Hydrochemical Characterization and Predictive Modeling of Groundwater Quality in Karst Aquifers Under Semi-Arid Climate: A Case Study of Ghar Boumaaza, Algeria
Abstract
1. Introduction
2. Materials and Methods
2.1. Study Area
2.2. Geological and Hydrogeological Setting
2.3. Sampling and Analysis
- −
- Cations, expressed in milliequivalents per liter (meq/L), include positively charged ions such as calcium, magnesium, sodium, and potassium, contributing to the overall positive charge of the water.
- −
- Anions, also expressed in milliequivalents per liter (meq/L), include negatively charged ions such as bicarbonate, carbonate, chloride, sulfate, and nitrate, which balance the total ionic charge in the water sample.
2.4. Chart Analysis
2.4.1. Ascending Hierarchical Classification (CAH)
2.4.2. Piper Diagram
2.4.3. Chadha Diagram
2.5. Statistical Analyses
3. Results
3.1. Chart Analysis
3.1.1. Cluster Analysis
- −
- Class 1: Includes ions associated with saline and evaporitic formations, such as Mg2+, Na+, K+, Cl−, and SO42−. Also, this class is marked by the presence of a narrow line between K+ and NO3−, testifying to the presence of anthropogenic pollution.
- −
- Class 2: characterized by the presence of bicarbonates (HCO3−) and Ca2+.

3.1.2. Piper Diagram
3.1.3. Chadha Diagram
3.2. Statistical Analysis
3.2.1. Correlation Analysis
3.2.2. Principal Component Analysis (PCA)
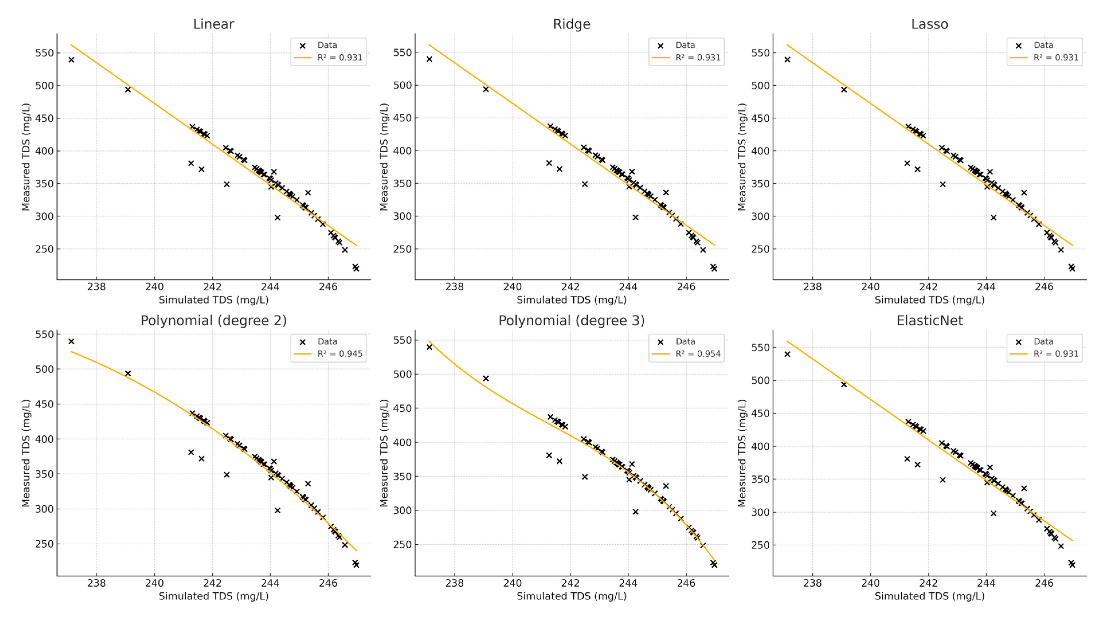
3.2.3. Statistical Approach for the Prediction of Dissolved Solids
4. Discussion
5. Conclusions
Author Contributions
Funding
Institutional Review Board Statement
Informed Consent Statement
Data Availability Statement
Acknowledgments
Conflicts of Interest
References
- Ford, D.; Williams, P.D. Karst Hydrogeology and Geomorphology; John Wiley & Sons: Hoboken, NJ, USA, 2007. [Google Scholar]
- Goldscheider, N.; Haller, L.; Poté, J.; Wildi, W.; Zopfi, J. Characterizing water circulation and contaminant transport in Lake Geneva using bacteriophage tracer experiments and limnological methods. Environ. Sci. Technol. 2007, 41, 5252–5258. [Google Scholar] [CrossRef] [PubMed]
- Frisia, S.; Borsato, A. Karst. Dev. Sedimentol. 2010, 61, 269–318. [Google Scholar]
- Nanou, E.-A.; Zagana, E. Groundwater vulnerability to pollution map for karst aquifer protection (Ziria Karst System, Southern Greece). Geosciences 2018, 8, 125. [Google Scholar] [CrossRef]
- Leins, T.; Scheller, M.; Çallı, K.Ö.; Ravbar, N.; Mayaud, C.; Petrič, M.; Liu, Y.; Hartmann, A. A new process-based approach for defining karst aquifer vulnerability to contamination risks under global changes. Sci. Total Environ. 2025, 966, 178561. [Google Scholar] [CrossRef] [PubMed]
- Almaliki, A.H.; Derdour, A.; Ali, E. Air Quality Index (AQI) Prediction in Holy Makkah based on machine learning methods. Sustainability 2023, 15, 13168. [Google Scholar] [CrossRef]
- Jeelani, G.; Shah, R.A.; Goldscheider, N. Karst geomorphology, cave development and hydrogeology in the Kashmir valley, Western Himalaya, India. Acta Carsologica 2018, 47, 5–21. [Google Scholar] [CrossRef]
- Hartmann, A.; Goldscheider, N.; Wagener, T.; Lange, J.; Weiler, M. Karst water resources in a changing world: Review of hydrological modeling approaches. Rev. Geophys. 2014, 52, 218–242. [Google Scholar] [CrossRef]
- Gao, S.; Li, C.; Liu, Y.; Sun, B.; Zhao, Z.; Lv, M.; Gang, S. Hydrogeochemical Characteristics and Evolution Processes of Karst Groundwater Affected by Multiple Influencing Factors in a Karst Spring Basin, Eastern China. Water 2023, 15, 3899. [Google Scholar] [CrossRef]
- Hosni, A.; Derdour, A.; Nouri, T.; Moussaoui, T.; Zahi, F.; Reghais, A.; Jodar-Abellan, A.; Pardo, M.Á. Cultivating sustainability: A multi-assessment of groundwater quality and irrigation suitability in the arid agricultural district of Dzira (Ksour Mountains, Algeria). Environ. Monit. Assess. 2024, 196, 886. [Google Scholar] [CrossRef] [PubMed]
- Stroj, A.; Briški, M.; Oštrić, M. Study of groundwater flow properties in a karst system by coupled analysis of diverse environmental tracers and discharge dynamics. Water 2020, 12, 2442. [Google Scholar] [CrossRef]
- Lachache, S.; Derdour, A.; Maazouzi, I.; Amroune, A.; Guastaldi, E.; Merzougui, T. Statistical approach of groundwater quality assessment at Naama Region, South-West Algeria. Larhyss J. 2023, 55, 125–144. [Google Scholar]
- Derdour, A.; Abellán, A.J.; Navarro, A.M.; Bailey, R.T. Assessment of Land Degradation and Droughts in an Arid Area Using Drought Indices, Modified Soil-Adjusted Vegetation Index and Landsat Remote Sensing Data. Cuad. Investig. Geográfica Geogr. Res. Lett. 2023, 49, 65–81. [Google Scholar] [CrossRef]
- Adjovu, G.E.; Stephen, H.; James, D.; Ahmad, S. Measurement of total dissolved solids and total suspended solids in water systems: A review of the issues, conventional, and remote sensing techniques. Remote Sens. 2023, 15, 3534. [Google Scholar] [CrossRef]
- Leyland, R.; Witthüser, K. VUKA: A modified cop vulnerability mapping method for karst terrains in South Africa. Q. J. Eng. Geol. Hydrogeol. 2010, 43, 107–116. [Google Scholar] [CrossRef]
- Ćuk Đurović, M.; Petrič, M.; Jemcov, I.; Mulec, J.; Grudnik, Z.M.; Mayaud, C.; Blatnik, M.; Kogovšek, B.; Ravbar, N. Multivariate statistical analysis of hydrochemical and microbiological natural tracers as a tool for understanding karst hydrodynamics (the Unica Springs, SW Slovenia). Water Resour. Res. 2022, 58, e2021WR031831. [Google Scholar] [CrossRef]
- Chundu, M.L.; Banda, K.; Sichingabula, H.M.; Nyambe, I.A. Integrated water quality assessment of open water bodies using empirical equations and remote sensing techniques in Bangweulu Wetland lakes, Zambia. J. Great Lakes Res. 2024, 50, 102451. [Google Scholar] [CrossRef]
- Bensaoula, F.; Adjim, M.; Benazzouz, B.K.; Khatir, O.; Bouchama, M.-A.; Harkat, M.; Fellah, H.-S. Vulnérabilité et risque de pollution du système karstique de Ghar Boumaza (Monts de Tlemcen, Nord-Ouest algérien) Application de la méthode RISK. Karstologia 2017, 70, 53–62. [Google Scholar] [CrossRef]
- Bensaoula, F.; Collignon, B. Vulnerability to Pollution of Karstic Aquifers in the Tafna River Basin and Risk Mitigation Strategies (Northwest Algeria). In Groundwater in Arid and Semi-Arid Areas: Monitoring, Assessment, Modelling, and Management; Springer: Berlin/Heidelberg, Germany, 2023; pp. 55–80. [Google Scholar]
- Azzaz, H.; Cherchali, M.; Meddi, M.; Houha, B.; Puig, J.M.; Achachi, A. The use of environmental isotopic and hydrochemical tracers to characterize the functioning of karst systems in the Tlemcen Mountains, northwest Algeria. Hydrogeol. J. 2008, 16, 531–546. [Google Scholar] [CrossRef]
- Collignon, B. Hydrogéologie Appliquée des Aquifères Karstiques des Monts de Tlemcen (Algérie). Ph.D. Thesis, Université d’Avignon, Faculté des Sciences, Avignon, France, 1986. Published by the Atelier national de reproduction des thèses (ANRT), Grenoble, France. [Google Scholar]
- Benest, M. Stratigraphie et sédimentologie du Jurassique supérieur des Monts de Tlemcen. Dr. Diss. Univ. Lyon Fr. 1984, 2, 540. [Google Scholar]
- Bensaoula, F. Exportation des carbonates et dissolution spécifique dans le système karstique de Boumaza (Monts de Tlemcen-NO algérien). Karstologia 2008, 52, 31–38. [Google Scholar] [CrossRef]
- APHA American Public Health Association; American Water Works Association; Water Environment Federation. Standard Methods for the Examination of Water and Wastewater; American Public Health Association: Washington, DC, USA, 2017; Volume 23. [Google Scholar]
- Nordstrom, D.K.; Ball, J.W.; Donahoe, R.J.; Whittemore, D. Groundwater chemistry and water-rock interactions at Stripa. Geochim. Cosmochim. Acta 1989, 53, 1727–1740. [Google Scholar] [CrossRef]
- Bouteraa, O.; Mebarki, A.; Bouaicha, F.; Nouaceur, Z.; Laignel, B. Groundwater quality assessment using multivariate analysis, geostatistical modeling, and water quality index (WQI): A case of study in the Boumerzoug-El Khroub valley of Northeast Algeria. Acta Geochim. 2019, 38, 796–814. [Google Scholar] [CrossRef]
- Zhang, J.; Li, R.; Zhang, X.; Bai, Y.; Cao, P.; Hua, P. Vehicular contribution of PAHs in size dependent road dust: A source apportionment by PCA-MLR, PMF, and Unmix receptor models. Sci. Total Environ. 2019, 649, 1314–1322. [Google Scholar] [CrossRef] [PubMed]
- Piper, A.M. A graphic procedure in the geochemical interpretation of water-analyses. Eos Trans. Am. Geophys. Union 1944, 25, 914–928. [Google Scholar]
- Chadha, D. A proposed new diagram for geochemical classification of natural waters and interpretation of chemical data. Hydrogeol. J. 1999, 7, 431–439. [Google Scholar] [CrossRef]
- Guan, Y.; Lu, H.; Dong, J.; Ge, Y.; Zhang, W.; Deng, Y. A novel groundwater pollution risk assessment method for producing-enterprises sites: Integrating scenario-specific pollution evaluation with Gaussian mixture model clustering. Process Saf. Environ. Prot. 2025, 195, 106760. [Google Scholar] [CrossRef]
- Li, Q.; Li, P.; Elumalai, V. Identification and apportionment of groundwater pollution sources in the Guanzhong region based on PMF model. Hum. Ecol. Risk Assess. Int. J. 2025, 31, 30–52. [Google Scholar] [CrossRef]
- Ruan, D.; Bian, J.; Wang, Y.; Wu, J.; Gu, Z. Identification of groundwater pollution sources and health risk assessment in the Songnen Plain based on PCA-APCS-MLR and trapezoidal fuzzy number-Monte Carlo stochastic simulation model. J. Hydrol. 2024, 632, 130897. [Google Scholar] [CrossRef]
- Chen, K.; Liu, Q.; Jiang, Q.; Hou, X.; Gao, W. Source apportionment of surface water pollution in North Anhui Plain, Eastern China, using APCS-MLR model combined with GIS approach and socioeconomic parameters. Ecol. Indic. 2022, 143, 109324. [Google Scholar] [CrossRef]
- Dargahi, P.; Nasseri, S.; Hadi, M.; Nodehi, R.N.; Mahvi, A.H. Prediction models for groundwater quality parameters using a multiple linear regression (MLR): A case study of Kermanshah, Iran. J. Environ. Health Sci. Eng. 2023, 21, 63–71. [Google Scholar] [CrossRef] [PubMed]








| Variable | Minimum Concentrations (Min) | Maximum Concentrations (Max) | Coefficient of Variation (CV) |
|---|---|---|---|
| Ca2+ | 31.0 | 120.0 | 29.8 |
| Mg2+ | 6.0 | 51.0 | 43.1 |
| Na+ | 5.0 | 35.0 | 51.1 |
| K+ | 0.0 | 4.0 | 55.4 |
| Cl− | 11.0 | 82.0 | 43.7 |
| SO42+ | 1.0 | 127.0 | 61.7 |
| HCO3− | 120.0 | 372.0 | 25.8 |
| NO3− | 7.0 | 55.0 | 41.7 |
| Electrical conductivity | 280.0 | 760.0 | 18.2 |
| Mineralization | 216.0 | 544.0 | 17.7 |
| TDS | 219.8 | 539.6 | 17.6 |
| Q (l/s) | 19.9 | 31.8 | 59.4 |
| Eigenvalues: | |||||
| F1 | F2 | F3 | F4 | F5 | |
| Eigenvalue | 4.84 | 2.24 | 1.19 | 1.14 | 0.94 |
| Variability (%) | 40.35 | 18.67 | 9.95 | 9.52 | 7.79 |
| Cumulative % | 40.35 | 59.02 | 68.97 | 78.49 | 86.28 |
| Variable contributions (%): | |||||
| F1 | F2 | F3 | F4 | F5 | |
| Ca2+ | 10.95 | 4.17 | 22.51 | 1.13 | 5.82 |
| Mg2+ | 3.64 | 5.71 | 36.66 | 19.66 | 0.69 |
| Na+ | 0.2 | 6.81 | 0.05 | 33.47 | 35.02 |
| K+ | 0.49 | 20.64 | 4.12 | 6.01 | 8.23 |
| Cl− | 3.26 | 22.67 | 2.21 | 0.91 | 0.01 |
| SO42+ | 2.97 | 18.65 | 4.35 | 3.15 | 2.52 |
| HCO3− | 11.45 | 8.59 | 2.35 | 0.14 | 0.96 |
| NO3− | 0.07 | 0.04 | 21.97 | 23.57 | 41.49 |
| Cond | 14.82 | 3.95 | 1.78 | 3.77 | 2.21 |
| Min | 14.72 | 3.8 | 2.13 | 4.74 | 2.9 |
| TDS measured | 18.56 | 1.34 | 1.08 | 1.38 | 0.01 |
| Q l/s | 18.87 | 0.62 | 0.79 | 2.07 | 0.13 |
Disclaimer/Publisher’s Note: The statements, opinions and data contained in all publications are solely those of the individual author(s) and contributor(s) and not of MDPI and/or the editor(s). MDPI and/or the editor(s) disclaim responsibility for any injury to people or property resulting from any ideas, methods, instructions or products referred to in the content. |
© 2025 by the authors. Licensee MDPI, Basel, Switzerland. This article is an open access article distributed under the terms and conditions of the Creative Commons Attribution (CC BY) license (https://creativecommons.org/licenses/by/4.0/).
Share and Cite
Guettaia, S.; Boudjema, A.; Derdour, A.; Laoufi, A.; Almohamad, H.; Al-Mutiry, M.; Abdo, H.G. Hydrochemical Characterization and Predictive Modeling of Groundwater Quality in Karst Aquifers Under Semi-Arid Climate: A Case Study of Ghar Boumaaza, Algeria. Sustainability 2025, 17, 6883. https://doi.org/10.3390/su17156883
Guettaia S, Boudjema A, Derdour A, Laoufi A, Almohamad H, Al-Mutiry M, Abdo HG. Hydrochemical Characterization and Predictive Modeling of Groundwater Quality in Karst Aquifers Under Semi-Arid Climate: A Case Study of Ghar Boumaaza, Algeria. Sustainability. 2025; 17(15):6883. https://doi.org/10.3390/su17156883
Chicago/Turabian StyleGuettaia, Sabrine, Abderrezzak Boudjema, Abdessamed Derdour, Abdessalam Laoufi, Hussein Almohamad, Motrih Al-Mutiry, and Hazem Ghassan Abdo. 2025. "Hydrochemical Characterization and Predictive Modeling of Groundwater Quality in Karst Aquifers Under Semi-Arid Climate: A Case Study of Ghar Boumaaza, Algeria" Sustainability 17, no. 15: 6883. https://doi.org/10.3390/su17156883
APA StyleGuettaia, S., Boudjema, A., Derdour, A., Laoufi, A., Almohamad, H., Al-Mutiry, M., & Abdo, H. G. (2025). Hydrochemical Characterization and Predictive Modeling of Groundwater Quality in Karst Aquifers Under Semi-Arid Climate: A Case Study of Ghar Boumaaza, Algeria. Sustainability, 17(15), 6883. https://doi.org/10.3390/su17156883

