura 2000 site and a Coastal Landscape Park, which are designated protected areas for conservation and preservation purposes. During the monitored period, it can be observed that relatively high levels of glyphosate were also determined in samples collected from location WK2-1 (Władysławowo, Channel 2, outlet to the Bay), with concentrations ranging from 71.4 to 255 ng/L (Figure 6). The results indicate that measured glyphosate concentrations in investigated water samples from recreational and protected areas are considered high, exceeding the benchmark of 100 ng/L by up to 5-fold. Despite existing regulations, such as the EU Sustainable Use of Pesticides Directive (2009/128/EC), which aims to minimize pesticide use in sensitive environments, glyphosate levels in High-Tourism Areas are relatively high. A limited number of studies have investigated glyphosate in recreational waters, which is relevant to assessing environmental and health risks [63,75,76]. Concentrations of glyphosate up to 300 ng/L, as determined by gas chromatography-mass spectrometry, were found in Lake Balaton, Hungary, and 211 ng/L in Argentine lakes, as measured by UPLC-MS/MS [98,99]. This poses a potential health risk to tourists who engage in water-based activities such as swimming, boating, and fishing in such areas [76].

3.4. Risk Assessment

The potential health risks of glyphosate determined in water samples collected from a diverse range of landscape types and environmental zones in Poland were assessed using the target hazard quotient (THQ) (Section 2.6). Each adult is assumed to consume 2 L of water per day, based on WHO guidelines [44]. The THQ values for determined GLY in investigated water samples were below 1, indicating a low risk of non-carcinogenic effects to human health from drinking water exposure in the study areas (Table 6). These results are consistent with previous studies, including those of Gao et al. [100], Papadakis et al. [101], and Zheng et al. [102], which have all reported that exposure to pesticides in river water poses a low potential risk to human health.
The potential ecotoxicological risks of glyphosate was performed using the RQ formula (Section 2.7), which was based on the maximum measured concentrations of GLY in the investigated water samples and ecotoxicological data presented in Table 6. Among the monitored sites, the RQ values for determined GLY in water samples were below 0.1, exhibited a low ecotoxicological risk to the environment posed by glyphosate. Taking into account available literature data, it can be noted that glyphosate concentrations in surface waters of protected and tourist areas (Hungary, Germany, Brazil) were also low (4.0–60 μg/L). Similarly, the corresponding RQ values (<0.1) suggest a low ecological risk [61,98,103].
While ecotoxicological risk assessments suggest a low potential for glyphosate to cause harm to the environment, its presence in surface waters within Natura 2000 sites, nature reserves, and national parks remains a matter of significant concern. Even at very low concentrations, the occurrence of glyphosate in these protected ecosystems necessitates ongoing control due to its potential for bioaccumulation and transfer through food chains. These areas are crucial for maintaining ecological balance and preserving biodiversity, necessitating continuous monitoring and effective management to mitigate the adverse effects of glyphosate.

4. Conclusions

A comprehensive study on glyphosate contamination in runoff water, flowing surface waters, groundwater-influenced, and stagnant water samples was conducted from 2019 to 2021, across a diverse range of landscape types and environmental zones, including a Natura 2000 site, and the Coastal Landscape Park in Poland.
Glyphosate residues, with a maximum concentration range of 43.0–8406 ng/L, were detected in 63.5% of the examined water samples collected from protected and unprotected areas, using the high-sensitivity UHPLC-MS/MS method. The comparison of glyphosate mean concentrations in samples collected from protected and unprotected areas revealed a statistically significant difference (as confirmed by the U Mann–Whitney test results), with average concentrations in unprotected areas four times higher (401 ng/L) than those in protected areas (105 ng/L). Czarna Wda River exhibited the highest number of exceedances > 100 ng/L among the group of flowing waters, with annual means ranging from 133 to 264 ng/L and 11 out of 12 exceeding the benchmark. Analysis of glyphosate concentrations in water at high-tourism areas reveals that runoff water samples collected from recreational and protected areas, specifically the Czarna Wda River in Ostrowo, recorded the highest average concentration of GLY during the monitored period. The measured value of 512 ± 9.91 ng/L exceeds the benchmark of 100 ng/L by up to 5-fold.
Non-carcinogenic risks associated with glyphosate in investigated water samples were assessed using THQ values, which were found to be less than one. This suggests that there is no potential human health risk from exposure to drinking water at the study sites. The RQ values for glyphosate in water samples from monitored sites were below 0.1, indicating a low ecotoxicological risk to the environment.
This study constitutes a novel contribution to the field, as it provides a comprehensive assessment of glyphosate contamination in multifunctional landscapes characterized by the co-occurrence of agricultural and tourism activities within protected areas. Continuous monitoring of glyphosate levels in various types of water is crucial for providing essential data that influences decision-making on maintaining ecological balance and remediation strategies for contaminated water and soil, with the potential to utilize nanotechnology and Artificial Intelligence (AI) to enhance remediation effectiveness. The research findings contribute to ongoing policy debates within the European Union, particularly regarding the proposed prohibition on pesticide application in environmentally sensitive zones, which aligns with the United Nations’ 2030 Agenda for Sustainable Development.

Author Contributions

Conceptualization, methodology, software, validation, formal analysis, investigation, data curation, writing—original draft preparation, review and editing, visualization A.M.S.-S.; investigation, formal analysis J.K.J.; software, methodology, investigation, formal analysis, K.K.-T.; investigation, visualization M.R.; investigation S.L.-K.; supervision P.P.; statistical calculations, writing—statistical analysis A.M.A.; conceptualization, supervision, visualization, funding acquisition, review and editing Ż.P. All authors have read and agreed to the published version of the manuscript.

Funding

Financial support of these studies from Gdańsk University of Technology by the DEC-2/2020/IDUB/III.4.1/Tc grant under the TECHNETIUM TALENT MANAGEMENT GRANTS—‘Excellence Initiative—Research University’ program is gratefully acknowledged. Additionally, this research was funded by Gdynia Maritime University under grant no. WZNJ/2025/PZ/04, titled ‘Systemic Management of Quality, Environment, and Safety in the Product Lifecycle’.

Institutional Review Board Statement

Not applicable.

Informed Consent Statement

Not applicable.

Data Availability Statement

Data are contained within the article.

Acknowledgments

Research was conducted with the help and courtesy of the employees of the Coastal Landscape Park.

Conflicts of Interest

The authors declare no conflicts of interest.

References and Note

  1. Clapp, J. Explaining Growing Glyphosate Use: The Political Economy of Herbicide-Dependent Agriculture. Glob. Environ. Change 2021, 67, 102239. [Google Scholar] [CrossRef]
  2. Piovesana, S.; Aita, S.E.; Cavaliere, C.; Cerrato, A.; Laganà, A.; Montone, C.M.; Taglioni, E.; Capriotti, A.L. Validation of a Global Method for the Simultaneous Analysis of Polar and Non-Polar Pesticides by Online Extraction and LC-MS/MS. Anal. Chim. Acta 2024, 1329, 343231. [Google Scholar] [CrossRef] [PubMed]
  3. Masci, M.; Caproni, R.; Nevigato, T. Chromatographic Methods for the Determination of Glyphosate in Cereals Together with a Discussion of Its Occurrence, Accumulation, Fate, Degradation, and Regulatory Status. Methods Protoc. 2024, 7, 38. [Google Scholar] [CrossRef] [PubMed]
  4. Álvarez, F.; Arena, M.; Auteri, D.; Binaglia, M.; Castoldi, A.F.; Chiusolo, A.; Crivellente, F.; Egsmose, M.; Fait, G.; Ferilli, F.; et al. Peer Review of the Pesticide Risk Assessment of the Active Substance Glyphosate. EFSA J. 2023, 21, e08164. [Google Scholar] [CrossRef]
  5. Muñoz, J.P.; Bleak, T.C.; Calaf, G.M. Glyphosate and the Key Characteristics of an Endocrine Disruptor: A Review. Chemosphere 2021, 270, 128619. [Google Scholar] [CrossRef]
  6. Benbrook, C.M. Trends in Glyphosate Herbicide Use in the United States and Globally. Environ. Sci. Eur. 2016, 28, 3. [Google Scholar] [CrossRef]
  7. Baird, D.D. Introduction of a New Broad Spectrum Post Emergence Herbicide Class with Utility for Herbaceous Perennial Weed Control. In Proceedings of the 26th North Central Weed Conference, Kansas City, MO, USA, 7–9 December 1971; North Central Weed Science Society: Westminster, CO, USA, 1971. [Google Scholar]
  8. Peruzzo, P.J.; Porta, A.A.; Ronco, A.E. Levels of Glyphosate in Surface Waters, Sediments and Soils Associated with Direct Sowing Soybean Cultivation in North Pampasic Region of Argentina. Environ. Pollut. 2008, 156, 61–66. [Google Scholar] [CrossRef]
  9. Ferrante, M.; Rapisarda, P.; Grasso, A.; Favara, C.; Oliveri Conti, G. Glyphosate and Environmental Toxicity with “One Health” Approach, a Review. Environ. Res. 2023, 235, 116678. [Google Scholar] [CrossRef]
  10. Aparicio, V.C.; De Gerónimo, E.; Marino, D.; Primost, J.; Carriquiriborde, P.; Costa, J.L. Environmental Fate of Glyphosate and Aminomethylphosphonic Acid in Surface Waters and Soil of Agricultural Basins. Chemosphere 2013, 93, 1866–1873. [Google Scholar] [CrossRef]
  11. Suciu, N.; Russo, E.; Calliera, M.; Luciani, G.P.; Trevisan, M.; Capri, E. Glyphosate, Glufosinate Ammonium, and AMPA Occurrences and Sources in Groundwater of Hilly Vineyards. Sci. Total Environ. 2023, 866, 161171. [Google Scholar] [CrossRef]
  12. Singh, S.; Kumar, V.; Gill, J.P.K.; Datta, S.; Singh, S.; Dhaka, V.; Kapoor, D.; Wani, A.B.; Dhanjal, D.S.; Kumar, M.; et al. Herbicide Glyphosate: Toxicity and Microbial Degradation. Int. J. Environ. Res. Public Health 2020, 17, 7519. [Google Scholar] [CrossRef]
  13. Daouk, S.; de Alencastro, L.F.; Pfeifer, H.R. The Herbicide Glyphosate and Its Metabolite AMPA in the Lavaux Vineyard Area, Western Switzerland: Proof of Widespread Export to Surface Waters. Part II: The Role of Infiltration and Surface Runoff. J. Environ. Sci. Health-Part B Pestic. Food Contam. Agric. Wastes 2013, 48, 725–736. [Google Scholar] [CrossRef] [PubMed]
  14. Gunarathna, S.; Gunawardana, B.; Jayaweera, M.; Manatunge, J.; Zoysa, K. Glyphosate and AMPA of Agricultural Soil, Surface Water, Groundwater and Sediments in Areas Prevalent with Chronic Kidney Disease of Unknown Etiology, Sri Lanka. J. Environ. Sci. Health-Part B Pestic. Food Contam. Agric. Wastes 2018, 53, 729–737. [Google Scholar] [CrossRef] [PubMed]
  15. Wang, Y.; Gao, W.; Li, Y.; Xiao, Y.; Song, W.; Yao, T.; Cheng, M.; Wang, W.; Hou, R. Establishment of a HPLC-MS/MS Detection Method for Glyphosate, Glufosinate-Ammonium, and Aminomethyl Phosphoric Acid in Tea and Its Use for Risk Exposure Assessment. J. Agric. Food Chem. 2021, 69, 7969–7978. [Google Scholar] [CrossRef] [PubMed]
  16. Gillezeau, C.; Van Gerwen, M.; Shaffer, R.M.; Rana, I.; Zhang, L.; Sheppard, L.; Taioli, E. The Evidence of Human Exposure to Glyphosate: A Review. Environ. Health A Glob. Access Sci. Source 2019, 18, 2. [Google Scholar] [CrossRef]
  17. Peillex, C.; Pelletier, M. The Impact and Toxicity of Glyphosate and Glyphosate-Based Herbicides on Health and Immunity. J. Immunotoxicol. 2020, 17, 163–174. [Google Scholar] [CrossRef]
  18. Kanissery, R.; Gairhe, B.; Kadyampakeni, D.; Batuman, O.; Alferez, F. Glyphosate: Its Environmental Persistence and Impact on Crop Health and Nutrition. Plants 2019, 8, 499. [Google Scholar] [CrossRef]
  19. Leyva-Soto, L.A.; Balderrama-Carmona, A.P.; Moran-Palacio, E.F.; Diaz-Tenorio, L.M.; Gortares-Moroyoqui, P. Glyphosate and Aminomethylphosphonic Acid in Population of Agricultural Fields: Health Risk Assessment Overview. Appl. Ecol. Environ. Res. 2018, 16, 5127–5140. [Google Scholar] [CrossRef]
  20. Dill, G.M.; Sammons, R.D.; Feng, P.C.C.; Kohn, F.; Kretzmer, K.; Mehrsheikh, M.B.; Hohegger, J.L.; Farmer, D.W.; Haupfear, E.A. Glyphosate: Discovery, Development, Applications, and Properties. In Glyphosate Resistance in Crops and Weeds: History, Development, and Management; Nandula, V.K., Ed.; Wiley: Hoboken, NY, USA, 2010; pp. 1–33. [Google Scholar]
  21. Sivakumar, M.V.K.; Ndiang’ui, N. Climate and Land Degradation; Springer Nature: London, UK, 2019; Volume 11, ISBN 9788578110796. [Google Scholar]
  22. Henderson, A.M.; Gervais, J.A.; Luukinen, B.; Buhl, K.; Stone, D.; Cross, A.; Jenkins, J. Glyphosate General Fact Sheet. Available online: http://npic.orst.edu/factsheets/glyphogen.html (accessed on 2 October 2025).
  23. Maggi, F.; Tang, F.H.; la Cecilia, D.; McBratney, A. PEST-CHEMGRIDS, Global Gridded Maps of the Top 20 Crop-Specific Pesticide Journal Pre-Proof Journal Pre-Proof Application Rates from 2015 to 2025. Sci. Data 2019, 6, 170. [Google Scholar] [CrossRef]
  24. Morimoto, T.; Ito, A.; Tanimizu, M. Simultaneous and Sensitive Analysis of Glyphosate, Glufosinate, and Their Metabolites in Surface Water by HPLC-ICP-MS/MS. Anal. Sci. 2023, 39, 1047–1052. [Google Scholar] [CrossRef]
  25. de Matos, F.S.; de Carvalho, G.S.; Prestes, O.D.; Adaime, M.B.; Zanella, R. Simultaneous Determination of Glyphosate, AMPA and Inorganic Anions in Water Samples by Gradient Capillary Ion Chromatography. J. Braz. Chem. Soc. 2023, 34, 1691–1697. [Google Scholar] [CrossRef]
  26. López-Vázquez, J.; Pérez-Mayán, L.; Fernández-Fernández, V.; Cela, R.; Rodríguez, I. Direct, Automated and Sensitive Determination of Glyphosate and Related Anionic Pesticides in Environmental Water Samples Using Solid-Phase Extraction on-Line Combined with Liquid Chromatography Tandem Mass Spectrometry. J. Chromatogr. A 2023, 1687, 463697. [Google Scholar] [CrossRef] [PubMed]
  27. Prezilius, A.C.M.; dos Santos, G.F.S.; Silva, L.R.G.; Barbieri, E.M.S.; Brandão, G.P.; de, Q. Ferreira, Rafael. Development of an Electroanalytical Methodology Associated with Screen-Printed Electrodes for the Determination of Glyphosate in River Waters. Ionics 2022, 28, 4035–4043. [Google Scholar] [CrossRef]
  28. Connolly, A.; Koch, H.M.; Bury, D.; Koslitz, S.; Kolossa-Gehring, M.; Conrad, A.; Murawski, A.; McGrath, J.A.; Leahy, M.; Brüning, T.; et al. A Human Biomonitoring Study Assessing Glyphosate and Aminomethylphosphonic Acid (AMPA) Exposures among Farm and Non-Farm Families. Toxics 2022, 10, 690. [Google Scholar] [CrossRef] [PubMed]
  29. Campanale, C.; Triozzi, M.; Massarelli, C.; Uricchio, V.F. Development of a UHPLC-MS/MS Method to Enhance the Detection of Glyphosate, AMPA and Glufosinate at Sub-Microgram/L Levels in Water Samples. J. Chromatogr. A 2022, 1672, 463028. [Google Scholar] [CrossRef]
  30. Dovidauskas, S.; Okada, I.A.; dos Santos, F.R. Validation of a Simple Ion Chromatography Method for Simultaneous Determination of Glyphosate, Aminomethylphosphonic Acid and Ions of Public Health Concern in Water Intended for Human Consumption. J. Chromatogr. A 2020, 1632, 461603. [Google Scholar] [CrossRef]
  31. Ojelade, B.S.; Durowoju, O.S.; Adesoye, P.O.; Gibb, S.W.; Ekosse, G.I. Review of Glyphosate-Based Herbicide and Aminomethylphosphonic Acid (AMPA): Environmental and Health Impacts. Appl. Sci. 2022, 12, 8789. [Google Scholar] [CrossRef]
  32. Kimani, M.; Pérez-Padilla, V.; Valderrey, V.; Gawlitza, K.; Rurack, K. Red-Emitting Polymerizable Guanidinium Dyes as Fluorescent Probes in Molecularly Imprinted Polymers for Glyphosate Detection. Chemosensors 2022, 10, 99. [Google Scholar] [CrossRef]
  33. Tarazona, J.V.; Court-Marques, D.; Tiramani, M.; Reich, H.; Pfeil, R.; Istace, F.; Crivellente, F. Glyphosate Toxicity and Carcinogenicity: A Review of the Scientific Basis of the European Union Assessment and Its Differences with IARC. Arch. Toxicol. 2017, 91, 2723–2743. [Google Scholar] [CrossRef]
  34. IARC; WHO. IARC Monographs Volume 112: Evaluation of Five Organophosphate Insecticides and Herbicides; IARC Press: Lyon, France, 2015. [Google Scholar]
  35. Ulrich, J.C.; Ferguson, P.L. Development of a Sensitive Direct Injection LC-MS/MS Method for the Detection of Glyphosate and Aminomethylphosphonic Acid (AMPA) in Hard Waters. Anal. Bioanal. Chem. 2021, 413, 3763–3774. [Google Scholar] [CrossRef]
  36. Gasnier, C.; Dumont, C.; Benachour, N.; Clair, E.; Chagnon, M.-C.; Séralini, G.-E. Glyphosate-Based Herbicides Are Toxic and Endocrine Disruptors in Human Cell Lines. Toxicology 2009, 262, 184–191. [Google Scholar] [CrossRef]
  37. Chaufan, G.; Coalova, I.; del Carmen Ríos de Molina, M. Glyphosate Commercial Formulation Causes Cytotoxicity, Oxidative Effects, and Apoptosis on Human Cells: Differences with Its Active Ingredient. Int. J. Toxicol. 2014, 33, 29–38. [Google Scholar] [CrossRef]
  38. Cattani, D.; de Liz Oliveira Cavalli, V.L.; Heinz Rieg, C.E.; Domingues, J.T.; Dal-Cim, T.; Tasca, C.I.; Mena Barreto Silva, F.R.; Zamoner, A. Mechanisms Underlying the Neurotoxicity Induced by Glyphosate-Based Herbicide in Immature Rat Hippocampus: Involvement of Glutamate Excitotoxicity. Toxicology 2014, 320, 34–45. [Google Scholar] [CrossRef] [PubMed]
  39. Ma, J.; Li, X. Alteration in the Cytokine Levels and Histopathological Damage in Common Carp Induced by Glyphosate. Chemosphere 2015, 128, 293–298. [Google Scholar] [CrossRef] [PubMed]
  40. Samsel, A.; Seneff, S. Glyphosate, Pathways to Modern Diseases III: Manganese, Neurological Diseases, and Associated Pathologies. Surg. Neurol. Int. 2015, 6, 45. [Google Scholar] [CrossRef] [PubMed]
  41. Jayasumana, C.; Gunatilake, S.; Senanayake, P. Glyphosate, Hard Water and Nephrotoxic Metals: Are They the Culprits behind the Epidemic of Chronic Kidney Disease of Unknown Etiology in Sri Lanka? Int. J. Environ. Res. Public Health 2014, 11, 2125–2147. [Google Scholar] [CrossRef]
  42. Corbera, M.; Hidalgo, M.; Salvadó, V.; Wieczorek, P.P. Determination of Glyphosate and Aminomethylphosphonic Acid in Natural Water Using the Capillary Electrophoresis Combined with Enrichment Step. Anal. Chim. Acta 2005, 540, 3–7. [Google Scholar] [CrossRef]
  43. Wang, Y.; Qiao, M.; Liu, Y.; Zhu, Y. Health Risk Assessment of Heavy Metals in Soils and Vegetables from Wastewater Irrigated Area, Beijing-Tianjin City Cluster, China. J. Environ. Sci. 2012, 24, 690–698. [Google Scholar] [CrossRef]
  44. Eissa, F.; Al-Sisi, M.; Ghanem, K. Occurrence, Human Health, and Ecotoxicological Risk Assessment of Pesticides in Surface Waters of the River Nile’s Rosetta Branch, Egypt. Environ. Sci. Pollut. Res. 2021, 28, 55511–55525. [Google Scholar] [CrossRef]
  45. Smith, J.S.; Winston, R.J.; Tirpak, R.A.; Wituszynski, D.M.; Boening, K.M.; Martin, J.F. The Seasonality of Nutrients and Sediment in Residential Stormwater Runoff: Implications for Nutrient-Sensitive Waters. J. Environ. Manag. 2020, 276, 111248. [Google Scholar] [CrossRef]
  46. Aliko, V.; Multisanti, C.R.; Turani, B.; Faggio, C. Get Rid of Marine Pollution: Bioremediation an Innovative, Attractive, and Successful Cleaning Strategy. Sustainability 2022, 14, 11784. [Google Scholar] [CrossRef]
  47. Lupi, L.; Bedmar, F.; Puricelli, M.; Marino, D.; Aparicio, V.C.; Wunderlin, D.; Miglioranza, K.S.B. Glyphosate Runoff and Its Occurrence in Rainwater and Subsurface Soil in the Nearby Area of Agricultural Fields in Argentina. Chemosphere 2019, 225, 906–914. [Google Scholar] [CrossRef]
  48. Keesstra, S.D.; Rodrigo-Comino, J.; Novara, A.; Giménez-Morera, A.; Pulido, M.; Di Prima, S.; Cerdà, A. Straw Mulch as a Sustainable Solution to Decrease Runoff and Erosion in Glyphosate-Treated Clementine Plantations in Eastern Spain. An Assessment Using Rainfall Simulation Experiments. Catena 2019, 174, 95–103. [Google Scholar] [CrossRef]
  49. El-Gendy, K.; Mosallam, E.; Ahmed, N.; Aly, N. Determination of Glyphosate Residues in Egyptian Soil Samples. Anal. Biochem. 2018, 557, 1–6. [Google Scholar] [CrossRef] [PubMed]
  50. Kumar, L.; Kumari, R.; Kuma, A.; Tunio, I.A. Claudio Sassanelli Water Quality Assessment and Monitoring in Pakistan: A Comprehensive Review. Sustainability 2023, 15, 38. [Google Scholar]
  51. Bogalecka, M. An Attempt to Assess Nutrients Emissions from Fertilisers on Eutrophication in the Baltic Sea Coastal Zone. In Maritime Security Yearbook; Polish Naval Academy: Gdynia, Poland, 2024; pp. 343–388. [Google Scholar]
  52. Nawaz, A.; Razpotnik, A.; Rouimi, P.; De Sousa, G.; Cravedi, J.P.; Rahmani, R. Cellular Impact of Combinations of Endosulfan, Atrazine, and Chlorpyrifos on Human Primary Hepatocytes and HepaRG Cells after Short and Chronic Exposures. Cell Biol. Toxicol. 2014, 30, 17–29. [Google Scholar] [CrossRef] [PubMed]
  53. Jin, Y.P.; Lu, Y.; Gao, Y.; Li, Q. GSH-AuNCs/Cu2+ as Selective Fluorescent Sensing Probe for Sensitive Determination of Glyphosate in the Environment. Inorg. Chem. Commun. 2024, 159, 111842. [Google Scholar] [CrossRef]
  54. In, S.; Ana, L.; Em, S. Environmental Risk Assessment of Glyphosate and Aminomethylphosphonic Acid (AMPA) in Portuguese Groundwater Ecosystems. Environments 2024, 11, 258. [Google Scholar] [CrossRef]
  55. Barbosa, C.; Lopes, I. Glyphosate and Roundup® Ready Effects in Hydra Viridissima: New Data in an Old Issue. Sustainability 2023, 15, 12428. [Google Scholar] [CrossRef]
  56. Palma, P.; Köck-Schulmeyer, M.; Alvarenga, P.; Ledo, L.; Barbosa, I.R.; de Alda, M.L.; Barceló, D. Risk Assessment of Pesticides Detected in Surface Water of the Alqueva Reservoir (Guadiana Basin, Southern of Portugal). Sci. Total Environ. 2014, 488–489, 208–219. [Google Scholar] [CrossRef]
  57. Brovini, E.M.; Cardoso, S.J.; Quadra, G.R.; Vilas-boas, J.A.; Paranaíba, J.R.; Pereira, R.D.O.; Mendonça, R.F. Glyphosate Concentrations in Global Freshwaters: Are Aquatic Organisms at Risk? Environ. Sci. Pollut. Res. Int. 2021, 28, 60635–60648. [Google Scholar] [CrossRef]
  58. European Commission. Commission Implementing Regulation (EU) 2023/2660 of 28 November 2023 Renewing the Approval of the Active Substance Glyphosate in Accordance with Regulation (EC). 2023; pp. 23–29. Available online: https://eur-lex.europa.eu/eli/reg_impl/2023/2660/oj/eng (accessed on 2 October 2025).
  59. European Commission. Directive (EU) 2020/2184 of the European Parliament and of the Council of 16 December 2020 on the Quality of Water Intended for Human Consumption (Recast). 2020; pp. 1–62. Available online: https://www.legislation.gov.uk/eudr/2020/2184 (accessed on 2 October 2025).
  60. European Commission. Directive 2009/128/EC of the European Parliament and of the Council of 21 October 2009 Establishing a Framework for Community Action to Achieve the Sustainable Use of Pesticides. Off. J. Eur. Union 2009, L 309, 71–86.
  61. Wolfram, J.; Bub, S.; Petschick, L.L.; Schemmer, A.; Stehle, S.; Schulz, R. Pesticide Occurrence in Protected Surfacewaters in Nature Conservation Areas of Germany. Sci. Total Environ. 2023, 858, 160074. [Google Scholar] [CrossRef] [PubMed]
  62. European Commission. European Commission Regulation on the Sustainable Use of Plant Protection Products-EC 2021/2115-COM/2022/305 Final. 2021. Available online: https://Bit.Ly/3RpGk7q (accessed on 30 August 2025).
  63. Bączkowska, E.; Agnieszka, K.; Ronda, O.; Jankowska, K.; Bray, R.; Płóciennik, B.; Polkowska, Z. Microbial and Chemical Quality Assessment of the Small Rivers Entering the South Baltic. Part I: Case Study on the Watercourses in the Puck Bay Catchment Area. Arch. Environ. Prot. 2021, 47, 55–73. [Google Scholar]
  64. Kramkiel, J.-D. Impact of Tourism on Mediterranean Marine and Coastal Biodiversity; Nimes, France, 2003. Available online: https://www.rac-spa.org/sites/default/files/doc_spabio/feng.pdf (accessed on 2 October 2025).
  65. Spenceley, A.; Mccool, S.; Newsome, D.; Báez, A.; James, R.; Blye, C.; Bricker, K.; Cahyadi, H.S.; Halpenny, E.; Hvenegaard, G.; et al. Tourism in Protected and Conserved Areas Amid the COVID-19 Pandemic. Parks 2021, 27, 103–118. [Google Scholar] [CrossRef]
  66. Radosław, W.; Rucińska, M.; Rudowski, S.; Sitkiewicz, P. Hel Peninsula—A Distinctive Spit on the Polish Baltic Coast. In Landscapes and Landforms of Poland; Springer International Publishing: Cham, Switzerland, 2024; pp. 741–747. [Google Scholar]
  67. Bay, P. Characteristics of Morphodynamic Conditions in the Shallows of By. Oceanol. Hydrobiol. Stud. 2021, 50, 220–231. [Google Scholar] [CrossRef]
  68. Krajewska, Z.; Fac-Beneda, J. Transport of Biogenic Substances in Water–Courses of Coastal Landscape Park. J. Elem. 2016, 21, 413–423. [Google Scholar]
  69. Bączkowska, E.; Kalinowska, A.; Ronda, O.; Jankowska, K.; Bray, R.; Płóciennik, B.; Polkowska, Ż. Microbial and Chemical Quality Assessment of the Small Rivers Entering the South Baltic. Part II: Case Study on the Watercourses in the Puck Bay Catchment Area. Arch. Environ. Prot. 2022, 48, 58–74. [Google Scholar] [CrossRef]
  70. European Commission. Council Directive 92/43/EEC of 21 May 1992 on the Conservation of Natural Habitats and of Wild Fauna and Flora; European Community Environmental Law: EU, 1992. Available online: https://www.legislation.gov.uk/eudr/1992/43/introduction (accessed on 2 October 2025).
  71. Council of Ministers (1988). Orders of the Minister of Environmental Protection and Natural Resources of 17 November 1988 (Official Gazette No. 32, item 292) and 10 May 1989 (Official Gazette No. 17, item 119). (In Polish, archival source)
  72. Wojciechowska, E.; Pietrzak, S.; Matej-Łukowicz, K.; Nawrot, N.; Zima, P.; Kalinowska, D.; Wielgat, P.; Obarska-Pempkowiak, H.; Gajewska, M.; Dembska, G.; et al. Nutrient Loss from Three Small-Size Watersheds in the Southern Baltic Sea in Relation to Agricultural Practices and Policy. J. Environ. Manag. 2019, 252, 109637. [Google Scholar] [CrossRef]
  73. Zaborska, A.; Siedlewicz, G.; Szymczycha, B.; Lidia Dzierzbicka-Głowacka, K.P. Legacy and Emerging Pollutants in the Gulf of Gdańsk (Southern Baltic Sea)–Loads and Distribution Revisited. Mar. Pollut. Bull. 2019, 139, 238–255. [Google Scholar] [CrossRef]
  74. Borkowski, R. Bezpiecze Stwo i Ryzyko w Sporcie i Turystyce. Wprowadzenie 2014, 4, 165–175. [Google Scholar]
  75. Garcı, M.; Berry, P.; Palomo, I.; Go, E.; Carlos, I.I.; David, M.; Martı, B. What Can Conservation Strategies Learn from the Ecosystem Services Approach ? Insights from Ecosystem Assessments in Two Spanish Protected Areas. Biodivers. Conserv. 2018, 27, 1575–1597. [Google Scholar] [CrossRef]
  76. de la Vega, C.; Schückel, U.; Horn, S.; Kröncke, I.; Asmus, R.; Asmus, H. How to Include Ecological Network Analysis Results in Management? A Case Study of Three Tidal Basins of the Wadden Sea, South-Eastern North Sea. Ocean. Coast. Manag. 2018, 163, 401–416. [Google Scholar] [CrossRef]
  77. Baloch, Q.B.; Shah, S.N.; Iqbal, N.; Asadullah, M.S.M.; Mahar, S. Asia Umar Khan Impact of Tourism Development upon Environmental Sustainability: A Suggested Framework for Sustainable Ecotourism. Environ. Sci. Pollut. Res. 2023, 30, 5917–5930. [Google Scholar] [CrossRef]
  78. Trstenjak, A.; Tomas Žiković, I.; Žiković, S. Making Tourism More Sustainable: Empirical Evidence from EU Member Countries; Springer: Dordrecht/Utrecht, The Netherlands, 2025; Volume 27, ISBN 0123456789. [Google Scholar]
  79. Commission Decision 2002/657/EC of 12 August 2002 implementing Council Directive 96/23/EC concerning the Performance of Analytical Methods and the Interpretation of Results (Notified under Document Number C(2002) 3044). Official Journal of the European Communities, L 221, 17 August 2002, pp. 8–36. Brussels: European Commission. Available online: https://eur-lex.europa.eu/eli/dec/2002/657/oj (accessed on 2 October 2025).
  80. Sulej-Suchomska, A.M.; Klupczynska, A.; Dereziński, P.; Matysiak, J.; Przybyłowski, P.; Kokot, Z.J. Urban Wastewater Analysis as an Effective Tool for Monitoring Illegal Drugs, Including New Psychoactive Substances, in the Eastern European Region. Sci. Rep. 2020, 10, 81–87. [Google Scholar] [CrossRef]
  81. EPA. Guidance Manual for Assessing Human Health Risks from Chemically Contaminated, Fish and Shellfish, 1989; EPA-503/8-89-002. Available online: https://nepis.epa.gov/Exe/ZyNET.exe/40001CR2.TXT?ZyActionD=ZyDocument&Client=EPA&Index=1986+Thru+1990&Docs=&Query=&Time=&EndTime=&SearchMethod=1&TocRestrict=n&Toc=&TocEntry=&QField=&QFieldYear=&QFieldMonth=&QFieldDay=&IntQFieldOp=0&ExtQFieldOp=0&XmlQuery=&File=D%3A%5Czyfiles%5CIndex%20Data%5C86thru90%5CTxt%5C00000017%5C40001CR2.txt&User=ANONYMOUS&Password=anonymous&SortMethod=h%7C-&MaximumDocuments=1&FuzzyDegree=0&ImageQuality=r75g8/r75g8/x150y150g16/i425&Display=hpfr&DefSeekPage=x&SearchBack=ZyActionL&Back=ZyActionS&BackDesc=Results%20page&MaximumPages=1&ZyEntry=1&SeekPage=x&ZyPURL (accessed on 2 October 2025).
  82. USEPA. Regional Screening Levels (RSLs)–Generic Tables. 2019. Available online: https://www.epa.gov/risk/regional-screening-levels-rsls-generic-tables (accessed on 2 October 2025).
  83. European Commission; Joint Research Centre (JRC); European Chemicals Bureau (ECB). Part II: Environmental Risk Assessment. EUR 20418 EN/2. In Technical Guidance Document on Risk Assessment in support of Commission Directive 93/67/EEC on Risk Assessment for New Notified Substances, Commission Regulation (EC) No 1488/94 on Risk Assessment for Existing Substances, and Directive 98/8/EC of the European Parliament and of the Council Concerning the Placing of Biocidal Products on the Market; Office for Official Publications of the European Communities: Luxembourg, 2003. [Google Scholar]
  84. EPA. ECOTOX Database. Available online: https://cfpub.epa.gov/ecotox/ (accessed on 30 October 2025).
  85. European Commission; Joint Research Centre (JRC); European Chemicals Bureau (ECB). Part IV: Emission Scenario Documents. EUR 20418 EN/4. In Technical Guidance Document on Risk Assessment in support of Commission Directive 93/67/EEC on Risk Assessment for New Notified Substances, Commission Regulation (EC) No 1488/94 on Risk Assessment for Existing Substances, and Directive 98/8/EC of the European Parliament and of the Council Concerning the Placing of Biocidal Products on the Market; Office for Official Publications of the European Communities: Luxembourg, 2003. [Google Scholar]
  86. Meshkini, S.; Rahimi-Arnaei, M.; Tafi, A.A. The Acute and Chronic Effect of Roundup Herbicide on Histopathology and Enzymatic Antioxidant System of Oncorhynchus Mykiss. Int. J. Environ. Sci. Technol. 2019, 16, 6847–6856. [Google Scholar] [CrossRef]
  87. May, M.; Drost, W.; Germer, S.; Juffernholz, T.; Hahn, S. Evaluation of Acute-to-chronic Ratiosof Fish and Daphnia to Predict Acceptable No-effect Levels. Environ. Sci. Eur. 2016, 28, 16. [Google Scholar] [CrossRef]
  88. Yeh, H.J.; Chen, C.Y. Toxicity Assessment of Pesticides to Pseudokirchneriella Subcapitata under Air-Tight Test Environment. J. Hazard. Mater. 2006, 131, 6–12. [Google Scholar] [CrossRef]
  89. Perrodin, Y.; Boillot, C.; Angerville, R.; Donguy, G.; Emmanuel, E. Ecological Risk Assessment of Urban and Industrial Systems: A Review. Sci. Total Environ. 2011, 409, 5162–5176. [Google Scholar] [CrossRef]
  90. Dzierzbicka-Glowacka, L.A.; Janecki, M.; Dybowski, D.; Szymczycha, B. A New Approach for Investigating the Impact of Pesticides and Nutrient Flux from Agricultural Holdings and Land-Use Structures on Baltic Sea Coastal Waters. Pol. J. Environ. Stud. 2019, 28, 2531–2539. [Google Scholar] [CrossRef]
  91. Burnett, W.C.; Aggarwal, P.K.; Aureli, A.; Bokuniewicz, H.; Cable, J.E.; Charette, M.A.; Kontar, E.; Krupa, S.; Kulkarni, K.M.; Loveless, A.; et al. Quantifying Submarine Groundwater Discharge in the Coastal Zone via Multiple Methods. Sci. Total Environ. 2006, 367, 498–543. [Google Scholar] [CrossRef]
  92. Sarah, M.; Elliott, D.D.V. A Regional Assessment of Chemicals of Concern in Surface Waters of Four Midwestern United States National Parks. Sci. Total Environ. 2017, 579, 1726–1735. [Google Scholar]
  93. Feltracco, M.; Barbaro, E.; Morabito, E.; Zangrando, R.; Piazza, R.; Barbante, C.; Gambaro, A. Assessing Glyphosate in Water, Marine Particulate Matter, and Sediments in the Lagoon of Venice. Environ. Sci. Pollut. Res. 2022, 29, 16383–16391. [Google Scholar] [CrossRef]
  94. Montiel-León, J.M.; Munoz, G.; Vo Duy, S.; Do, D.T.; Vaudreuil, M.A.; Goeury, K.; Guillemette, F.; Amyot, M.; Sauvé, S. Widespread Occurrence and Spatial Distribution of Glyphosate, Atrazine, and Neonicotinoids Pesticides in the St. Lawrence and Tributary Rivers. Environ. Pollut. 2019, 250, 29–39. [Google Scholar] [CrossRef]
  95. Van Stempvoort, D.R.; Roy, J.W.; Brown, S.J.; Bickerton, G. Residues of the Herbicide Glyphosate in Riparian Groundwater in Urban Catchments. Chemosphere 2014, 95, 455–463. [Google Scholar] [CrossRef]
  96. Masiol, M.; Giannì, B.; Prete, M. Herbicides in River Water across the Northeastern Italy: Occurrence and Spatial Patterns of Glyphosate, Aminomethylphosphonic Acid, and Glufosinate Ammonium. Environ. Sci. Pollut. Res. Int. 2018, 25, 24368–24378. [Google Scholar] [CrossRef]
  97. Medalie, L.; Baker, N.T.; Shoda, M.E.; Stone, W.W.; Meyer, M.T.; Stets, E.G.; Wilson, M. Science of the Total Environment In Fl Uence of Land Use and Region on Glyphosate and Aminomethylphosphonic Acid in Streams in the USA. Sci. Total. Environ. 2020, 707, 136008. [Google Scholar] [CrossRef]
  98. Tóth, G.; Háhn, J.; Szoboszlay, S.; Harkai, P.; Farkas, M.; Radó, J.; Göbölös, B. Spatiotemporal Analysis of Multi-Pesticide Residues in the Largest Central European Shallow Lake, Lake Balaton, and Its Sub-Catchment Area. Environ. Sci. Eur. 2022, 34, 50. [Google Scholar] [CrossRef]
  99. Castro Berman, M.; Marino, D.J.G.; Quiroga, M.V.; Zagarese, H. Occurrence and Levels of Glyphosate and AMPA in Shallow Lakes from the Pampean and Patagonian Regions of Argentina. Chemosphere 2018, 200, 513–522. [Google Scholar] [CrossRef]
  100. Gao, J.; Liu, L.; Liu, X.; Lu, J.; Hao, H.; Yuan, H.; Zhou, H. The Organic Contamination Survey and Health Risk Assessment of 16 Source Water Reservoirs in Haihe River Basin. Water Sci. Technol. 2012, 65, 998–1006. [Google Scholar] [CrossRef] [PubMed]
  101. Papadakis, E.N.; Vryzas, Z.; Kotopoulou, A.; Kintzikoglou, K.; Makris, K.C.; Papadopoulou-Mourkidou, A. Pesticide Monitoring Survey in Rivers and Lakes of Northern Greece and Its Human and Ecotoxicological Risk Assessment. Ecotoxicol. Environ. Saf. 2015, 116, 1–9. [Google Scholar] [CrossRef] [PubMed]
  102. Zheng, S.; Chen, B.; Qiu, X.; Chen, M.; Ma, Z.; Yu, X. Distribution and Risk Assessment of 82 Pesticides in Jiulong River and Estuary in South China. Chemosphere 2016, 144, 1177–1192. [Google Scholar] [CrossRef]
  103. Lima, I.B.; Boëchat, I.G.; Fernandes, M.D.; Monteiro, J.A.F.; Rivaroli, L.; Gücker, B. Glyphosate Pollution of Surface Runoff, Stream Water, and Drinking Water Resources in Southeast Brazil. Environ. Sci. Pollut. Res. 2023, 30, 27030–27040. [Google Scholar] [CrossRef]
Figure 1. Location of sampling points.
Figure 1. Location of sampling points.
Sustainability 17 10054 g001
Figure 2. Schematic representation of the analytical procedure used to determine glyphosate in water samples using a UHPLC-MS/MS system.
Figure 2. Schematic representation of the analytical procedure used to determine glyphosate in water samples using a UHPLC-MS/MS system.
Sustainability 17 10054 g002
Figure 3. Mean (±SD), median, outlined, and extreme glyphosate concentrations determined in samples collected from (A) protected and (B) non-protected areas (<LOQ denotes below the limit of quantification, sampling sites are listed in Table 2, S.D. values were calculated as the dispersion of results around the mean in a set of samples collected in a given location).
Figure 3. Mean (±SD), median, outlined, and extreme glyphosate concentrations determined in samples collected from (A) protected and (B) non-protected areas (<LOQ denotes below the limit of quantification, sampling sites are listed in Table 2, S.D. values were calculated as the dispersion of results around the mean in a set of samples collected in a given location).
Sustainability 17 10054 g003
Figure 4. The highest values recorded each year and mean annual glyphosate concentrations determined in samples collected from (a) protected and (b) non-protected areas.
Figure 4. The highest values recorded each year and mean annual glyphosate concentrations determined in samples collected from (a) protected and (b) non-protected areas.
Sustainability 17 10054 g004
Figure 5. Average glyphosate concentrations determined in various types of water samples (flowing water, stagnant water, groundwater, runoff) correlated with exemplary anthropogenic influence.
Figure 5. Average glyphosate concentrations determined in various types of water samples (flowing water, stagnant water, groundwater, runoff) correlated with exemplary anthropogenic influence.
Sustainability 17 10054 g005
Figure 6. Average ± S.D. and median glyphosate concentrations determined in flowing water samples (S.D. values were calculated as the dispersion of results around the mean in a set of samples col-lected in a given location).
Figure 6. Average ± S.D. and median glyphosate concentrations determined in flowing water samples (S.D. values were calculated as the dispersion of results around the mean in a set of samples col-lected in a given location).
Sustainability 17 10054 g006
Figure 7. Average, and annual maximal glyphosate concentrations in water samples collected from areas with high tourist activity.
Figure 7. Average, and annual maximal glyphosate concentrations in water samples collected from areas with high tourist activity.
Sustainability 17 10054 g007
Table 1. Analytical reagents, calibration standards, and laboratory equipment required for analysis.
Table 1. Analytical reagents, calibration standards, and laboratory equipment required for analysis.
Materials and Supplies
Reagents and chemicalsGlyphosate-2-13C (part number 606502—100 mg, 99 atom% 13C), Sigma-Aldrich (Seelze, Germany);
Glyphosate (part number 45521—250 mg), Sigma-Aldrich (Seelze, Germany);
Standard solutions
SolventsMethanol (part number 1.06035.2500), Sigma-Aldrich (Seelze, Germany);
Deionized water Milli-Q (Millipore Corporation, Burlington, MA, USA);
Other chemical reagentsFormic acid (part number 33015-1L-M), Sigma-Aldrich (Seelze, Germany);
Agilent InfinityLab deactivator additive (part number 5191-4506), Agilent Technologies (Palo Alto, CA, USA);
EquipmentAutomatic pipettes 10 μL, 100 μL, 1000 μL, 10 mL (Brand, Wertheim, Germany);
Glass syringes with a capacity of 5 μL, 100 μL (Hamilton, Reno, NV, USA);
0.2 μm polyethersulfone (PES) filters (part number 5190-5096), Agilent Technologies (Palo Alto, CA, USA);
Polypropylene (PP) tubes (15 mL, 1.5 mL), Sigma-Aldrich (Seelze, Germany).
Table 2. Sampling site characteristics.
Table 2. Sampling site characteristics.
No.Sampling CodeSampling Site DescriptionSampling Site
Cordinates
Water TypeProtection Status
NENR 1CLP 2N2000 3
1BP-1Błądzikowski Stream, the mouth54.7004318.45344FW 4noyesyes
2BP-2Błądzikowski Stream, Pucka Street, Żelistrzewo54.6825118.41479FWnonono
3BP-3Błądzikowski Stream, Voivodeship Road 216, Celbów54.6774318.37433FWnonono
4BS-1Bychowska Struga Stream, Brzyno54.7768118.02164SGI 5nonono
5BS-2Bychowska Struga, Bychowo54.7410617.97260SGInonono
6CH-1Chłapowo, the mouth in Chłapowo Valley (Rudnik)54.8123218.3699FWnoyesyes
7CW-1Czarna Wda River, the mouth in Ostrowo54.8329118.23568FWnoyesyes
8CW-2Czarna Wda River, downstream of the WWTP, Jastrzębia Góra54.8281818.29193FWnonono
9CW-3Czarna Wda River, upstream of the WWTP in Jastrzębia Góra54.8228818.29285FWnonono
10CW-4Czarna Wda River, Czarny Młyn54.8085018.29994FWnonono
11CW-5Czarna Wda River, Voivodeship Road 213 (DW213), Kłanino54.7671418.22714FWnonono
12CW-D1Czarna Wda, Plażowa Street, Ostrowo (tributary of the old riverbed)54.8286418.24479RW 6noyesyes
13G-1Gizdepka River, mouth in Osłonino54.6657618.46589FWnoyesyes
14G-2Gizdepka Stream, Pucka Street, Smolno54.6637118.40966FWnonono
15G-3Gizdepka Stream, Morska Street, Osłonino54.6611918.36304FWnoyesyes
16K-1Karwianka, the mouth in Karwia54.8324218.19540FWnoyesyes
17K-2EKarwianka, weir (upstream of the mouth)54.8308918.19604SW 7noyes
18K-2WKarwianka, weir (upstream of the mouth)54.8309118.19567SWnoyesyes
19K-3Karwianka Stream, Plażowa Street,
Karwieńskie Błoto Pierwsze
54.8111518.19608FWnoyesyes
20K-4Karwianka Stream, Żwirowa Street,54.8078118.16340FWnonono
21K-5Karwianka Stream, Parszczyce54.7981118.15959FWnoyesyes
22K-6Karwianka River, Krokowa (Voivodeship Road 213, upstream of the Krokowa WWTP)54.7816818.16982FWnonono
23KAKarwianka River, downstream of the WWTP54.7880718.16167FWnonono
24KBKarwianka River, bridge upstream of the WWTP, Parszczyce–Łętowice54.79821418.159638FWnonono
25P-1Piaśnica River, Dębki, Bałtycka Street, the mouth54.8313218.06261FWnoyesyes
26P-2SPiaśnica River, Dmuchowo54.8000618.06367FWnonono
27P-3Piaśnica River, the mouth into Lake Żarnowieckie, Kartoszyno54.7309518.08767FWnonono
28P-4Piaśnica River, Wielka Piaśnica54.6843718.19650FWnonono
29PL-1Płutnica River, upstream of the mouth, Voivodeship Road 216, Puck54.7277718.39276FWnoyesyes
30PL-2Płutnica River, Gnieżdżewo54.7313018.36733SGInonono
31PL-3Płutnica River (confluence with Kanał Młyński)54.7309518.08767FWnonono
32PL-4Płutnica River (between Werblinia and Łebcz)54.7569018.32101FWnonono
33PL-D1Płutnica River, Voivodeship Road 216, Puck (field tributary)54.7234918.39261RWnonono
34R-1Reda River, upstream of the mouth54.6433018.45938FWyesyesyes
35RZ-1The Rzucewo Stream, the mouth54.6891018.46691FWnoyesyes
36WK2-1Władysławowo, Channel 2 (outlet to the Bay)54.7839418.41651RWnoyesyes
NR 1—the Beka Natura Reserve; CLP 2—the Coastal Landscape Park; N2000 3—a Natura 2000 site; FW 4—flowing surface water; SGI 5—surface water influenced by shallow groundwater; RW 6—runoff water; SW 7—stagnant surface water.
Table 3. Basic statistical parameters describing the concentration of glyphosate (ng/L) in water samples.
Table 3. Basic statistical parameters describing the concentration of glyphosate (ng/L) in water samples.
Sample TypeNMeanMedianMinimumMaximumS.D. 1
all19725850.8<LOQ8406790
BP-16<LOQ<LOQ<LOQ<LOQ-
BP-26653<LOQ<LOQ38821582
BP-3410791.141.920373.9
BS-1630725366.4605260
BS-257206366121028175
CH-1168.368.368.368.3-
CW-1617815394.3364100
CW-2522722492.6364129
CW-381257100168.646831503
CW-45165150<LOQ327140
CW-58142235046.784062856
CW-D1521127.7<LOQ996439
G-1780.058.6<LOQ18462.8
G-2654724434.41539651
G-3610.8<LOQ<LOQ64.826.5
K-110<LOQ<LOQ<LOQ<LOQ-
K-2E8<LOQ<LOQ<LOQ<LOQ-
K-2W878.162.4<LOQ28796.5
K-31032243.0<LOQ2234705
K-4289.088.979.698.413.3
K-5215615699.821379.8
K-68142114<LOQ304114
KA527.432.3<LOQ71.029.4
KB721576.050.8849293
P-14<LOQ<LOQ<LOQ<LOQ-
P-2523910748.4772303
P-2S213.413.4<LOQ26.919.0
P-3312.3<LOQ<LOQ36.821.3
P-4276.876.839.311453.1
PL-15180196<LOQ292114
PL-25<LOQ<LOQ<LOQ<LOQ-
PL-33<LOQ<LOQ<LOQ<LOQ-
PL-43<LOQ<LOQ<LOQ<LOQ-
PL-D1431.240.9<LOQ43.020.8
R-1622047.4<LOQ1172467
RZ-16<LOQ<LOQ<LOQ<LOQ-
WK2-1515116771.025572.3
drainage channel1413842.5<LOQ996258
regulated channel20161<LOQ<LOQ2234513
regulated stream2822376.80<LOQ1539367
river11433157.2<LOQ8406989
weir2186.7<LOQ<LOQ772175
non-protected10240175.7<LOQ84061045
protected95105<LOQ<LOQ2234286
1 S.D. values were computed as dispersion of results around the mean in a set of samples collected in a given location or grouped by a given class.
Table 4. Basic statistical parameters describing the concentration of glyphosate (ng/L) in water samples according to the types of water bodies.
Table 4. Basic statistical parameters describing the concentration of glyphosate (ng/L) in water samples according to the types of water bodies.
Water TypeNMeanMedianMinimumMaximumInterquartile
Range
Standard
Deviation
flowing15927456<LOQ8406169867
runoff1413843<LOQ996140258
stagnant8<LOQ<LOQ<LOQ<LOQ--
groundwater-influenced16340253<LOQ1028624343
Table 5. Annual, basic statistics and percentage of glyphosate determinations above 100 ng/L in water samples collected n sampling sites characterized by high touristic pressure.
Table 5. Annual, basic statistics and percentage of glyphosate determinations above 100 ng/L in water samples collected n sampling sites characterized by high touristic pressure.
Sampling SiteYearNMeanMedianMinimumMaximumS.D.1Percentage of Exceedence Above 100 ng/L
CW-D120191<LOQ<LOQ<LOQ<LOQ-0%
2020216.016.1<LOQ32.023.00%
2021251251228.099668550%
G-320191<LOQ<LOQ<LOQ<LOQ-0%
20202<LOQ<LOQ<LOQ<LOQ-0%
2021322<LOQ<LOQ6537.00%
K-120191<LOQ<LOQ<LOQ<LOQ-0%
20203<LOQ<LOQ<LOQ<LOQ-0%
20216<LOQ<LOQ<LOQ<LOQ-0%
P-120203<LOQ<LOQ<LOQ<LOQ-0%
20211<LOQ<LOQ<LOQ<LOQ-0%
WK2-120191255255255255-100%
2020212012071.016869.050%
2021213113194.016752.050%
1 S.D. values computed as dispersion of results around the mean in a set of samples of the given class.
Table 6. Target hazard quotient (THQ) and the risk quotient (RQ) for determined GLY in water samples collected from Poland’s diverse environmental zones.
Table 6. Target hazard quotient (THQ) and the risk quotient (RQ) for determined GLY in water samples collected from Poland’s diverse environmental zones.
Sampling SiteConcentration [mg/L]Ecotoxicological Risk AssessmentHuman Risk
Assessment
Oncorhynchus mykissDaphnia magnaPseudokirchneriella subcapitata
LC50
(mg/L)
NOEC (mg/L)LC50
(mg/L)
NOEC (mg/L)LC50
(mg/L)
NOEC (mg/L)RQTHQ
BP-20.00388227.30.552.65.015.82.60.00250.00111
BP-30.0002030.00010.00006
BS-10.0006050.00040.00017
BS-20.0010280.00070.00029
CW-10.0003640.00020.00010
CW-20.0003640.00020.00010
CW-30.0046830.00300.00134
CW-40.0003270.00020.00009
CW-50.0084060.00530.00240
CW-D10.0009960.00060.00028
G-10.0001840.00010.00005
G-20.0015390.00100.00044
K-2W0.0002870.00020.00008
K-30.0022340.00140.00064
K-50.0002130.00010.00006
K-60.0003040.00020.00009
KB0.0008490.00050.00024
P-20.0007720.00050.00022
P-2S0.00002690.000010.01312
P-40.0001140.00010.00003
PL-10.0002920.00020.00008
R-10.0011720.00070.00033
WK2-10.0002550.00020.00007
Disclaimer/Publisher’s Note: The statements, opinions and data contained in all publications are solely those of the individual author(s) and contributor(s) and not of MDPI and/or the editor(s). MDPI and/or the editor(s) disclaim responsibility for any injury to people or property resulting from any ideas, methods, instructions or products referred to in the content.

Share and Cite

MDPI and ACS Style

Sulej-Suchomska, A.M.; Jóźwik, J.K.; Kozłowska-Tylingo, K.; Ruman, M.; Lehmann-Konera, S.; Przybyłowski, P.; Astel, A.M.; Polkowska, Ż. Assessment of Glyphosate Runoff Pollution in Water Samples from Agricultural, Touristic and Ecologically Protected Areas. Sustainability 2025, 17, 10054. https://doi.org/10.3390/su172210054

AMA Style

Sulej-Suchomska AM, Jóźwik JK, Kozłowska-Tylingo K, Ruman M, Lehmann-Konera S, Przybyłowski P, Astel AM, Polkowska Ż. Assessment of Glyphosate Runoff Pollution in Water Samples from Agricultural, Touristic and Ecologically Protected Areas. Sustainability. 2025; 17(22):10054. https://doi.org/10.3390/su172210054

Chicago/Turabian Style

Sulej-Suchomska, Anna Maria, Joanna Katarzyna Jóźwik, Katarzyna Kozłowska-Tylingo, Marek Ruman, Sara Lehmann-Konera, Piotr Przybyłowski, Aleksander Maria Astel, and Żaneta Polkowska. 2025. "Assessment of Glyphosate Runoff Pollution in Water Samples from Agricultural, Touristic and Ecologically Protected Areas" Sustainability 17, no. 22: 10054. https://doi.org/10.3390/su172210054

APA Style

Sulej-Suchomska, A. M., Jóźwik, J. K., Kozłowska-Tylingo, K., Ruman, M., Lehmann-Konera, S., Przybyłowski, P., Astel, A. M., & Polkowska, Ż. (2025). Assessment of Glyphosate Runoff Pollution in Water Samples from Agricultural, Touristic and Ecologically Protected Areas. Sustainability, 17(22), 10054. https://doi.org/10.3390/su172210054

Note that from the first issue of 2016, this journal uses article numbers instead of page numbers. See further details here.

Article Metrics

Back to TopTop