Assessment of the Effect of PHBV-Based Bioplastic Microparticles on Soil Organisms
Abstract
1. Introduction
2. Materials and Methods
2.1. Bioplastic Tested
2.2. Microcosm Experiments
2.3. Formation of Leachates
2.4. Chromatographic Analysis of Leachates
2.5. Phytotoxicity Tests of Leachates
2.6. Calculation and Elaboration of Results
3. Results and Discussion
3.1. Effect of PHBV-Based Microplastics on Soil Organisms at the Community Level
3.2. Identification of the Chemicals Released from Leachates of PHBV-Based Microplastics
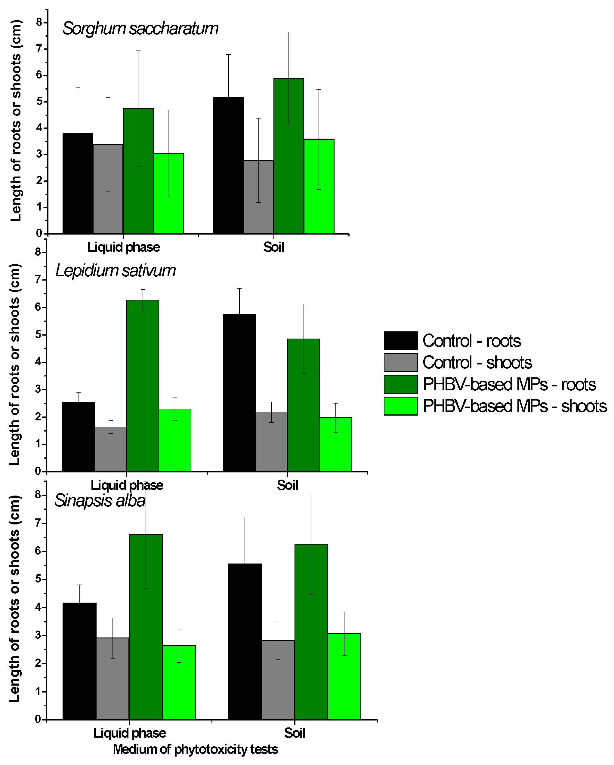
3.3. Effect of Leachates of PHBV-Based Microplastics on Higher Plants
4. Conclusions
Author Contributions
Funding
Institutional Review Board Statement
Informed Consent Statement
Data Availability Statement
Conflicts of Interest
References
- Saratale, R.G.; Cho, S.-K.; Saratale, G.D.; Kadam, A.A.; Ghodake, G.S.; Kumar, M.; Bharagava, R.N.; Kumar, G.; Kim, D.S.; Mulla, S.I.; et al. A comprehensive overview and recent advances on polyhydroxyalkanoates (PHA) production using various organic waste streams. Bioresour. Technol. 2021, 325, 124685. [Google Scholar] [CrossRef]
- Chong, J.W.R.; Khoo, K.S.; Yew, G.Y.; Leong, W.H.; Lim, J.W.; Lam, M.K.; Ho, Y.-C.; Ng, H.S.; Munawaroh, H.S.H.; Show, P.L. Advances in production of bioplastics by microalgae using food waste hydrolysate and wastewater: A review. Bioresour. Technol. 2021, 342, 125947. [Google Scholar] [CrossRef] [PubMed]
- European Bioplastics e.V. Bioplastic Materials. Available online: https://www.european-bioplastics.org/bioplastics/materials/ (accessed on 10 July 2025).
- European Bioplastics e.V. Biodegradable Plastics. Available online: https://www.european-bioplastics.org/bioplastics/materials/biodegradable/ (accessed on 10 July 2025).
- García-Chumillas, S.; Guerrero-Murcia, T.; Nicolás-Liza, M.; Monzó, F.; Simica, A.; Simó-Cabrera, L.; Martínez-Espinosa, R.M. PHBV cycle of life using waste as a starting point: From production to recyclability. Front. Mater. 2024, 11, 1405483. [Google Scholar] [CrossRef]
- Brown, R.W.; Chadwick, D.R.; Zang, H.; Graf, M.; Liu, X.; Wang, K.; Greenfield, L.M.; Jones, D.L. Bioplastic (PHBV) addition to soil alters microbial community structure and negatively affects plant-microbial metabolic functioning in maize. J. Hazard. Mater. 2023, 441, 129959. [Google Scholar] [CrossRef]
- Guo, J.J.; Huang, X.P.; Xiang, L.; Wang, Y.Z.; Li, Y.W.; Li, H.; Cai, Q.Y.; Mo, C.H.; Wong, M.H. Source, migration and toxicology of microplastics in soil. Environ. Int. 2020, 137, 105263. [Google Scholar] [CrossRef]
- de Souza Machado, A.A.; Kloas, W.; Zarfl, C.; Hempel, S.; Rillig, M.C. Microplastics as an emerging threat to terrestrial ecosystems. Glob. Change Biol. 2018, 24, 1405–1416. [Google Scholar] [CrossRef]
- Gionfra, S. Plastic Pollution in Soil. 2018. Available online: https://www.isqaper-is.eu/phocadownload/Briefing_paper_Plastic_pollution_in_soil_v2.pdf (accessed on 10 July 2025).
- Horton, A.A.; Walton, A.; Spurgeon, D.J.; Lahive, E.; Svendsen, C. Microplastics in freshwater and terrestrial environments: Evaluating the current understanding to identify the knowledge gaps and future research priorities. Sci. Total Environ. 2017, 586, 127–141. [Google Scholar] [CrossRef] [PubMed]
- Fuller, S.G.; Gautam, A. A procedure for measuring microplastics using pressurized fluid extraction. Environ. Sci. Technol. 2016, 50, 5774–5780. [Google Scholar] [CrossRef]
- Scheurer, M.; Bigalke, M. Microplastics in Swiss floodplain soils. Environ. Sci. Technol. 2018, 52, 3591–3598. [Google Scholar] [CrossRef] [PubMed]
- Zhang, S.; Yang, X.; Gertsen, H.; Peters, P.; Salanki, T.; Geissen, V. A simple method for the extraction and identification of light density microplastics from soil. Sci. Total Environ. 2018, 616, 1056–1065. [Google Scholar] [CrossRef]
- Wu, X.; Lu, J.; Du, M.; Xu, X.; Beiyuan, J.; Sarkar, B.; Bolan, N.; Xu, W.; Xu, S.; Chen, X.; et al. Particulate plastics-plant interaction in soil and its implications: A review. Sci. Total Environ. 2021, 792, 148337. [Google Scholar] [CrossRef]
- United States Environmental Protection Agency (EPA). A Summary of Literature on the Chemical Toxicity of Plastics Pollution to Aquatic Life and Aquatic-Dependent Wildlife. EPA-822-R-16-009. 2016. Available online: https://www.google.com/url?sa=t&source=web&rct=j&opi=89978449&url=https://www.epa.gov/sites/default/files/2016-12/documents/plastics-aquatic-life-report.pdf&ved=2ahUKEwjO6ca7qa2PAxU_3jQHHf4KPYwQFnoECBcQAQ&usg=AOvVaw1VsbqdUCCiuSKTd1gTpKav (accessed on 10 July 2025).
- Lambert, S.; Sinclair, C.; Boxall, A. Occurrence, degradation, and effect of polymer-based materials in the environment. Rev. Environ. Contam. Toxicol. 2014, 227, 1–53. [Google Scholar]
- Zimmermann, L.; Bartosova, Z.; Braun, K.; Oehlmann, J.; Völker, C.; Wagner, M. Plastic products leach chemicals that induce in vitro toxicity under realistic use conditions. Environ. Sci. Technol. 2021, 55, 11814–11823. [Google Scholar] [CrossRef]
- Gunaalan, K.; Fabbri, E.; Capolupo, M. The hidden threat of plastic leachates: A critical review on their impacts on aquatic organisms. Water Res. 2020, 184, 116170. [Google Scholar] [CrossRef]
- Gao, Z.; Yu, H.; Li, M.; Li, X.; Lei, J.; He, D.; Wu, G.; Fu, Y.; Chen, Q.; Shi, H. A battery of baseline toxicity bioassays directed evaluation of plastic leachates—Towards the establishment of bioanalytical monitoring tools for plastics. Sci. Total Environ. 2022, 828, 154387. [Google Scholar] [CrossRef]
- Liwarska-Bizukojc, E. Application of a small scale-terrestrial model ecosystem (STME) for assessment of ecotoxicity of bio-based plastics. Sci. Total Environ. 2022, 828, 154353. [Google Scholar] [CrossRef] [PubMed]
- OECD. Earthworm, Acute Toxicity Tests. In OECD Guidelines for the Testing of Chemicals; OECD: Paris, France, 1984; pp. 1–9. [Google Scholar]
- Lithner, D.; Damberg, J.; Dave, G.; Larsson, A. Leachates from plastic consumer products—Screening for toxicity with Daphnia magna. Chemosphere 2009, 74, 1195–1200. [Google Scholar] [CrossRef] [PubMed]
- Liwarska-Bizukojc, E.; Bizukojc, M. Study on microbioplastic leachates: Released compounds and impact on higher plant growth. Chem. Process Eng. 2024, 45, e73. [Google Scholar] [CrossRef]
- Li, Y.; He, N.; Hou, J.; Xu, L.; Liu, C.; Zhang, J.; Wang, Q.; Zhang, X.; Wu, X. Factors Influencing Leaf Chlorophyll Content in Natural Forests at the Biome Scale. Front. Ecol. Evol. 2018, 6, 64. [Google Scholar] [CrossRef]
- Zhang, H.; Wu, H.; Yu, Q.; Wang, Z.; Wei, C.; Long, M.; Kattge, J.; Smith, M.; Han, X. Sampling Date, Leaf Age and Root Size: Implications for the Study of Plant C:N:P Stoichiometry. PLoS ONE 2013, 8, e60360. [Google Scholar] [CrossRef] [PubMed]
- Manasa, P.; Sambasivam, S.; Ran, F. Recent progress on biomass waste derived activated carbon electrode materials for supercapacitors applications—A review. J. Energy Storage 2022, 54, 105290. [Google Scholar] [CrossRef]
- Singh, S.; Sharma, A.; Khajuria, K.; Singh, J.; Vig, A.P. Soil properties changes earthworm diversity indices in different agro-ecosystem. BMC Ecol. 2020, 20, 27. [Google Scholar] [CrossRef] [PubMed]
- Santos, M.J.G.; Ferreira, V.; Soares, A.M.V.M.; Loureiro, S. Evaluation of the combined effects of dimethoate and spirodiclofen on plants and earthworms in a designed microcosm experiment. Appl. Soil Ecol. 2011, 48, 294–300. [Google Scholar] [CrossRef]
- ECHA. Plastic Additives Initiative. 2018. Available online: https://echa.europa.eu/plastic-additives-initiative (accessed on 27 May 2024).
- Menicagli, V.; Balestri, E.; Lardicci, C. Exposure of coastal dune vegetation to plastic bag leachates: A neglected impact of plastic litter. Sci. Total Environ. 2019, 683, 737–748. [Google Scholar] [CrossRef] [PubMed]






| Measured Endpoint | OECD Soil + BPE-T-PHBV | OECD Soil |
|---|---|---|
| Mean shoot length of SOS (cm) | 18.1 ± 1.2 | 12.8 ± 4.4 |
| Mean fresh mass of individual SOS shoot (mg) | 171.76 | 119.88 |
| Mean shoot length of LES (cm) | 5.4 ± 1.1 | 5.1 ± 1.1 |
| Mean fresh mass of individual LES shoot (mg) | 120.82 | 116.83 |
| Relative chlorophyll content in SOS (CCI) | 13.9 ± 2.6 | 14.5 ± 2.9 |
| Relative chlorophyll content in LES (CCI) | 12.8 ± 1.9 | 12.7 ± 2.3 |
| Dry matter of plant biomass of SOS (mg kg−1) | 115.02 ± 2.93 | 119.02 |
| Dry matter of plant biomass of LES (mg kg−1) | 82.85 ± 0.197 | 91.03 |
| Negative Ionization ESI− | ||||
|---|---|---|---|---|
| m/z of [M − H]− or [M + H]+ experimental | Retention time (min) | m/z of [M − H]− or [M + H]+ calculated | Absolute error Δ(m/z) | Identification and ion formula |
| 89.0243 | 4.28 | 89.0239 | −0.0004 | Lactic acid C3H5O3 |
| 303.9885 | 4.29 | |||
| 235.9956 | 4.41 | |||
| 191.0706 | 1.52 | |||
| 236.0023 | 4.42 | |||
| 311.2035 | 11.28 | |||
| Positive ionisation ESI+ | ||||
| 219.0864 | 4.36 | 219.0869 | −0.0005 | glycerol triacetate (triacetin) C9H15O6 |
Disclaimer/Publisher’s Note: The statements, opinions and data contained in all publications are solely those of the individual author(s) and contributor(s) and not of MDPI and/or the editor(s). MDPI and/or the editor(s) disclaim responsibility for any injury to people or property resulting from any ideas, methods, instructions or products referred to in the content. |
© 2025 by the authors. Licensee MDPI, Basel, Switzerland. This article is an open access article distributed under the terms and conditions of the Creative Commons Attribution (CC BY) license (https://creativecommons.org/licenses/by/4.0/).
Share and Cite
Liwarska-Bizukojc, E.; Bizukojc, M. Assessment of the Effect of PHBV-Based Bioplastic Microparticles on Soil Organisms. Sustainability 2025, 17, 7778. https://doi.org/10.3390/su17177778
Liwarska-Bizukojc E, Bizukojc M. Assessment of the Effect of PHBV-Based Bioplastic Microparticles on Soil Organisms. Sustainability. 2025; 17(17):7778. https://doi.org/10.3390/su17177778
Chicago/Turabian StyleLiwarska-Bizukojc, Ewa, and Marcin Bizukojc. 2025. "Assessment of the Effect of PHBV-Based Bioplastic Microparticles on Soil Organisms" Sustainability 17, no. 17: 7778. https://doi.org/10.3390/su17177778
APA StyleLiwarska-Bizukojc, E., & Bizukojc, M. (2025). Assessment of the Effect of PHBV-Based Bioplastic Microparticles on Soil Organisms. Sustainability, 17(17), 7778. https://doi.org/10.3390/su17177778
