Quantifying the Impacts of Climate Change and Human Activities on Monthly Runoff in the Liuhe River Basin, Northeast China
Abstract
1. Introduction
2. Materials and Methods
2.1. Study Area and Data
2.1.1. Study Area
2.1.2. Data Sources
2.2. Trend and Mutation Testing Methods
2.2.1. M-K Trend Test
2.2.2. Sliding T-Test
2.3. Hydrothermal Coupling Equation Based on the Budyko Hypothesis
2.4. Linear Regression Model
2.5. Runoff Change Attribution Analysis
3. Results and Discussion
3.1. Trend and Mutation Analysis of Hydrometeorological Elements
3.1.1. Precipitation Changes
3.1.2. Runoff Variations
3.1.3. Spatio-Temporal Changes in Potential Evapotranspiration
3.2. Quantitative Attribution Analysis of Runoff Changes in the LRB
3.2.1. Division of the Baseline Period and the Change Period
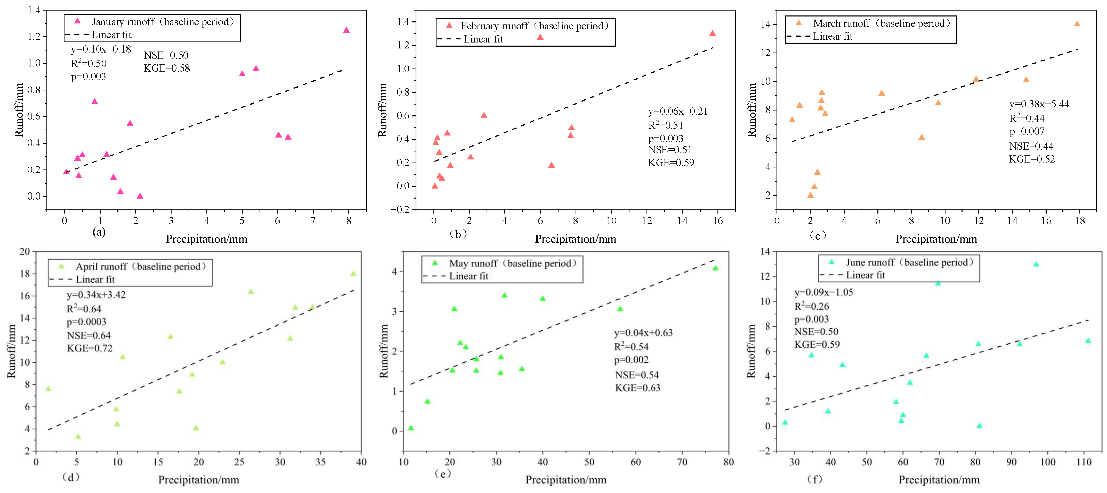
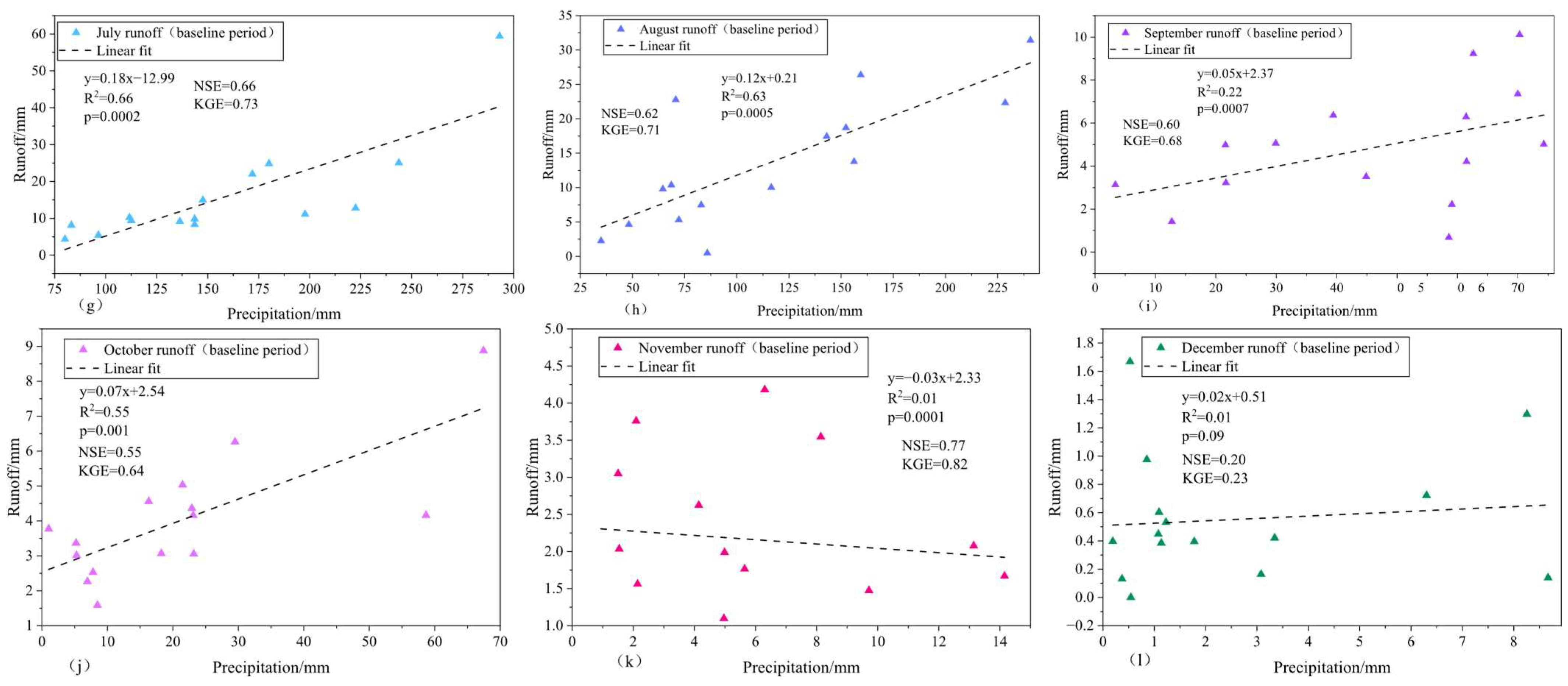
3.2.2. Results of Linear Regression Model
3.2.3. Changes in Hydrometeorological Elements in Different Periods
3.2.4. Changes in Land Use Types
3.2.5. Quantifying the Impact of Climate Change and Human Activities on Runoff
3.2.6. Effects of Global Meteorological Indicators on Runoff in the LRB
3.3. Study Limitations
4. Conclusions
- (1)
- From 1956 to 2020, the rainfall in the LRB showed an increasing trend, while the runoff and potential evapotranspiration exhibited a decreasing trend. Runoff is relatively sensitive to the impacts of climate change and human activities.
- (2)
- Using the linear regression model, the influence rates attributed to climate and human activities were 15.4% and 84.6% in the change period, 14.0% and 86.0% during the change period I (1970–1999), and 16.4% and 83.6% during the change period II (2000–2020), respectively. Similar results can be obtained from the Budyko equation, and the contribution rates of climate change and human activities were 15.2% and 84.2% in the change period, 28.6% and 71.4% in stage II, 11.3% and 88.7% in stage II, respectively. The different methods indicate that human activities play a dominant role in the changes in runoff in the LRB.
Author Contributions
Funding
Data Availability Statement
Conflicts of Interest
References
- Song, X.; Zhang, J.; Zhan, C.; Liu, C. Review for impacts of climate change and human activities on water cycle. J. Hydraul. Eng. 2013, 44, 779–790. [Google Scholar]
- Sha, Z.; Bofu, Y.; Lintner, B.R.; Findell, K.L.; Yao, Z. Projected increase in global runoff dominated by land surface changes. Nat. Clim. Change 2023, 13, 442–449. [Google Scholar]
- Piao, S.; Ciais, P.; Huang, Y.; Shen, Z.; Peng, S.; Li, J.; Zhou, L.; Liu, H.; Ma, Y.; Ding, Y. The impacts of climate change on water resources and agriculture in China. Nature 2010, 467, 43–51. [Google Scholar] [CrossRef]
- Li, L.; Ni, J.; Chang, F.; Yue, Y.; Frolova, N.; Magritsky, D.; Borthwick, A.G.L.; Ciais, P.; Wang, Y.; Zheng, C.; et al. Global trends in water and sediment fluxes of the world’s large rivers. Sci. Bull. 2020, 65, 62–69. [Google Scholar] [CrossRef]
- Zhang, H.; Meng, C.; Wang, Y.; Wang, Y.; Li, M. Comprehensive evaluation of the effects of climate change and land use and land cover change variables on runoff and sediment discharge. Sci. Total Environ. 2020, 702, 134401. [Google Scholar] [CrossRef]
- Chen, T.; Zou, L.; Xia, J.; Liu, H.; Wang, F. Decomposing the impacts of climate change and human activities on runoff changes in the Yangtze River Basin: Insights from regional differences and spatial correlations of multiple factors. J. Hydrol. 2022, 615, 128649. [Google Scholar] [CrossRef]
- Xue, D.; Zhou, J.; Zhao, X.; Liu, C.; Wei, W.; Yang, X.; Li, Q.; Zhao, Y. Impacts of climate change and human activities on runoff change in a typical arid watershed, NW China. Ecol. Indic. 2021, 121, 107013. [Google Scholar] [CrossRef]
- Li, Z.; Quiring, S.M. Investigating spatial heterogeneity of the controls of surface water balance in the contiguous United States by considering anthropogenic factors. J. Hydrol. 2021, 601, 126621. [Google Scholar] [CrossRef]
- Zhang, S. Research on governance measures of Liuhe (Xinmin section). Heilongjiang Hydraul. Sci. Technol. 2025, 53, 76–79. [Google Scholar]
- Huang, C.; Yang, Z.Z.; Yang, X.Y.; Ma, H.; Yang, Y.K.; Zhang, J.C. Attribution Analysis of Runoff Change in a Changing Environment: A Case Study of the Dawen River Basin. Water 2025, 17, 1538. [Google Scholar] [CrossRef]
- Saifullah, M.; Adnan, M.; Zaman, M.; Walega, A.; Liu, S.; Khan, M.I.; Gagnon, A.S.; Muhammad, S. Hydrological Response of the Kunhar River Basin in Pakistan to Climate Change and Anthropogenic Impacts on Runoff Characteristics. Water 2021, 13, 3163. [Google Scholar] [CrossRef]
- Alifujiang, Y.; Abuduwaili, J.; Groll, M.; Issanova, G.; Maihemuti, B. Changes in intra-annual runoff and its response to climate variability and anthropogenic activity in the Lake Issyk-Kul Basin, Kyrgyzstan. Catena 2021, 198, 104974. [Google Scholar] [CrossRef]
- Zhang, F.; Lai, W.; Zhang, S.; Liu, W.; Hou, S.; Zhang, J. Quantifying the contribution of climate changes and human activities on runoff changes in the Changhua River Basin of Hainan Island. J. Hydrol.-Reg. Stud. 2025, 60, 102474. [Google Scholar] [CrossRef]
- Zhu, H.; He, G.; Zhao, Y.; Wang, J.; He, F.; Li, W.; Wang, X. Evolution Characteristics and Attribution Analysis of Yellow River Runoff into the Sea from 1956 to 2022. Water Resour. Prot. 2025, 1–16. [Google Scholar]
- Zhang, Y.; Wang, W.; Yang, Y. Attribution Analysis of Annual Runoff Changes in the Pearl River Basin Based on Budyko Hypothesis. J. China Hydrol. 2025, 1–8. [Google Scholar]
- Shahid, M.; Cong, Z.; Zhang, D. Understanding the impacts of climate change and human activities on streamflow: A case study of the Soan River basin, Pakistan. Theor. Appl. Climatol. 2018, 134, 205–219. [Google Scholar] [CrossRef]
- Tian, L.; Wang, S. Analysis of the Runoff Change and Main Influencing Factors in the Liaohe River Basin. Res. Soil Water Conserv. 2018, 25, 153–159. [Google Scholar]
- Kai, W. Water Resources Evaluation and Development and Utilization Scheme of the Plain Area of Liuhe River Basin in Liaoning Province. Master’s Thesis, Jilin University, Jilin, China, 2022. [Google Scholar]
- Yang, Q.; Ma, Z.; Fan, X.; Yang, Z.-L.; Xu, Z.; Wu, P. Decadal Modulation of Precipitation Patterns over Eastern China by Sea Surface Temperature Anomalies. J. Clim. 2017, 30, 7017–7033. [Google Scholar] [CrossRef]
- Ouyang, R.; Liu, W.; Fu, G.; Liu, C.; Hu, L.; Wang, H. Linkages between ENSO/PDO signals and precipitation, streamflow in China during the last 100 years. Hydrol. Earth Syst. Sci. 2014, 18, 3651–3661. [Google Scholar] [CrossRef]
- Bai, X.L.; Zhao, W.Z. Impacts of climate change and anthropogenic stressors on runoff variations in major river basins in China since 1950. Sci. Total Environ. 2023, 898, 165349. [Google Scholar] [CrossRef]
- Gu, X.; Zhang, P.; Zhang, W.; Liu, Y.; Jiang, P.; Wang, S.; Lai, X.; Long, A. A Study of Drought and Flood Cycles in Xinyang, China, Using the Wavelet Transform and M-K Test. Atmosphere 2023, 14, 1196. [Google Scholar] [CrossRef]
- Ye, T.; Shi, P.; Zhong, H.; Qu, S.; Wu, H.; Shen, L. Attribution analysis of runoff change in the upper and middle Huaihe River based on Budyko hypothesis and differential equation. J. Hohai Univ. (Nat. Sci.) 2022, 50, 25–32. [Google Scholar]
- Wei, F. The Current Statistical Climatic Diagnosis and Forecasting Technology; Beijing Meteorological Press: Beijing, China, 1999. [Google Scholar]
- Wang, X.; Guo, S.; Wang, J.; Shi, Y.; Dong, F. Attribution analysis of inflow runoff reduction for Danjiangkou Reservoir based on Budyko Equation. Yangtze River 2025, 1–16. [Google Scholar]
- Baw-puh, F. On the calculation of the evaporation from land surface. Chin. J. Atmos. Sci. 1981, 5, 23–31. [Google Scholar]
- Yang, S.; Jiang, R.; Xie, J.; Zhu, J.; Wang, J. Trend and attribution analysis of runoff in Jinghe River. J. Xi’an Univ. Technol. 2019, 35, 186–191. [Google Scholar]
- Li, M.; Wang, H.; Du, W.; Gu, H.; Zhou, F.; Chi, B. Responses of runoff to changes in climate and human activities in the Liuhe River Basin, China. J. Arid Land 2024, 16, 1023–1043. [Google Scholar] [CrossRef]
- Xu, J.J.; Gao, X.C.; Yang, Z.Y.; Xu, T.Y. Trend and Attribution Analysis of Runoff Changes in the Weihe River Basin in the Last 50 Years. Water 2022, 14, 47. [Google Scholar] [CrossRef]
- Ding, Y.; Zhang, S.; Chen, R.; Qin, J.; Zhao, Q. A review of the impacts of climate change on cryospheric hydrological processes. Clim. Change Res. 2025, 21, 1–21. [Google Scholar]















| Element | Baseline Period/mm | Change Period I | Change Period II | Change Period (1970–2020) | |||
|---|---|---|---|---|---|---|---|
| Mean/mm | Rate of Change | Mean/mm | Rate of Change | Mean/mm | Rate of Change | ||
| Rainfall | 471.2 | 475.2 | 0.9% | 452.8 | −3.9% | 467.1 | −0.9% |
| Runoff | 61.0 | 36.8 | −39.7% | 11.5 | −81.1% | 33.9 | −44.5% |
| PET | 968.5 | 938.0 | −3.2% | 947.4 | −2.2% | 947.6 | −2.2% |
| Period | Runoff Change | Linear Regression Model | Budyko Models | ||||||
|---|---|---|---|---|---|---|---|---|---|
| ∆R | ∆Rhuman | ∆Rclimate | ∆Rhuman | ∆Rclimate | |||||
| mm | mm | % | mm | % | mm | % | mm | % | |
| I | −24.4 | −21.0 | 86.0 | −3.4 | 14.0 | −20.7 | 71.4 | −8.5 | 28.6 |
| II | −49.9 | −41.7 | 83.6 | −8.2 | 16.4 | −39.7 | 88.7 | −5.4 | 11.3 |
| All | −34.9 | −29.5 | 84.6 | −5.4 | 15.4 | −30.2 | 81.8 | −6.9 | 18.2 |
| Index | Correlation Coefficient r | Correlation Strength |
|---|---|---|
| AMO | −0.322 | Weak correlation |
| PDO | −0.051 | Extremely weakly correlated/irrelevant |
| ENSO | 0.097 | Extremely weakly correlated/irrelevant |
Disclaimer/Publisher’s Note: The statements, opinions and data contained in all publications are solely those of the individual author(s) and contributor(s) and not of MDPI and/or the editor(s). MDPI and/or the editor(s) disclaim responsibility for any injury to people or property resulting from any ideas, methods, instructions or products referred to in the content. |
© 2025 by the authors. Licensee MDPI, Basel, Switzerland. This article is an open access article distributed under the terms and conditions of the Creative Commons Attribution (CC BY) license (https://creativecommons.org/licenses/by/4.0/).
Share and Cite
Yao, J.; Song, X.; Li, M. Quantifying the Impacts of Climate Change and Human Activities on Monthly Runoff in the Liuhe River Basin, Northeast China. Sustainability 2025, 17, 8050. https://doi.org/10.3390/su17178050
Yao J, Song X, Li M. Quantifying the Impacts of Climate Change and Human Activities on Monthly Runoff in the Liuhe River Basin, Northeast China. Sustainability. 2025; 17(17):8050. https://doi.org/10.3390/su17178050
Chicago/Turabian StyleYao, Jiyun, Xiaomeng Song, and Mingqian Li. 2025. "Quantifying the Impacts of Climate Change and Human Activities on Monthly Runoff in the Liuhe River Basin, Northeast China" Sustainability 17, no. 17: 8050. https://doi.org/10.3390/su17178050
APA StyleYao, J., Song, X., & Li, M. (2025). Quantifying the Impacts of Climate Change and Human Activities on Monthly Runoff in the Liuhe River Basin, Northeast China. Sustainability, 17(17), 8050. https://doi.org/10.3390/su17178050

