Wind-Speed Prediction in Renewable-Energy Generation Using an IHOA
Abstract
1. Introduction
- (1)
- Operational instabilities threatening grid reliability, requiring the implementation of advanced management protocols, energy storage systems, and adaptive contingency strategies;
- (2)
- Increased complexity in resource forecasting and infrastructure planning for power-system operators and renewable-energy developers.
- This study proposes a new e-QPSO-VMD-IHOA-LSTM hybrid wind-speed prediction model. Compared with manual tuning and the popular WOA algorithm [29] to optimize VMD, the e-QPSO algorithm has a better optimization ability, effectively solves the problem of modal mixing and incomplete decomposition, and improves decomposition efficiency;
- An improved walking optimization algorithm (IHOA) is proposed by combining the Tent chaotic map with the quantum particle swarm optimization (QPSO) strategy and stochastic differential mutation. Tent mapping enhances the initial population diversity and solution quality. QPSO integration enhances the population exploration ability and global search performance. The stochastic differential mutation mechanism reduces the local optimal capture and improves convergence accuracy. Through the improvement of three strategies, the applicability of the algorithm is effectively improved;
- By using the e-QPSO algorithm to optimize VMD, the purpose of this method is to find several signals with center frequency and a certain bandwidth of wind-speed signal, so as to reduce the influence of noise on wind speed, and each demodulated component is relatively smooth and easier to learn. IHOA is used to optimize the three key parameters of LSTM: maximum hidden layer size, training iteration, and learning rate to further enhance the learning ability of the model and improve the prediction accuracy. The key of the model proposed in this paper is to realize the data preprocessing stage to retain the statistical characteristics of the sequence, reduce the influence of noise on training, and the parameter optimization stage to enhance the training efficiency through the optimization of LSTM hyperparameters.
2. Methods
2.1. Variational Mode Decomposition
2.2. VMD by e-QPSO
2.3. Hiking Optimization Algorithm
2.4. Improvements to Hiking Optimization Algorithm
2.5. Long and Short-Term Memory Neural Network (LSTM)
2.6. e-QPSO-VMD-IHOA-LSTM Model
- (1)
- The e-QPSO-VMD algorithm decomposes raw wind-speed data into multiple frequency-distinct subsequences. These decomposed components, along with the original dataset, subsequently serve as inputs for wind-speed prediction modeling. The integrated data structure is systematically partitioned into the training and testing subset;
- (2)
- IHOA algorithm parameter initialization coding;
- (3)
- The RMSE minimization is selected as the objective function, and the IHOA algorithm is used to find the optimal maximum number of hidden layers, maximum training iterations, and learning rate of LSTM. The influence of these three parameters on the performance of the LSTM model will be discussed in detail in the next section, based on the actual wind-speed and prediction results;
- (4)
- Using the optimal combination of the three parameters of the LSTM obtained in step 3, the wind-speed prediction results are obtained through the LSTM model.
3. Case Analysis
3.1. Data Source and Processing
3.2. Evaluating Indicator
4. Results
5. Conclusions
Author Contributions
Funding
Institutional Review Board Statement
Informed Consent Statement
Data Availability Statement
Conflicts of Interest
References
- Ping, Y. A Review of Wind Speed and Wind Power Forecasting Methods for Wind Farms. Electron. Technol. Softw. Eng. 2019, 214, 117766. [Google Scholar]
- Veers, P.; Dykes, K.; Lantz, E.; Barth, S.; Bottasso, C.L.; Carlson, O.; Clifton, A.; Green, J.; Green, P.; Holttinen, H.; et al. Grand Challenges in the Science of Wind Energy. Science 2019, 366, eaau2027. [Google Scholar] [CrossRef] [PubMed]
- de Falani, S.Y.A.; González, M.O.A.; Barreto, F.M.; de Toledo, J.C.; Torkomian, A.L.V. Trends in the Technological Development of Wind Energy Generation. Int. J. Technol. Manag. Sustain. Dev. 2020, 19, 43–68. [Google Scholar] [CrossRef]
- Wang, Y.; Wang, J.; Li, Z. A Novel Hybrid Air Quality Early-Warning System Based on Phase-Space Reconstruction and Multi-Objective Optimization: A Case Study in China. J. Clean. Prod. 2020, 260, 121027. [Google Scholar] [CrossRef]
- Jiang, P.; Liu, Z.; Wang, J.; Zhang, L. Decomposition-Selection-Ensemble Forecasting System for Energy Futures Price Forecasting Based on Multi-Objective Version of Chaos Game Optimization Algorithm. Resour. Policy 2021, 73, 102234. [Google Scholar] [CrossRef]
- Huang, S.-C.; Chiou, C.-C.; Chiang, J.-T.; Wu, C.-F. A Novel Intelligent Option Price Forecasting and Trading System by Multiple Kernel Adaptive Filters. J. Comput. Appl. Math. 2020, 369, 112560. [Google Scholar] [CrossRef]
- Wu, B.; Wang, L.; Zeng, Y.-R. Interpretable Wind Speed Prediction with Multivariate Time Series and Temporal Fusion Transformers. Energy 2022, 252, 123990. [Google Scholar] [CrossRef]
- Jiang, Z.; Che, J.; Wang, L. Ultra-Short-Term Wind Speed Forecasting Based on EMDVAR Model and Spatial Correlation. Energy Convers. Manag. 2021, 250, 114919. [Google Scholar] [CrossRef]
- Wang, J.; Yang, Z. Ultra-Short-Term Wind Speed Forecasting Using an Optimized Artificial Intelligence Algorithm. Renew. Energy 2021, 171, 1418–1435. [Google Scholar] [CrossRef]
- Liu, Z.; Jiang, P.; Zhang, L.; Niu, X. A Combined Forecasting Model for Time Series: Application to Short-Term Wind Speed Forecasting. Appl. Energy 2020, 259, 114137. [Google Scholar] [CrossRef]
- Jiang, P.; Liu, Z.; Niu, X.; Zhang, L. A Combined Forecasting System Based on Statistical Method, Artificial Neural Networks, and Deep Learning Methods for Short-Term Wind Speed Forecasting. Energy 2021, 217, 119361. [Google Scholar] [CrossRef]
- Sobolewski, R.A.; Tchakorom, M.; Couturier, R. Gradient Boosting-Based Approach for Short- and Medium-Term Wind Turbine Output Power Prediction. Renew. Energy 2023, 203, 142–160. [Google Scholar] [CrossRef]
- Wang, J.; Qin, S.; Zhou, Q.; Jiang, H. Medium-Term Wind Speeds Forecasting Utilizing Hybrid Models for Three Different Sites in Xinjiang, China. Renew. Energy 2015, 76, 91–101. [Google Scholar] [CrossRef]
- Azad, H.B.; Mekhilef, S.; Ganapathy, V.G. Long-Term Wind Speed Forecasting and General Pattern Recognition Using Neural Networks. IEEE Trans. Sustain. Energy 2014, 5, 546–553. [Google Scholar] [CrossRef]
- Yan, J.; Ouyang, T. Advanced Wind Power Prediction Based on Data-Driven Error Correction. Energy Convers. Manag. 2019, 180, 302–311. [Google Scholar] [CrossRef]
- Zhao, W.; Wei, Y.-M.; Su, Z. One Day Ahead Wind Speed Forecasting: A Resampling-Based Approach. Appl. Energy 2016, 178, 886–901. [Google Scholar] [CrossRef]
- Demolli, H.; Dokuz, A.S.; Ecemis, A.; Gokcek, M. Wind Power Forecasting Based on Daily Wind Speed Data Using Machine Learning Algorithms. Energy Convers. Manag. 2019, 198, 111823. [Google Scholar] [CrossRef]
- Su, J.; Zheng, S.; Yan, G.; Xiong, G.; Cai, T. Research on Day-Ahead Forecast of Wind Power Based on FCM-Equivalent Wind Speed Mode. Adv. Power Syst. Hydraul. Eng. 2022, 38, 110–120. [Google Scholar]
- Cassola, F.; Burlando, M. Wind speed and wind energy forecast through Kalman filtering of numerical weather prediction model output. Appl. Energy 2012, 99, 154–166. [Google Scholar] [CrossRef]
- Zhao, J.; Guo, Y.; Xiao, X.; Wang, J.; Chi, D.; Guo, Z. Multi-step wind speed and power forecasts based on a WRF simulation and an optimized association method. Appl. Energy 2017, 197, 183–202. [Google Scholar] [CrossRef]
- Jain, L.C.; Medsker, L.R. Recurrent Neural Networks: Design and Applications. In Recurrent Neural Networks: Design and Applications; CRC Press: Boca Raton, FL, USA, 1999. [Google Scholar]
- Graves, A. Supervised Sequence Labelling with Recurrent Neural Networks. In Studies in Computational Intelligence; Springer: Berlin/Heidelberg, Germany, 2012. [Google Scholar]
- Pan, Z.; Yu, W.; Yi, X.; Khan, A.; Yuan, F.; Zheng, Y. Recent Progress on Generative Adversarial Networks (GANs): A Survey. IEEE Access 2019, 7, 36322–36333. [Google Scholar] [CrossRef]
- Li, G.; Shi, J. Compare Three Artificial Neural Networks for Wind Speed Forecasting. Appl. Energy 2010, 87, 2313–2320. [Google Scholar] [CrossRef]
- Liu, H.; Mi, X.; Li, Y. Wind Speed Forecasting Method Based on Deep Learning Strategy Using Empirical Wavelet Transform, Long Short-Term Memory Neural Network, and Elman Neural Network. Energy Convers. Manag. 2018, 156, 498–514. [Google Scholar] [CrossRef]
- Liu, H.; Tian, H.; Li, Y. An EMD-Recursive ARIMA Method to Predict Wind Speed for Railway Strong Wind Warning System. J. Wind Eng. Ind. Aerod. 2015, 141, 27–38. [Google Scholar] [CrossRef]
- Li, J.; Wang, J.; Zhang, H.; Li, Z. An Innovative Combined Model Based on Multi-Objective Optimization Approach for Forecasting Short-Term Wind Speed: A Case Study in China. Renew. Energy 2022, 201, 766–779. [Google Scholar] [CrossRef]
- Hu, H.; Wang, L.; Tao, R. Wind Speed Forecasting Based on Variational Mode Decomposition and Improved Echo State Network. Renew. Energy 2021, 164, 729–751. [Google Scholar] [CrossRef]
- Du, L.K. Research and Application of Sea—Level Wind Speed Prediction Based on ES—XGBoost. Master’s Thesis, Nanchang University, Nanchang, China, 2023. [Google Scholar]
- Yanovsky, I.; Dragomiretskiy, K. Variational Destriping in Remote Sensing Imagery: Total Variation with L1 Fidelity. Remote Sens. 2018, 10, 300. [Google Scholar] [CrossRef]
- Agrawal, R.K.; Kaur, B.; Agarwal, P. Quantum Inspired Particle Swarm Optimization with Guided Exploration for Function Optimization. Appl. Soft Comput. 2021, 102, 107122. [Google Scholar] [CrossRef]
- Oladejo, S.O.; Ekwe, S.O.; Mirjalili, S. The Hiking Optimization Algorithm: A Novel Human-Based Metaheuristic Approach. Knowl.-Based Syst. 2024, 296, 111880. [Google Scholar] [CrossRef]
- Liu, W.; Guo, Z.; Jiang, F.; Liu, G.; Jin, B.; Wang, D. Grey Wolf Algorithm Improved by Collaborative Encirclement Strategy and Its PID Parameter Optimization. J. Comput. Sci. Explor. 2023, 17, 620–634. [Google Scholar]
- Sun, J.; Feng, B.; Xu, W. Particle Swarm Optimization with Particles Having Quantum Behavior. In Proceedings of the 2004 Congress on Evolutionary Computation, Portland, OR, USA, 19–23 June 2004; IEEE: Portland, OR, USA, 2004; Volume 1, pp. 325–331. [Google Scholar]
- Yang, D.; Li, M.; Guo, J.; Du, P. An Attention-Based Multi-Input LSTM with Sliding Window-Based Two-Stage Decomposition for Wind Speed Forecasting. Appl. Energy 2024, 375, 124057. [Google Scholar] [CrossRef]
- Zhang, Y.; Han, P.; Wang, D.; Wang, S. Short-Term Wind Speed Prediction in Wind Farms Based on Variational Mode Decomposition and LSSVM. Acta Energiae Solaris Sin. 2018, 39, 194–202. [Google Scholar]
- Nie, X.; Hong, Y. Long-Term Electric Load Forecasting Based on WOA-VMD-GBDT. Technol. Wind 2024, 4, 1–10. [Google Scholar]
- Zhang, Y.M.; Wang, H. Multi-Head Attention-Based Probabilistic CNN-BiLSTM for Day-Ahead Wind Speed Forecasting. Energy 2023, 278, 127865. [Google Scholar] [CrossRef]














| Parameters | Description |
|---|---|
| gradient operator | |
| Dirac delta function | |
| K-th decomposed component | |
| center frequency | |
| K | total number of intrinsic mode functions |
| t | time series |
| original signal | |
| Lagrangian multiplier | |
| penalty coefficient | |
| noise tolerance threshold | |
| Wiener filtering component |
| Parameters | Description |
|---|---|
| speed of hiker | |
| slope of the path or terrain | |
| / | height difference/distance |
| inclination angle of the path or terrain | |
| random number | |
| / | leading hiker/hiker |
| sweep factor |
| Parameters | Description |
|---|---|
| nth initial position | |
| / | upper limit/lower limit |
| height difference/distance |
| Parameters | Description |
|---|---|
| quantum parameter 1 | |
| / | fixed step size 0.5/2 |
| quantum parameter 2 | |
| current position of the hiker | |
| Average best position | |
| quantum parameter 3 | |
| random number of 1-npop | |
| npop | population size |
| n | probability parameter |
| Parameters | Description |
|---|---|
| global best location | |
| random position |
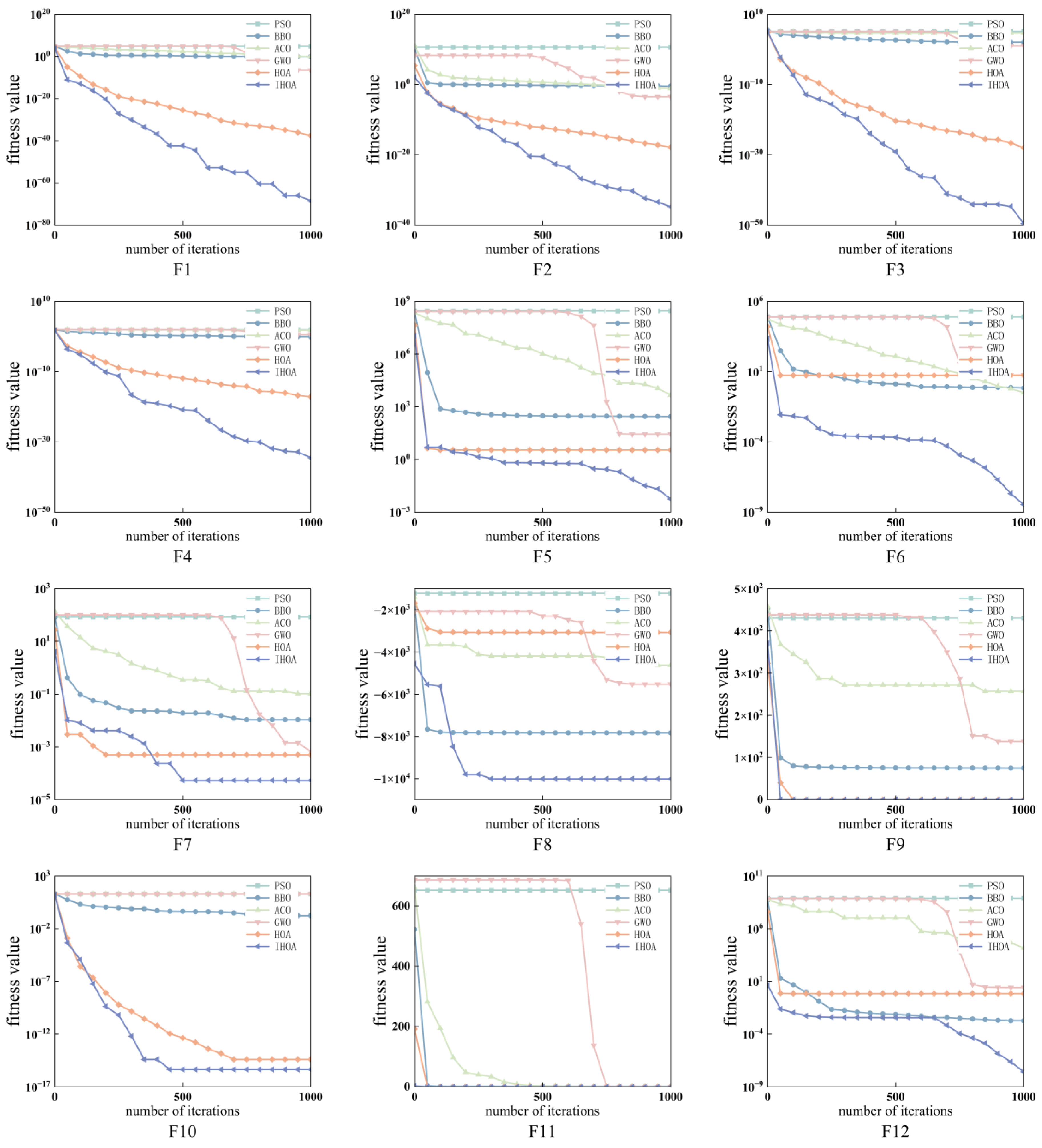
| Test Function | Dim | Range | fmin |
|---|---|---|---|
| 30 | [−100, 100] | 0 | |
| 30 | [−10, 10] | 0 | |
| 30 | [−100, 100] | 0 | |
| 30 | [−100, 100] | 0 | |
| 30 | [−30, 30] | 0 | |
| 30 | [−500, 500] | 0 | |
| 30 | [−5.12, 5.12] | 0 | |
| 30 | [−500, 500] | −1.25 × 104 | |
| 30 | [−1.28, 1.28] | 0 | |
| 30 | [−32, 32] | 0 | |
| 30 | [−600, 600] | 0 | |
| 30 | [−50, 50] | 0 |
| F1 | F2 | F3 | ||||
| Avg | Std | Avg | Std | Avg | Std | |
| IHOA | 2.7900 × 10−34 | 1.2400 × 10−33 | 1.8900 × 10−19 | 3.9800 × 10−19 | 1.5000 × 10−23 | 6.6700 × 10−23 |
| HOA | 1.8100 × 10−25 | 3.1700 × 10−25 | 6.0100 × 10−13 | 4.9000 × 10−13 | 8.7800 × 10−21 | 2.0900 × 10−20 |
| GWO | 1.3300 × 10−1 | 2.1900 × 10−1 | 4.5900 × 10−2 | 4.2300 × 10−2 | 1.0900 × 103 | 2.1800 × 103 |
| ACO | 1.4000 × 102 | 7.1000 × 101 | 5.2700 × 100 | 2.4000 × 100 | 5.3900 × 104 | 6.5800 × 103 |
| BBO | 2.3600 × 100 | 3.7700 × 10−1 | 5.1400 × 10−1 | 5.1700 × 10−2 | 5.4200 × 102 | 2.0900 × 102 |
| PSO | 6.6700 × 104 | 7.6500 × 103 | 1.4900 × 1013 | 3.1200 × 1013 | 1.5900 × 105 | 6.4100 × 104 |
| F4 | F5 | F6 | ||||
| Avg | Std | Avg | Std | Avg | Std | |
| IHOA | 7.8200 × 10−2 | 1.4400 × 10−19 | 1.7200 × 10−2 | 3.1500 × 10−2 | 1.4200 × 10−4 | 3.0900 × 10−4 |
| HOA | 6.7500 × 10−13 | 4.0700 × 10−13 | 9.4400 × 100 | 6.0200 × 100 | 5.3900 × 100 | 4.7000 × 10−1 |
| GWO | 6.4500 × 100 | 2.6200 × 100 | 7.5800 × 101 | 1.1000 × 102 | 5.9500 × 100 | 4.4100 × 10−1 |
| ACO | 8.3100 × 101 | 4.0600 × 100 | 4.3600 × 105 | 4.6200 × 105 | 1.3800 × 102 | 6.2300 × 101 |
| BBO | 1.5000 × 100 | 1.6700 × 10−1 | 2.5300 × 102 | 3.7200 × 102 | 2.5400 × 100 | 6.6100 × 10−1 |
| PSO | 8.9000 × 101 | 2.6300 × 100 | 2.4100 × 108 | 3.3800 × 107 | 7.1400 × 104 | 5.1400 × 103 |
| F7 | F8 | F9 | ||||
| Avg | Std | Avg | Std | Avg | Std | |
| IHOA | 5.3000 × 10−4 | 4.0300 × 10−4 | −1.1328 × 104 | 8.9994 × 102 | 0.0000 × 100 | 0.0000 × 100 |
| HOA | 6.4100 × 10−4 | 4.2100 × 10−4 | −4.0761 × 103 | 6.1995 × 102 | 2.3400 × 101 | 4.2700 × 101 |
| GWO | 5.8500 × 10−1 | 2.8500 × 10−1 | −5.8523 × 103 | 7.6841 × 102 | 1.6900 × 102 | 2.9600 × 101 |
| ACO | 4.5700 × 10−1 | 1.7500 × 10−1 | −4.2453 × 103 | 2.3517 × 102 | 2.7000 × 102 | 1.5900 × 101 |
| BBO | 1.5100 × 10−2 | 4.2900 × 10−3 | −7.9518 × 103 | 7.3285 × 102 | 5.0700 × 101 | 1.6500 × 101 |
| PSO | 1.1200 × 102 | 1.6900 × 101 | −2.1503 × 103 | 5.4889 × 102 | 4.3100 × 102 | 2.4300 × 101 |
| F10 | F11 | F12 | ||||
| Avg | Std | Avg | Std | Avg | Std | |
| IHOA | 4.4400 × 10−16 | 0.0000 × 100 | 0.0000 × 100 | 0.0000 × 100 | 2.9000 × 10−5 | 7.0800 × 10−5 |
| HOA | 2.8100 × 10−13 | 2.1300 × 10−13 | 0.0000 × 100 | 0.0000 × 100 | 6.5200 × 10−1 | 1.7300 × 10−1 |
| GWO | 2.0900 × 101 | 2.0800 × 10−1 | 1.5800 × 10−1 | 1.6400 × 10−1 | 2.5000 × 100 | 1.3400 × 100 |
| ACO | 1.6300 × 101 | 6.3600 × 100 | 2.2100 × 100 | 6.0300 × 10−1 | 7.7500 × 105 | 1.1200 × 106 |
| BBO | 5.8000 × 10−1 | 8.1800 × 10−2 | 1.0000 × 100 | 3.5500 × 10−2 | 8.9200 × 10−3 | 3.9300 × 10−3 |
| PSO | 2.0000 × 101 | 7.2900 × 10−15 | 6.0200 × 102 | 7.6200 × 101 | 5.6900 × 108 | 1.4300 × 108 |
| Parameters | Description |
|---|---|
| /// | Recursive weight matrix |
| /// | offset vector |
| Forget Gata | |
| Input Gata | |
| Output Gata | |
| / | Candidate/Update unit status information |
| Input layer vector | |
| Hidden layer vector |
| Parameters | Description |
|---|---|
| Population size | 30 |
| Number of iterations | 30 |
| Time window | 24 |
| Learning rate | 0.01 (0.005~0.5) |
| Batch size | 48 |
| Number of hidden layers | 2 (1~128) |
| Number of neurons | 6 |
| Number of training iterations | 64 (1~200) |
| Maximum iteration number | 1000 |
| Training precision (BPNN) | 0.001 |
| Model | Spring | Summer | ||||||
| RMSE | MAPE | MAE | Improv | RMSE | MAPE | MAE | Improv | |
| BPNN | 1.0277 | 0.1120 | 0.7575 | 58.94% | 0.7726 | 0.1314 | 0.6056 | 83.88% |
| LSTM | 1.2792 | 0.1543 | 0.9729 | 67.01% | 0.9367 | 0.1582 | 0.7114 | 86.70% |
| HOA-LSTM | 1.2145 | 0.1419 | 0.9185 | 65.25% | 0.8119 | 0.1337 | 0.6118 | 84.66% |
| IHOA-LSTM | 0.9556 | 0.1151 | 0.7212 | 55.83% | 0.5213 | 0.0850 | 0.3757 | 76.11% |
| WV-HOA-LSTM | 0.4335 | 0.0483 | 0.3548 | 3.18% | 0.6233 | 0.1094 | 0.5075 | 80.02% |
| eV-HOA-LSTM | 0.5437 | 0.0621 | 0.4296 | 22.38% | 0.3126 | 0.0465 | 0.2446 | 60.16% |
| Proposed | 0.4191 | 0.0460 | 0.3216 | / | 0.1245 | 0.0212 | 0.0967 | / |
| Model | Autumn | Winter | ||||||
| RMSE | MAPE | MAE | Improv | RMSE | MAPE | MAE | Improv | |
| BPNN | 0.5759 | 0.0971 | 0.4275 | 71.59% | 0.7463 | 0.1265 | 0.6365 | 70.54% |
| LSTM | 0.8907 | 0.1598 | 0.7069 | 81.63% | 0.8441 | 0.1453 | 0.6478 | 73.95% |
| HOA-LSTM | 0.4969 | 0.0884 | 0.3701 | 67.07% | 0.5443 | 0.0876 | 0.3840 | 59.61% |
| IHOA-LSTM | 0.4437 | 0.0783 | 0.3314 | 63.12% | 0.4010 | 0.0612 | 0.3051 | 45.17% |
| WV-HOA-LSTM | 0.6637 | 0.1011 | 0.5551 | 75.34% | 0.4915 | 0.0831 | 0.3875 | 55.27% |
| eV-HOA-LSTM | 0.2663 | 0.0417 | 0.2061 | 38.56% | 0.3511 | 0.0561 | 0.2710 | 37.38% |
| Proposed | 0.1636 | 0.0263 | 0.1317 | / | 0.2199 | 0.0371 | 0.1705 | / |
Disclaimer/Publisher’s Note: The statements, opinions and data contained in all publications are solely those of the individual author(s) and contributor(s) and not of MDPI and/or the editor(s). MDPI and/or the editor(s) disclaim responsibility for any injury to people or property resulting from any ideas, methods, instructions or products referred to in the content. |
© 2025 by the authors. Licensee MDPI, Basel, Switzerland. This article is an open access article distributed under the terms and conditions of the Creative Commons Attribution (CC BY) license (https://creativecommons.org/licenses/by/4.0/).
Share and Cite
Lin, G.; Chi, Y.; Ding, X.; Zhang, Y.; Wang, J.; Wang, C.; Song, Y.; Zhao, Y. Wind-Speed Prediction in Renewable-Energy Generation Using an IHOA. Sustainability 2025, 17, 6279. https://doi.org/10.3390/su17146279
Lin G, Chi Y, Ding X, Zhang Y, Wang J, Wang C, Song Y, Zhao Y. Wind-Speed Prediction in Renewable-Energy Generation Using an IHOA. Sustainability. 2025; 17(14):6279. https://doi.org/10.3390/su17146279
Chicago/Turabian StyleLin, Guoxiong, Yaodan Chi, Xinyu Ding, Yao Zhang, Junxi Wang, Chao Wang, Ying Song, and Yang Zhao. 2025. "Wind-Speed Prediction in Renewable-Energy Generation Using an IHOA" Sustainability 17, no. 14: 6279. https://doi.org/10.3390/su17146279
APA StyleLin, G., Chi, Y., Ding, X., Zhang, Y., Wang, J., Wang, C., Song, Y., & Zhao, Y. (2025). Wind-Speed Prediction in Renewable-Energy Generation Using an IHOA. Sustainability, 17(14), 6279. https://doi.org/10.3390/su17146279

