Next Article in Journal
From Soft Law to Hard Law: Legal Transitions and Sustainable Challenges in the Italian Agri-Food Sector
Previous Article in Journal
Assessments on the Potential Use of Rhyolite Filler as a Soil Remineralizer in Agroecological Practices in the Fourth Colony of Italian Immigration, Rio Grande do Sul, Brazil
 
 
Font Type:
Arial Georgia Verdana
Font Size:
Aa Aa Aa
Line Spacing:
Column Width:
Background:
Article

Selective Separation of Pd, Pt, and Rh from Wastes Using Commercial Extractants for the Sustainable Development of Critical Metals Management

by
Karolina Pianowska
1,*,
Joanna Kluczka
2,*,
Grzegorz Benke
1,
Karolina Goc
1 and
Katarzyna Leszczyńska-Sejda
1
1
Łukasiewicz Research Network—Institute of Non-Ferrous Metals, Sowińskiego 5, 44-100 Gliwice, Poland
2
Department of Inorganic Chemistry, Analytical Chemistry and Electrochemistry, Faculty of Chemistry, Silesian University of Technology, B. Krzywoustego 6, 44-100 Gliwice, Poland
*
Authors to whom correspondence should be addressed.
Sustainability 2025, 17(19), 8956; https://doi.org/10.3390/su17198956
Submission received: 11 July 2025 / Revised: 22 September 2025 / Accepted: 7 October 2025 / Published: 9 October 2025
(This article belongs to the Section Waste and Recycling)

Abstract

This paper presents the results of research on the selective separation of palladium, platinum, and rhodium from waste solutions using commercial organic extractants such as Mextral 63H and trioctylamine. The research was carried out on a real waste solution, containing low concentrations of platinum group metals and significant amounts of base metals such as copper, iron, chromium, and nickel. It was found that a 20% solution of Mextral 63H in toluene selectively extracts over 99% of Pd, while a 10% solution of trioctylamine effectively extracts both Pd and Pt with a yield of over 98%. Effective stripping agents were also selected for the obtained Pd and Pt extracts: 2 M thiourea solution for Pd and diluted solutions of nitric and perchloric acids for Pt. The research allowed the development of a technological scheme enabling the separation of all three platinum group metals by selective extraction of Pd and then Pt, while Rh remains in the raffinate after both extraction stages. The proposed model, developed on the basis of results obtained for a real solution, assumes selective recovery of palladium, platinum, and rhodium from such solutions, which can find application in the precious metals industry. Moreover, the developed technology is in line with the sustainable development of the critical metals economy.

1. Introduction

1.1. Platinum Group Metals

Platinum group metals (PGMs) are extremely important metals, key to many industrial sectors such as catalysis, automotive, chemical and petroleum industries, electronics, medicine, pharmacy, and others [1,2,3,4]. Due to their low prevalence in the earth’s crust and high demand, they have been considered critical metals for years [5,6]. Continuous economic development means that the demand for metals from this group is growing year by year, and their market value is growing [7]. For this reason, it is becoming increasingly important to search for methods of recovering precious and strategic metals by processing secondary sources [8,9,10,11,12,13,14,15,16,17]. Due to the similarity of properties and chemical inertness characteristics of precious metals, selective separation of these metals from natural or secondary sources is extremely difficult and is only possible through hydrometallurgical processing [2,3,4,18,19,20]. Leaching materials containing precious metals usually involves the dissolution of the starting material using acidic leaching solutions, with the most common leaching agent being hydrochloric acid with the addition of oxidants. Solutions obtained by such processing are multicomponent solutions, characterized by low concentrations of precious metals present in the solution in the form of chlorocomplexes and high concentrations of other base metals. Selective separation of platinum group metals, leading to obtaining pure end products, usually requires the development of complex technologies and multi-stage refining processes [1,2,3,4,10,21,22].

1.2. Solvent Extraction

Among the available hydrometallurgical methods used for the selective separation of platinum group metals, precipitation methods, solvent extraction, and ion exchange are distinguished. Currently, particular importance is attached to solvent extraction, also called liquid–liquid extraction. Due to its high efficiency, selectivity, speed of the process, and relatively low operational costs, this technique constitutes a key separation method used in the technological lines of the world’s leading refineries, including Anglo Platinum Corporation and Rand Refinery in South Africa, as well as Johnson Matthey in the United Kingdom [1,2,3,4].
The high effectiveness of this method results primarily from the wide range of effective platinum group metal extractants, as well as from the well-known chemistry of PGM chlorocomplexes, which over the years have been intensively studied by the scientific community [1,2,3,4].
Depending on the type of extractant used, three main extraction mechanisms are distinguished: anion exchange, solvation, and compound formation (Figure 1). The first mentioned mechanism involves the formation of electrically neutral ion pairs between the chlorocomplex anions and positively charged organic compound molecules. In the case of solvation, water molecules surrounding the platinum group metal chloroanions are replaced by extractant molecules. The third mentioned mechanism is specific to palladium and involves the formation of complex compounds with extractants exhibiting chelating properties [3,4,23].
The overall extraction process involves transferring PGM chlorocomplexes from the aqueous phase to the immiscible organic phase, i.e., the extractant solution. This process results from the synergistic interaction of electrostatic forces and reactions occurring at the molecular level. In practice with real chloride solutions, PGMs occur as a mixture of various forms of chlorocomplexes, differing in reactivity and consequently in the kinetics and efficiency of extraction. Therefore, despite the widespread popularity and long-standing application of solvent extraction in the separation and recovery of platinum group metals, this method continues to attract significant scientific and industrial interest, particularly in the area of PGM recovery from secondary sources and the search for new, effective extractants [3,4,23].
In this study we investigated the possibility of selective separation of Pd, Pt, and Rh from a technological solution with relatively low concentrations of platinum group metals (with a combined total concentration of PGMs approximately 4.5 g/dm3) and certain amounts of base metals such as copper, iron, chromium, nickel, and others. Since the majority of published studies on the recovery of noble metals by extraction are conducted on simple synthetic solutions, typically with very low concentrations of noble metals (<1 g/dm3) and lacking other base metals, the methods described may prove insufficient when applied to real solutions derived from the processing of waste materials. Therefore, in the context of sustainable waste management and recovery of noble metals from secondary sources, it is particularly important to develop effective separation methods for platinum group metals from real process solutions and to investigate the relationship between the extraction of these metals and the presence of other base metals in the feed solution [24,25,26,27,28,29]. Mextral 63H and trioctylamine (Figure 2) were selected as potentially effective extractants for the study, selected on the basis of available literature data [30,31,32,33,34,35,36,37,38,39,40].
The first of those mentioned—Mextral 63H—is an effective extractant dedicated to the recovery of nickel, cobalt, zinc, germanium, uranium, and other metals [41]. Currently, there is a lack of data in the scientific literature regarding the application of this extractant for the recovery of platinum group metals; however, some sources suggest that Mextral 63H is an equivalent of the once popular chelating extractant known by the trade name LIX 63, which is no longer available on the market [41,42].
In the scientific literature, LIX 63 is often described as an effective means of separating palladium from zinc in both synthetic solutions and real waste solutions [33,43]. Most of the studies indicate very high extraction efficiency of palladium, exceeding 99%. For example, Nguyen and colleagues, in a paper published in 2016, proposed a process for the complete separation of Pd(II), Pt(IV), Ir(IV), and Rh(III) from concentrated hydrochloric acid solutions using a solvent extraction method. The authors extracted palladium using the LIX 63 extractant with an efficiency of >99%. Equally high yields were obtained during stripping using thiourea solution. Moreover, in the HCl concentration range from 1 to 6 M, Pd(II) was extracted fully selectively [44].
Similar results were obtained in studies conducted by Truong and co-authors in 2018, who investigated the possibility of Pd and Pt extraction using LIX 63 and Cyanex 301 for the HCl concentration range of 0.5 to 9 M. The obtained results indicated the selectivity of palladium extraction over platinum in the entire studied range [30].
In addition, LIX 63 has the ability to extract gold from hydrochloric acid solutions, which may be important in the context of the recovery of precious metals from solutions containing both palladium and gold [31].
Another extractant selected for research with a wide range of applications in the context of precious metal recovery is trioctylamine. This solvating extractant from the group of tertiary aliphatic amines is also often found under the trade names Alamine 336, Alamine 300, and Alamine 308 [24,45].
In the research conducted by Katasonova and others in 2022, trioctylamine was used for the joint extraction recovery of palladium(II) and platinum(IV) from highly saline model solutions containing up to 300 g L−1 of chloride ions at HCl concentrations in the range of 1–5 M. In the conducted research, Pt was almost quantitatively extracted into a 0.5 M trioctylamine solution in the entire acidity range of the model solution, but the Pd extraction efficiency decreased with increasing chloride concentration [37].
Other studies investigated the effect of various parameters on the extraction of Pd and Pt and their stripping behavior. The results showed that Pd and Pt were effectively separated from simulated spent automotive catalyst liquor using monothio-Cyanex 272 and trioctylamine. Pt was extracted with an efficiency of over 99.9% using trioctylamine, and the authors noted that iron was also extracted in addition to Pt, which could be removed from the extract using a hydrochloric acid solution. In their studies, the authors also indicated effective Pt stripping agents from the organic phase such as thiourea solutions and NaOH [38].
Jaree and Khunphakdee conducted studies on the intensification of Pt-Rh separation by liquid–liquid extraction. Trioctylamine in toluene was used as the extractant, and the extraction yields obtained were 97% for Pt(IV) and 21% for Rh(III). Pt(IV) was almost completely removed from the organic phase after stripping with 8 M nitric acid [46].

1.3. Aim and Scope of the Research

The aim of the work was to investigate the possibility of selective separation of palladium, platinum, and rhodium from a technological solution containing a total of about 4.5 g/dm3 of the above-mentioned noble metals and significant amounts of accompanying metals, mainly copper. The study analyzed the effect of key parameters on extraction efficiency, such as pH of the initial solution, concentration of the extractant in the organic phase, phase ratio, and contact time of both phases. The experiments were supplemented with studies of stripping of extracted metals from the organic phase using commonly used stripping agents mentioned in the literature. The obtained results were used to develop a proposal for a technological scheme for the separation of palladium, platinum, and rhodium from solutions of similar composition. Due to the similarity of the physicochemical properties of the noble metals studied, the main emphasis was placed on the selection of extraction parameters enabling selective separation of palladium with respect to platinum and rhodium and selective extraction of platinum with respect to rhodium.
In contrast to most works of this type, which are based on synthetic solution studies, the main advantage of this study is the results are obtained for a real solution produced by leaching various kinds of waste materials (concentrates, used electronic components, and PGM filtration filters) of unknown composition. The presented studies were conducted with potential industrial applications in mind. The results obtained and the proposed separation methodology can be applied to technological solutions with similar composition.
Furthermore, the procedure developed during this research may be significant not only for enhancing the efficiency of technological processes but also for promoting sustainable waste management and the responsible use of critical metals. This approach helps reduce negative environmental impacts and supports the principles of a circular economy.
Although the concentrations of precious metals in the analyzed solution are relatively low in an industrial context, they are still significantly higher than those reported in most published studies, where concentrations typically do not exceed 1 g/dm3. Even though there are references in the literature that the extractant Mextral 63H (KopperChem, Chongqing, China) is an equivalent of the well-known LIX 63, no studies on the use of Mextral 63H in the extraction of precious metals have been published so far, which is an important element of the novelty of this work in addition to the new, previously untested technological solution characterized by complicated chemical composition and relatively high concentrations of metals.

2. Materials and Methods

2.1. Reagents and Materials Used

The test solution used was a technological solution owned by the Łukasiewicz Research Network—Institute of Non-Ferrous Metals (Gliwice, Poland), obtained by oxidative leaching of waste materials, including concentrates, used electronic components, and filters remaining after filtration of materials containing PGMs. The leaching process used concentrated hydrochloric acid with the addition of nitric acid as an oxidizing agent. The composition of the tested solution is presented in Table 1.
Mixtures of pure Mextral 63H (KopperChem, Chongqing, China) and trioctylamine (Sigma-Aldrich, Burlington, MA, USA) in toluene (Chempur, Piekary Śląskie, Poland) were used as the extraction solution. Stripping was carried out using thiourea solutions (Avantor, Gliwice, Poland), nitric acid solutions (65%, Avantor, Gliwice, Poland), perchloric acid solution (70%, Thermo Fisher Scientific, Waltham, MA, USA), ammonia solution (25%, Chempur, Piekary Śląskie, Poland), and potassium rhodanide (Thermo Fisher Scientific, Waltham, MA, USA).
Additionally, hydrochloric acid (35–38%, analytical reagent (AR), Avantor, Gliwice, Poland), sodium hydroxide (Avantor, Gliwice, Poland), and distilled water (<2 μS/cm) were utilized in the experiments.

2.2. Analytical Techniques

The concentrations of platinum group metals and other base metals in the initial solution, as well as in the aqueous solutions after extraction and stripping, were measured using inductively coupled-plasma optical emission spectrometry (ICP-OES) with an Agilent 5110 SVDV ICP-OES spectrometer (Agilent Technologies (Santa Clara, CA, USA)) and atomic absorption spectrometry (AAS) with an iCE 3300 AAS spectrometer (Thermo Scientific (Waltham, MA, USA)). All measurements were performed at the Łukasiewicz Research Network—Institute of Non-Ferrous Metals, Center of Analytical Chemistry (Gliwice, Poland).
Each test included three repetitions. Possible analytical errors in the calculated extraction and stripping efficiencies may result from small sample volumes and inaccuracies in volume measurements caused by surface tension and viscosity of the liquids, as well as adhesion to laboratory glassware. Due to the above difficulties, a possible error of <1% was considered acceptable.

2.3. Extraction and Stripping Procedure

The first stage of the extraction studies included the evaluation of the effect of pH on the extraction efficiency of palladium, platinum, and rhodium. The experiments used 50% (v/v) solutions of Mextral 63H and trioctylamine extractants in toluene, which were contacted with equal volumes of the aqueous phase (20 cm3 each). The pH of the initial solution was adjusted in the range of 0.0–1.5 by adding solid sodium hydroxide and concentrated hydrochloric acid. The samples were stirred vigorously for 30 min and then separated using a glass separator, after which the volumes of both phases were measured in a measuring cylinder.
Then, the effect of the extractant concentration in the organic phase was examined, preparing solutions with concentrations of 10–50% in toluene. Equal volumes of both phases (20 cm3 each) were stirred vigorously for 30 min, after which the two-phase system was separated according to the procedure adopted in the previous stage of the studies.
The next step was to investigate the effect of the phase ratio on the extraction efficiency and selectivity. For this purpose, different volumes of the aqueous and organic phases were contacted, maintaining the organic-to-aqueous-phase ratio in the range of 1:1–1:5. The mixing time was again 30 min.
The last parameter examined was the effect of mixing length on extraction efficiency. The tests were conducted by mixing the aqueous phase with the organic phase at time intervals from 1 to 30 min, maintaining the phase ratio of 1:1 (20 cm3 of each phase).
A similar procedure was used in the preliminary stripping studies, selecting stripping agents based on a literature review. The elution efficiency of palladium and platinum from the organic phases was assessed using selected extractants, maintaining equal volumes of both phases (20 cm3) and a contact time of 30 min. Then, the two-phase systems were transferred to a glass separatory funnel and the volumes of both phases were measured.

2.4. Calculations

The results of the measurement of the concentrations of individual platinum metals in the aqueous phases were used to calculate the extraction efficiency and selectivity. The following formulas were used for the calculations:
(1)
The extraction efficiency (EE) was calculated as the ratio of the mass of the platinum group metal transferred to the organic phase to its initial mass in the aqueous phase:
E E = ( C 0 V 0 C 1 V 1 ) C 0 V 0 × 100 %
where C0—concentration of the platinum group element in the aqueous phase before extraction [g/dm3]; V0—starting volume of the aqueous phase [dm3]; C1—concentration of the platinum group element in the aqueous phase after extraction [g/dm3]; and V1—volume of the aqueous phase obtained after extraction [dm3].
(2)
Extraction coefficient (D) calculated as the ratio of the platinum group metal concentration in the organic phase to the platinum group metal concentration in the aqueous phase:
D = C X   o r g C X   a q
where CX org—concentration of the platinum group element in the organic phase after extraction [g/dm3]; and CX aq—concentration of the platinum group element in the aqueous phase after extraction [g/dm3].
(3)
The selectivity coefficient (α) was defined as the ratio of the extraction coefficients of the individual metals:
α = D I D I I
where DI—extraction coefficient of platinum group element I; and DII—extraction coefficient of platinum group element II.
Similar formulas were used for stripping studies, where:
(1)
The stripping efficiency (SE) was calculated as the ratio of the mass of the platinum group metal transferred from the organic phase to the aqueous phase:
S E = C s s V s s C e x V e x × 100 %
where Cex—initial concentration of the platinum group element in the organic phase before stripping [g/dm3]; Vex—initial volume of the organic phase [dm3]; Css—concentration of the platinum group element in the aqueous phase after stripping [g/dm3]; and Vss—volume of the aqueous phase obtained after stripping [dm3].
These calculations allowed for the evaluation of the efficiency and selectivity of the extraction and stripping processes. These results were also used to determine the optimal process conditions, such as the concentration of extractants, the phase ratio. and the contact time, which influenced the extraction efficiency and selectivity.

3. Results

3.1. Extraction Studies

3.1.1. The Effect of pH

Studies on the effect of pH of the waste solution on the extraction efficiency of individual platinum metals were conducted in the pH range of 0.0–1.5, with a phase ratio of 1:1 and a contact time of 30 min, in accordance with the procedure described in point two. The established limit pH value was related to the properties of the tested solution, where raising the pH above 1.5 resulted in the precipitation of other base metals present in the solution. This phenomenon was a significant difficulty due to the need for filtration and, consequently, the non-uniform composition of the initial solution in individual samples which could significantly affect the precision of the obtained analysis results. The results obtained at this stage of the study are presented in Figure 3. Analysis of the results showed that only Mextral 63H is characterized by full selectivity of palladium extraction in relation to platinum and rhodium in the entire tested range, with a very high extraction efficiency of 99.8–99.9%. In the case of trioctylamine, very high yields were also achieved, above 99.9%, for the entire pH range studied, but the extraction of both platinum metals, Pd and Pt, proceeded equally. For rhodium, the yield was obtained in the range from 30.8 to 44.7%. The selectivity coefficients (α) of Pd and Pt extraction with respect to Rh, calculated according to formula 3 presented in the second point for the natural pH of the initial solution (equal to 0), were 2088.3 and 5745.1, respectively.

3.1.2. The Effect of Extractant Concentration

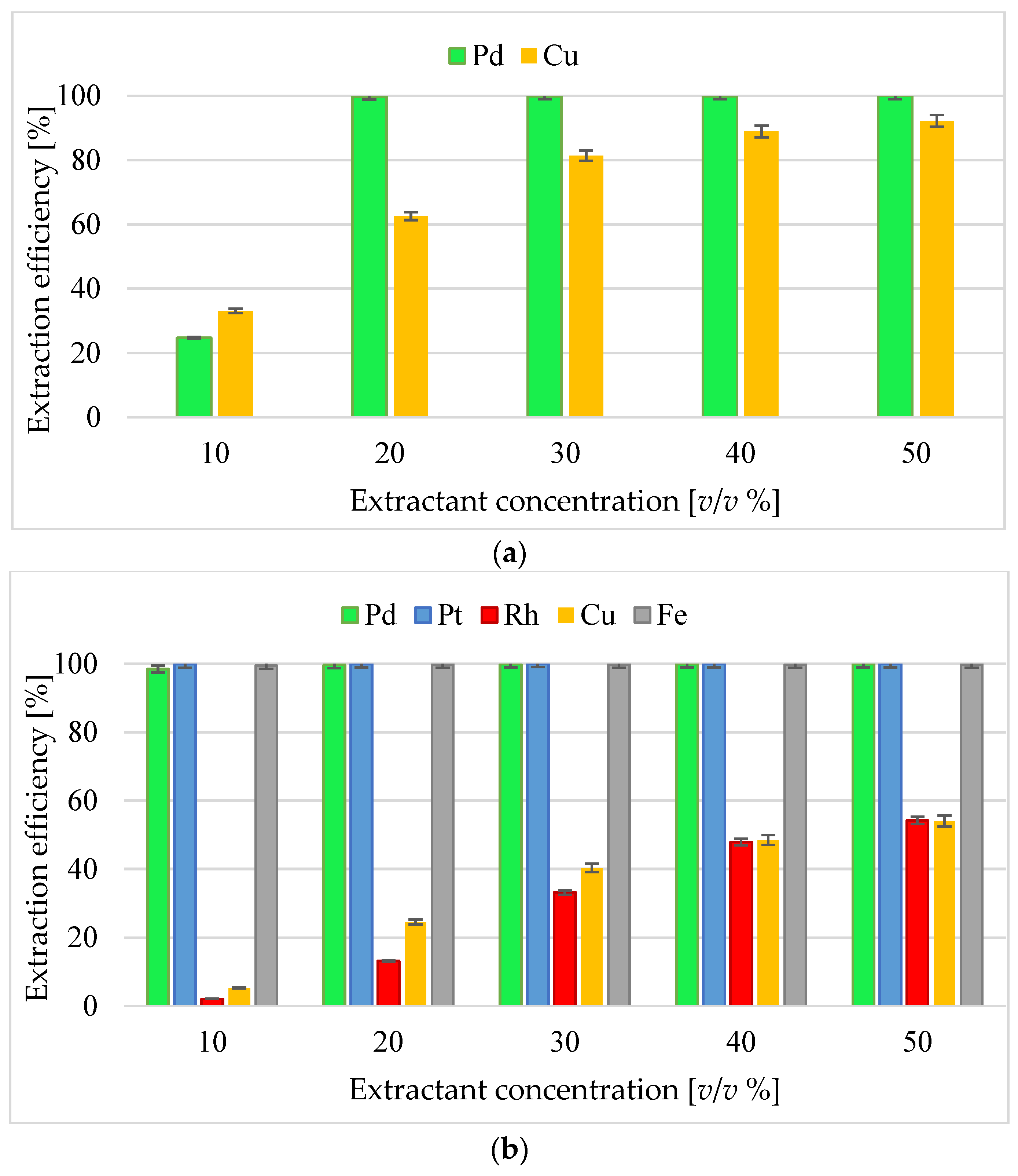
Studies on the effect of the percentage concentration (v/v %) of the extractant in toluene on the extraction efficiency and selectivity were conducted according to the procedure described in point 2. The results presented in Figure 4 indicate that 20% of the Mextral 63H extractant in toluene was sufficient to obtain a Pd extraction efficiency of 99.8–99.9%. As the extractant concentration in the organic phase increased, both the high Pd extraction efficiency and the extraction selectivity towards the other platinum group metals were maintained, but a gradual increase in copper co-extraction was also observed in the range from 33.1 to 92.2% efficiency. In the results of the analyses of the concentrations of individual metals in the raffinates after extraction, apart from Pd and Rh, no decreases in Fe concentration were observed in the aqueous phase.
Trioctylamine was also characterized by high efficiency even at low volume concentrations of the extractant in the organic phase. Studies have shown that 10% (v/v) trioctylamine solution allows for the effective extraction of Pt and Pd with 99.8% and 98.4% extraction efficiency, respectively, while maintaining a favorable selectivity coefficient of both platinum group metals towards Rh and Cu. In addition to the two mentioned platinum group metals, the results of analyses also indicated an almost quantitative co-extraction of Fe into the organic phase.

3.1.3. The Effect of Volume Phase Ratio

The study of the effect of the phase ratio Vorg–Vaq was tested in the range of 1:1–1:5, according to the described methodology. In the case of the Mextral 63H extractant, a 30% (v/v) solution of this extractant in toluene was used for the study, while in the case of trioctylamine a 10% (v/v) solution was used. The obtained data are presented in graphic form in the graphs below (Figure 5a,b). Furthermore, the obtained results were used to plot the Pd and Pt extraction isotherms and determine the necessary number of extraction stages for quantitative recovery of both platinum metals from the tested aqueous solution. The McCabe–Thiele graphical method was used for this purpose (Figure 6 and Figure 7a,b).
The analysis of concentrations in the raffinates obtained after extraction showed that in the case of extraction using the Mextral 63H extractant, this process should be carried out in a 1:1 ratio or with a two-fold volume excess of the aqueous phase to the organic phase. In both cases, more than 99% of the Pd contained in the aqueous phase was extracted, obtaining extracts with concentrations of 1.86 and 3.69 g/dm3, respectively. Moreover, conducting extraction with an excess of the aqueous phase to the organic phase allows for a significant reduction in the co-extraction of Cu, which can significantly affect the purity of Pd obtained in further recovery stages. In such a case, however, it is necessary to use at least two extraction stages to quantitatively extract Pd from the aqueous phase (Figure 6).
In studies on the extraction of platinum and palladium using trioctylamine solution, the highest extraction efficiency results were achieved at ratios of 1:1 (Pt—99.8%; Pd—98.4%) and 1:2 (Pt—99.0%; Pd—92.8%). In the entire range of studies, iron was co-extracted to the same extent as platinum. Increasing the excess of the aqueous phase in relation to the organic phase significantly reduced the extraction efficiency of palladium; however, in the entire range studied, it was not possible to obtain a favorable selectivity of platinum extraction in relation to palladium. The plotted extraction isotherms for both platinum metals (Figure 7a,b) indicate that for the quantitative recovery of Pd from the aqueous phase (similarly to Mextral 63H) at least two extraction steps are required, while in the case of Pt a single-step extraction seems to be sufficient.

3.1.4. The Effect of Contact Time

The results of the study on the effect of contact time on extraction efficiency were checked for a phase ratio of 1:1 in the time range of 1 to 30 min. The results presented in the graphs below (Figure 8) indicate that for both tested extractants, the extraction of Pd and Pt is very fast. In the case of Mextral 63H, the equilibrium state is established after exceeding 3 min of contact time, while in the case of trioctylamine, over 99% efficiency was obtained within 1 min of extraction.

3.2. Stripping Studies

The organic phases obtained as a result of the previously conducted tests were combined, resulting in a Mextral 63H solution with a palladium concentration of 3.0 g/dm3. Then, the raffinates obtained after palladium extraction were collected and used for selective extraction of platinum in relation to rhodium using a 10% solution of trioctylamine in toluene, based on the previously established test results. As a result, an organic solution containing 2.44 g/dm3 of platinum was obtained. The materials for the tests obtained in this way were used to examine the possibilities of recovering palladium and platinum from extracts, in accordance with the methodology described in point 2, using a selected stripping agent which was selected based on a review of the scientific literature. The results obtained in the tests are presented in tabular form in Table 2.
According to the data presented in Table 2, the highest efficiency of palladium stripping from the Mextral 63H solution in toluene was characterized by a 2 M thiourea solution and a 2 M thiourea solution in 1 M hydrochloric acid, where 94.4% and 97.2% of stripping efficiency were obtained, respectively. However, due to the high concentration of chlorides in the starting solution and the relatively high concentration of co-extracted copper in the case of the thiourea solution in hydrochloric acid, precipitation of significant amounts of precipitate, mainly copper(II) chloride, was observed at the phase boundary. The occurrence of this phenomenon made phase separation difficult and necessitated filtration.
In the case of platinum recovery from the trioctylamine solution in toluene, the highest efficiency, reaching 99.8–99.9%, was obtained using diluted solutions of mineral acids—HNO3 and HClO4. High yields were already achieved during single-stage stripping, both at room temperature and elevated temperature. Thiourea solutions also showed platinum elution efficiency of about 57–68%, but obtaining satisfactory results would require multi-stage stripping.

4. Discussion

The obtained research results unequivocally confirm the high efficiency of the extractants selected for the study in the separation of palladium and platinum from waste solutions. Since only Mextral 63H showed full selectivity of Pd extraction with respect to the other two platinum group metals and trioctylamine effectively extracted both Pd and Pt, in order to selectively separate all three platinum group metals it would be necessary to first perform selective extraction of Pd using the Mextral 63H solution, and then the raffinate after Pd extraction should be directed to selective stripping of Pt with respect to rhodium using the trioctylamine solution.
During the conducted research, it was determined that the most favorable conditions for Pd extraction are the use of the Mextral 63H solution with a concentration of 20% (v/v), with an organic-to-aqueous-phase ratio of 1:1–1:2 and a contact time of 5 min. In the case of platinum extraction, the best results were obtained using 10% (v/v) trioctylamine in toluene, with an organic-to-aqueous-phase ratio of 1:1–1:2 and a contact time of over 1 min. As a result, after two extraction stages, a raffinate containing Rh is obtained, devoid of the other two platinum group elements.
A 2 M thiourea solution and a single-diluted nitric acid (V) were selected as effective stripping agents for Pd and Pt from organic phases. Unlike most published studies conducted with the use of synthetic solutions, a multicomponent waste solution characterized by a high concentration of copper was used in this study. It was found that during the extraction of Pd and Pt from real solutions, other base metals, i.e., copper and iron, are also co-extracted, which necessitates refining the obtained concentrates at further stages of obtaining pure precious metals. Based on the obtained results, an exemplary technological scheme for the separation of Pd, Pt, and Rh from waste solutions with high concentrations of other accompanying metals is presented below (Figure 9).
The proposed separation model assumes selective extraction of palladium using a 20% (v/v) solution of Mextral 63H in toluene. Then the obtained raffinate I is directed to selective extraction of platinum using a 10% (v/v) solution of trioctylamine in toluene. Palladium and platinum are recovered from the organic extracts obtained at this stage by stripping using a 2 M solution of thiourea and a 32.5% solution of nitric acid (V). The aqueous solutions obtained in this way (strip solutions I and II) are used to obtain palladium and platinum in the form of solid end products using known methods [47,48,49,50,51].
In the case of palladium, due to the presence of copper in the strip solution it is assumed that a palladium–copper concentrate will be obtained, or it will be dissolved and transformed into another compound, e.g., a Pd(NH3)2Cl2 complex, and then refined from copper.
Platinum from nitric acid solutions can be reduced using popular reducing agents or cementation using selected metals, e.g., zinc dust. Since iron was present together with platinum in organic solutions and then strip solutions, the obtained concentrate can be purified by dissolving iron hot using a non-oxidizing acid, e.g., HCl, resulting in a high-percentage metallic Pt powder.
Rhodium can be recovered from raffinate II by obtaining concentrates using classical reduction methods, or, as in the proposed scheme, pressure reduction in an autoclave.
The solid products obtained can be subjected to further stages of refining and smelting in order to obtain final products of the required form and purity. In most of the industrial processes described, palladium and platinum are first converted into salts, most commonly (NH3)2PdCl2 and (NH4)2PtCl6, which are then reduced to metallic form. This methodology is used, among others, by global refineries such as INCO, Matthey Rustenberg, Lonrho, Krastsvetmet’s refinery, and Acton Refinery [47,50,52].
In the case of palladium, refining usually involves dissolving the obtained salt (NH3)2PdCl2 in an ammonia solution, followed by filtration to remove any impurities. The solution is then acidified with hydrochloric acid to precipitate purer diamino-palladous dichloride. Repeating this procedure several times allows the final product to be obtained, free of other metallic impurities, including copper [47,50,52].
Platinum refining, depending on the method used and subsequent unit operations, is usually based on redissolving the platinum sponge in hydrochloric acid with the addition of an oxidizing agent. The solution is then filtered, boiled, diluted, and filtered again. The next step is the precipitation of ammonium hexachloroplatinate (NH4)2PtCl6 using ammonium chloride. The resulting suspension is filtered, and then the precipitate is dissolved in water, after which the metallic platinum is chemically reduced with hydrazine. The resulting metal is subjected to calcination [47,50,52].
Purified Pd and Pt salts are usually then converted into metallic form. Two methods are used for this purpose: the “wet” method, which involves reducing the dissolved, purified salt using a reducing agent, e.g., hydrazine, and the thermal method, which involves decomposing the salt at a temperature of approximately 1000 °C. Literature data indicate that the end products obtained by these methods are characterized by a purity of up to 99.99% [47,50].
The cost of such treatments and the separation technology itself using extraction is negligibly low in relation to the high market prices of platinum group metals; according to recent reports by Johnson Matthey, the prices of these metals at the beginning of July 2025 reached USD 1472.00/oz for Pt; USD 1305/oz for Pd; USD 5800.00/oz for Rh; and USD 4450.00/oz [7,53]. Furthermore, the extractant solutions and post-refining solutions used can be purified and reused for subsequent cycles, which significantly reduces the operating costs of the technology. In addition to the possibility of multiple reuses of the organic phases in the extraction process of platinum group metals, an important economic factor is the low consumption of both extractants, which results from their high efficiency even at low volume concentrations in the organic phase, as confirmed in the present study.

5. Conclusions

In this study, the possibility of selective separation of palladium, platinum, and rhodium was investigated using commercial organic extractants such as Mextral 63H and trioctylamine. The subject of the study was a real waste solution containing relatively low concentrations of Pt, Pd, and Rh, as well as significant amounts of other base metals, mainly copper, iron, chromium, and nickel. The experiments carried out proved that a 20% (v/v) solution of Mextral 63H in toluene effectively and fully selectively (with respect to Pt and Rh) extracts over 99% of palladium from the starting solution. The most favorable extraction conditions were determined to be a ratio of organic to aqueous phases of 1:1–1:2 and a contact time of over 3 min. A 10% (v/v) trioctylamine solution effectively extracted both Pd and Pt, with the best results achieved with an organic-to-aqueous-phase ratio of 1:1–1:2 and a contact time of over 1 min, where over 98–99% extraction efficiency of both metals was obtained with a favorable Pd and Pt extraction selectivity coefficient relative to Rh.
In the conducted stripping studies, effective strip solutions were selected: 2 M thiourea solution and diluted solutions of nitric and perchloric acids. The conducted experiments allowed for the preparation of a technological scheme for the separation of all three platinum group metals. The developed method can significantly supplement the existing knowledge regarding sustainable waste management and the effective recovery of critical metals from secondary sources. The process involves two extraction stages, the first of which involves selective extraction of palladium with respect to platinum and rhodium, and the second involves selective extraction of platinum with respect to rhodium. The extracts obtained are then directed to the stripping stage in order to obtain aqueous solutions of palladium and platinum intended for further processing. The rhodium raffinate obtained after two extraction stages and not containing other platinum group metals is subjected to high-pressure reduction in order to produce a rhodium concentrate. Additionally, the studies have shown that in the case of the solution used some amounts of copper are co-extracted with palladium, while in the case of platinum some iron is co-extracted, which should be taken into account in the context of obtaining pure end products.
Based on the results obtained, the following conclusions can be drawn:
  • Mextral 63H is a selective extractant of palladium relative to platinum and rhodium.
  • Trioctylamine is a selective extractant of palladium and platinum relative to rhodium.
  • A 2 mol/dm3 thiourea solution is an effective palladium stripping agents from Mextral 63H solution, and single-diluted nitric acid solutions and 2 mol/dm3 perchloric acid solutions are effective platinum stripping agents from trioctylamine solutions.

Author Contributions

Conceptualization, K.P.; investigation, K.P. and K.G.; writing—original draft preparation, K.P.; writing—review and editing, K.P., J.K. and G.B.; visualization, K.P.; supervision, G.B., J.K. and K.L.-S. All authors have read and agreed to the published version of the manuscript.

Funding

The funding was provided by the Łukasiewicz Research Network—Institute of Non-Ferrous Metals, Poland (0334172004) and by the Polish Ministry of Education and Science (Project No. 32/014/SDW/005-43).

Institutional Review Board Statement

Not applicable.

Informed Consent Statement

Not applicable.

Data Availability Statement

The data presented in this review are based on data collected from the scientific literature and the knowledge and experience of the authors. The sources used in this publication were selected by searching the ScienceDirect, Scopus, and Web of Science databases.

Conflicts of Interest

The authors declare no conflicts of interest. The funders had no role in the collection or interpretation of data; in the writing of the manuscript; or in the decision to publish the results.

References

  1. Panda, R.; Jha, M.K.; Pathak, D.D. Commercial Processes for the Extraction of Platinum Group Metals (PGMs). In Rare Metal Technology 2018; The Minerals, Metals and Materials Series; Springer International Publishing: Cham, Switzerland, 2018; Volume Part F5, pp. 119–130. [Google Scholar]
  2. Sinisalo, P.; Lundström, M. Refining Approaches in the Platinum Group Metal Processing Value Chain—A Review. Metals 2018, 8, 203. [Google Scholar] [CrossRef]
  3. Bernardis, F.L.; Grant, R.A.; Sherrington, D.C. A Review of Methods of Separation of the Platinum-Group Metals through Their Chloro-Complexes. React. Funct. Polym. 2005, 65, 205–217. [Google Scholar] [CrossRef]
  4. Pianowska, K.; Kluczka, J.; Benke, G.; Goc, K.; Malarz, J.; Ochmański, M.; Leszczyńska-Sejda, K. Solvent Extraction as a Method of Recovery and Separation of Platinum Group Metals. Materials 2023, 16, 4681. [Google Scholar] [CrossRef]
  5. International Energy Agency Global Critical Minerals Outlook. 2024. Available online: https://www.iea.org/reports/global-critical-minerals-outlook-2024?utm_content=buffer3599f&utm_medium=social&utm_source=linkedin.com&utm_campaign=buffer (accessed on 10 July 2025).
  6. European Comission. Study on the Review of the List of Critical Raw Materials; Publications Office of the EU: Brussels, Belgium, 2020. [Google Scholar]
  7. PGM Management. Available online: https://matthey.com/products-and-markets/pgms-and-circularity/pgm-management (accessed on 8 October 2025).
  8. Kinas, S.; Jermakowicz-Bartkowiak, D.; Pohl, P.; Dzimitrowicz, A.; Cyganowski, P. On the Path of Recovering Platinum-Group Metals and Rhenium: A Review on the Recent Advances in Secondary-Source and Waste Materials Processing. Hydrometallurgy 2024, 223, 106222. [Google Scholar] [CrossRef]
  9. Azmi, A.A.; Jai, J.; Zamanhuri, N.A.; Yahya, A. Precious Metals Recovery from Electroplating Wastewater: A Review. IOP Conf. Ser. Mater. Sci. Eng. 2018, 358, 012024. [Google Scholar] [CrossRef]
  10. Zheng, H.; Ding, Y.; Wen, Q.; Liu, B.; Zhang, S. Separation and Purification of Platinum Group Metals from Aqueous Solution: Recent Developments and Industrial Applications. Resour. Conserv. Recycl. 2021, 167, 105417. [Google Scholar] [CrossRef]
  11. Yakoumis, I.; Panou, M.; Moschovi, A.M.; Panias, D. Recovery of Platinum Group Metals from Spent Automotive Catalysts: A Review. Clean. Eng. Technol. 2021, 3, 100112. [Google Scholar] [CrossRef]
  12. Sethurajan, M.; van Hullebusch, E.D.; Fontana, D.; Akcil, A.; Deveci, H.; Batinic, B.; Leal, J.P.; Gasche, T.A.; Ali Kucuker, M.; Kuchta, K.; et al. Recent Advances on Hydrometallurgical Recovery of Critical and Precious Elements from End of Life Electronic Wastes—A Review. Crit. Rev. Environ. Sci. Technol. 2019, 49, 212–275. [Google Scholar] [CrossRef]
  13. Hughes, A.E.; Haque, N.; Northey, S.A.; Giddey, S. Platinum Group Metals: A Review of Resources, Production and Usage with a Focus on Catalysts. Resources 2021, 10, 93. [Google Scholar] [CrossRef]
  14. Paiva, A.P.; Piedras, F.V.; Rodrigues, P.G.; Nogueira, C.A. Hydrometallurgical Recovery of Platinum-Group Metals from Spent Auto-Catalysts—Focus on Leaching and Solvent Extraction. Sep. Purif. Technol. 2022, 286, 120474. [Google Scholar] [CrossRef]
  15. Hagelüken, C. Recycling the Platinum Group Metals: A European Perspective. Platin. Met. Rev. 2012, 56, 29–35. [Google Scholar] [CrossRef]
  16. Rao, M.; Xia, H.; Xu, Y.; Jiang, G.; Zhang, Q.; Yuan, Y.; Zhang, L. Study on Ultrasonic Assisted Intensive Leaching of Germanium from Germanium Concentrate Using HCl/NaOCl. Hydrometallurgy 2024, 230, 106385. [Google Scholar] [CrossRef]
  17. Xiong, Q.; Yuan, Z.; Zhang, Y.; Chen, Z.; Wei, K.; Ma, W. A New Approach for Separating Copper, Tin, and Lead from Photovoltaic Ribbon Wastes. Sol. Energy 2025, 299, 113810. [Google Scholar] [CrossRef]
  18. Nguyen, V.T.; Riaño, S.; Aktan, E.; Deferm, C.; Fransaer, J.; Binnemans, K. Solvometallurgical Recovery of Platinum Group Metals from Spent Automotive Catalysts. ACS Sustain. Chem. Eng. 2021, 9, 337–350. [Google Scholar] [CrossRef]
  19. Wang, M.; Tan, Q.; Chiang, J.F.; Li, J. Recovery of Rare and Precious Metals from Urban Mines—A Review. Front. Environ. Sci. Eng. 2017, 11, 1. [Google Scholar] [CrossRef]
  20. Goc, K.; Kluczka, J.; Benke, G.; Malarz, J.; Pianowska, K.; Leszczyńska-Sejda, K. Application of Ion Exchange for Recovery of Noble Metals. Minerals 2021, 11, 1188. [Google Scholar] [CrossRef]
  21. Saguru, C.; Ndlovu, S.; Moropeng, D. A Review of Recent Studies into Hydrometallurgical Methods for Recovering PGMs from Used Catalytic Converters. Hydrometallurgy 2018, 182, 44–56. [Google Scholar] [CrossRef]
  22. Sole, K.C. Solvent Extraction in the Hydrometallurgical Processing and Purification of Metals: Process Design and Selected Applications. In Solvent Extraction and Liquid Membranes; Fundamentals and Applications in New Materials; CRC Press: Boca Raton, FL, USA, 2008; pp. 141–200. [Google Scholar] [CrossRef]
  23. Lee, J.C.; Kurniawan, K.; Kim, S.; Nguyen, V.T.; Pandey, B.D. Ionic Liquids-Assisted Solvent Extraction of Precious Metals from Chloride Solutions. Sep. Purif. Rev. 2023, 52, 242–261. [Google Scholar] [CrossRef]
  24. Swain, B.; Jeong, J.; Kim, S.K.; Lee, J.C. Separation of Platinum and Palladium from Chloride Solution by Solvent Extraction Using Alamine 300. Hydrometallurgy 2010, 104, 1–7. [Google Scholar] [CrossRef]
  25. Raju, B.; Kumar, J.R.; Lee, J.Y.; Kwonc, H.S.; Kantam, M.L.; Reddy, B.R. Separation of Platinum and Rhodium from Chloride Solutions Containing Aluminum, Magnesium and Iron Using Solvent Extraction and Precipitation Methods. J. Hazard. Mater. 2012, 227–228, 142–147. [Google Scholar] [CrossRef]
  26. Rzelewska-Piekut, M.; Regel-Rosocka, M. Separation of Pt(IV), Pd(II), Ru(III) and Rh(III) from Model Chloride Solutions by Liquid-Liquid Extraction with Phosphonium Ionic Liquids. Sep. Purif. Technol. 2019, 212, 791–801. [Google Scholar] [CrossRef]
  27. Regel-Rosocka, M.; Rzelewska, M.; Baczynska, M.; Janus, M.; Wisniewski, M. Removal of Palladium(II) from Aqueous Chloride Solutions with Cyphos Phosphonium Ionic Liquids as Metal Ion Carriers for Liquid-Liquid Extraction and Transport across Polymer Inclusion Membranes. Physicochem. Probl. Miner. Process. 2015, 51, 621–631. [Google Scholar] [CrossRef]
  28. Cieszynska, A.; Wiśniewski, M. Extractive Recovery of Palladium(II) from Hydrochloric Acid Solutions with Cyphos®IL 104. Hydrometallurgy 2012, 113–114, 79–85. [Google Scholar] [CrossRef]
  29. Firmansyah, M.L.; Kubota, F.; Goto, M. Solvent Extraction of Pt(IV), Pd(II), and Rh(III) with the Ionic Liquid Trioctyl(Dodecyl) Phosphonium Chloride. J. Chem. Technol. Biotechnol. 2018, 93, 1714–1721. [Google Scholar] [CrossRef]
  30. Truong, H.T.; Lee, M.S. Separation of Pd(II) and Pt(IV) from Hydrochloric Acid Solutions by Solvent Extraction with Cyanex 301 and LIX 63. Miner. Eng. 2018, 115, 13–20. [Google Scholar] [CrossRef]
  31. Xing, W.D.; Lee, M.S.; Kim, Y.H. Separation of Gold(III) from Hydrochloric Acid Solution Containing Platinum(IV) and Palladium(II) by Solvent Extraction with Cyanex 272 and LIX 63. J. Ind. Eng. Chem. 2018, 59, 328–334. [Google Scholar] [CrossRef]
  32. Reddy, B.R.; Raju, B.; Lee, J.Y.; Park, H.K. Process for the Separation and Recovery of Palladium and Platinum from Spent Automobile Catalyst Leach Liquor Using LIX 84I and Alamine 336. J. Hazard. Mater. 2010, 180, 253–258. [Google Scholar] [CrossRef] [PubMed]
  33. Song, S.J.; Nguyen, V.N.H.; Lee, M.S. Separation of Pd(II) and Zn(II) from Sulfuric Acid Solution by Commercial Extractants. J. Korean Inst. Met. Mater. 2022, 60, 132–140. [Google Scholar] [CrossRef]
  34. Nguyen, T.N.H.; Song, S.J.; Lee, M.S. Solvent Extraction Separation of Au(III) from Pd(II), Cu(II), Ni(II) in HCl Solution Using Cationic, Neutral and Basic Extractants. J. Chem. Technol. Biotechnol. 2024, 99, 396–404. [Google Scholar] [CrossRef]
  35. Baek, J.W.; Lee, M.S. Separation of Rhenium(VII) and Vanadium(V) from Concentrated HCl Solution by Solvent Extraction with Alamine 336 and LIX 63. J. Korean Inst. Met. Mater. 2017, 55, 31–38. [Google Scholar] [CrossRef]
  36. Rudik, I.S.; Katasonova, O.N.; Mokhodoeva, O.B.; Maryutina, T.A.; Spivakov, B.Y.; Ilyukhin, I.V. Separation of Pt(IV), Pd(II) and Rh(III) from Chloride Solutions by Multistage Solvent Extraction Using Nitrogen-Containing Extractants. Ind. Lab. Diagn. Mater. 2019, 85, 5–10. [Google Scholar] [CrossRef]
  37. Katasonova, O.N.; Mokhodoeva, O.B.; Osipov, K.B.; Maryutina, T.A. Extractive Recovery and Separation of Palladium(II) and Platinum(IV) from Chloride Solutions. Russ. J. Appl. Chem. 2022, 95, 1107–1115. [Google Scholar] [CrossRef]
  38. Wang, J.; Liu, L.; Xu, W.; Liu, H.; Xu, G.; Huang, K.; Yu, F.; Huang, G. Separation of Pd and Pt from Highly Acidic Leach Liquor of Spent Automobile Catalysts with Monothio-Cyanex 272 and Trioctylamine. Int. J. Miner. Metall. Mater. 2023, 30, 877–885. [Google Scholar] [CrossRef]
  39. Rane, M.V. PGM Ore Processing: LIX Reagents for Palladium Extraction & Platinum Stripping from Alamine 336 Using NaOH-NaCl. Miner. Eng. 2019, 138, 119–124. [Google Scholar] [CrossRef]
  40. Goralska, E.; Coll, M.T.; Fortuny, A.; Kedari, C.S.; Sastre, A.M. Studies on the Selective Separation of Ir(IV), Ru(III) and Rh(III) from Chloride Solutions Using Alamine 336 in Kerosene. Solvent Extr. Ion Exch. 2007, 25, 65–77. [Google Scholar] [CrossRef]
  41. Mextral® 63H. KopperChem. Available online: https://en.kopperchem.com/proDetail/80.html (accessed on 10 July 2025).
  42. Drzazga, M.; Ciszewski, M.; Kozłowicz, S.; Kasierot, S. Comparison of Germanium Recovery from Copper(II) Sulfate-Based Solution Using Tertiary Amine and Oxime Extractant. Miner. Eng. 2024, 218, 108984. [Google Scholar] [CrossRef]
  43. Song, S.J.; Nguyen, V.N.H.; Lee, M.S. Separation of Pd(II) and Zn(II) by Solvent Extraction Using Commercial Extractants from Hydrochloric Acid Leaching Solution of Cemented Pd from Spent Electroplating Solutions. J. Korean Inst. Met. Mater. 2022, 60, 188–197. [Google Scholar] [CrossRef]
  44. Nguyen, T.H.; Sonu, C.H.; Lee, M.S. Separation of Pt(IV), Pd(II), Rh(III) and Ir(IV) from Concentrated Hydrochloric Acid Solutions by Solvent Extraction. Hydrometallurgy 2016, 164, 71–77. [Google Scholar] [CrossRef]
  45. Alamine 308. Available online: https://www.chembk.com/en/chem/alamine%20308 (accessed on 10 July 2025).
  46. Jaree, A.; Khunphakdee, N. Separation of Concentrated Platinum(IV) and Rhodium(III) in Acidic Chloride Solution via Liquid-Liquid Extraction Using Tri-Octylamine. J. Ind. Eng. Chem. 2011, 17, 243–247. [Google Scholar] [CrossRef]
  47. Goc, K.; Kluczka, J.; Benke, G.; Malarz, J.; Pianowska, K.; Leszczyńska-Sejda, K. Precipitation of Precious Metals Concentrates from Post-Elution Solutions from Ion-Exchange Processes. Minerals 2024, 14, 625. [Google Scholar] [CrossRef]
  48. Yousif, A.M. Recovery and Then Individual Separation of Platinum, Palladium, and Rhodium from Spent Car Catalytic Converters Using Hydrometallurgical Technique Followed by Successive Precipitation Methods. J. Chem. 2019, 2019, 2318157. [Google Scholar] [CrossRef]
  49. Crundwell, F.K.; Moats, M.S.; Ramachandran, V.; Robinson, T.G.; Davenport, W.G. Refining of the Platinum-Group Metals. In Extractive Metallurgy of Nickel, Cobalt and Platinum Group Metals; Elsevier: Amsterdam, The Netherlands, 2011. [Google Scholar]
  50. Kim, M.-S.; Kim, B.-S.; Kim, E.-Y.; Kim, S.-K.; Ryu, J.-W.; Lee, J.-C. Recovery of Platinum Group Metals from the Leach Solution of Spent Automotive Catalysts by Cementation. J. Korean Inst. Resour. Recycl. 2011, 20, 36–45. [Google Scholar] [CrossRef]
  51. Bourgeois, D.; Lacanau, V.; Mastretta, R.; Contino-Pépin, C.; Meyer, D. A Simple Process for the Recovery of Palladium from Wastes of Printed Circuit Boards. Hydrometallurgy 2020, 191, 105241. [Google Scholar] [CrossRef]
  52. Rydberg, J.; Cox, M.; Musikas, C.; Choppin, G.R. Solvent Extraction: Principles and Practice, 2nd ed.; Revised and Expanded Edited; Marcel Dekker, Inc.: New York, NY, USA, 2004; Volume 1, ISBN 9788578110796. [Google Scholar]
  53. Cowley, A. Johnson Mattey PGM Market Report; Johnson Matthey: London, UK, 2025. [Google Scholar]
Figure 1. Main mechanisms in the extraction of PGM chlorocomplexes. (Source: compiled from [4,23].)
Figure 1. Main mechanisms in the extraction of PGM chlorocomplexes. (Source: compiled from [4,23].)
Sustainability 17 08956 g001
Figure 2. Structures of the selected extractants.
Figure 2. Structures of the selected extractants.
Sustainability 17 08956 g002
Figure 3. The effect of pH of the waste solution on Pd, Pt, and Rh extraction efficiency: (a) Mextral 63H, (b) trioctylamine.
Figure 3. The effect of pH of the waste solution on Pd, Pt, and Rh extraction efficiency: (a) Mextral 63H, (b) trioctylamine.
Sustainability 17 08956 g003
Figure 4. The effect of the extractant concentration (%, v/v) on metals extraction efficiency: (a) Mextral 63H, (b) trioctylamine.
Figure 4. The effect of the extractant concentration (%, v/v) on metals extraction efficiency: (a) Mextral 63H, (b) trioctylamine.
Sustainability 17 08956 g004
Figure 5. The effect of phase ratio Vorg–Vaq on extraction efficiency: (a) Mextral 63H, (b) trioctylamine.
Figure 5. The effect of phase ratio Vorg–Vaq on extraction efficiency: (a) Mextral 63H, (b) trioctylamine.
Sustainability 17 08956 g005
Figure 6. Pd extraction isotherm using Mextral 63H (T = 25 °C).
Figure 6. Pd extraction isotherm using Mextral 63H (T = 25 °C).
Sustainability 17 08956 g006
Figure 7. Pt (a) and Pd (b) extraction isotherms using trioctylamine (T = 25 °C).
Figure 7. Pt (a) and Pd (b) extraction isotherms using trioctylamine (T = 25 °C).
Sustainability 17 08956 g007
Figure 8. The effect of contact time on extraction efficiency: (a) Mextral 63H, (b) trioctylamine.
Figure 8. The effect of contact time on extraction efficiency: (a) Mextral 63H, (b) trioctylamine.
Sustainability 17 08956 g008
Figure 9. Technological scheme for the separation of Pd, Pt, and Rh from waste solutions.
Figure 9. Technological scheme for the separation of Pd, Pt, and Rh from waste solutions.
Sustainability 17 08956 g009
Table 1. The composition of the waste solution.
Table 1. The composition of the waste solution.
ElementPdPtRhAuIrAgCu
Concentration
[g/dm3]
1.862.250.389.39 × 10−28.46 × 10−25.33 × 10−216.8
ElementFeNiTeSiCrSnAl
Concentration [g/dm3]0.530.130.260.010.110.050.01
Table 2. Results of palladium and platinum stripping from loaded extractants.
Table 2. Results of palladium and platinum stripping from loaded extractants.
ExtractantStripping AgentPd/Pt in Organic Phase
[g/dm3]
Pd/Pt in Aqueous Phase After Stripping
[g/dm3]
Stripping Efficiency
Mextral 63H2 M TU solution3.02.8394.44
2 M TU in 1 M HCl solution2.9197.22
25% ammonia solution1.4949.78
2 M KSCN solution1.3444.89
Trioctylamine2 M TU solution2.441.3956.79
2 M TU in 1 M HCl solution1.6667.89
32.5% HNO3 solution (25 °C)2.4399.82
32.5% HNO3 solution (50 °C)2.4499.99
2 M HClO4 solution (25 °C)2.4399.76
TU—thiourea.
Disclaimer/Publisher’s Note: The statements, opinions and data contained in all publications are solely those of the individual author(s) and contributor(s) and not of MDPI and/or the editor(s). MDPI and/or the editor(s) disclaim responsibility for any injury to people or property resulting from any ideas, methods, instructions or products referred to in the content.

Share and Cite

MDPI and ACS Style

Pianowska, K.; Kluczka, J.; Benke, G.; Goc, K.; Leszczyńska-Sejda, K. Selective Separation of Pd, Pt, and Rh from Wastes Using Commercial Extractants for the Sustainable Development of Critical Metals Management. Sustainability 2025, 17, 8956. https://doi.org/10.3390/su17198956

AMA Style

Pianowska K, Kluczka J, Benke G, Goc K, Leszczyńska-Sejda K. Selective Separation of Pd, Pt, and Rh from Wastes Using Commercial Extractants for the Sustainable Development of Critical Metals Management. Sustainability. 2025; 17(19):8956. https://doi.org/10.3390/su17198956

Chicago/Turabian Style

Pianowska, Karolina, Joanna Kluczka, Grzegorz Benke, Karolina Goc, and Katarzyna Leszczyńska-Sejda. 2025. "Selective Separation of Pd, Pt, and Rh from Wastes Using Commercial Extractants for the Sustainable Development of Critical Metals Management" Sustainability 17, no. 19: 8956. https://doi.org/10.3390/su17198956

APA Style

Pianowska, K., Kluczka, J., Benke, G., Goc, K., & Leszczyńska-Sejda, K. (2025). Selective Separation of Pd, Pt, and Rh from Wastes Using Commercial Extractants for the Sustainable Development of Critical Metals Management. Sustainability, 17(19), 8956. https://doi.org/10.3390/su17198956

Note that from the first issue of 2016, this journal uses article numbers instead of page numbers. See further details here.

Article Metrics

Back to TopTop