Green Logistics Instruments: Systematization and Ranking
Abstract
1. Introduction
2. Literature Review
2.1. Overview of Green Practices in Logistics and Supply Chain Management
2.2. Analysis of Multi-Criteria Decision-Making in Green Logistics
- Multiple views on the content of green solutions and, consequently, insufficient systematic implementation in supply chains;
- Different understanding and interpretation of green practices Insufficient specificity of green solutions and practices (lack of description in 71% of publications);
- Fragmented use of green solutions and practices in relation to elements and functions of supply chains (procurement, production, warehousing, transportation, and distribution);
- The complexity of the decision-making process for implementing green practices is due to the large number of green solutions and the variety of criteria used to evaluate them. This makes it advisable to use multi-criteria analysis and expert methods and, as a result, to develop new MCDM models for implementing green practices.
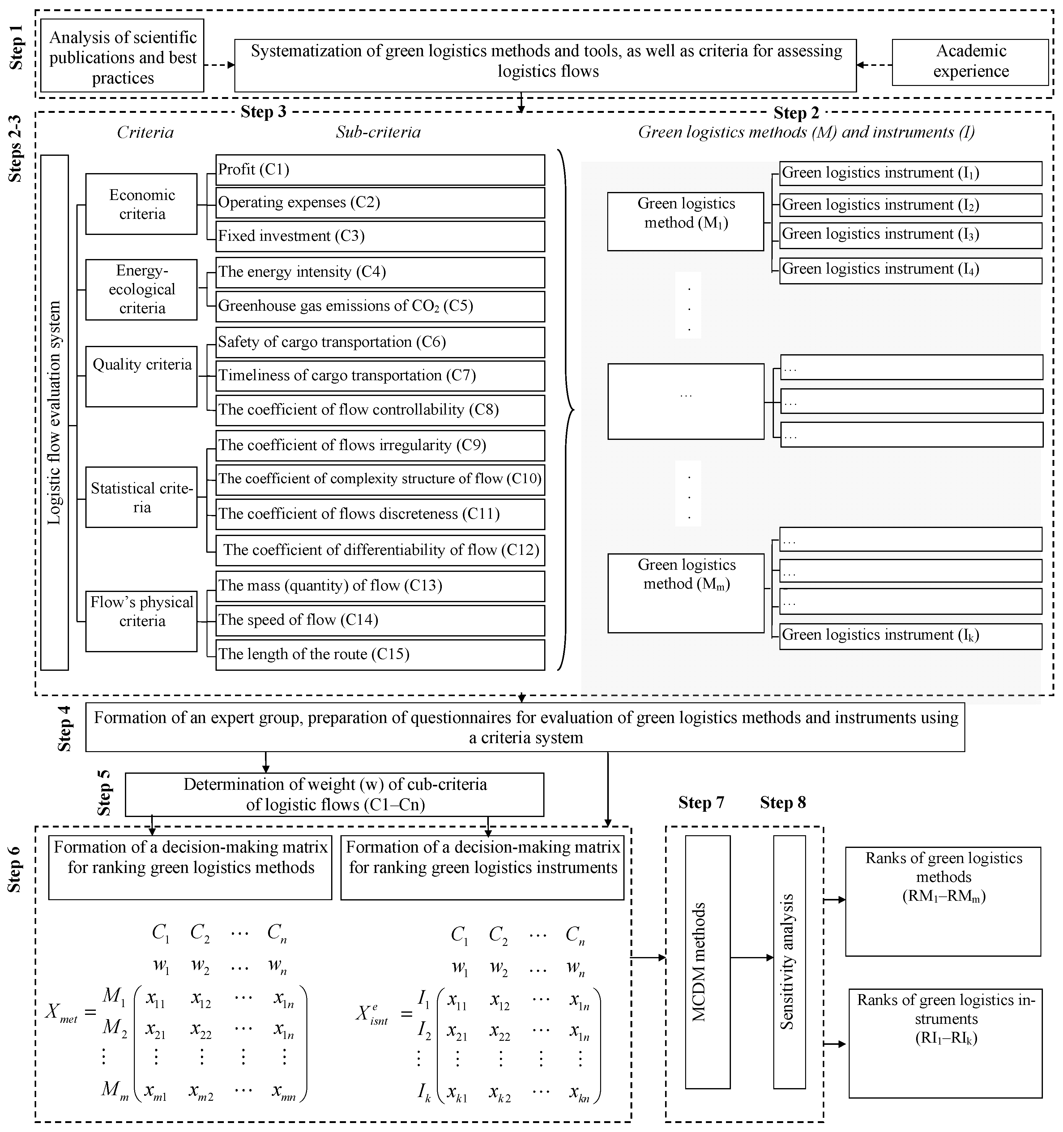
3. Methodology for Systematization and Ranking of Green Logistics Methods and Instruments
3.1. Structural–Functional Approach to the Green Supply Chain Formalization
3.2. Systematization of Green Logistics Methods and Instruments
- Correspondence to the elements of the supply chain to avoid duplication of methods and instruments at different stages of the logistics process, as well as to identify missing and promising methods and instruments.
- Correspondence to supporting functions of supply chain elements. Traditionally, logistics functional areas are focused on cost reduction and quality improvement. Additionally, specialization of green logistics methods and instruments by supporting functions is necessary to achieve social and environmental goals.
- Correspondence of instruments to the green logistics methods, i.e., realization of a certain method by a set of instruments.
- Consideration of green logistics methods and instruments as a unified system for achieving SDGs. The object of management is the logistics flows in the supply chain.
- Using the best green practices, eco-programs, and projects with the participation of political, social, and economic institutions, scientific organizations, international unions, and organizations to form and improve the system of green logistics methods and instruments.
- Thus, we propose the following concepts:
- Green Logistics Method (GLM)—a set of solutions to achieve the SDGs by realizing the basic and supporting logistics functions of a certain element of the logistics system or supply chain.
- Green Logistics Instrument (GLI)—a specific solution for changing the parameters of logistics flows to implement the corresponding green logistics method.
3.3. Multi-Criteria Ranking of Green Logistics Methods and Instruments
4. Calculation Example
- Supply chain model (27 methods—M1.1–M6.5);
- Control element model (21 instruments—I1.1.1–I1.5.4);
- Input element model (14 instruments—I2.1.1–I2.4.5);
- Processing element model (17 instruments—I3.1.1–I3.5.4);
- Cumulative element model (17 instruments—I4.1.1–I4.4.4);
- Transport element model (18 instruments—I5.1.1–I5.4.4);
- Output element model (18 instruments—I6.1.1–I6.5.4).
5. Discussion
6. Conclusions
- The small number of experts used to determine the weights of logistics flow criteria and the rankings of green logistics instruments limits the ability to interpret the results for global supply chains.
- There is a need to specify the conditions for implementing the selected GLMs and GLIs in accordance with their rankings. The results of this study provide an understanding of the importance of GLMs and GLIs for improving supply chain resilience. The rankings obtained form the basis for the implementation of GLMs and GLIs. Next, it is necessary to determine the characteristics of the selected instruments. For example, if an environmentally friendly vehicle is required, which model should be chosen? If a nearby supplier is selected, which one will be selected? The answers to these questions will require the selection of a specific method for implementing the instruments, using, for example, simulation and optimization models that take resource constraints, among other factors.
- Additional research is required on the barriers and drivers of the practical implementation of green logistics instruments in dynamic supply chains in the context of economic, geopolitical, and technological changes, including the development of artificial intelligence and the introduction of Industry 4.0 solutions.
- The expert group should be expanded to include industry experts.
- A combined multi-criteria optimization and simulation model should be developed for selecting a combination of green logistics instruments and calculating their parameters.
- The list of instruments should be supplemented based on monitoring research in this area using large language models and artificial intelligence, as well as using a larger number of scientific databases.
Author Contributions
Funding
Institutional Review Board Statement
Informed Consent Statement
Data Availability Statement
Conflicts of Interest
References
- Berg, F.; Kölbel, J.F.; Rigobon, R. Aggregate confusion: The divergence of ESG ratings. Rev. Financ. 2022, 26, 1315–1344. [Google Scholar] [CrossRef]
- Chakraborty, A.; Al Amin, M.; Baldacci, R. Analysis of internal factors of green supply chain management: An interpretive structural modeling approach. Clean. Logist. Supply Chain 2023, 7, 100099. [Google Scholar] [CrossRef]
- Karaman, A.S.; Ellili, N.O.D.; Uyar, A. Do sustainable supply chain practices mitigate carbon emissions? The role of supplier environmental, social and governance training. Bus. Strategy Environ. 2024, 33, 8126–8148. [Google Scholar] [CrossRef]
- Tetteh, F.K.; Owusu Kwateng, K.; Mensah, J. Green logistics practices: A bibliometric and systematic methodological review and future research opportunities. J. Clean. Prod. 2024, 476, 143735. [Google Scholar] [CrossRef]
- Bhatia, M.S.; Gangwani, K.K. Green supply chain management: Scientometric review and analysis of empirical research. J. Clean. Prod. 2021, 284, 124722. [Google Scholar] [CrossRef]
- Tseng, M.-L.; Islam, M.S.; Karia, N.; Fauzi, F.A.; Afrin, S. A literature review on green supply chain management: Trends and future challenges. Resour. Conserv. Recycl. 2019, 141, 145–162. [Google Scholar] [CrossRef]
- Lazar, S.; Klimecka-Tatar, D.; Obrecht, M. Sustainability orientation and focus in logistics and supply chains. Sustainability 2021, 13, 3280. [Google Scholar] [CrossRef]
- Tozanli, O.; Duman, G.; Kongar, E.; Gupta, S. Environmentally concerned logistics operations in fuzzy environment: A literature survey. Logistics 2017, 1, 4. [Google Scholar] [CrossRef]
- Zhang, L.-J.; Liu, R.; Liu, H.-C.; Shi, H. Green supplier evaluation and selections: A state-of-the-art literature review of models, methods, and applications. Math. Probl. Eng. 2020, 2020, 1783421. [Google Scholar] [CrossRef]
- Zimmer, K.; Fröhling, M.; Schultmann, F. Sustainable supplier management—A review of models supporting sustainable supplier selection, monitoring and development. Int. J. Prod. Res. 2016, 54, 1412–1442. [Google Scholar] [CrossRef]
- Malek, J.; Desai, T.N. A systematic literature review to map literature focus of sustainable manufacturing. J. Clean. Prod. 2020, 256, 120345. [Google Scholar] [CrossRef]
- Roy, V.; Singh, S. Mapping the business focus in sustainable production and consumption literature: Review and research framework. J. Clean. Prod. 2017, 150, 224–236. [Google Scholar] [CrossRef]
- Becerra, P.; Mula, J.; Sanchis, R. Green supply chain quantitative models for sustainable inventory management: A review. J. Clean. Prod. 2021, 52, 129544. [Google Scholar] [CrossRef]
- Bartolini, M.; Bottani, E.; Grosse, E.H. Green warehousing: Systematic literature review and bibliometric analysis. J. Clean. Prod. 2019, 226, 242–258. [Google Scholar] [CrossRef]
- Aloui, A.; Hamani, N.; Derrouiche, R.; Delahoche, L. Systematic literature review on collaborative sustainable transportation: Overview, analysis and perspectives. Transp. Res. Interdiscip. Perspect. 2021, 9, 100291. [Google Scholar] [CrossRef]
- Zhao, X.; Ke, Y.; Zuo, J.; Xiong, W.; Wu, P. Evaluation of sustainable transport research in 2000–2019. J. Clean. Prod. 2020, 256, 120404. [Google Scholar] [CrossRef]
- Dubey, R.; Gunasekaran, A.; Papadopoulos, T.; Childe, S.J. Green supply chain management enablers: Mixed methods research. Sustain. Prod. Consum. 2015, 4, 72–88. [Google Scholar] [CrossRef]
- Kim, D.; Na, J.; Ha, H.-K. Exploring the impact of green logistics practices and relevant government policy on the financial efficiency of logistics companies. Heliyon 2024, 10, e30916. [Google Scholar] [CrossRef]
- Jefimovaitė, L.; Vienažindienė, M. Green logistics concept and the impact of its implementation in the organisation: A systematic literature review and meta-analysis. Eng. Manag. Prod. Serv. 2025, 17, 39–51. [Google Scholar] [CrossRef]
- Simm, N. Greener logistics through resource sharing—A resource dependency lens on supply chain interaction. Res. Transp. Bus. Manag. 2025, 61, 101405. [Google Scholar] [CrossRef]
- Jazairy, A.; Pohjosenperä, T.; Prataviera, L.B.; Juntunen, J. Innovators and transformers: Revisiting the gap between academia and practice: Insights from the green logistics phenomenon. Int. J. Phys. Distrib. Logist. Manag. 2024, 55, 341–360. [Google Scholar] [CrossRef]
- Kumar, M.; Raut, R.D.; Mangla, S.K.; Chowdhury, S.; Choubey, V.K. Moderating ESG compliance between industry 4.0 and green practices with green servitization: Examining its impact on green supply chain performance. Technovation 2024, 129, 102898. [Google Scholar] [CrossRef]
- Musau, E.G. Optimizing transportation and distribution for environmental sustainability. In Green Supply Chain Management Practice and Principles; Wang, J., Martínez-Falcó, J., Marco-Lajara, B., Sánchez-García, E., Millán-Tudela, L.A., Eds.; IGI Global: Hershey, PA, USA, 2024; pp. 84–101. ISBN 9798369334867. [Google Scholar]
- Ramasamy, I.; Natarajan, S.; Sathyamoorthy, V.K.P. Does disruptive technology and AI (Artificial Intelligence) influence logistics management? Multidiscip. Sci. J. 2024, 6, 2024259. [Google Scholar] [CrossRef]
- He, Q.; Marshall, B.R.; Nguyen, J.H.; Nguyen, N.H.; Qiu, B.; Visaltanachoti, N. Greenwashing: Measurement and Implications. 2024. Available online: https://sustainablefinancealliance.org/wp-content/uploads/2024/02/Greenwashing_Measurement_and_Implications_2024_GRASFI.pdf (accessed on 7 April 2025).
- Chava, S.; Du, W.; Malakar, B. Do Managers Walk the Talk on Environmental and Social Issues? SSRN Electron. J. 2021, 3900814. [Google Scholar] [CrossRef]
- Carvalho, H.; Garrido Azevedo, S.; Cruz-Machado, V. Supply chain performance management: Lean and green paradigms. Int. J. Bus. Perform. Supply Chain Model. 2010, 2, 304–333. [Google Scholar] [CrossRef]
- Hasan, M.M.; Nekmahmud, M.; Yajuan, L.; Patwary, M.A. Green business value chain: A systematic review. Sustain. Prod. Consum. 2019, 20, 326–339. [Google Scholar] [CrossRef]
- Zhang, S.; Lee, C.; Chan, H.K.; Choy, K.L.; Wu, Z. Swarm intelligence applied in green logistics: A literature review. Eng. Appl. Artif. Intell. 2015, 37, 154–169. [Google Scholar] [CrossRef]
- Sezen, B.; Çankaya, S.Y. Green supply chain management theory and practices. In Ethics and Sustainability in Global Supply Chain Management; Akkucuk, U., Ed.; IGI Global: Hershey, PA, USA, 2017; pp. 92–114. ISBN 978-1-5225-2036-8. [Google Scholar]
- Islam, S.; Karia, N.; Fauzi, F.; Soliman, M. A review on green supply chain aspects and practices. Manag. Marketing. Chall. Knowl. Soc. 2017, 12, 12–36. [Google Scholar] [CrossRef]
- ISO 14001:2015; Environmental Management Systems—Requirements with Guidance for Use. ISO copyright office: Geneva, Switzerland, 2015. Available online: https://webstore.ansi.org/standards/iso/iso140012015 (accessed on 20 January 2025).
- Lahane, S.; Kant, R.; Shankar, R. Circular supply chain management: A state-of-art review and future opportunities. J. Clean. Prod. 2020, 258, 120859. [Google Scholar] [CrossRef]
- Evangelista, P.; Santoro, L.; Thomas, A. Environmental sustainability in third-party logistics service providers: A systematic literature review from 2000–2016. Sustainability 2018, 10, 1627. [Google Scholar] [CrossRef]
- Bilek, G.M.; Calvi, R.; Erhel, D.; Mechouar, Y. Towards green transportation practices using a buyer/supplier perspective: A systematic literature review. Logistics 2024, 8, 68. [Google Scholar] [CrossRef]
- Balon, V. Green supply chain management: Pressures, practices, and performance—An integrative literature review. Bus. Strategy Dev. 2019, 3, 226–244. [Google Scholar] [CrossRef]
- Ahmed, T.; Yousaf, A.; Clavijo, R.C.; Sanders, K. Entrepreneurial pathways to sustainability: A theoretical paper on green human resource management, green supply chain management, and entrepreneurial orientation. Sustainability 2024, 16, 6357. [Google Scholar] [CrossRef]
- Morella, P.; Lambán, M.P.; Royo, J.; Sánchez, J.C.; Latapia, J. Technologies associated with Industry 4.0 in green supply chains: A systematic literature review. Sustainability 2023, 15, 9784. [Google Scholar] [CrossRef]
- Villanueva-Ponce, R.; Avelar-Sosa, L.; Alvarado-Iniesta, A.; Cruz-Sánchez, V.G. The green supplier selection as a key element in a supply chain: A review of cases studies. DYNA 2015, 82, 36–45. [Google Scholar] [CrossRef]
- Khalil, N.; Che Abdullah, S.N.; Haron, S.N.; Hamid, M.Y. A review of green practices and initiatives from stakeholder’s perspectives towards sustainable hotel operations and performance impact. J. Facil. Manag. 2024, 22, 653–682. [Google Scholar] [CrossRef]
- Sharma, V.K.; Chandna, P.; Bhardwaj, A. Green supply chain management related performance indicators in agro industry: A review. J. Clean. Prod. 2017, 141, 1194–1208. [Google Scholar] [CrossRef]
- Manavalan, E.; Jayakrishna, K. A review of internet of things (IoT) embedded sustainable supply chain for Industry 4.0 requirements. Comput. Ind. Eng. 2018, 127, 925–953. [Google Scholar] [CrossRef]
- Pardalos, P.; Horst, R.; Roy, B. Multicriteria Methodology for Decision Aiding; Springer: Boston, MA, USA, 1996; ISBN 978-1-4419-4761-1. [Google Scholar]
- Osintsev, N. Multi-criteria decision-making methods in green logistics. World Transp. Transp. 2021, 19, 231–240. [Google Scholar] [CrossRef]
- Bhattacharya, A.; Mohapatra, P.; Kumar, V.; Dey, P.K.; Brady, M.; Tiwari, M.K.; Nudurupati, S.S. Green supply chain performance measurement using fuzzy ANP-based balanced scorecard: A collaborative decision-making approach. Prod. Plan. Control 2014, 25, 698–714. [Google Scholar] [CrossRef]
- Luthra, S.; Garg, D.; Haleem, A. Identifying and ranking of strategies to implement green supply chain management in Indian manufacturing industry using Analytical Hierarchy Process. J. Ind. Eng. Manag. 2013, 6, 930–962. [Google Scholar] [CrossRef]
- Shen, L.; Muduli, K.; Barve, A. Developing a sustainable development framework in the context of mining industries: AHP approach. Resour. Policy 2015, 46, 15–26. [Google Scholar] [CrossRef]
- de Souza, E.D.; Kerber, J.C.; Bouzon, M.; Rodriguez, C. Performance evaluation of green logistics: Paving the way towards circular economy. Clean. Logist. Supply Chain 2022, 3, 100019. [Google Scholar] [CrossRef]
- Uddin, S.; Ali, S.M.; Kabir, G.; Suhi, S.A.; Enayet, R.; Haque, T. An AHP-ELECTRE framework to evaluate barriers to green supply chain management in the leather industry. Int. J. Sustain. Dev. World Ecol. 2019, 26, 732–751. [Google Scholar] [CrossRef]
- Anand, K.R.; Ramalingaiah; Parthiban, P. Evaluation of green supply chain factors using DEMATEL. Appl. Mech. Mater. 2014, 592–594, 2619–2627. [Google Scholar] [CrossRef]
- Bai, C.; Kusi-Sarpong, S.; Sarkis, J. An implementation path for green information technology systems in the Ghanaian mining industry. J. Clean. Prod. 2017, 164, 1105–1123. [Google Scholar] [CrossRef]
- Mumtaz, U.; Ali, Y.; Petrillo, A.; de Felice, F. Identifying the critical factors of green supply chain management: Environmental benefits in Pakistan. Sci. Total Environ. 2018, 640–641, 144–152. [Google Scholar] [CrossRef]
- Chou, Y.-C.; Yang, C.-H.; Lu, C.-H.; van Dang, T.; Yang, P.-A. Building criteria for evaluating green project management: An integrated approach of DEMATEL and ANP. Sustainability 2017, 9, 740. [Google Scholar] [CrossRef]
- Tsai, J.-F.; Shen, S.-P.; Lin, M.-H. Applying a hybrid MCDM model to evaluate green supply chain management practices. Sustainability 2023, 15, 2148. [Google Scholar] [CrossRef]
- Özaşkın, A.; Görener, A. An integrated multi-criteria decision-making approach for overcoming barriers to green supply chain management and prioritizing alternative solutions. Supply Chain Anal. 2023, 3, 100027. [Google Scholar] [CrossRef]
- Boutkhoum, O.; Hanine, M.; Boukhriss, H.; Agouti, T.; Tikniouine, A. Multi-criteria decision support framework for sustainable implementation of effective green supply chain management practices. Springerplus 2016, 5, 664. [Google Scholar] [CrossRef] [PubMed]
- Hossain, M.I.; Al Amin, M.; Baldacci, R.; Rahman, M.H. Identification and prioritization of green lean supply chain management factors using fuzzy DEMATEL. Sustainability 2023, 15, 10523. [Google Scholar] [CrossRef]
- Malviya, R.K.; Kant, R. Hybrid decision making approach to predict and measure the success possibility of green supply chain management implementation. J. Clean. Prod. 2016, 135, 387–409. [Google Scholar] [CrossRef]
- Wu, K.-J.; Liao, C.-J.; Tseng, M.-L.; Chiu, A.S. Exploring decisive factors in green supply chain practices under uncertainty. Int. J. Prod. Econ. 2015, 159, 147–157. [Google Scholar] [CrossRef]
- Li, X.; Zhu, Q. Evaluating the green practice of food service supply chain management based on fuzzy DEMATEL-ANP model. In Seventh International Conference on Electronics and Information Engineering, Proceedings of the Seventh International Conference on Electronics and Information Engineering, Nanjing, China, 17 September 2016; Chen, X., Ed.; SPIE: Pune, MA, USA, 2017; p. 103222J. [Google Scholar]
- Uygun, Ö.; Dede, A. Performance evaluation of green supply chain management using integrated fuzzy multi-criteria decision making techniques. Comput. Ind. Eng. 2016, 102, 502–511. [Google Scholar] [CrossRef]
- Rostamzadeh, R.; Govindan, K.; Esmaeili, A.; Sabaghi, M. Application of fuzzy VIKOR for evaluation of green supply chain management practices. Ecol. Indic. 2015, 49, 188–203. [Google Scholar] [CrossRef]
- Kusi-Sarpong, S.; Sarkis, J.; Wang, X. Assessing green supply chain practices in the Ghanaian mining industry: A framework and evaluation. Int. J. Prod. Econ. 2016, 181, 325–341. [Google Scholar] [CrossRef]
- Tseng, M.-L.; Lim, M.; Wu, K.-J.; Zhou, L.; Bui, D.T.D. A novel approach for enhancing green supply chain management using converged interval-valued triangular fuzzy numbers-grey relation analysis. Resour. Conserv. Recycl. 2018, 128, 122–133. [Google Scholar] [CrossRef]
- Prakash, C.; Barua, M.K. Integration of AHP-TOPSIS method for prioritizing the solutions of reverse logistics adoption to overcome its barriers under fuzzy environment. J. Manuf. Syst. 2015, 37, 599–615. [Google Scholar] [CrossRef]
- Chen, Z.-S.; Zhang, X.; Govindan, K.; Wang, X.-J.; Chin, K.-S. Third-party reverse logistics provider selection: A computational semantic analysis-based multi-perspective multi-attribute decision-making approach. Expert Syst. Appl. 2021, 166, 114051. [Google Scholar] [CrossRef]
- Ortiz-Barrios, M.; La Miranda-De Hoz, C.; López-Meza, P.; Petrillo, A.; de Felice, F. A case of food supply chain management with AHP, DEMATEL, and TOPSIS. J. Multi-Criteria Decis. Anal. 2019, 27, 104–128. [Google Scholar] [CrossRef]
- Nag, U.; Sharma, S.K.; Govindan, K. Investigating drivers of circular supply chain with product-service system in automotive firms of an emerging economy. J. Clean. Prod. 2021, 319, 128629. [Google Scholar] [CrossRef]
- Balouei Jamkhaneh, H.; Shahin, R.; Tortorella, G.L. Analysis of Logistics 4.0 service quality and its sustainability enabler scenarios in emerging economy. Clean. Logist. Supply Chain 2022, 4, 100053. [Google Scholar] [CrossRef]
- Zhou, L.; Zhu, J.; Guo, J. Research on construction of the green logistics evaluation index system and determination of index weight. Am. J. Theor. Appl. Stat. 2014, 3, 96–99. [Google Scholar] [CrossRef]
- Luthra, S.; Mangla, S.K. Evaluating challenges to Industry 4.0 initiatives for supply chain sustainability in emerging economies. Process Saf. Environ. Prot. 2018, 117, 168–179. [Google Scholar] [CrossRef]
- Kumar, A.; Moktadir, M.A.; Khan, S.A.R.; Garza-Reyes, J.A.; Tyagi, M.; Kazançoğlu, Y. Behavioral factors on the adoption of sustainable supply chain practices. Resour. Conserv. Recycl. 2020, 158, 104818. [Google Scholar] [CrossRef]
- Soltanmohammadi, A.; Andalib Ardakani, D.; Dion, P.A.; Hettiarachchi, B.D. Employing total quality practices in sustainable supply chain management. Sustain. Prod. Consum. 2021, 28, 953–968. [Google Scholar] [CrossRef]
- Sharma, Y.K.; Sharma, S. IT success factors in sustainable food supply chain management. Mater. Today Proc. 2022, 56, 43–45. [Google Scholar] [CrossRef]
- Akman, G.; Pışkın, H. Evaluating green performance of suppliers via analytic network process and TOPSIS. J. Ind. Eng. 2013, 2013, 915241. [Google Scholar] [CrossRef]
- Tsai, J.-F.; Wu, S.-C.; Pham, T.K.L.; Lin, M.-H. Analysis of key factors for green supplier selection: A case study of the electronics industry in Vietnam. Sustainability 2023, 15, 7885. [Google Scholar] [CrossRef]
- Hashemi, S.H.; Karimi, A.; Tavana, M. An integrated green supplier selection approach with analytic network process and improved Grey relational analysis. Int. J. Prod. Econ. 2015, 159, 178–191. [Google Scholar] [CrossRef]
- Haeri, S.A.S.; Rezaei, J. A grey-based green supplier selection model for uncertain environments. J. Clean. Prod. 2019, 221, 768–784. [Google Scholar] [CrossRef]
- Falatoonitoosi, E.; Ahmed, S.; Sorooshian, S. A multicriteria framework to evaluate supplier’s greenness. Abstr. Appl. Anal. 2014, 2014, 396923. [Google Scholar] [CrossRef]
- Fu, X.; Zhu, Q.; Sarkis, J. Evaluating green supplier development programs at a telecommunications systems provider. Int. J. Prod. Econ. 2012, 140, 357–367. [Google Scholar] [CrossRef]
- Hsu, C.-W.; Kuo, T.-C.; Chen, S.-H.; Hu, A.H. Using DEMATEL to develop a carbon management model of supplier selection in green supply chain management. J. Clean. Prod. 2013, 56, 164–172. [Google Scholar] [CrossRef]
- Jayant, A.; Neeru; Agarwal, A. A novel hybrid MCDM approach based on DEMATEL, AHP and TOPSIS to evaluate green suppliers. J. Phys. Conf. Ser. 2019, 1240, 12010. [Google Scholar] [CrossRef]
- Mubarik, M.S.; Kazmi, S.H.A.; Zaman, S.I. Application of gray DEMATEL-ANP in green-strategic sourcing. Technol. Soc. 2021, 64, 101524. [Google Scholar] [CrossRef]
- Liou, J.J.; Tamošaitienė, J.; Zavadskas, E.K.; Tzeng, G.-H. New hybrid COPRAS-G MADM Model for improving and selecting suppliers in green supply chain management. Int. J. Prod. Res. 2016, 54, 114–134. [Google Scholar] [CrossRef]
- Pourjavad, E.; Shahin, A. Green supplier development programmes selection: A hybrid fuzzy multi-criteria decision-making approach. Int. J. Sustain. Eng. 2020, 13, 463–472. [Google Scholar] [CrossRef]
- Gupta, S.; Soni, U.; Kumar, G. Green supplier selection using multi-criterion decision making under fuzzy environment: A case study in automotive industry. Comput. Ind. Eng. 2019, 136, 663–680. [Google Scholar] [CrossRef]
- Wu, K.-J.; Tseng, M.-L.; Vy, T. Evaluation the drivers of green supply chain management practices in uncertainty. Procedia-Soc. Behav. Sci. 2011, 25, 384–397. [Google Scholar] [CrossRef]
- Puška, A.; Božanić, D.; Nedeljković, M.; Janošević, M. Green supplier selection in an uncertain environment in agriculture using a hybrid MCDM model: Z-Numbers–Fuzzy LMAW–Fuzzy CRADIS model. Axioms 2022, 11, 427. [Google Scholar] [CrossRef]
- Đalić, I.; Stević, Ž.; Karamasa, C.; Puška, A. A novel integrated fuzzy PIPRECIA—Interval rough SAW model green supplier selection. Decis. Mak. Appl. Manag. Eng. 2020, 3, 126–145. [Google Scholar] [CrossRef]
- Kannan, D.; Jabbour, A.B.L.d.S.; Jabbour, C.J.C. Selecting green suppliers based on GSCM practices: Using fuzzy TOPSIS applied to a Brazilian electronics company. Eur. J. Oper. Res. 2014, 233, 432–447. [Google Scholar] [CrossRef]
- Keshavarz Ghorabaee, M.; Zavadskas, E.K.; Amiri, M.; Esmaeili, A. Multi-criteria evaluation of green suppliers using an extended WASPAS method with interval type-2 fuzzy sets. J. Clean. Prod. 2016, 137, 213–229. [Google Scholar] [CrossRef]
- Mishra, A.R.; Rani, P.; Pardasani, K.R.; Mardani, A. A novel hesitant fuzzy WASPAS method for assessment of green supplier problem based on exponential information measures. J. Clean. Prod. 2019, 238, 117901. [Google Scholar] [CrossRef]
- Akcan, S.; Taş, M.A. Green supplier evaluation with SWARA-TOPSIS integrated method to reduce ecological risk factors. Environ. Monit. Assess. 2019, 191, 226. [Google Scholar] [CrossRef]
- Mousakhani, S.; Nazari-Shirkouhi, S.; Bozorgi-Amiri, A. A novel interval type-2 fuzzy evaluation model based group decision analysis for green supplier selection problems: A case study of battery industry. J. Clean. Prod. 2017, 168, 205–218. [Google Scholar] [CrossRef]
- Rajesh, R.; Ravi, V. Supplier selection in resilient supply chains: A grey relational analysis approach. J. Clean. Prod. 2015, 86, 343–359. [Google Scholar] [CrossRef]
- Matić, B.; Jovanović, S.; Das, D.K.; Zavadskas, E.K.; Stević, Ž.; Sremac, S.; Marinković, M. A new hybrid MCDM model: Sustainable supplier selection in a construction company. Symmetry 2019, 11, 353. [Google Scholar] [CrossRef]
- Stević, Ž.; Durmić, E.; Gajić, M.; Pamučar, D.; Puška, A. A novel multi-criteria decision-making model: Interval rough SAW method for sustainable supplier selection. Information 2019, 10, 292. [Google Scholar] [CrossRef]
- Lin, K.-P.; Tseng, M.-L.; Pai, P.-F. Sustainable supply chain management using approximate fuzzy DEMATEL method. Resour. Conserv. Recycl. 2018, 128, 134–142. [Google Scholar] [CrossRef]
- Su, C.-M.; Horng, D.-J.; Tseng, M.-L.; Chiu, A.S.; Wu, K.-J.; Chen, H.-P. Improving sustainable supply chain management using a novel hierarchical grey-DEMATEL approach. J. Clean. Prod. 2016, 134, 469–481. [Google Scholar] [CrossRef]
- Ulutaş, A.; Topal, A.; Pamučar, D.; Stević, Ž.; Karabašević, D.; Popović, G. A new integrated multi-criteria decision-making model for sustainable supplier selection based on a novel grey WISP and grey BWM methods. Sustainability 2022, 14, 16921. [Google Scholar] [CrossRef]
- Puška, A.; Nedeljković, M.; Hashemkhani Zolfani, S.; Pamučar, D. Application of interval fuzzy logic in selecting a sustainable supplier on the example of agricultural production. Symmetry 2021, 13, 774. [Google Scholar] [CrossRef]
- Liu, P.; Gao, H.; Fujita, H. The new extension of the MULTIMOORA method for sustainable supplier selection with intuitionistic linguistic rough numbers. Appl. Soft Comput. 2021, 99, 106893. [Google Scholar] [CrossRef]
- Cheng, S.-H.; Ou, S.M.; Lin, S.-M. Using decision-making trial and evaluation laboratory (DEMATEL) to explore the key success factors for green logistics manufacturers. Afr. J. Bus. Manag. 2018, 12, 58–65. [Google Scholar] [CrossRef]
- Staš, D.; Lenort, R.; Wicher, P.; Holman, D. Conceptual framework for assessing the green transport level in industrial companies and supply chains. Appl. Mech. Mater. 2014, 708, 87–92. [Google Scholar] [CrossRef]
- Keshavarz-Ghorabaee, M. Using SWARA II for subjective evaluation of transport emissions reduction policies. Open Transp. J. 2023, 17, e187444782309190. [Google Scholar] [CrossRef]
- Awasthi, A.; Chauhan, S.S.; Goyal, S.K. A fuzzy multicriteria approach for evaluating environmental performance of suppliers. Int. J. Prod. Econ. 2010, 126, 370–378. [Google Scholar] [CrossRef]
- Shao, J.; Taisch, M.; Ortega-Mier, M. A grey-DEcision-MAking Trial and Evaluation Laboratory (DEMATEL) analysis on the barriers between environmentally friendly products and consumers: Practitioners’ viewpoints on the European automobile industry. J. Clean. Prod. 2016, 112, 3185–3194. [Google Scholar] [CrossRef]
- Osintsev, N.; Rakhmangulov, A.; Sładkowski, A.; Dyorina, N. Logistic flow control system in green supply chains. In Ecology in Transport: Problems and Solutions; Sładkowski, A., Ed.; Springer International Publishing: Cham, Switzerland, 2020; pp. 311–380. ISBN 978-3-030-42322-3. [Google Scholar]
- Shar, I.E.; Sun, W.; Wang, H.; Gupta, C. Deep reinforcement learning toward robust multi-echelon supply chain inventory optimization. In Proceedings of the 2022 IEEE 18th International Conference on Automation Science and Engineering (CASE), Mexico City, Mexico, 20–24 August 2022; IEEE: Piscataway, NJ, USA, 2022; pp. 1385–1391, ISBN 978-1-6654-9042-9. [Google Scholar]
- Moncayo–Martínez, L.A.; Mastrocinque, E. Solving the guaranteed-service time inventory model for real-world supply chains by implementing it in commercial optimisers. J. Eng. Res. 2024, in press. [Google Scholar] [CrossRef]
- Gumus, A.T.; Guneri, A.F. A multi-echelon inventory management framework for stochastic and fuzzy supply chains. Expert Syst. Appl. 2009, 36, 5565–5575. [Google Scholar] [CrossRef]
- Khalifehzadeh, S.; Seifbarghy, M.; Naderi, B. A four-echelon supply chain network design with shortage: Mathematical modeling and solution methods. J. Manuf. Syst. 2015, 35, 164–175. [Google Scholar] [CrossRef]
- Lackes, R. Architecture and functionality of a supply chain enterprise resources planning system. Oper. Supply Chain Manag. Int. J. 2014, 2, 125–135. [Google Scholar] [CrossRef]
- Martins, E.J.; Belfo, F.P. Major concerns about Enterprise Resource Planning (ERP) systems: A systematic review of a decade of research (2011–2021). Procedia Comput. Sci. 2023, 219, 378–387. [Google Scholar] [CrossRef]
- Halat, K.; Hafezalkotob, A.; Sayadi, M.K. Cooperative inventory games in multi-echelon supply chains under carbon tax policy: Vertical or horizontal? Appl. Math. Model. 2021, 99, 166–203. [Google Scholar] [CrossRef]
- Quetschlich, M.; Moetz, A.; Otto, B. Optimisation model for multi-item multi-echelon supply chains with nested multi-level products. Eur. J. Oper. Res. 2021, 290, 144–158. [Google Scholar] [CrossRef]
- Sandhu, M.A.; Helo, P.; Kristianto, Y. Steel supply chain management by simulation modelling. BIJ 2013, 20, 45–61. [Google Scholar] [CrossRef]
- Tayyab, M. Sustainable production delivery mechanism for third-generation biodiesel supply chain management under technology investment and multi-shipment policy. J. Ind. Manag. Optim. 2025, 21, 167–201. [Google Scholar] [CrossRef]
- Achkar, V.G.; Brunaud, B.B.; Pérez, H.D.; Musa, R.; Méndez, C.A.; Grossmann, I.E. Extensions to the guaranteed service model for industrial applications of multi-echelon inventory optimization. Eur. J. Oper. Res. 2024, 313, 192–206. [Google Scholar] [CrossRef]
- Maddock-James, J. Supply-chain infrastructure as architecture: A case study of Amazon in Darlington, UK. Mobilities 2025, 1–16. [Google Scholar] [CrossRef]
- Zhong, F.; Xie, J.; Shen, Y. Bargaining in a multi-echelon supply chain with power structure: KS solution vs. Nash solution. J. Ind. Manag. Optim. 2022, 18, 635–654. [Google Scholar] [CrossRef]
- Rakhmangulov, A.; Sladkowski, A.; Osintsev, N.; Muravev, D. Green logistics: A system of methods and instruments—Part 2. Naše More 2018, 65, 49–55. [Google Scholar] [CrossRef]
- Osintsev, N.A.; Rakhmangulov, A.N. Supply chain sustainability assessment based on gray relational analysis. Vestn. Nosov Magnitogorsk State Tech. Univ. 2023, 21, 180–196. [Google Scholar] [CrossRef]
- Osintsev, N.A.; Rakhmangulov, A.N.; Sladkowski, A.V. A fuzzy AHP-TOPSIS approach for green logistics instruments ranking. Transp. Ural. 2020, 64, 3–14. [Google Scholar] [CrossRef]
- Osintsev, N.A.; Tsyganov, A.V.; Rakhmangulov, A.N. Mathematical model for optimization of a range of tools for «green» logistics. Her. Ural State Univ. Railw. Transp. 2023, 3, 98–112. [Google Scholar] [CrossRef]
- Osintsev, N.; Rakhmangulov, A. Sustainable Development of Supply Chains; INFRA-M: Moscow, Russia, 2025; ISBN 978-5-16-019680-0. [Google Scholar]
- Rakhmangulov, A.; Sladkowski, A.; Osintsev, N.; Muravev, D. Green logistics: Element of the sustainable development concept. Part 1. Naše More 2017, 64, 120–126. [Google Scholar] [CrossRef]
- Osintsev, N.; Rakhmangulov, A.; Baginova, V. Evaluation of logistic flows in green supply chains based on the combined DEMATEL-ANP method. Facta Univ. Ser. Mech. Eng. 2021, 19, 473–498. [Google Scholar] [CrossRef]
- Chen, M.-C.; Yang, T.; Yen, C.-T. Investigating the value of information sharing in multi-echelon supply chains. Qual Quant 2007, 41, 497–511. [Google Scholar] [CrossRef]
- Longo, F.; Nicoletti, L.; Padovano, A.; d’Atri, G.; Forte, M. Blockchain-enabled supply chain: An experimental study. Comput. Ind. Eng. 2019, 136, 57–69. [Google Scholar] [CrossRef]
- Kaya, R.; Salhi, S.; Spiegler, V. A novel integration of MCDM methods and Bayesian networks: The case of incomplete expert knowledge. Ann. Oper. Res. 2023, 320, 205–234. [Google Scholar] [CrossRef]
- Osintsev, N.; Tsyganov, A.; Rakhmangulov, A.; Sładkowski, A. Multi-criteria assessment of piggyback systems in sustainable supply chains. In Modern Trends and Research in Intermodal Transportation; Sładkowski, A., Ed.; Springer International Publishing: Cham, Switzerland, 2022; pp. 451–559. ISBN 978-3-030-87119-2. [Google Scholar]
- Osintsev, N.; Rakhmangulov, A. Supply chain sustainability drivers: Identification and multi-criteria assessment. Logistics 2025, 9, 24. [Google Scholar] [CrossRef]
- Aliakbari Nouri, F.; Shafiei Nikabadi, M.; Olfat, L. Sustainable service supply chain practices (SSSCPs): A framework development. Int. J. Product. Perform. Manag. 2019, 69, 813–833. [Google Scholar] [CrossRef]
- Behdioglu, S.; Koca, G. Green supply chain initiatives in Turkish automotive main industry. J. Strateg. Res. Soc. Sci. 2017, 3, 177–188. [Google Scholar]
- Brandenburg, M.; Gruchmann, T.; Oelze, N. Sustainable supply chain management—A conceptual framework and future research perspectives. Sustainability 2019, 11, 7239. [Google Scholar] [CrossRef]
- Baah, C.; Jin, Z.; Tang, L. Organizational and regulatory stakeholder pressures friends or foes to green logistics practices and financial performance: Investigating corporate reputation as a missing link. J. Clean. Prod. 2020, 247, 119125. [Google Scholar] [CrossRef]
- Carvalho, H.; Govindan, K.; Azevedo, S.G.; Cruz-Machado, V. Modelling green and lean supply chains: An eco-efficiency perspective. Resour. Conserv. Recycl. 2017, 120, 75–87. [Google Scholar] [CrossRef]
- Chin, T.A.; Tat, H.H.; Sulaiman, Z. Green supply chain management, environmental collaboration and sustainability performance. Procedia CIRP 2015, 26, 695–699. [Google Scholar] [CrossRef]
- Colicchia, C.; Marchet, G.; Melacini, M.; Perotti, S. Building environmental sustainability: Empirical evidence from logistics service providers. J. Clean. Prod. 2013, 59, 197–209. [Google Scholar] [CrossRef]
- Darnall, N.; Jolley, G.J.; Handfield, R. Environmental management systems and green supply chain management: Complements for sustainability? Bus. Strategy Environ. 2008, 17, 30–45. [Google Scholar] [CrossRef]
- Deshmukh, A.J.; Vasudevan, H. Emerging supplier selection criteria in the context of traditional VS green supply chain management. Int. J. Manag. Value Supply Chain. 2014, 5, 19–33. [Google Scholar] [CrossRef]
- Diabat, A.; Govindan, K. An analysis of the drivers affecting the implementation of green supply chain management. Resour. Conserv. Recycl. 2011, 55, 659–667. [Google Scholar] [CrossRef]
- Drohomeretski, E.; Gouvea da Costa, S.; Pinheiro de Lima, E. Green supply chain management: Drivers, barriers and practices within the Brazilian automotive industry. J. Manuf. Technol. Manag. 2014, 25, 1105–1134. [Google Scholar] [CrossRef]
- El Jaouhari, A.; Arif, J.; Samadhiya, A.; Kumar, A. Net zero supply chain performance and industry 4.0 technologies: Past review and present introspective analysis for future research directions. Heliyon 2023, 9, e21525. [Google Scholar] [CrossRef]
- Esmaeilian, B.; Sarkis, J.; Lewis, K.; Behdad, S. Blockchain for the future of sustainable supply chain management in Industry 4.0. Resour. Conserv. Recycl. 2020, 163, 105064. [Google Scholar] [CrossRef]
- Gurel, O.; Acar, A.Z.; Onden, I.; Gumus, I. Determinants of the green supplier selection. Procedia-Soc. Behav. Sci. 2015, 181, 131–139. [Google Scholar] [CrossRef]
- Hu, A.H.; Hsu, C.-W. Critical factors for implementing green supply chain management practice. Manag. Res. Rev. 2010, 33, 586–608. [Google Scholar] [CrossRef]
- Husáková, N. A new approach to eco-logistics. Appl. Mech. Mater. 2014, 708, 99–104. [Google Scholar] [CrossRef]
- Hussain, M.; Khan, M.; Al-Aomar, R. A framework for supply chain sustainability in service industry with confirmatory factor analysis. Renew. Sustain. Energy Rev. 2016, 55, 1301–1312. [Google Scholar] [CrossRef]
- Jalali Naini, S.G.; Aliahmadi, A.R.; Jafari-Eskandari, M. Designing a mixed performance measurement system for environmental supply chain management using evolutionary game theory and balanced scorecard: A case study of an auto industry supply chain. Resour. Conserv. Recycl. 2011, 55, 593–603. [Google Scholar] [CrossRef]
- Jasmi, M.F.A.; Fernando, Y. Drivers of maritime green supply chain management. Sustain. Cities Soc. 2018, 43, 366–383. [Google Scholar] [CrossRef]
- Jayant, A.; Azhar, M. Analysis of the barriers for implementing green supply chain management (GSCM) practices: An interpretive structural modeling (ISM) approach. Procedia Eng. 2014, 97, 2157–2166. [Google Scholar] [CrossRef]
- Jo, D.; Kwon, C. Structure of green supply chain management for sustainability of small and medium enterprises. Sustainability 2022, 14, 50. [Google Scholar] [CrossRef]
- Jovanovic, N.; Zolfagharinia, H.; Peszynski, K. To green or not to treen trucking? Exploring the Canadian case. Transp. Res. Part D Transp. Environ. 2020, 88, 102591. [Google Scholar] [CrossRef]
- Karmaker, C.L.; Ahmed, T.; Ahmed, S.; Ali, S.M.; Moktadir, M.A.; Kabir, G. Improving supply chain sustainability in the context of COVID-19 pandemic in an emerging economy: Exploring drivers using an integrated model. Sustain. Prod. Consum. 2021, 26, 411–427. [Google Scholar] [CrossRef]
- Kayikci, Y. Sustainability impact of digitization in logistics. Procedia Manuf. 2018, 21, 782–789. [Google Scholar] [CrossRef]
- Khan, S.A.R.; Dong, Q.L.; Yu, Z. Research on the measuring performance of green supply chain management: In the perspective of China. Int. J. Eng. Res. Afr. 2016, 27, 167–178. [Google Scholar] [CrossRef]
- Khanal, G.; Shrestha, R.; Devkota, N.; Sakhakarmy, M.; Mahato, S.; Paudel, U.R.; Acharya, Y.; Khanal, C.K. An investigation of green supply chain management practices on organizational performance using multivariate statistical analysis. Supply Chain Anal. 2023, 3, 100034. [Google Scholar] [CrossRef]
- Kim, J.; Rhee, J. An empirical study on the impact of critical success factors on the balanced scorecard performance in Korean green supply chain management enterprises. Int. J. Prod. Res. 2012, 50, 2465–2483. [Google Scholar] [CrossRef]
- Kumar, S.; Luthra, S.; Haleem, A. Customer involvement in greening the supply chain: An interpretive structural modeling methodology. J. Ind. Eng. Int. 2013, 9, 6. [Google Scholar] [CrossRef]
- Kumar, S.; Luthra, S.; Haleem, A. Critical success factors of customer involvement in greening the supply chain: An empirical study. Int. J. Logist. Syst. Manag. 2014, 19, 283. [Google Scholar] [CrossRef]
- Kumar Shetty, S.; Subrahmanya Bhat, K. Green supply chain management practices implementation and sustainability—A review. Mater. Today: Proc. 2021, 19, 131. [Google Scholar] [CrossRef]
- Lai, X.; Shi, Q. Green and low-carbon technology innovations. In Innovation Strategies in Environmental Science; Elsevier: Amsterdam, The Netherlands, 2020; pp. 209–253. ISBN 9780128173824. [Google Scholar]
- Lamba, N.; Thareja, P. Modelling of barriers pertaining to implementation of green supply chain management using ISM approach. Mater. Today: Proc. 2021, 43, 9–16. [Google Scholar] [CrossRef]
- Laosirihongthong, T.; Adebanjo, D.; Choon Tan, K. Green supply chain management practices and performance. Ind. Manag. Data Syst. 2013, 113, 1088–1109. [Google Scholar] [CrossRef]
- Large, R.O.; Gimenez Thomsen, C. Drivers of green supply management performance: Evidence from Germany. J. Purch. Supply Manag. 2011, 17, 176–184. [Google Scholar] [CrossRef]
- Lim, M.K.; Tseng, M.-L.; Tan, K.H.; Bui, T.D. Knowledge management in sustainable supply chain management: Improving performance through an interpretive structural modelling approach. J. Clean. Prod. 2017, 162, 806–816. [Google Scholar] [CrossRef]
- Lin, R.-J. Using fuzzy DEMATEL to evaluate the green supply chain management practices. J. Clean. Prod. 2013, 40, 32–39. [Google Scholar] [CrossRef]
- Lorena, C.-M.; Leonardo, R.-U. Sustainable procurement with Coloured Petri Nets. Application and extension of the proposed model. Expert Syst. Appl. 2018, 114, 467–478. [Google Scholar] [CrossRef]
- Malviya, R.K.; Kant, R. Identifying critical success factors for green supply chain management implementation using fuzzy DEMATEL method. In Proceedings of the 2014 IEEE International Conference on Industrial Engineering and Engineering Management (IEEM), Selangor Darul Ehsan, Malaysia, 9–12 December 2014; IEEE: Piscataway, NJ, USA, 2014; pp. 214–218, ISBN 978-1-4799-6410-9. [Google Scholar]
- Manimaran, A.; Muthuraman, V.; Jayakumar, V. A novel tolerance evaluation framework for green supply chain management implementation. Int. J. Mech. Eng. Technol. 2018, 9, 152–159. [Google Scholar]
- Muasya, K.; Kihara, A. Role of green supply chain practices on the performance of government ministries in Kenya: A case of ministry of industrialization and enterprise development. J. Int. Bus. Innov. Strateg. Manag. 2018, 1, 215–230. [Google Scholar]
- Mavi, R.K.; Goh, M.; Zarbakhshnia, N. Sustainable third-party reverse logistic provider selection with fuzzy SWARA and fuzzy MOORA in plastic industry. Int. J. Adv. Manuf. Technol. 2017, 91, 2401–2418. [Google Scholar] [CrossRef]
- Muduli, K.; Govindan, K.; Barve, A.; Kannan, D.; Geng, Y. Role of behavioural factors in green supply chain management implementation in Indian mining industries. Resour. Conserv. Recycl. 2013, 76, 50–60. [Google Scholar] [CrossRef]
- Nikookar, H.; Takala, J.; Sahebi, D.; Kantola, J. A qualitative approach for assessing resiliency in supply chains. Manag. Prod. Eng. Rev. 2014, 5, 36–45. [Google Scholar] [CrossRef]
- Olatunji, O.O.; Akinlabi, S.A.; Ayo, O.O.; Madushele, N.; Adedeji, P.A.; Fatoba, S.O. Drivers and barriers to competitive carbon footprint reduction in manufacturing supply chain: A brief review. Procedia Manuf. 2019, 35, 992–1000. [Google Scholar] [CrossRef]
- Pimenta, H.C.; Ball, P.D. Analysis of environmental sustainability practices across upstream supply chain management. Procedia CIRP 2015, 26, 677–682. [Google Scholar] [CrossRef]
- Raut, R.D.; Narkhede, B.; Gardas, B.B. To identify the critical success factors of sustainable supply chain management practices in the context of oil and gas industries: ISM approach. Renew. Sustain. Energy Rev. 2017, 68, 33–47. [Google Scholar] [CrossRef]
- Refaie, A.A.; Momani, D. ISM approach for modelling drivers to practices of green supply chain management in Jordanian industrial firms. Int. J. Bus. Perform. Supply Chain Model. 2018, 10, 91. [Google Scholar] [CrossRef]
- Sancha, C.; Longoni, A.; Giménez, C. Sustainable supplier development practices: Drivers and enablers in a global context. J. Purch. Supply Manag. 2015, 21, 95–102. [Google Scholar] [CrossRef]
- Sauer, P.C.; Seuring, S. Sustainable supply chain management for minerals. J. Clean. Prod. 2017, 151, 235–249. [Google Scholar] [CrossRef]
- Shahryari Nia, A.; Olfat, L.; Esmaeili, A.; Rostamzadeh, R.; Antuchevičienė, J. Using fuzzy choquet integral operator for supplier selection with environmental considerations. J. Bus. Econ. Manag. 2016, 17, 503–526. [Google Scholar] [CrossRef]
- Shibin, K.T.; Gunasekaran, A.; Dubey, R. Explaining sustainable supply chain performance using a total interpretive structural modeling approach. Sustain. Prod. Consum. 2017, 12, 104–118. [Google Scholar] [CrossRef]
- Sugandini, D.; Muafi, M.; Susilowati, C.; Siswanti, Y.; Syafri, W. Green supply management and green marketing strategy on green purchase intention: SMEs cases. J. Ind. Eng. Manag. 2020, 13, 79. [Google Scholar] [CrossRef]
- Thakker, S.V.; Rane, S.B. Implementation of green supplier development process model in Indian automobile industry. Manag. Environ. Qual. Int. J. 2018, 29, 938–960. [Google Scholar] [CrossRef]
- Thiell, M.; Zuluaga, J.P.S.; Montañez, J.P.M.; van Hoof, B. Green logistics: Global practices and their implementation in emerging markets. In Green Finance and Sustainability: Environmentally-Aware Business Models and Technologies; Luo, Z., Ed.; Business Science Reference; IGI Global: Hershey, PA, USA, 2011; ISBN 1609605322. [Google Scholar]
- Tippayawong, K.Y.; Tiwaratreewit, T.; Sopadang, A. Positive influence of green supply chain operations on Thai electronic firms’ financial performance. Procedia Eng. 2015, 118, 683–690. [Google Scholar] [CrossRef]
- Tippayawong, K.; Niyomyat, N.; Sopadang, A.; Ramingwong, S. Factors affecting green supply chain operational performance of the Thai auto parts industry. Sustainability 2016, 8, 1161. [Google Scholar] [CrossRef]
- Tseng, M.-L.; Chiu, S.F.; Tan, R.R.; Siriban-Manalang, A.B. Sustainable consumption and production for Asia: Sustainability through green design and practice. J. Clean. Prod. 2013, 40, 1–5. [Google Scholar] [CrossRef]
- Vijayvargy, L.; Thakkar, J.; Agarwal, G. Green supply chain management practices and performance. J. Manuf. Technol. Manag. 2017, 28, 299–323. [Google Scholar] [CrossRef]
- Vila, C.; Abellán-Nebot, J.V.; Albiñana, J.C.; Hernández, G. An approach to sustainable product lifecycle management (Green PLM). Procedia Eng. 2015, 132, 585–592. [Google Scholar] [CrossRef]
- Murphy, P.R.; Poist, R.F. Green perspectives and practices: A “comparative logistics” study. Supp. Chain Mnagmnt 2003, 8, 122–131. [Google Scholar] [CrossRef]
- Sarkis, J.; Meade, L.M.; Talluri, S. E-logistics and the natural environment. Supp. Chain Mnagmnt 2004, 9, 303–312. [Google Scholar] [CrossRef]
- Walker, H.; Di Sisto, L.; McBain, D. Drivers and barriers to environmental supply chain management practices: Lessons from the public and private sectors. J. Purch. Supply Manag. 2008, 14, 69–85. [Google Scholar] [CrossRef]
- Mahmood, W.H.W.; Rahman, M.N.A.; Deros, B.M.; Jusoff, K.; Saptari, A.; Ebrahim, Z.; Sultan, A.A.M.; Bakar, M.H.A.; Subramonian, S.; Jano, Z. Manufacturing performance in green supply chain management. World Appl. Sci. J. 2013, 21, 76–84. [Google Scholar] [CrossRef]
- Yunlin, C. Awareness of green logistics technology, certification, and standards by logistics practitioners at Chinese e-commerce company, Jing Dong. Asian J. Shipp. Logist. 2023, 39, 37–46. [Google Scholar] [CrossRef]
- Zhang, Y.; Thompson, R.G.; Bao, X.; Jiang, Y. Analyzing the promoting factors for adopting green logistics practices: A case study of road freight industry in Nanjing, China. Procedia-Soc. Behav. Sci. 2014, 125, 432–444. [Google Scholar] [CrossRef]
- Zhu, Q.; Sarkis, J. Relationships between operational practices and performance among early adopters of green supply chain management practices in Chinese manufacturing enterprises. J. Oper. Manag. 2004, 22, 265–289. [Google Scholar] [CrossRef]
- Zhu, Q.; Sarkis, J. An inter-sectoral comparison of green supply chain management in China: Drivers and practices. J. Clean. Prod. 2006, 14, 472–486. [Google Scholar] [CrossRef]
- Zhu, Q.; Sarkis, J.; Lai, K.-H. Confirmation of a measurement model for green supply chain management practices implementation. Int. J. Prod. Econ. 2008, 111, 261–273. [Google Scholar] [CrossRef]
- Jayarathna, C.P.; Agdas, D.; Dawes, L. Exploring sustainable logistics practices toward a circular economy: A value creation perspective. Bus. Strategy Environ. 2023, 32, 704–720. [Google Scholar] [CrossRef]
- Kumar, K.M.; Rahman, A.A.; Jayaraman, K.; Rahim, S.A. Conceptualization of a research model for sustainable logistics practices and logistics transport performance. J. Pengur. 2017, 51, 147–158. [Google Scholar] [CrossRef]
- Kim, S.-T.; Han, C.-H. Measuring environmental logistics practices. Asian J. Shipp. Logist. 2011, 27, 237–258. [Google Scholar] [CrossRef]
- Azevedo, S.G.; Pimentel, C.M.O.; Alves, A.C.; Matias, J.C.O. Support of advanced technologies in supply chain processes and sustainability impact. Appl. Sci. 2021, 11, 3026. [Google Scholar] [CrossRef]
- Banasik, A.; Bloemhof-Ruwaard, J.M.; Kanellopoulos, A.; Claassen, G.D.H.; van der Vorst, J.G.A.J. Multi-criteria decision making approaches for green supply chains: A review. Flex. Serv. Manuf. J. 2018, 30, 366–396. [Google Scholar] [CrossRef]
- Dekker, R.; Bloemhof, J.; Mallidis, I. Operations research for green logistics—An overview of aspects, issues, contributions and challenges. Eur. J. Oper. Res. 2012, 219, 671–679. [Google Scholar] [CrossRef]
- Popović, V.; Kilibarda, M.; Andrejić, M.; Jereb, B.; Dragan, D. A new sustainable warehouse management approach for workforce and activities scheduling. Sustainability 2021, 13, 2021. [Google Scholar] [CrossRef]
- Rachih, H.; Mhada, F.Z.; Chiheb, R. Meta-heuristics for reverse logistics: A literature review and perspectives. Comput. Ind. Eng. 2019, 127, 45–62. [Google Scholar] [CrossRef]
- Vasiliauskas, A.V.; Zinkevičiūtė, V.; Šimonytė, E. Implementation of the concept of green logistics reffering to it applications for road freight transport enterprises. Bus. Theory Pract. 2013, 14, 43–50. [Google Scholar] [CrossRef]
- Pålsson, H.; Lundquist, K.-J.; Olander, L.-O.; Larsson, F.E.; Hiselius, L. Target: Low-Carbon Goods Transportation: A Growth-Dynamics Perspective on Logistics and Goods Transportation Until 2050; International Transport Forum Discussion Papers: Paris, France, 2014. [Google Scholar]
- Geroliminis, N.; Daganzo, C.F. A Review of Green Logistics Schemes Used in Cities Around the World. Available online: https://escholarship.org/uc/item/4x89p485 (accessed on 10 April 2025).
- Beškovnik, B.; Twrdy, E. Green logistics strategy for South East Europe: To improve intermodality and establish green transport corridors. Transport 2012, 27, 25–33. [Google Scholar] [CrossRef]
- de Assis, T.F.; Marujo, L.G.; de Abreu, V.H.S.; Da Costa, M.G.; Rodrigues, L.M.; D’Agosto, M.d.A. Best practices to support the transition towards sustainable logistics from the perspective of Brazilian carriers. Sustainability 2023, 15, 13434. [Google Scholar] [CrossRef]
- Cherrafi, A.; Garza-Reyes, J.A.; Kumar, V.; Mishra, N.; Ghobadian, A.; Elfezazi, S. Lean, green practices and process innovation: A model for green supply chain performance. Int. J. Prod. Econ. 2018, 206, 79–92. [Google Scholar] [CrossRef]
- Gruchmann, T. Advanced green logistics strategies and technologies. In Operations, Logistics and Supply Chain Management; Zijm, H., Klumpp, M., Regattieri, A., Heragu, S., Eds.; Springer: Cham, Switzerland, 2019; pp. 663–686. ISBN 978-3-319-92446-5. [Google Scholar]
- Mavi, R.K.; Kazemi, S.; Najafabadi, A.F.; Mousaabadi, H.B. Identification and assessment of logistical factors to evaluate a green supplier using the fuzzy logic DEMATEL method. Pol. J. Environ. Stud. 2013, 22, 445–455. [Google Scholar]
- Ouyang, C.Y.; Nie, X.L. An investigation into green logistics and packaging design. Appl. Mech. Mater. 2013, 448–453, 4552–4556. [Google Scholar] [CrossRef]
- Sarkar, A.N. Green supply chain management: A potent tool for sustainable green marketing. Asia-Pac. J. Manag. Res. Innov. 2012, 8, 491–507. [Google Scholar] [CrossRef]
- van Hoek, R.I. From reversed logistics to green supply chains. Supply Chain Manag. Int. J. 1999, 4, 129–135. [Google Scholar] [CrossRef]
- Waltho, C.; Elhedhli, S.; Gzara, F. Green supply chain network design: A review focused on policy adoption and emission quantification. Int. J. Prod. Econ. 2019, 208, 305–318. [Google Scholar] [CrossRef]
- Björklund, M.; Forslund, H. A framework for classifying sustainable logistics innovations. Logist. Res. 2018, 11, 1–12. [Google Scholar] [CrossRef]
- Abu Seman, N.A.; Zakuan, N.; Jusoh, A.; Md Arif, M.S.; Mat Saman, M.Z. Green supply chain management: A review and research direction. Int. J. Manag. Value Supply Chain. 2012, 3, 1–18. [Google Scholar] [CrossRef]
- Aslam, H.; Rashid, K.; Wahla, A.R.; Tahira, U. Drivers of green supply chain management practices and their impact on firm performance: A developing country perspective. J. Quant. Methods 2018, 2, 87–113. [Google Scholar] [CrossRef]
- Masoumik, S.M.; Abdul-Rashid, S.H.; Olugu, E.U.; Raja Ghazilla, R.A. Sustainable supply chain design: A configurational approach. Sci. World J. 2014, 2014, 897121. [Google Scholar] [CrossRef]
- Zailani, S.; Jeyaraman, K.; Vengadasan, G.; Premkumar, R. Sustainable supply chain management (SSCM) in Malaysia: A survey. Int. J. Prod. Econ. 2012, 140, 330–340. [Google Scholar] [CrossRef]
- Lakshmi, P.; Visalakshmi, S. Managing green supply chain: Initiatives and outcomes. Int. J. Manag. Value Supply Chain. 2012, 3, 55–63. [Google Scholar] [CrossRef]
- Sureeyatanapas, P.; Poophiukhok, P.; Pathumnakul, S. Green initiatives for logistics service providers: An investigation of antecedent factors and the contributions to corporate goals. J. Clean. Prod. 2018, 191, 1–14. [Google Scholar] [CrossRef]
- Zou, X.; Zhao, W.; Zhang, T.T. Study of green logistics technology to manufacturing based on green supply chain Theory. Adv. Mater. Res. 2014, 1073–1076, 2438–2442. [Google Scholar] [CrossRef]
- Maji, I.K.; Mohd Saudi, N.S.; Yusuf, M. An assessment of green logistics and environmental sustainability: Evidence from Bauchi. Clean. Logist. Supply Chain 2023, 6, 100097. [Google Scholar] [CrossRef]
- Modica, T.; Perotti, S.; Melacini, M. Green warehousing: Exploration of organisational variables fostering the adoption of energy-efficient material handling equipment. Sustainability 2021, 13, 13237. [Google Scholar] [CrossRef]
- Juan, A.; Mendez, C.; Faulin, J.; de Armas, J.; Grasman, S. Electric vehicles in logistics and transportation: A survey on emerging environmental, strategic, and operational challenges. Energies 2016, 9, 86. [Google Scholar] [CrossRef]
- Dubisz, D.; Golinska-Dawson, P.; Zawodny, P. Measuring CO2 emissions in E-Commerce deliveries: From empirical studies to a new calculation approach. Sustainability 2022, 14, 16085. [Google Scholar] [CrossRef]
- Noor Aslinda, A.S.; Norhayati Mohmad, Z.; Jusoh, A.; Arif, M.S.M.; Bahari, A.Z.; Zaidin, N.; Saman, M.Z.M. The development of green innovation measurement based on inter rater agreement approach: A preliminary study. Adv. Mater. Res. 2014, 903, 347–352. [Google Scholar] [CrossRef]
- The Sustainable Development. Available online: https://sustainabledevelopment.un.org/ (accessed on 6 February 2018).
- ISO 14031:2021; Environmental management—Environmental Performance Evaluation—Guidelines. ISO copyright office: Geneva, Switzerland, 2021. Available online: https://webstore.ansi.org/standards/iso/iso140312021 (accessed on 18 April 2025).
- ISO 14024:2018; Environmental Labels and Declarations—Type I Environmental Labelling—Principles and procedures. ISO copyright office: Geneva, Switzerland, 2018. Available online: https://webstore.ansi.org/standards/iso/iso140242018 (accessed on 18 April 2025).
- ISO 18601:2013; Packaging and the Environment—General Requirements for the Use of ISO Standards in the Field of Packaging and the Environment. ISO copyright office: Geneva, Switzerland, 2013. Available online: https://webstore.ansi.org/standards/iso/iso186012013 (accessed on 18 April 2025).
- Hwang, C.-L.; Yoon, K. Multiple Attribute Decision Making: Methods and Applications: A State-Of-The-Art Survey; Springer: Berlin/Heidelberg, Germany, 1981; ISBN 3642483186. [Google Scholar]
- Pamučar, D.; Ćirović, G. The selection of transport and handling resources in logistics centers using multi-attributive border approximation area comparison (MABAC). Expert Syst. Appl. 2015, 42, 3016–3028. [Google Scholar] [CrossRef]
- Stević, Ž.; Pamučar, D.; Puška, A.; Chatterjee, P. Sustainable supplier selection in healthcare industries using a new MCDM method: Measurement of alternatives and ranking according to COmpromise solution (MARCOS). Comput. Ind. Eng. 2020, 140, 106231. [Google Scholar] [CrossRef]
- Zavadskas, E.K.; Turskis, Z. Multiple criteria decision making (MCDM) methods in economics: An overview. Technol. Econ. Dev. Econ. 2011, 17, 397–427. [Google Scholar] [CrossRef]
- Zardari, N.H.; Ahmed, K.; Shirazi, S.M.; Yusop, Z.B. Weighting Methods and Their Effects on Multi-Criteria Decision Making Model Outcomes in Water Resources Management; Springer International Publishing: Cham, Switzerland, 2015; ISBN 978-3-319-12585-5. [Google Scholar]
- Guitouni, A.; Martel, J.-M. Tentative guidelines to help choosing an appropriate MCDA method. Eur. J. Oper. Res. 1998, 109, 501–521. [Google Scholar] [CrossRef]
- Wątróbski, J.; Jankowski, J.; Ziemba, P.; Karczmarczyk, A.; Zioło, M. Generalised framework for multi-criteria method selection. Omega 2019, 86, 107–124. [Google Scholar] [CrossRef]


















| MCDM’s Application Area | Supply Chain Type | MCDM Methods * |
|---|---|---|
| Supply chain management | Green Supply Chain | Fuzzy ANP [45], AHP [41,46,47,48], AHP-ELECTRE [49], DEMATEL [50,51,52], DEMATEL-ANP [53,54], DEMATEL-Fuzzy COPRAS-Fuzzy EDAS [55], Fuzzy AHP-TOPSIS [56], Fuzzy ANP [45], Fuzzy DEMATEL [57,58,59], Fuzzy DEMATEL-ANP [60], Fuzzy DEMATEL-Fuzzy ANP-Fuzzy TOPSIS [61], Fuzzy VIKOR [62], Fuzzy-DEMATEL-ANP [63], IVTFN-GRA [64] |
| Reverse Supply Chain | Fuzzy AHP-Fuzzy TOPSIS [65], TOPSIS-VIKOR-COPRAS-MULTIMOORA [66] | |
| Supply Chain | AHP-DEMATEL-TOPSIS [67], Gray DEMATEL [68], Group Gray BWM [69], AHP [70] | |
| Sustainable Supply Chain | Explanatory Factor Analysis—AHP [71], Fuzzy DEMATEL [72], Gray DEMATEL [73], GRA [74] | |
| Deliveries | Green Supply Chain | ANP-TOPSIS [75], AHP-Delphi [76], ANP-GRA [77], BWM-GRA [78], DEMATEL [79,80,81], DEMATEL-AHP-TOPSIS [82], DEMATEL-ANP [83], DEMATEL-ANP-COPRAS-G [84], Fuzzy AHP-Fuzzy TOPSIS [85], Fuzzy AHP-TOPSIS-WASPAS-MABAC [86], Fuzzy DEMATEL [86,87], Fuzzy LMAW-CRADIS [88], Fuzzy PIPRECIA-IRN SAW [89], Fuzzy TOPSIS [90], Fuzzy WASPAS [91,92], SWARA-TOPSIS [93] |
| Supply Chain | Fuzzy TOPSIS [94] | |
| Resilience Supply Chain | GRA-AHP-ANP [95] | |
| Sustainable Supply Chain | FUCOM-COPRAS [96], FUCOM-IRN SAW [97], Fuzzy DEMATEL [98], Gray DEMATEL [99], Gray WISP-Gray BWM [100], IVF PIPRECIA-IVF MABAC [101], MULTIMOORA [102] | |
| Production | Green Supply Chain | DEMATEL [103] |
| Transportation | Green Supply Chain | ANP [104] |
| Not Specified | SWARA II [105] | |
| Sales | Not Specified | Fuzzy TOPSIS [106] |
| Sustainable Supply Chain | Gray DEMATEL [107] |
| № | Green Logistics Instrument | Description |
|---|---|---|
| I1.1.1 | Introduction of environmental aspects into the strategy of the organization | Development of the organization’s environmental strategy based on the goals and principles of sustainable development and its integration into the business strategy (ESG strategy) |
| I1.1.2 | Eco-audit | Independent assessment of compliance with regulatory and legal requirements in the field of environmental protection and preparation of recommendations in the field of environmental activities |
| I1.1.3 | Development of corporate social responsibility | Design and implementation of the strategy for developing the concept of Corporate Social Responsibility (CSR), taking responsibility for external and internal stakeholders, the environment, and society as a whole |
| I1.1.4 | Evaluation and control of environmental performance | Design standards for the process of selecting indicators, collecting and evaluating data and information to provide an ongoing assessment of environmental performance and its trends over time, consistent with the organization’s environmental goals (ISO 14031:2021 [236]) |
| I1.2.1 | Enterprise resource planning system (ERP) | Implementation of the enterprise resource management and planning system based on the integration and automation of data required to perform business processes—production, financial, personnel management, service provision, etc. |
| I1.2.2 | Customer relationship management system (CRM) | Implementation of customer relationship management (CRM) based on the use of advanced management and information technologies to interact with customers to increase the efficiency of customer service and improve business processes |
| I1.2.3 | Manufacturing execution system (MES) | Implementation of a manufacturing execution system (MES) based on data integration and automation to manage manufacturing activities |
| I1.2.4 | Warehouse management system (WMS) | Implementation of warehouse management system (WMS) based on data integration and automation for planning and execution of a set of tasks and functions of warehouse business processes |
| I1.2.5 | Enterprise asset management (EAM) | Implementation of enterprise asset management (EAM) based on the automation of business processes for managing physical assets and their modes of operation, risks, and costs throughout the asset life cycle |
| I1.2.6 | Human resources management (HRM) | Implementation of human resources management (HRM) based on the integration of data required to effectively manage the organization’s workforce |
| I1.3.1 | Real-time locating systems (RTLS) | Implementation of real-time locating systems (RTLS) based on the use of methods and technologies of identification and location of controlled objects (UWB, RFID, Wi-Fi, Bluetooth, ZigBee, NFER, etc.) within the territory for the purpose of monitoring transportation, logistics, and business processes |
| I1.3.2 | Satellite navigation systems | Implementation of satellite navigation systems (GPS, GLONAS, BeiDou, Galileo, qzss, and IRNSS) to determine the location of objects and movement parameters (vehicles, cargoes, etc.) to monitor the performance of logistics functions and supply chain operations |
| I1.3.3 | Radio frequency identification technology (RFID) | Implementation of radio frequency identification (RFID) technology in transportation and logistics processes for automatic identification, transmission, and storage of information about elements of the material flow throughout the life cycle from production to retail trade |
| I1.4.1 | Data mining methods | Use of data mining methods and systems for intellectual analysis of the data array and identification of patterns for the purpose of making managerial decisions (Board, SAS Revenue Optimization, SAS Enterprise Miner, etc.). |
| I1.4.2 | Methods and models of artificial intelligence | Integration of systems, technologies, or intelligent machines capable of mimicking human behavior in performing logistics functions in the supply chain |
| I1.4.3 | Situational management techniques | The use of a set of techniques and methods of managerial decision-making in the operational management of supply chains under the influence of external and internal changes. This set includes system, situational and factor analyses, expert methods, simulation modeling, multi-criteria decision-making methods, heuristic methods, and others |
| I1.4.4 | Digitalization and Industry 4.0 in supply chains | Control and optimization of logistics flows based on the implementation of principles and technologies of the Industry 4.0 concept and digitalization of supply chains (cloud technologies, Internet of Things, blockchain, artificial intelligence and machine learning, virtual reality, 3D printing, etc.) |
| I1.5.1 | Management information system (MIS) | Implementation of a management information system (MIS) for decision-making, coordination, control, analysis, and visualization of information in supply chains by integrating the links between chain members, processes, and technologies required to perform business processes |
| I1.5.2 | Electronic data interchange (EDI) | Implementation of electronic data interchange (EDI) transfer of structured digital information between organizations—elements of the supply chain, based on regulations and formats of transmitted messages. |
| I1.5.3 | Transportation management system (TMS) | Implementation of the transportation management system (TSM) for complex automation of transportation and logistics operations |
| I1.5.4 | Cold chain logistics (CCL) | Utilizing cold chain logistics (CCL) technologies and techniques to ensure consistent temperature of goods in the supply chain from production to consumption |
| № | Green Logistics Instrument | Description |
|---|---|---|
| I2.1.1 | Analysis of suppliers | Assessing suppliers’ and contractors’ performance for the purpose of further cooperation by analyzing previous activities, as well as compliance with the requirements and principles of the customer’s work, including in achieving SDGs |
| I2.1.2 | Analysis of raw materials, goods, and services | Assessing products and services for compliance with customer and supply chain requirements |
| I2.1.3 | Analysis of the procurement system | Evaluating the management of logistics processes in procurement to effectively utilize logistics resources and achieve the SDGs |
| I2.1.4 | Life cycle analysis (LCA) | Comprehensively assessing the environmental impact of a logistics material or workflow at all stages of its life cycle |
| I2.2.1 | Selection of ecological raw materials | Selecting environmentally friendly and safe raw materials in logistics processes, ensuring the least impact on the environment and human health |
| I2.2.2 | Selection of raw materials considering the possibility of recycling | Selecting raw materials and materials considering the possibility of their reuse and recycling |
| I2.2.3 | System of eco-labelling (eco-labels) | Using an eco-labeling system to identify products and services for compliance with environmental standards and requirements, and inform consumers about the environmental properties of products or services |
| I2.3.1 | Selection of eco-friendly suppliers | Evaluating and selecting suppliers that have environmental policies and incorporate environmentally friendly mechanisms into their operations |
| I2.3.2 | Selection of nearby suppliers | Assessing and selecting the nearest suppliers to reduce logistics costs and environmental impact |
| I2.4.1 | Minimization of purchasing volume | Analyzing cargo flow parameters and optimization of purchasing volumes to minimize inventories and reduce logistics costs |
| I2.4.2 | Combined purchasing | Consolidating procurement and collective tendering to reduce logistics costs and environmental footprints |
| I2.4.3 | Electronic document management with organization suppliers | Implementing the electronic document management system and refusing to use paper carriers |
| I2.4.4 | Selection of delivery modes with minimal impact on the environment | Assessing and selecting methods of raw material delivery with minimal environmental impact |
| I2.4.5 | Adjustment of the flows’ parameters (quality) or the need for flows | Analyzing statistical parameters of logistics flows to assess the need for them, as well as to optimize their parameters and indicators |
| № | Green Logistics Instrument | Description |
|---|---|---|
| I3.1.1 | Selection of ecological raw materials (Eco-design) | Considering environmental parameters in the process of creating products (services) when selecting raw materials and materials used in production processes to improve the natural, social, cultural, and physical environment of certain areas |
| I3.1.2 | Replacement of harmful/hazardous raw materials with less harmful effects in the product design | Replacing harmful and hazardous raw materials in the process of creating products (services) with environmentally friendly ones that ensure the least impact on the environment and human health |
| I3.1.3 | Selection of raw materials with the possibility of their reuse and/or recycling in product design | Considering the possibility of reusing and recycling raw materials in the process of creating products (services) |
| I3.2.1 | Energy-saving equipment and technologies | Applying energy-saving equipment and resource-saving technologies to rationally utilize logistics resources and improve production efficiency |
| I3.2.2 | Equipment with minimal impact on the environment | Selecting and applying equipment and technologies with minimal environmental impact in production processes |
| I3.2.3 | Systems of environmental protection | Using environmental safety methods and technical systems (air protection systems, water protection systems, waste management systems, etc.) to reduce the negative impact on the environment |
| I3.2.4 | Maximum utilization of raw materials with the aim of minimizing waste production | Analyzing production process parameters and implementing methods that maximize the use of raw material components to minimize production and service waste |
| I3.3.1 | Waste prevention | Selecting and applying methods to prevent waste generation in the process of product production (services) |
| I3.3.2 | Recycling and reuse of waste | Selecting and applying waste treatment methods to ensure its reuse in logistics processes and to obtain raw materials, energy, products, and supplies |
| I3.3.3 | Improvement of technologies of final disposal and waste monitoring | Evaluating and selecting ways to control and improve technologies for the utilization of waste generated during production, operation, and after decommissioning |
| I3.4.1 | Optimization of technological flows’ parameters | Analyzing the parameters of production processes and operations, and making decisions to adjust the parameters of industrial logistics flows to reduce logistics costs and achieve the SDGs |
| I3.4.2 | Operational management of production processes in order to minimize the impact on the environment | Performing operational management of production processes to control product quality and reduce the negative environmental impact of the industry |
| I3.4.3 | Production in accordance with the requirements of the eco-design | Designing and manufacturing products and services with consideration of their environmental impact throughout their life cycle |
| I3.5.1 | Eco-training of employees at all levels of management | Training in the field of environmental protection and ecological safety for managers and specialists responsible for decision-making in the implementation of activities that have a negative impact on the environment |
| I3.5.2 | Stimulation in applying green practices | Stimulating supply chain participants’ activities and personnel behavior in implementing “green” principles and technologies to reduce the negative impact on the environment |
| I3.5.3 | Provision of comfortable and environmentally friendly working conditions | Creating favorable conditions of the production environment and labor process, which have an impact on personnel health, working capacity and labor productivity, labor satisfaction, efficiency, and safety of work |
| I3.5.4 | Development of corporate social responsibility | Incentivizing personnel in implementing the CSR strategy |
| № | Green Logistics Instrument | Description |
|---|---|---|
| I4.1.1 | The use of environmentally friendly materials in the construction of warehouses | The use of modern, environmentally friendly, and safe building materials and technologies in the construction of warehouses in accordance with ISO 14024:2018 [237], LEED, BREEAM, DGNB, Green Globes, CASBEE, BEAM, and other standards |
| I4.1.2 | Environmentally sound spatial organization of elements of a warehouse complex | Warehouse design, warehouse space planning, and placement of main elements, considering the requirements of environmental standards and the use of modern safety equipment, as well as the efficiency of loading and unloading and storage operations |
| I4.1.3 | Optimization of warehouse capacity | Analysis of statistical parameters of cargo flows to optimize warehouse capacity and ensure the quality of inventory storage |
| I4.1.4 | The use of renewable energy sources | Utilization of renewable energy sources in the warehouse to reduce greenhouse gas emissions (bioenergy, photovoltaics, concentrated solar energy, geothermal energy, hydropower, ocean energy, and wind energy) |
| I4.1.5 | Thermal insulation of warehouses | Use of special materials and technologies to insulate warehouses to ensure comfortable working conditions for the personnel and reduce the costs of heating the warehouse |
| I4.1.6 | The use of engineering systems of environmental protection | Use of autonomous and centralized engineering systems ensuring maintenance of specified environmental parameters (air conditioning systems, ventilation systems, heating systems, water environment protection systems, energy-saving systems, physical security systems, etc.) |
| I4.2.1 | The use of energy-saving equipment | Application of energy-saving equipment and resource-saving technologies to rationally utilize logistics resources and improve warehouse efficiency |
| I4.2.2 | The use of the handling equipment with minimal impact on the environment | Use of loading and unloading means and devices with minimal environmental impact in the warehouse |
| I4.3.1 | Optimization of loading/unloading and warehouse operations | Regulating the parameters of loading, unloading, and warehousing processes to reduce logistics costs and achieve the SDGs |
| I4.3.2 | Optimization of warehouse transportation | Use of progressive organization of cargo movement between different storage areas in the warehouse to minimize transshipment and optimize intra-warehouse routes |
| I4.3.3 | Mechanization and automation of loading/unloading and storage operations | Mechanization and automation of loading and unloading and warehousing operations to reduce the share of manual processes and operations and increase labor productivity in warehousing operations |
| I4.3.4 | Vehicle engine shutdown during loading and unloading operations | Disabling the vehicle engine during loading and unloading operations to reduce fuel consumption and CO2 emissions |
| I4.3.5 | Selection of environmentally friendly packaging strategies | Developing and using a packaging strategy to prevent damage and loss of goods, efficiently utilize resources, and reduce environmental impact (ISO 18601-06: 2013 [238]) |
| I4.4.1 | Optimization of inventory levels using inventory management systems and modern logistics concepts | Optimization of inventory levels based on the inventory management systems and modern logistics concepts (Just-in-Time, Kanban, Lean Production, etc.) |
| I4.4.2 | Operational control of the parameters of the inventory management system | Operational control of deviations of the actual parameters of the inventory management system from the optimal ones and decision-making to regulate these parameters |
| I4.4.3 | Placement and storage of finished products and waste | Optimal filling of storage space, safe and efficient handling, and warehousing services |
| I4.4.4 | Unitization of party shipment | Consolidation of cargo consignments for efficient use of vehicles and reduction in transportation expenses and harmful emissions into the environment |
| № | Green Logistics Instrument | Description |
|---|---|---|
| I5.1.1 | The selection of environmentally friendly modes of transport | Assessment and selection of transport modes and transport planning systems for efficient transport of goods and reduction in negative environmental impacts |
| I5.1.2 | The use of intermodal technologies and multimodal transport | Use in supply chains of multimodal delivery systems with intermodal technologies based on sequential or parallel advancement of cargo flows by several modes of transportation, and elimination of transshipment operations when transferring cargo from one mode of transportation to another |
| I5.1.3 | Selection of rational basic conditions of delivery | Selection of basic terms of delivery of goods that define the duties, place of transfer of goods, cost, and risks arising in the delivery of goods from sellers to buyers, considering the least negative impact on the environment |
| I5.2.1 | Vehicles with the least impact on the environment | Selection and use of vehicles with the least negative environmental impact throughout the life cycle, including zero-emission vehicles (ZEVs) |
| I5.2.2 | Selection of vehicles with relevant requirements in the field of ecology | Evaluating and selecting vehicles that comply with established environmental regulations and requirements (Euro 1–6) |
| I5.2.3 | Selection of vehicles with larger carrying capacity (cargo capacity) | Selecting a vehicle with a larger payload (cargo capacity) to increase productivity and reduce CO2 emissions |
| I5.2.4 | Environmentally friendly fuels and lubricants (fuels) | Selection and use of fuels, lubricants, and special fluids with improved environmental properties, ensuring reliability and efficiency of vehicle operation |
| I5.3.1 | Provision of technological unity for the transport and warehouse process | Ensuring the technological unity of the transportation and warehousing process by unifying the parameters of vehicles, tare, loading, and unloading means and devices, and places of cargo storage in the warehouse |
| I5.3.2 | Reduction in iterations and links in the supply chain (reduction in transfer and storage points) | Minimize iterations and links in the supply chain (transshipment and storage points) to reduce logistics costs |
| I5.3.3 | An increase in the level of vehicle utilization | Selection of the best ways to load vehicles to optimize the use of vehicle load capacity |
| I5.3.4 | Optimization of the traffic route of vehicle movement | Optimization of vehicle routes to reduce mileage, fuel consumption, save engine life, and reduce pollutant emissions |
| I5.3.5 | Optimization of vehicles’ speed | Selecting vehicle speeds that reduce fuel consumption, emissions, and safety |
| I5.3.6 | Decrease in the reverse empty run | Reducing empty vehicle miles traveled to improve vehicle efficiency and reduce fuel consumption and carbon dioxide emissions |
| I5.3.7 | Eco-driving | Training drivers in vehicle driving techniques that optimize fuel consumption, reduce emissions, and improve safety |
| I5.4.1 | Consolidation of traffic flows to the directions | Consolidation of small jets of material flow (cargo flow) into a powerful jet to increase the efficiency of its transportation using the system of main modes of transportation |
| I5.4.2 | Reducing the frequency of deliveries | Optimization of the frequency and size of deliveries based on the inventory management strategy adopted within the boundaries of a particular logistics system |
| I5.4.3 | Optimization of traffic flow structure | Changing the structure of material flow (cargo flow) during transportation, considering the needs of supply chain elements in material flow |
| I5.4.4 | Operational management of material flows’ parameters to ensure uniform load of transport infrastructure elements and decrease congestion and stocks | Use of various methods of continuous assessment of material flow parameters and their correction in case of deviation from normative values |
| № | Green Logistics Instrument | Description |
|---|---|---|
| I6.1.1 | Needs analysis in the environmental services and products | Using the principles and methods of green marketing to study the market, demand for goods (services), consumer behavior, and competitors to meet consumer demand for environmentally friendly products and services |
| I6.1.2 | Analysis of the readiness of market consumption to use green technologies and solutions | Utilizing a range of different activities to communicate the merits of “green” goods or services to potential consumers and stimulate the consumption of “green” goods or services |
| I6.1.3 | Analysis of a distribution system from the point of view of impact on the environment | Assessment of the distributional system for compliance with the principles of building sustainable supply chains and achieving the SDGs |
| I6.2.1 | Decrease in the use of packaging materials | Rational use of packaging to reduce logistics costs and packaging material volumes |
| I6.2.2 | Eco-friendly packaging materials | Use of eco-friendly packaging materials composed of natural ingredients, as well as materials with ingredients that accelerate their decomposition |
| I6.2.3 | Reusable packaging | Use of reusable and reusable containers and packaging to reduce waste and packaging procurement costs, and to improve the security of cargo delivery |
| I6.2.4 | Accumulation of used packaging and tare, and its further processing | Collection of used containers and packaging for recycling by own forces or under contract with specialized organizations |
| I6.3.1 | Selection of environmentally friendly distribution channels | Assessment and selection of distribution channels that implement environmental policies and incorporate environmentally friendly mechanisms in their operations |
| I6.3.2 | Evaluation and monitoring of the environmental performance of distribution channels | Operational elimination of the distributional system parameters deviations from those set in accordance with the SDGs or ESG strategy |
| I6.3.3 | Formation of channels and distribution networks with minimal impact on the environment | Use of strategy and methods for the formation of the distribution network with minimal environmental impact |
| I6.3.4 | Location of distribution centers with minimal impact on the environment | Green field analysis for distribution centers to reduce logistics costs and reduce negative environmental impact |
| I6.4.1 | Electronic document circulation in the organization of interaction with consumers | Using the system and EDI operator to organize work with documents by forming them electronically, without using paper carriers |
| I6.4.2 | Stimulation of the use of green products and services | Stimulating consumers of products or services whose behavior is based on the concepts of sustainable development, responsible, ethical, and “green” consumption |
| I6.4.3 | The use of eco-labeling | Use of the eco-labeling system to inform consumers about the environmental properties of products or services |
| I6.5.1 | Optimization of reverse flows | Use of methods of handling return material flows, i.e., reuse, recycling, utilization of goods, materials, and wastes |
| I6.5.2 | Extension of product life cycle | Extension of product life cycle based on the use of principles and methods of closed-loop economy and closed-loop supply chain, including defect elimination, repair, restoration, refurbishment, and modernization of products |
| I6.5.3 | Development of corporate social responsibility | Cooperation with various charitable, environmental, volunteer organizations, animal shelters, etc., for the donation of products |
| I6.5.4 | Selling through special shops | Sale of goods and services through specialized stores, including zero-waste stores, online stores, secondhand stores, eco-markets, food sharing, etc. |
| Criteria | Weight | Sub Criteria | Weight | Global Weight |
|---|---|---|---|---|
| Economic criteria (C1) | 0.2538 | C1.1 | 0.75726 | 0.19216 |
| C1.2 | 0.01508 | 0.00383 | ||
| C1.3 | 0.22766 | 0.05777 | ||
| Energy–ecological criteria (C2) | 0.2220 | C2.1 | 0.98622 | 0.21890 |
| C2.2 | 0.01378 | 0.00306 | ||
| Quality criteria (C3) | 0.2474 | C3.1 | 0.44784 | 0.11080 |
| C3.2 | 0.30491 | 0.07544 | ||
| C3.3 | 0.24725 | 0.06117 | ||
| Statistical criteria (C4) | 0.0005 | C4.1 | 0.41160 | 0.00020 |
| C4.2 | 0.32903 | 0.00016 | ||
| C4.3 | 0.17474 | 0.00009 | ||
| C4.4 | 0.08463 | 0.00004 | ||
| Flow’s physical criteria (C5) | 0.2764 | C1.1 | 0.45068 | 0.12456 |
| C2.2 | 0.54476 | 0.15056 | ||
| C3.3 | 0.00456 | 0.00126 |
| Element | GLM/GLI | C1.1 | C1.2 | C1.3 | C2.1 | C2.2 | C3.1 | C3.2 | C3.3 | C4.1 | C4.2 | C4.3 | C4.4 | C5.1 | C5.2 | C5.3 |
|---|---|---|---|---|---|---|---|---|---|---|---|---|---|---|---|---|
| Control element | M1.1 | 2.35 | 2.93 | 2.17 | 3.03 | 3.90 | 1.64 | 1.52 | 1.78 | 1.32 | 1.15 | 1.15 | 1.32 | 1.64 | 1.43 | 1.64 |
| I1.1.1 | 3.064 | 3.245 | 2.297 | 3.776 | 4.129 | 2.825 | 3.178 | 3.519 | 2.352 | 2.221 | 2.297 | 2.297 | 1.516 | 2.551 | 3.366 | |
| I1.1.2 | 2.169 | 2.000 | 1.741 | 2.930 | 3.519 | 2.702 | 2.702 | 2.993 | 2.491 | 2.551 | 2.702 | 2.702 | 1.516 | 2.352 | 2.048 | |
| I1.1.3 | 2.993 | 3.519 | 3.594 | 3.245 | 4.317 | 2.825 | 2.825 | 3.519 | 2.702 | 2.930 | 2.862 | 2.862 | 2.169 | 3.104 | 3.438 | |
| I1.1.4 | 2.702 | 2.862 | 3.981 | 3.594 | 4.317 | 2.605 | 2.825 | 3.641 | 2.862 | 3.031 | 2.639 | 2.639 | 1.644 | 2.862 | 4.076 | |
| M1.2 | 3.52 | 3.25 | 3.73 | 3.10 | 2.49 | 2.83 | 3.52 | 3.98 | 3.44 | 2.70 | 2.55 | 2.70 | 2.70 | 3.37 | 1.89 | |
| I1.2.1 | 2.825 | 3.288 | 2.169 | 2.551 | 2.930 | 2.048 | 2.702 | 2.605 | 2.352 | 2.048 | 2.048 | 2.048 | 1.644 | 2.460 | 1.783 | |
| I1.2.2 | 2.551 | 2.639 | 2.352 | 2.702 | 2.491 | 2.352 | 3.565 | 3.807 | 2.352 | 2.551 | 2.048 | 1.888 | 1.516 | 3.129 | 1.888 | |
| I1.2.3 | 2.169 | 2.702 | 1.741 | 2.352 | 3.245 | 1.149 | 1.320 | 1.783 | 1.320 | 1.320 | 1.320 | 1.320 | 1.888 | 1.783 | 1.644 | |
| I1.2.4 | 1.888 | 2.169 | 1.888 | 2.048 | 3.680 | 1.644 | 1.516 | 1.516 | 1.320 | 1.320 | 1.320 | 1.320 | 1.644 | 1.888 | 1.516 | |
| I1.2.5 | 2.862 | 3.565 | 2.352 | 3.641 | 3.438 | 2.169 | 1.516 | 2.702 | 2.352 | 2.605 | 1.888 | 2.000 | 2.639 | 2.048 | 2.605 | |
| I1.2.6 | 3.519 | 3.728 | 2.639 | 3.807 | 4.129 | 1.516 | 1.320 | 2.221 | 2.268 | 2.402 | 1.974 | 2.091 | 2.993 | 1.783 | 2.268 | |
| M1.3 | 2.70 | 3.10 | 3.90 | 2.40 | 2.17 | 3.13 | 3.59 | 3.59 | 3.29 | 2.22 | 2.30 | 2.17 | 1.52 | 3.10 | 1.74 | |
| I1.3.1 | 2.825 | 3.104 | 2.551 | 3.438 | 3.594 | 2.000 | 1.320 | 2.766 | 1.974 | 2.091 | 1.974 | 2.091 | 2.402 | 1.783 | 1.974 | |
| I1.3.2 | 1.888 | 2.048 | 1.149 | 1.741 | 1.888 | 1.149 | 1.149 | 1.741 | 1.320 | 1.516 | 1.431 | 1.516 | 2.000 | 1.644 | 2.169 | |
| I1.3.3 | 2.766 | 2.702 | 1.888 | 1.516 | 2.048 | 1.888 | 1.516 | 2.221 | 1.644 | 2.491 | 2.048 | 2.169 | 2.048 | 1.888 | 2.491 | |
| M1.4 | 3.73 | 3.68 | 4.13 | 3.73 | 3.29 | 3.73 | 4.13 | 4.32 | 3.59 | 3.13 | 3.17 | 3.17 | 2.35 | 4.32 | 3.73 | |
| I1.4.1 | 2.352 | 2.930 | 2.169 | 3.031 | 3.898 | 1.644 | 1.516 | 1.783 | 1.320 | 1.149 | 1.149 | 1.320 | 1.644 | 1.431 | 1.644 | |
| I1.4.2 | 2.352 | 2.297 | 2.141 | 3.031 | 3.807 | 1.644 | 1.516 | 1.933 | 1.320 | 1.246 | 1.149 | 1.320 | 1.783 | 1.552 | 1.888 | |
| I1.4.3 | 2.048 | 2.766 | 1.644 | 2.639 | 3.594 | 1.644 | 1.516 | 1.888 | 1.320 | 1.149 | 1.149 | 1.320 | 1.644 | 1.431 | 1.644 | |
| I1.4.4 | 2.352 | 2.352 | 1.320 | 2.169 | 2.930 | 1.888 | 1.741 | 1.644 | 1.516 | 1.431 | 1.431 | 1.431 | 1.149 | 1.149 | 1.149 | |
| M1.5 | 3.44 | 3.73 | 4.08 | 3.29 | 3.29 | 3.52 | 3.73 | 3.76 | 3.59 | 3.44 | 3.03 | 3.03 | 2.55 | 3.90 | 2.86 | |
| I1.5.1 | 2.460 | 2.402 | 2.268 | 2.491 | 2.993 | 2.091 | 1.821 | 1.974 | 1.741 | 1.431 | 1.431 | 1.431 | 1.320 | 1.320 | 1.149 | |
| I1.5.2 | 3.519 | 3.245 | 3.728 | 3.104 | 2.491 | 2.825 | 3.519 | 3.981 | 3.438 | 2.702 | 2.551 | 2.702 | 2.702 | 3.366 | 1.888 | |
| I1.5.3 | 3.519 | 2.993 | 3.438 | 2.825 | 2.551 | 2.825 | 3.323 | 4.317 | 3.438 | 3.064 | 2.551 | 2.551 | 2.402 | 2.491 | 1.888 | |
| I1.5.4 | 2.930 | 2.702 | 3.438 | 2.402 | 2.352 | 2.352 | 2.702 | 4.317 | 3.438 | 2.551 | 2.352 | 2.352 | 2.000 | 2.702 | 2.169 | |
| Input element | M2.1 | 3.59 | 3.39 | 3.32 | 2.05 | 2.49 | 1.78 | 2.64 | 2.55 | 2.77 | 2.86 | 2.77 | 2.22 | 2.99 | 2.49 | 2.83 |
| I2.1.1 | 3.807 | 3.438 | 2.491 | 2.993 | 2.000 | 2.605 | 3.807 | 2.551 | 3.366 | 2.862 | 3.178 | 2.551 | 2.352 | 2.639 | 3.245 | |
| I2.1.2 | 4.129 | 3.898 | 2.702 | 2.605 | 2.169 | 2.000 | 2.048 | 2.352 | 2.702 | 2.551 | 2.862 | 2.169 | 2.759 | 2.268 | 2.491 | |
| I2.1.3 | 3.680 | 3.898 | 3.170 | 2.862 | 1.888 | 2.048 | 2.221 | 3.104 | 2.825 | 2.993 | 3.245 | 2.221 | 2.702 | 2.702 | 2.491 | |
| I2.1.4 | 3.064 | 2.930 | 2.862 | 2.702 | 2.169 | 1.431 | 1.888 | 2.352 | 2.169 | 2.000 | 2.352 | 1.783 | 2.491 | 2.993 | 2.091 | |
| M2.2 | 3.10 | 4.00 | 2.35 | 2.70 | 4.13 | 1.64 | 1.32 | 1.64 | 1.52 | 2.70 | 2.49 | 2.49 | 2.55 | 2.35 | 2.14 | |
| I2.2.1 | 3.104 | 4.000 | 1.783 | 2.702 | 3.758 | 1.000 | 1.000 | 1.149 | 1.149 | 2.702 | 2.048 | 2.639 | 2.169 | 1.888 | 2.759 | |
| I2.2.2 | 3.807 | 4.317 | 2.048 | 3.594 | 4.317 | 1.516 | 1.516 | 1.431 | 1.320 | 2.702 | 2.169 | 2.491 | 3.288 | 2.551 | 2.724 | |
| I2.2.3 | 2.048 | 2.551 | 1.888 | 2.000 | 1.821 | 1.888 | 1.431 | 1.516 | 1.431 | 1.933 | 1.320 | 1.320 | 1.320 | 1.431 | 1.552 | |
| M2.3 | 3.29 | 3.37 | 2.17 | 2.77 | 3.29 | 3.48 | 4.57 | 3.95 | 3.44 | 2.49 | 2.93 | 2.77 | 2.17 | 2.61 | 4.13 | |
| I2.3.1 | 2.551 | 2.702 | 1.741 | 2.221 | 3.641 | 2.352 | 2.402 | 2.091 | 1.888 | 2.221 | 2.048 | 2.169 | 1.644 | 2.169 | 4.183 | |
| I2.3.2 | 3.898 | 4.317 | 1.741 | 3.519 | 3.129 | 3.565 | 4.317 | 4.183 | 3.807 | 2.862 | 3.366 | 3.000 | 2.169 | 2.759 | 4.782 | |
| M2.4 | 4.13 | 4.37 | 2.41 | 3.29 | 3.10 | 3.90 | 4.32 | 4.32 | 4.13 | 3.37 | 3.57 | 3.57 | 2.86 | 3.10 | 2.86 | |
| I2.4.1 | 4.317 | 4.573 | 2.862 | 3.680 | 3.482 | 3.104 | 2.702 | 3.288 | 2.825 | 2.862 | 2.408 | 2.551 | 4.782 | 3.064 | 2.221 | |
| I2.4.2 | 3.129 | 4.129 | 2.352 | 3.245 | 3.245 | 2.930 | 3.288 | 3.776 | 3.728 | 4.076 | 3.565 | 3.594 | 3.565 | 2.862 | 2.993 | |
| I2.4.3 | 2.491 | 3.104 | 2.352 | 2.352 | 2.702 | 2.551 | 2.862 | 4.076 | 2.993 | 2.169 | 1.888 | 2.048 | 1.516 | 2.667 | 1.431 | |
| I2.4.4 | 3.245 | 3.438 | 2.825 | 3.366 | 5.000 | 2.551 | 2.862 | 2.048 | 2.825 | 2.993 | 2.605 | 2.605 | 2.297 | 2.491 | 3.728 | |
| I2.4.5 | 3.438 | 3.728 | 2.000 | 3.104 | 3.482 | 2.352 | 2.639 | 4.129 | 4.129 | 4.129 | 3.366 | 3.064 | 3.104 | 3.565 | 2.169 | |
| Processing element | M3.1 | 3.39 | 4.13 | 2.55 | 3.31 | 4.08 | 1.43 | 1.32 | 1.32 | 1.74 | 2.83 | 2.22 | 2.22 | 3.03 | 1.78 | 2.17 |
| I3.1.1 | 3.393 | 4.573 | 2.605 | 3.466 | 3.314 | 1.380 | 1.149 | 1.149 | 1.516 | 2.352 | 1.933 | 2.048 | 2.048 | 2.169 | 1.888 | |
| I3.1.2 | 2.993 | 3.949 | 2.766 | 3.170 | 3.898 | 1.516 | 1.320 | 1.149 | 1.516 | 2.825 | 2.352 | 2.221 | 2.862 | 1.888 | 1.888 | |
| I3.1.3 | 3.129 | 4.317 | 2.352 | 3.393 | 4.317 | 1.149 | 1.320 | 1.320 | 1.644 | 2.221 | 2.048 | 2.048 | 2.759 | 2.048 | 2.268 | |
| M3.2 | 3.10 | 3.57 | 3.98 | 3.59 | 4.78 | 1.74 | 1.74 | 1.78 | 1.89 | 1.78 | 1.78 | 1.64 | 2.35 | 2.22 | 2.05 | |
| I3.2.1 | 3.288 | 3.949 | 3.981 | 3.981 | 4.317 | 1.516 | 1.516 | 1.431 | 1.644 | 1.516 | 1.431 | 1.644 | 2.491 | 2.169 | 2.048 | |
| I3.2.2 | 2.862 | 3.178 | 3.981 | 3.594 | 5.000 | 1.149 | 1.320 | 1.320 | 1.320 | 1.431 | 1.320 | 1.320 | 1.516 | 1.888 | 1.888 | |
| I3.2.3 | 2.551 | 3.178 | 3.641 | 3.393 | 4.514 | 1.516 | 1.149 | 1.644 | 1.516 | 1.320 | 1.149 | 1.516 | 1.644 | 1.741 | 1.741 | |
| I3.2.4 | 4.076 | 4.076 | 2.491 | 3.594 | 4.129 | 1.431 | 1.644 | 2.169 | 2.169 | 2.460 | 2.460 | 1.888 | 3.178 | 2.169 | 2.169 | |
| M3.3 | 3.68 | 3.90 | 3.18 | 3.44 | 4.08 | 1.15 | 1.32 | 2.55 | 2.22 | 2.70 | 2.22 | 2.70 | 3.29 | 2.49 | 2.76 | |
| I3.3.1 | 2.993 | 3.641 | 2.091 | 3.314 | 3.758 | 1.149 | 1.320 | 2.048 | 2.352 | 2.352 | 2.221 | 2.221 | 2.605 | 1.644 | 1.974 | |
| I3.3.2 | 3.898 | 3.898 | 2.352 | 3.641 | 4.317 | 1.149 | 1.516 | 2.702 | 2.702 | 3.064 | 2.221 | 2.491 | 3.594 | 2.169 | 2.993 | |
| I3.3.3 | 2.702 | 3.949 | 3.438 | 3.807 | 4.317 | 1.149 | 1.320 | 1.888 | 2.048 | 2.169 | 2.221 | 2.169 | 2.491 | 2.352 | 1.888 | |
| M3.4 | 3.52 | 4.13 | 2.27 | 3.39 | 3.13 | 1.89 | 2.70 | 3.64 | 3.03 | 2.99 | 2.64 | 3.03 | 3.37 | 3.44 | 2.86 | |
| I3.4.1 | 3.314 | 3.519 | 2.169 | 3.104 | 3.245 | 1.888 | 2.825 | 3.641 | 3.170 | 2.605 | 2.639 | 2.639 | 3.728 | 3.170 | 3.170 | |
| I3.4.2 | 2.702 | 3.519 | 1.585 | 3.594 | 3.594 | 1.644 | 1.552 | 2.862 | 2.862 | 2.221 | 2.048 | 2.408 | 2.297 | 2.000 | 2.297 | |
| I3.4.3 | 2.825 | 3.519 | 2.460 | 3.129 | 3.807 | 1.149 | 1.149 | 1.149 | 1.149 | 1.516 | 1.320 | 1.644 | 1.644 | 1.320 | 1.516 | |
| M3.5 | 3.25 | 4.00 | 1.89 | 3.06 | 3.17 | 1.43 | 1.55 | 2.05 | 1.52 | 1.64 | 1.52 | 1.64 | 1.52 | 1.78 | 1.32 | |
| I3.5.1 | 2.702 | 3.565 | 1.320 | 2.825 | 3.129 | 1.320 | 1.320 | 2.000 | 1.741 | 1.516 | 1.516 | 1.644 | 1.516 | 1.644 | 1.320 | |
| I3.5.2 | 2.702 | 3.366 | 1.149 | 3.245 | 3.728 | 1.644 | 1.741 | 2.169 | 2.048 | 2.000 | 1.888 | 1.888 | 1.644 | 1.644 | 1.431 | |
| I3.5.3 | 2.352 | 3.949 | 2.825 | 3.104 | 2.862 | 1.516 | 1.516 | 1.783 | 1.783 | 1.741 | 1.644 | 1.644 | 1.516 | 1.516 | 1.516 | |
| I3.5.4 | 2.352 | 3.366 | 1.320 | 2.297 | 2.169 | 2.297 | 2.297 | 2.000 | 1.741 | 1.431 | 1.320 | 1.320 | 1.320 | 1.320 | 1.320 | |
| Cumulative element | M4.1 | 2.49 | 3.95 | 4.57 | 3.81 | 3.39 | 2.27 | 2.05 | 2.09 | 2.00 | 1.89 | 1.78 | 1.64 | 2.35 | 2.35 | 1.78 |
| I4.1.1 | 2.491 | 3.949 | 4.573 | 3.807 | 3.393 | 2.268 | 2.048 | 2.091 | 2.000 | 1.888 | 1.783 | 1.644 | 2.352 | 2.352 | 1.783 | |
| I4.1.2 | 1.741 | 3.104 | 4.373 | 2.724 | 2.091 | 1.149 | 1.149 | 1.000 | 1.000 | 1.000 | 1.000 | 1.000 | 1.149 | 1.000 | 1.000 | |
| I4.1.3 | 1.741 | 2.702 | 4.076 | 2.460 | 2.825 | 1.431 | 1.741 | 1.741 | 1.516 | 1.516 | 1.516 | 1.516 | 2.169 | 2.491 | 1.821 | |
| I4.1.4 | 2.930 | 2.930 | 3.758 | 2.702 | 2.352 | 2.169 | 2.605 | 2.825 | 2.862 | 2.825 | 2.268 | 2.091 | 3.129 | 2.491 | 1.888 | |
| I4.1.5 | 3.728 | 3.728 | 3.949 | 3.641 | 4.782 | 1.149 | 1.149 | 1.000 | 1.000 | 1.000 | 1.000 | 1.000 | 1.000 | 1.000 | 1.000 | |
| I4.1.6 | 2.491 | 2.825 | 3.680 | 3.949 | 3.393 | 3.680 | 1.320 | 1.149 | 1.320 | 1.149 | 1.000 | 1.000 | 1.149 | 1.320 | 1.149 | |
| M4.2 | 2.64 | 3.39 | 4.13 | 4.18 | 4.16 | 1.52 | 1.43 | 1.52 | 1.32 | 1.43 | 1.32 | 1.32 | 1.43 | 1.43 | 1.15 | |
| I4.2.1 | 2.000 | 2.825 | 3.949 | 3.366 | 3.949 | 1.741 | 1.431 | 1.741 | 1.320 | 1.149 | 1.000 | 1.000 | 1.000 | 1.000 | 1.000 | |
| I4.2.2 | 2.639 | 3.393 | 4.129 | 4.183 | 4.163 | 1.516 | 1.431 | 1.516 | 1.320 | 1.431 | 1.320 | 1.320 | 1.431 | 1.431 | 1.149 | |
| M4.3 | 2.83 | 3.95 | 3.44 | 3.57 | 3.57 | 2.99 | 3.10 | 3.02 | 3.59 | 3.17 | 2.64 | 2.17 | 1.89 | 3.25 | 1.32 | |
| I4.3.1 | 3.519 | 3.680 | 4.129 | 4.373 | 4.782 | 1.516 | 1.320 | 1.246 | 1.149 | 1.000 | 1.000 | 1.000 | 1.246 | 1.149 | 1.000 | |
| I4.3.2 | 2.702 | 3.245 | 3.949 | 3.949 | 5.000 | 1.585 | 1.516 | 1.320 | 1.246 | 1.320 | 1.149 | 1.149 | 1.246 | 1.246 | 1.149 | |
| I4.3.3 | 2.825 | 3.949 | 3.438 | 3.565 | 3.565 | 2.993 | 3.104 | 3.017 | 3.594 | 3.170 | 2.639 | 2.169 | 1.888 | 3.245 | 1.320 | |
| I4.3.4 | 3.519 | 4.129 | 2.605 | 3.519 | 3.170 | 3.129 | 2.759 | 2.885 | 2.885 | 3.170 | 2.605 | 2.091 | 1.821 | 2.402 | 1.585 | |
| I4.3.5 | 2.862 | 4.129 | 1.644 | 2.993 | 3.104 | 2.512 | 2.402 | 3.129 | 3.245 | 2.862 | 3.031 | 2.169 | 2.000 | 3.245 | 1.821 | |
| M4.4 | 3.90 | 4.13 | 2.49 | 3.73 | 2.99 | 3.44 | 4.13 | 3.98 | 3.98 | 4.32 | 3.81 | 3.59 | 3.06 | 3.98 | 2.51 | |
| I4.4.1 | 4.129 | 4.317 | 4.373 | 3.178 | 3.104 | 3.129 | 3.245 | 3.129 | 2.993 | 2.221 | 2.551 | 2.221 | 1.741 | 3.594 | 1.821 | |
| I4.4.2 | 2.702 | 3.641 | 1.320 | 3.776 | 4.782 | 1.149 | 1.246 | 1.431 | 1.149 | 1.246 | 1.246 | 1.149 | 1.149 | 1.320 | 1.149 | |
| I4.4.3 | 2.402 | 2.667 | 1.783 | 2.702 | 3.641 | 1.644 | 1.783 | 1.888 | 1.320 | 1.320 | 1.320 | 1.320 | 1.320 | 1.320 | 1.320 | |
| I4.4.4 | 3.898 | 4.129 | 2.491 | 3.728 | 2.993 | 3.438 | 4.129 | 3.981 | 3.981 | 4.317 | 3.807 | 3.594 | 3.064 | 3.981 | 2.512 | |
| Transport element | M5.1 | 3.73 | 4.13 | 3.31 | 4.08 | 4.13 | 3.78 | 3.57 | 3.73 | 3.10 | 3.10 | 2.93 | 2.86 | 1.89 | 2.99 | 2.89 |
| I5.1.1 | 4.317 | 3.898 | 2.402 | 4.129 | 3.129 | 3.438 | 3.017 | 3.017 | 3.017 | 2.885 | 2.885 | 2.605 | 2.825 | 2.885 | 1.821 | |
| I5.1.2 | 3.758 | 3.758 | 1.644 | 3.366 | 2.702 | 3.064 | 3.129 | 3.758 | 2.885 | 2.885 | 2.512 | 2.091 | 2.268 | 2.885 | 1.821 | |
| I5.1.3 | 2.639 | 2.862 | 2.352 | 2.352 | 2.297 | 3.031 | 2.352 | 2.048 | 2.551 | 2.702 | 2.408 | 2.702 | 2.702 | 2.297 | 2.352 | |
| M5.2 | 2.86 | 3.25 | 3.47 | 4.08 | 4.57 | 2.17 | 2.35 | 1.89 | 2.00 | 1.74 | 2.00 | 1.89 | 1.74 | 2.35 | 1.52 | |
| I5.2.1 | 3.245 | 3.393 | 1.431 | 2.825 | 2.402 | 3.519 | 3.898 | 3.807 | 3.641 | 3.898 | 3.594 | 3.393 | 3.898 | 3.594 | 2.268 | |
| I5.2.2 | 3.728 | 4.129 | 3.314 | 4.076 | 4.129 | 3.776 | 3.565 | 3.728 | 3.104 | 3.104 | 2.930 | 2.862 | 1.888 | 2.993 | 2.885 | |
| I5.2.3 | 3.064 | 3.064 | 3.758 | 4.129 | 4.514 | 2.352 | 2.491 | 2.169 | 1.888 | 2.169 | 2.000 | 1.888 | 1.644 | 2.048 | 1.974 | |
| I5.2.4 | 3.594 | 4.076 | 3.104 | 3.898 | 3.807 | 3.245 | 3.728 | 3.949 | 3.438 | 3.170 | 2.862 | 2.639 | 1.644 | 3.178 | 3.728 | |
| M5.3 | 3.31 | 3.90 | 3.13 | 3.25 | 3.37 | 3.17 | 3.76 | 3.31 | 3.31 | 3.17 | 3.17 | 2.89 | 2.49 | 3.47 | 3.47 | |
| I5.3.1 | 3.129 | 3.170 | 2.352 | 3.031 | 3.288 | 3.482 | 3.366 | 3.728 | 2.930 | 3.288 | 3.104 | 2.702 | 1.741 | 3.178 | 3.323 | |
| I5.3.2 | 2.862 | 3.245 | 3.466 | 4.076 | 4.573 | 2.169 | 2.352 | 1.888 | 2.000 | 1.741 | 2.000 | 1.888 | 1.741 | 2.352 | 1.516 | |
| I5.3.3 | 2.352 | 2.930 | 3.314 | 3.758 | 4.514 | 1.644 | 1.783 | 1.741 | 1.741 | 1.888 | 1.741 | 1.516 | 1.516 | 2.551 | 1.644 | |
| I5.3.4 | 2.352 | 2.702 | 2.885 | 3.314 | 4.317 | 1.431 | 1.644 | 1.320 | 1.320 | 1.431 | 1.320 | 1.320 | 1.149 | 1.888 | 1.320 | |
| I5.3.5 | 3.288 | 2.993 | 3.466 | 4.129 | 3.898 | 2.268 | 1.974 | 1.644 | 2.297 | 2.268 | 2.169 | 1.783 | 2.402 | 2.460 | 1.644 | |
| I5.3.6 | 3.170 | 3.898 | 1.644 | 3.393 | 3.758 | 1.149 | 1.149 | 1.320 | 1.149 | 1.149 | 1.149 | 1.149 | 1.149 | 1.320 | 1.149 | |
| I5.3.7 | 3.314 | 3.898 | 3.129 | 3.245 | 3.366 | 3.170 | 3.758 | 3.314 | 3.314 | 3.170 | 3.170 | 2.885 | 2.491 | 3.466 | 3.466 | |
| M5.4 | 3.13 | 3.64 | 2.41 | 3.29 | 2.86 | 2.35 | 3.44 | 3.90 | 3.17 | 3.47 | 3.31 | 3.47 | 3.31 | 3.47 | 3.10 | |
| I5.4.1 | 3.314 | 3.565 | 2.605 | 3.245 | 2.862 | 3.898 | 3.898 | 3.641 | 3.641 | 3.641 | 3.438 | 3.245 | 2.352 | 3.641 | 2.702 | |
| I5.4.2 | 3.314 | 3.594 | 2.702 | 3.519 | 3.104 | 2.993 | 3.898 | 3.949 | 3.641 | 3.641 | 3.641 | 3.594 | 2.352 | 4.129 | 4.129 | |
| I5.4.3 | 3.104 | 3.594 | 1.974 | 3.366 | 3.104 | 2.491 | 2.993 | 2.268 | 2.402 | 2.297 | 2.297 | 2.169 | 3.245 | 2.759 | 1.644 | |
| I5.4.4 | 3.393 | 3.728 | 1.888 | 3.519 | 3.728 | 2.825 | 4.076 | 3.641 | 3.641 | 2.993 | 3.438 | 2.954 | 2.048 | 4.129 | 4.782 | |
| Output element | M6.1 | 2.46 | 2.70 | 1.55 | 2.22 | 1.89 | 1.32 | 1.32 | 2.05 | 1.78 | 1.64 | 1.55 | 1.43 | 1.52 | 1.89 | 1.74 |
| I6.1.1 | 2.352 | 2.993 | 1.644 | 3.178 | 3.104 | 2.169 | 3.565 | 3.438 | 2.551 | 2.000 | 1.516 | 1.888 | 1.320 | 4.573 | 1.320 | |
| I6.1.2 | 2.993 | 3.898 | 1.888 | 3.104 | 4.183 | 1.516 | 2.000 | 2.605 | 1.888 | 1.741 | 1.431 | 1.783 | 2.297 | 1.974 | 3.594 | |
| I6.1.3 | 2.000 | 2.702 | 1.644 | 3.245 | 3.519 | 1.516 | 1.888 | 2.639 | 1.888 | 1.552 | 1.320 | 1.320 | 1.149 | 2.491 | 1.246 | |
| M6.2 | 2.86 | 3.52 | 2.17 | 3.29 | 3.90 | 2.99 | 2.05 | 2.35 | 1.89 | 2.00 | 1.64 | 1.74 | 2.86 | 1.89 | 1.43 | |
| I6.2.1 | 3.129 | 3.641 | 2.408 | 3.288 | 2.862 | 2.352 | 3.438 | 3.898 | 3.170 | 3.466 | 3.314 | 3.466 | 3.314 | 3.466 | 3.104 | |
| I6.2.2 | 2.702 | 3.594 | 2.352 | 3.565 | 3.245 | 2.221 | 3.288 | 3.898 | 3.393 | 3.594 | 3.393 | 3.129 | 3.393 | 3.807 | 3.438 | |
| I6.2.3 | 2.297 | 3.438 | 2.221 | 3.565 | 2.862 | 1.888 | 3.898 | 3.245 | 3.758 | 3.393 | 3.314 | 2.352 | 3.949 | 3.981 | 2.169 | |
| I6.2.4 | 2.702 | 3.594 | 2.268 | 3.031 | 2.862 | 2.352 | 3.288 | 3.728 | 2.993 | 3.949 | 3.031 | 3.438 | 3.064 | 3.314 | 1.644 | |
| M6.3 | 3.59 | 3.10 | 2.83 | 2.99 | 2.89 | 2.30 | 2.99 | 3.59 | 3.31 | 2.86 | 2.99 | 2.70 | 1.97 | 2.99 | 3.81 | |
| I6.3.1 | 3.129 | 3.680 | 1.888 | 3.031 | 2.993 | 2.759 | 3.680 | 3.898 | 3.438 | 3.438 | 2.993 | 2.993 | 3.438 | 4.317 | 3.031 | |
| I6.3.2 | 2.460 | 2.702 | 1.552 | 2.221 | 1.888 | 1.320 | 1.320 | 2.048 | 1.783 | 1.644 | 1.552 | 1.431 | 1.516 | 1.888 | 1.741 | |
| I6.3.3 | 2.048 | 2.491 | 1.516 | 2.048 | 2.141 | 1.149 | 1.149 | 1.552 | 1.431 | 1.552 | 1.431 | 1.431 | 1.644 | 1.888 | 1.644 | |
| I6.3.4 | 1.888 | 2.169 | 1.552 | 2.221 | 1.933 | 1.149 | 1.320 | 1.552 | 1.320 | 1.431 | 1.431 | 1.431 | 1.320 | 1.516 | 1.320 | |
| M6.4 | 2.83 | 3.29 | 2.17 | 2.55 | 2.93 | 2.05 | 2.70 | 2.61 | 2.35 | 2.05 | 2.05 | 2.05 | 1.64 | 2.46 | 1.78 | |
| I6.4.1 | 2.169 | 2.491 | 1.320 | 2.352 | 2.460 | 1.516 | 1.644 | 1.783 | 1.431 | 1.644 | 1.431 | 1.431 | 1.516 | 1.644 | 1.320 | |
| I6.4.2 | 2.862 | 3.519 | 2.169 | 3.288 | 3.898 | 2.993 | 2.048 | 2.352 | 1.888 | 2.000 | 1.644 | 1.741 | 2.862 | 1.888 | 1.431 | |
| I6.4.3 | 3.323 | 3.323 | 1.888 | 3.104 | 3.898 | 2.724 | 2.000 | 2.551 | 1.783 | 1.644 | 1.516 | 1.320 | 3.104 | 1.888 | 1.149 | |
| M6.5 | 2.86 | 3.57 | 2.35 | 3.64 | 3.44 | 2.17 | 1.52 | 2.70 | 2.35 | 2.61 | 1.89 | 2.00 | 2.64 | 2.05 | 2.61 | |
| I6.5.1 | 2.402 | 2.605 | 1.741 | 3.104 | 3.898 | 2.605 | 1.644 | 1.741 | 1.644 | 1.644 | 1.516 | 1.516 | 2.297 | 1.644 | 1.149 | |
| I6.5.2 | 3.438 | 3.245 | 1.741 | 3.438 | 3.594 | 3.129 | 1.741 | 2.491 | 2.048 | 2.169 | 2.000 | 1.516 | 2.930 | 2.048 | 1.741 | |
| I6.5.3 | 3.104 | 3.949 | 2.297 | 3.482 | 3.898 | 1.644 | 1.320 | 1.783 | 2.048 | 2.402 | 2.169 | 2.000 | 2.605 | 2.048 | 2.352 | |
| I6.5.4 | 3.594 | 3.104 | 2.825 | 2.993 | 2.885 | 2.297 | 2.993 | 3.594 | 3.314 | 2.862 | 2.993 | 2.702 | 1.974 | 2.993 | 3.807 |
| Green Logistics Methods | Rank | ||
|---|---|---|---|
| TOPSIS | MABAC | MARCOS | |
| M1.1 | 25 | 24 | 24 |
| M1.2 | 6 | 4 | 5 |
| M1.3 | 10 | 6 | 7 |
| M1.4 | 5 | 3 | 3 |
| M1.5 | 4 | 5 | 4 |
| M2.1 | 9 | 7 | 9 |
| M2.2 | 18 | 18 | 21 |
| M2.3 | 14 | 14 | 15 |
| M2.4 | 1 | 1 | 1 |
| M3.1 | 19 | 20 | 19 |
| M3.2 | 17 | 19 | 18 |
| M3.3 | 22 | 22 | 22 |
| M3.4 | 3 | 8 | 8 |
| M3.5 | 23 | 23 | 25 |
| M4.1 | 27 | 27 | 27 |
| M4.2 | 26 | 26 | 26 |
| M4.3 | 13 | 12 | 12 |
| M4.4 | 8 | 9 | 6 |
| M5.1 | 21 | 17 | 16 |
| M5.2 | 24 | 25 | 23 |
| M5.3 | 2 | 2 | 2 |
| M5.4 | 7 | 10 | 10 |
| M6.1 | 20 | 21 | 20 |
| M6.2 | 11 | 13 | 13 |
| M6.3 | 15 | 15 | 14 |
| M6.4 | 12 | 11 | 11 |
| M6.5 | 16 | 16 | 17 |
| Green Logistics Instrument | Rank | ||
|---|---|---|---|
| TOPSIS | MABAC | MARCOS | |
| I1.1.1 | 9 | 9 | 8 |
| I1.1.2 | 10 | 11 | 12 |
| I1.1.3 | 4 | 4 | 3 |
| I1.1.4 | 8 | 7 | 6 |
| I1.2.1 | 7 | 8 | 9 |
| I1.2.2 | 5 | 5 | 5 |
| I1.2.3 | 16 | 17 | 17 |
| I1.2.4 | 14 | 15 | 14 |
| I1.2.5 | 13 | 12 | 11 |
| I1.2.6 | 11 | 10 | 10 |
| I1.3.1 | 15 | 13 | 13 |
| I1.3.2 | 12 | 16 | 16 |
| I1.3.3 | 6 | 6 | 7 |
| I1.4.1 | 21 | 20 | 20 |
| I1.4.2 | 20 | 19 | 18 |
| I1.4.3 | 19 | 21 | 21 |
| I1.4.4 | 17 | 18 | 19 |
| I1.5.1 | 18 | 14 | 15 |
| I1.5.2 | 1 | 1 | 1 |
| I1.5.3 | 2 | 2 | 2 |
| I1.5.4 | 3 | 3 | 4 |
| Green Logistics Instrument | Rank | ||
|---|---|---|---|
| TOPSIS | MABAC | MARCOS | |
| I2.1.1 | 5 | 5 | 5 |
| I2.1.2 | 6 | 3 | 7 |
| I2.1.3 | 7 | 4 | 6 |
| I2.1.4 | 9 | 9 | 9 |
| I2.2.1 | 14 | 14 | 14 |
| I2.2.2 | 11 | 12 | 12 |
| I2.2.3 | 13 | 13 | 13 |
| I2.3.1 | 12 | 11 | 11 |
| I2.3.2 | 4 | 6 | 2 |
| I2.4.1 | 1 | 1 | 1 |
| I2.4.2 | 2 | 7 | 4 |
| I2.4.3 | 8 | 8 | 8 |
| I2.4.4 | 10 | 10 | 10 |
| I2.4.5 | 3 | 2 | 3 |
| Green Logistics Instrument | Rank | ||
|---|---|---|---|
| TOPSIS | MABAC | MARCOS | |
| I3.1.1 | 9 | 7 | 9 |
| I3.1.2 | 6 | 5 | 6 |
| I3.1.3 | 7 | 8 | 7 |
| I3.2.1 | 4 | 6 | 5 |
| I3.2.2 | 14 | 16 | 15 |
| I3.2.3 | 15 | 14 | 13 |
| I3.2.4 | 2 | 2 | 2 |
| I3.3.1 | 11 | 10 | 11 |
| I3.3.2 | 3 | 3 | 3 |
| I3.3.3 | 8 | 12 | 10 |
| I3.4.1 | 1 | 1 | 1 |
| I3.4.2 | 10 | 9 | 8 |
| I3.4.3 | 17 | 17 | 17 |
| I3.5.1 | 12 | 13 | 14 |
| I3.5.2 | 13 | 11 | 12 |
| I3.5.3 | 16 | 15 | 16 |
| I3.5.4 | 5 | 4 | 4 |
| Green Logistics Instrument | Rank | ||
|---|---|---|---|
| TOPSIS | MABAC | MARCOS | |
| I4.1.1 | 7 | 8 | 7 |
| I4.1.2 | 13 | 12 | 15 |
| I4.1.3 | 8 | 7 | 8 |
| I4.1.4 | 3 | 3 | 3 |
| I4.1.5 | 10 | 11 | 12 |
| I4.1.6 | 9 | 10 | 10 |
| I4.2.1 | 16 | 15 | 16 |
| I4.2.2 | 14 | 16 | 13 |
| I4.3.1 | 12 | 13 | 11 |
| I4.3.2 | 15 | 14 | 14 |
| I4.3.3 | 4 | 5 | 4 |
| I4.3.4 | 6 | 6 | 6 |
| I4.3.5 | 5 | 4 | 5 |
| I4.4.1 | 2 | 2 | 2 |
| I4.4.2 | 17 | 17 | 17 |
| I4.4.3 | 11 | 9 | 9 |
| I4.4.4 | 1 | 1 | 1 |
| Green Logistics Instrument | Rank | ||
|---|---|---|---|
| TOPSIS | MABAC | MARCOS | |
| I5.1.1 | 5 | 8 | 6 |
| I5.1.2 | 7 | 7 | 10 |
| I5.1.3 | 11 | 11 | 11 |
| I5.2.1 | 1 | 1 | 1 |
| I5.2.2 | 10 | 9 | 7 |
| I5.2.3 | 14 | 14 | 14 |
| I5.2.4 | 12 | 10 | 9 |
| I5.3.1 | 9 | 6 | 8 |
| I5.3.2 | 15 | 15 | 15 |
| I5.3.3 | 16 | 16 | 16 |
| I5.3.4 | 17 | 17 | 17 |
| I5.3.5 | 13 | 13 | 13 |
| I5.3.6 | 18 | 18 | 18 |
| I5.3.7 | 3 | 3 | 4 |
| I5.4.1 | 2 | 2 | 2 |
| I5.4.2 | 4 | 4 | 3 |
| I5.4.3 | 8 | 12 | 12 |
| I5.4.4 | 6 | 5 | 5 |
| Green Logistics Instrument | Rank | ||
|---|---|---|---|
| TOPSIS | MABAC | MARCOS | |
| I6.1.1 | 7 | 9 | 9 |
| I6.1.2 | 12 | 11 | 11 |
| I6.1.3 | 18 | 18 | 17 |
| I6.2.1 | 2 | 3 | 2 |
| I6.2.2 | 3 | 5 | 4 |
| I6.2.3 | 5 | 7 | 6 |
| I6.2.4 | 4 | 4 | 5 |
| I6.3.1 | 1 | 1 | 1 |
| I6.3.2 | 14 | 12 | 14 |
| I6.3.3 | 15 | 15 | 15 |
| I6.3.4 | 17 | 17 | 18 |
| I6.4.1 | 16 | 16 | 16 |
| I6.4.2 | 10 | 10 | 10 |
| I6.4.3 | 9 | 6 | 7 |
| I6.5.1 | 13 | 14 | 13 |
| I6.5.2 | 8 | 8 | 8 |
| I6.5.3 | 11 | 13 | 12 |
| I6.5.4 | 6 | 2 | 3 |
Disclaimer/Publisher’s Note: The statements, opinions and data contained in all publications are solely those of the individual author(s) and contributor(s) and not of MDPI and/or the editor(s). MDPI and/or the editor(s) disclaim responsibility for any injury to people or property resulting from any ideas, methods, instructions or products referred to in the content. |
© 2025 by the authors. Licensee MDPI, Basel, Switzerland. This article is an open access article distributed under the terms and conditions of the Creative Commons Attribution (CC BY) license (https://creativecommons.org/licenses/by/4.0/).
Share and Cite
Osintsev, N.; Rakhmangulov, A. Green Logistics Instruments: Systematization and Ranking. Sustainability 2025, 17, 5946. https://doi.org/10.3390/su17135946
Osintsev N, Rakhmangulov A. Green Logistics Instruments: Systematization and Ranking. Sustainability. 2025; 17(13):5946. https://doi.org/10.3390/su17135946
Chicago/Turabian StyleOsintsev, Nikita, and Aleksandr Rakhmangulov. 2025. "Green Logistics Instruments: Systematization and Ranking" Sustainability 17, no. 13: 5946. https://doi.org/10.3390/su17135946
APA StyleOsintsev, N., & Rakhmangulov, A. (2025). Green Logistics Instruments: Systematization and Ranking. Sustainability, 17(13), 5946. https://doi.org/10.3390/su17135946
