Development of an MPE-BMA Ensemble Model for Runoff Prediction Under Future Climate Change Scenarios: A Case Study of the Xiangxi River Basin
Abstract
1. Introduction
2. Material and Methods
2.1. Study Area
2.2. MPE-BMA Framework
2.2.1. SWAT Model and Input Data
2.2.2. HBV Model and Input Data
2.2.3. BMA
2.2.4. SDSM and Future Meteorological Data
2.2.5. Model Performance Evaluation
3. Results and Discussion
3.1. Hydrological Model Performance Evaluation
3.2. Future Climate Change Scenarios Using SDSM Downscaling Simulations
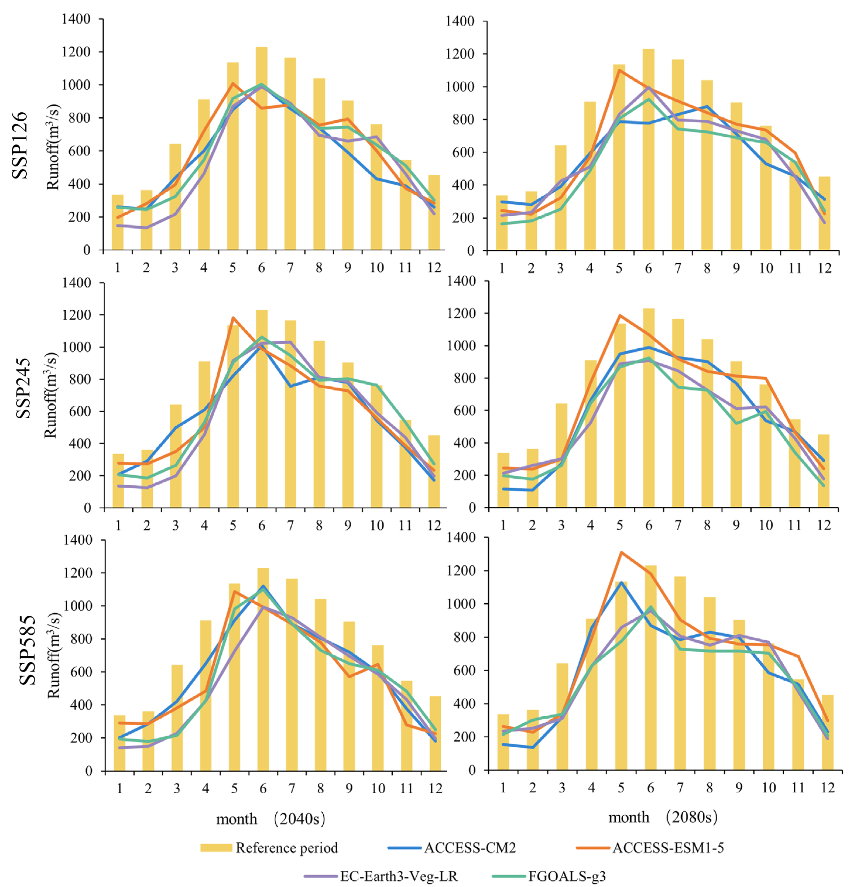
3.3. Runoff Responses to Future Climate Change
4. Discussion
4.1. Model and Result
4.2. Uncertainties
5. Conclusions
Supplementary Materials
Author Contributions
Funding
Institutional Review Board Statement
Informed Consent Statement
Data Availability Statement
Conflicts of Interest
References
- Wang, H.; Qin, H.; Liu, G.; Liu, S.; Qu, Y.; Wang, K.; Zhou, J. A novel feature attention mechanism for improving the accuracy and robustness of runoff forecasting. J. Hydrol. 2023, 618, 129200. [Google Scholar] [CrossRef]
- Wu, J.F.; Nunes, J.P.; Baartman, J.E.M.; Yang, D.W. Disentangling the impacts of meteorological variability and human induced changes on hydrological responses and erosion in a hilly-gully watershed of the Chinese Loess Plateau. Catena 2023, 233, 107478. [Google Scholar] [CrossRef]
- Najafi, H.; Shrestha, P.K.; Rakovec, O.; Apel, H.; Vorogushyn, S.; Kumar, R.; Thober, S.; Merz, B.; Samaniego, L. High-resolution impact-based early warning system for riverine flooding. Nat. Commun. 2024, 15, 3726. [Google Scholar] [CrossRef]
- Hsu, P.C.; Xie, J.; Lee, J.Y.; Zhu, Z.; Li, Y.; Chen, B.; Zhang, S. Multiscale interactions driving the devastating floods in Henan Province, China during July 2021. Weather. Clim. Extrem. 2023, 39, 100541. [Google Scholar] [CrossRef]
- Hermans, T.H.J.; Busecke, J.J.M.; Wahl, T.; Malagón-Santos, V.; Tadesse, M.G.; Jane, R.A.; Van De Wal, R.S.W. Projecting Changes in the Drivers of Compound Flooding in Europe Using CMIP6 Models. Earth’s Future 2024, 12, e2023EF004188. [Google Scholar] [CrossRef]
- Vieira, M.J.F.; Stadnyk, T.A. Leveraging global climate models to assess multi-year hydrologic drought. Npj Clim. Atmos. Sci. 2023, 6, 179. [Google Scholar] [CrossRef]
- He, J.; Lu, K.Z.; Fosu, B.; Fueglistaler, S.A. Diverging hydrological sensitivity among tropical basins. Nat. Clim. Change 2024, 14, 623–628. [Google Scholar] [CrossRef]
- Tian, L.; Guo, S.C.; Feng, J.W.; He, C.S. Quantifying the altitudinal response of water yield capacity to climate change in an alpine basin on the Tibetan Plateau through integrating the WRF-Hydro and Budyko framework. Catena 2024, 242, 108087. [Google Scholar] [CrossRef]
- IPCC. AR6 Synthesis Report: Climate Change 2023. In Contribution of Working Group I to the Sixth Assessment Report of the Intergovernmental Panel on Climate Change; Cambridge University Press: Cambridge, UK, 2023. [Google Scholar]
- Alshahrani, M.; Laiq, M.; Noor-ul-Amin, M.; Yasmeen, U.; Nabi, M. A support vector machine-based drought index for regional drought analysis. Sci. Rep. 2024, 14, 9849. [Google Scholar] [CrossRef]
- Li, G.; Liu, Z.; Zhang, J.; Han, H.; Shu, Z. Bayesian model averaging by combining deep learning models to improve lake water level prediction. Sci. Total Environ. 2024, 906, 167718. [Google Scholar] [CrossRef]
- Fang, X.; Pomeroy, J.W. Simulation of the impact of future changes in climate on the hydrology of Bow River headwater basins in the Canadian Rockies. J. Hydrol. 2023, 620, 129566. [Google Scholar] [CrossRef]
- Hu, Y.T.; Zhang, F.; Luo, Z.Z.; Baderldin, N.; Benoy, G.; Xing, Z.S. Soil and water conservation effects of different types of vegetation cover on runoff and erosion driven by climate and underlying surface conditions. Catena 2023, 231, 107347. [Google Scholar] [CrossRef]
- Nearing, G.; Cohen, D.; Dube, V.; Gauch, M.; Gilon, O.; Harrigan, S.; Hassidim, A.; Klotz, D.; Kratzert, F.; Metzger, A.; et al. Global prediction of extreme floods in ungauged watersheds. Nature 2024, 627, 559–563. [Google Scholar] [CrossRef]
- Bai, X.; Zhao, W. Impacts of climate change and anthropogenic stressors on runoff variations in major river basins in China since 1950. Sci. Total Environ. 2023, 898, 165349. [Google Scholar] [CrossRef]
- Gray, L.C.; Zhao, L.; Stillwell, A.S. Impacts of climate change on global total and urban runoff. J. Hydrol. 2023, 620, 129352. [Google Scholar] [CrossRef]
- Song, Z.; Xia, J.; Wang, G.; She, D.; Hu, C.; Piao, S. Climate change rather than vegetation greening dominates runoff change in China. J. Hydrol. 2023, 620, 129519. [Google Scholar] [CrossRef]
- Wu, X.; Tang, W.; Chen, F.; Wang, S.; Bakhtiyorov, Z.; Liu, Y.; Guan, Y. Attribution and Risk Projections of Hydrological Drought Over Water-Scarce Central Asia. Earth’s Future 2025, 13, e2024EF005243. [Google Scholar] [CrossRef]
- Wang, J.; Wang, X.; Lei, X.H.; Wang, H.; Zhang, X.H.; You, J.J.; Tan, Q.F.; Liu, X.L. Teleconnection analysis of monthly streamflow using ensemble empirical mode decomposition. J. Hydrol. 2020, 582, 124411. [Google Scholar] [CrossRef]
- Igaue, T.; Hayashi, R. Signatures of the uncanny valley effect in an artificial neural network. Comput. Hum. Behav. 2023, 164, 107811. [Google Scholar] [CrossRef]
- Gou, J.; Soja, B. Global high-resolution total water storage anomalies from self-supervised data assimilation using deep learning algorithms. Nat. Water 2024, 2, 139–150. [Google Scholar] [CrossRef]
- Miao, J.D.; Zhang, X.M.; Zhang, G.J.; Wei, T.X.; Zhao, Y.; Ma, W.T.; Chen, Y.X.; Li, Y.R.; Wang, Y.S. Applications and interpretations of different machine learning models in runoff and sediment discharge simulations. Catena 2024, 238, 107848. [Google Scholar] [CrossRef]
- Hartmann, A.; Goldscheider, N.; Wagener, T.; Lange, J.; Weiler, M. Karst water resources in a changing world: Review of hydrological modeling approaches: KARST WATER RESOURCES PREDICTION. Rev. Geophys. 2014, 52, 218–242. [Google Scholar] [CrossRef]
- Martinho, A.D.; Hippert, H.S.; Goliatt, L. Short-term streamflow modeling using data-intelligence evolutionary machine learning models. Sci. Rep. 2023, 13, 13824. [Google Scholar] [CrossRef] [PubMed]
- Wu, C.L.; Chau, K.W.; Li, Y.S. Predicting monthly streamflow using data-driven models coupled with data-preprocessing techniques. Water Resour. 2009, 45, 2007WR006737. [Google Scholar] [CrossRef]
- Silagyi, D.V.; Liu, D.H. Prediction of severity of aviation landing accidents using support vector machine models. Accid. Anal. Prev. 2023, 187, 107043. [Google Scholar] [CrossRef]
- Yang, H.Y.; Wang, T.H.; Yang, D.W.; Yan, Z.H.; Wu, J.F.; Lei, H.M. Runoff and sediment effect of the soil-water conservation measures in a typical river basin of the Loess Plateau. Catena 2024, 243, 108218. [Google Scholar] [CrossRef]
- Keller, A.A.; Garner, K.; Rao, N.; Knipping, E.; Thomas, J. Hydrological models for climate-based assessments at the watershed scale: A critical review of existing hydrologic and water quality models. Sci. Total Environ. 2023, 867, 161209. [Google Scholar] [CrossRef]
- Lian, X.; Hu, X.; Bian, J.; Shi, L.; Lin, L.; Cui, Y. Enhancing streamflow estimation by integrating a data-driven evapotranspiration submodel into process-based hydrological models. J. Hydrol. 2023, 621, 129603. [Google Scholar] [CrossRef]
- Liu, R.; Luo, Y.; Wang, Q.R.; Wang, Y. Time-varying parameters of the hydrological simulation model under a changing environment. J. Hydrol. 2024, 643, 131943. [Google Scholar] [CrossRef]
- Wang, M.; Bodirsky, B.L.; Rijneveld, R.; Beier, F.; Bak, M.P.; Batool, M.; Droppers, B.; Popp, A.; Van Vliet, M.T.H.; Strokal, M. A triple increase in global river basins with water scarcity due to future pollution. Nat. Commun. 2024, 15, 880. [Google Scholar] [CrossRef]
- Dash, S.S.; Sahoo, B.; Raghuwanshi, N.S. SWAT model calibration approaches in an integrated paddy-dominated catchment-command. Agric. Water Manag. 2023, 278, 108138. [Google Scholar] [CrossRef]
- López-Ballesteros, A.; Nielsen, A.; Castellanos-Osorio, G.; Trolle, D.; Senent-Aparicio, J. DSOLMap, a novel high-resolution global digital soil property map for the SWAT + model: Development and hydrological evaluation. Catena 2023, 231, 107339. [Google Scholar] [CrossRef]
- Roy, A.; Kasiviswanathan, K.S.; Patidar, S.; Adeloye, A.J. A Physics-Aware Machine Learning-Based Framework for Minimizing Prediction Uncertainty of Hydrological Models. Water Resour. Res. 2023, 59, 034630. [Google Scholar] [CrossRef]
- Huang, J.L.; Wang, Y.J.; Su, B.D.; Zhai, Y.Q. Future Climate Change and Its Impact on Runoff in the Upper Reaches of the Yangtze River Under RCP4.5 Scenario. Meteorol. Mon. 2016, 42, 614–620. [Google Scholar]
- Esmaeili-Gisavandani, H.; Lotfirad, M.; Sofla, M.S.D.; Ashrafzadeh, A. Improving the performance of rainfall-runoff models using the gene expression programming approach. J. Water Clim. Chang. 2021, 12, 3308–3329. [Google Scholar] [CrossRef]
- Gelete, G.; Nourani, V.; Gokcekus, H.; Gichamo, T. Ensemble physically based semi-distributed models for the rainfall-runoff process modeling in the data-scarce Katar catchment, Ethiopia. J. Hydroinform. 2023, 25, 567–592. [Google Scholar] [CrossRef]
- Li, J.; Li, Y.; Zhang, T.; Feng, P. Research on the future climate change and runoff response in the mountainous area of Yongding watershed. J. Hydrol. 2023, 625, 130108. [Google Scholar] [CrossRef]
- Zhou, Q.; Teng, S.; Situ, Z.; Liao, X.; Feng, J.; Chen, G.; Zhang, J.; Lu, Z. A deep-learning-technique-based data-driven model for accurate and rapid flood predictions in temporal and spatial dimensions. Hydrol. Earth Syst. Sci. 2023, 27, 1791–1808. [Google Scholar] [CrossRef]
- Moknatian, M.; Mukundan, R. Uncertainty analysis of streamflow simulations using multiple objective functions and Bayesian Model Averaging. J. Hydrol. 2023, 617, 128961. [Google Scholar] [CrossRef]
- Wei, L.; Jiang, S.; Dong, J.; Ren, L.; Liu, Y.; Zhang, L.; Wang, M.; Duan, Z. Fusion of gauge-based, reanalysis, and satellite precipitation products using Bayesian model averaging approach: Determination of the influence of different input sources. J. Hydrol. 2023, 618, 129234. [Google Scholar] [CrossRef]
- Zhou, Y.; Wu, Z.; Xu, H.; Wang, H.; Ma, B.; Lv, H. Integrated dynamic framework for predicting urban flooding and providing early warning. J. Hydrol. 2023, 618, 129205. [Google Scholar] [CrossRef]
- Li, X.; Wang, Q.; Danilov, S.; Koldunov, N.; Liu, C.; Müller, V.; Sidorenko, D.; Jung, T. Eddy activity in the Arctic Ocean projected to surge in a warming world. Nat. Clim. Chang. 2024, 14, 156–162. [Google Scholar] [CrossRef]
- Jin, X.; Jin, Y.; Du, K.; Mao, X.; Zheng, L.; Fu, D.; Qin, Y. Irrigation impacts on grassland hydrological regimes in an arid endorheic river basin. J. Hydrol. 2024, 631, 130843. [Google Scholar] [CrossRef]
- Zhang, L.; Li, X.; Han, J.; Lin, J.; Dai, Y.; Liu, P. Identification of surface water—Groundwater nitrate governing factors in Jianghuai hilly area based on coupled SWAT-MODFLOW-RT3D modeling approach. Sci. Total Environ. 2024, 912, 168830. [Google Scholar] [CrossRef]
- Cai, Y.F.; Zhang, F.; Shi, J.C.; Johnson, V.C.; Ahmed, Z.; Wang, J.G.; Wang, W.W. Enhancing SWAT model with modified method to improve Eco-hydrological simulation in arid region. J. Clean. Prod. 2023, 403, 136891. [Google Scholar] [CrossRef]
- Dimitrova-Petrova, K.; Rosolem, R.; Soulsby, C.; Wilkinson, M.E.; Lilly, A.; Geris, J. Combining static and porta-ble Cosmic ray neutron sensor data to assess catchment scale heterogeneity in soil water storage and their integrated role in catchment runoff response. J. Hydrol. 2021, 601, 126659. [Google Scholar] [CrossRef]
- Sadayappan, K.; Keen, R.; Jarecke, K.M.; Moreno, V.; Nippert, J.B.; Kirk, M.F.; Sullivan, P.L.; Li, L. Drier streams despite a wetter climate in woody-encroached grasslands. J. Hydrol. 2023, 627, 130388. [Google Scholar] [CrossRef]
- Yu, Q.; Jiang, L.; Wang, Y.; Liu, J. Enhancing streamflow simulation using hybridized machine learning models in a semi-arid basin of the Chinese loess Plateau. J. Hydrol. 2023, 617, 129115. [Google Scholar] [CrossRef]
- Zhang, Q.; Li, Y.P.; Huang, G.H.; Wang, H.; Shen, Z.Y. Bayesian analysis of variance for quantifying multi-factor effects on drought propagation. J. Hydrol. 2024, 632, 130911. [Google Scholar] [CrossRef]
- Li, H.; Zhang, Y.; Chiew, F.H.S.; Xu, S. Predicting runoff in ungauged catchments by using Xinanjiang model with MODIS leaf area index. J. Hydrol. 2009, 370, 155–162. [Google Scholar] [CrossRef]
- Eingrüber, N.; Korres, W. Climate change simulation and trend analysis of extreme precipitation and floods in the mesoscale Rur catchment in western Germany until 2099 using Statistical Downscaling Model (SDSM) and the Soil & Water Assessment Tool (SWAT model). Sci. Total Environ. 2022, 838, 155775. [Google Scholar] [CrossRef] [PubMed]
- Rahimi, R.; Tavakol-Davani, H.; Nasseri, M. An Uncertainty-Based Regional Comparative Analysis on the Performance of Different Bias Correction Methods in Statistical Downscaling of Precipitation. Water Resour Manag. 2021, 35, 2503–2518. [Google Scholar] [CrossRef]
- Giglou, A.N.; Nazari, R.; Karimi, M.; Lawrence Museru, M.; Ntow Opare, K.; Nikoo, M.R. Future eco-hydrological dynamics: Urbanization and climate change effects in a changing landscape: A case study of Birmingham’s river basin. J. Clean. Prod. 2024, 447, 141320. [Google Scholar] [CrossRef]
- Nguyen, H.H.; Peters, K.; Kiesel, J.; Welti, E.A.R.; Gillmann, S.M.; Lorenz, A.W.; Jähnig, S.C.; Haase, P. Stream macroinvertebrate communities in restored and impacted catchments respond differently to climate, land-use, and runoff over a decade. Sci. Total Environ. 2024, 929, 172659. [Google Scholar] [CrossRef]
- Liu, R.M.; Wang, Q.R.; Xu, F.; Men, C.; Guo, L.J. Impacts of manure application on SWAT model outputs in the Xiangxi River watershed. J. Hydrol. 2017, 555, 479–488. [Google Scholar] [CrossRef]
- Wang, Q.; Liu, R.; Men, C.; Guo, L.; Miao, Y. Effects of dynamic land use inputs on improvement of SWAT model performance and uncertainty analysis of outputs. J. Hydrol. 2018, 563, 874–886. [Google Scholar] [CrossRef]
- Jahanshahi, A.; Patil, S.D.; Goharian, E. Identifying most relevant controls on catchment hydrological similarity using model transferability—A comprehensive study in Iran. J. Hydrol. 2022, 612, 128193. [Google Scholar] [CrossRef]
- Zhao, G.L.; Tian, S.M.; Wang, Y.M.; Liang, R.F.; Li, K.F. Quantitative assessment methodology framework of the impact of global climate change on the aquatic habitat of warm-water fish species in rivers. Sci. Total Environ. 2023, 785, 162–686. [Google Scholar] [CrossRef]
- Rahman, A.U.; Dawood, M. Spatio-statistical analysis of temperature fluctuation using Mann–Kendall and Sen’s slope approach. Clim. Dyn. 2017, 48, 783–797. [Google Scholar] [CrossRef]
- Khalil, A. Combined use of graphical and statistical approaches for rainfall trend analysis in the Mae Klong River Basin, Thailand. J. Water Clim. Chang. 2023, 14, 4642–4668. [Google Scholar] [CrossRef]
- Xu, H.; Taylor, R.G.; Kingston, D.G.; Jiang, T.; Thompson, J.R.; Todd, M.C. Hydrological modeling of River Xiangxi using SWAT2005: A comparison of model parameterizations using station and gridded meteorological observations. Quat. Int. 2010, 226, 54–59. [Google Scholar] [CrossRef]
- Gosling, S.N.; Taylor, R.G.; Arnell, N.W.; Todd, M.C. A comparative analysis of projected impacts of climate change on river runoff from global and catchment-scale hydrological models. Hydrol. Earth Syst. Sci. 2011, 15, 279–294. [Google Scholar] [CrossRef]
- Liu, R.; Zhang, P.; Wang, X.; Chen, Y.; Shen, Z. Assessment of effects of best management practices on agricultural non-point source pollution in Xiangxi River watershed. Agric. Water Manag. 2013, 117, 9–18. [Google Scholar] [CrossRef]
- Bieger, K.; Hörmann, G.; Fohrer, N. Simulation of Streamflow and Sediment with the Soil and Water Assessment Tool in a Data Scarce Catchment in the Three Gorges Region, China. J. Environ. Qual. 2014, 43, 37–45. [Google Scholar] [CrossRef]
- Han, J.C.; Huang, G.; Huang, Y.; Zhang, H.; Li, Z.; Chen, Q. Chance-constrained overland flow modeling for improving conceptual distributed hydrologic simulations based on scaling representation of sub-daily rainfall variability. Sci. Total Environ. 2015, 524–525, 8–22. [Google Scholar] [CrossRef]
- Gelete, G.; Nourani, V.; Gokcekus, H.; Gichamo, T. Physical and artificial intelligence-based hybrid models for rainfall–runoff–sediment process modelling. Hydrol. Sci. J. 2023, 68, 13. [Google Scholar] [CrossRef]
- Bieger, K.; Hörmann, G.; Fohrer, N. The impact of land use change in the Xiangxi Catchment (China) on water balance and sediment transport. Reg. Environ. Chang. 2015, 15, 485–498. [Google Scholar] [CrossRef]
- Jiang, A.; Zhang, W.; Liu, X.; Zhou, F.; Li, A.; Peng, H.; Wang, H. Improving hydrological process simulation in mountain watersheds: Integrating WRF model gridded precipitation data into the SWAT model. J. Hydrol. 2024, 639, 131687. [Google Scholar] [CrossRef]
- Strauch, A.M.; Huang, Y.F.; Tsang, Y.P. Characterizing streamflow regimes using a distributed model for sustainable resource management in the humid tropics. J. Hydrol. 2024, 636, 131287. [Google Scholar] [CrossRef]
- Sidorenko, N.Y.; Bugaets, A.N.; Lupakov, S.Y.; Gonchukov, L.V. Impact Assessment of the Potential Evapotranspiration Method on Results of Hydrological Modeling. Water Resour. 2024, 51, 405–417. [Google Scholar] [CrossRef]
- Abbas, S.A.; Bailey, R.T.; White, J.T.; Arnold, J.G.; White, M.J.; Čerkasova, N.; Gao, J. A framework for parameter estimation, sensitivity analysis, and uncertainty analysis for holistic hydrologic modeling using SWAT+. Hydrol. Earth Syst. Sci. 2024, 28, 21–48. [Google Scholar] [CrossRef]
- Feng, D.; Beck, H.; De Bruijn, J.; Sahu, R.K.; Satoh, Y.; Wada, Y.; Liu, J.; Pan, M.; Lawson, K.; Shen, C. Deep dive into hydrologic simulations at global scale: Harnessing the power of deep learning and physics-informed differentiable models (δ HBV-globe1.0-hydroDL). Geosci. Model Dev. 2024, 17, 7181–7198. [Google Scholar] [CrossRef]







| Data | Data Sources | Processing |
|---|---|---|
| 2000 China land use remote sensing monitoring data (LUCC) | Institute of Geographic Sciences and Natural Resources Research—CAS (http://www.resdc.cn accessed on 19 October 2020) | Reclassify |
| 30 m × 30 m resolution DEM (digital elevation map) data | Geographical Spatial Data Cloud Website—CAS (http://www.gscloud.cn accessed on 20 October 2020) | Hydrological model analysis |
| 1:1,000,000 spatial soil data | Harmonized World Soil Database (https://www.fao.org accessed on 23 October 2020) | Hydrological model analysis |
| Daily meteorological data (1991–2008) | Xingshan Meteorological Station | - |
| Daily runoff data (1993–2008) | Xingshan Hydrological Station | - |
| Parameters | Description | Range | Optimal Value |
|---|---|---|---|
| CN2 | SCS runoff curve number | [−0.08, 0.17] | 0.16 |
| ALPHA_BF | Baseflow alpha factor (day) | [−0.02, 0.66] | 0.08 |
| REVAPMN | Threshold depth of water in the shallow aquifer for “revap” to occur (mm) | [172.93, 519.57] | 178.99 |
| GW_REVAP | Groundwater “revap” coefficient | [0.162, 0.26] | 0.23 |
| GWQMN | Threshold depth of water in the shallow aquifer required for return flow to occur (mm) | [0.02, 0.12] | 0.08 |
| SOL_BD | Moist bulk density | [1.31, 1.72] | 1.39 |
| CH_K2 | Effective hydraulic conductivity in main channel alluvium | [32.09, 289.58] | 75.57 |
| CH_N2 | Manning’s “n” value for the main channel | [0.05, 0.18] | 0.13 |
| GW_DELAY | Groundwater delay (days) | [90.27, 90.37] | 90.33 |
| EPCO | Plant uptake compensation factor | [0.41, 0.51] | 0.43 |
| CANMX | Maximum canopy storage (mm) | [2, 76] | 6 |
| SOL_AWC | Available water capacity of the soil layer (%) | [0.19, 0.71] | 0.27 |
| TIMP | Snow pack temperature lag factor | [0.67, 0.77] | 0.73 |
| OV_N | Manning’s “n” value for overland flow | [−0.28, −0.27] | −0.27 |
| SLSUBBSN | Average slope length (m) | [5, 79] | 13 |
| HRU_SLP | Average slope steepness | [0.64, 0.65] | 0.65 |
| SFTMP | Snowfall temperature | [0.19, 0.20] | 0.19 |
| SURLAG | Surface runoff lag time | [0.07, 0.09] | 0.08 |
| ESCO | Soil evaporation compensation factor | [0.15, 0.75] | 0.54 |
| Parameters | Description | Range | Optimal Value |
|---|---|---|---|
| TT | Threshold temperature | [0, 50] | 13.01 |
| CFMAX | Degree— factor (mm/) | [0, 50] | 24.55 |
| SP | Seasonal variability in degree— factor | [0, 1] | 0.29 |
| SFCF | Snowfall correction factor | [0, 50] | 15.11 |
| CFR | Refreezing coefficient | [0, 50] | 39.21 |
| FC | Maximum soil moisture storage (mm) | [100, 300] | 215.28 |
| LP | Soil moisture value above which AET reaches PET | [0, 1] | 0.43 |
| BETA | Parameter that determines the relative contribution to runoff from rain or snowmelt | [0, 5] | 0.61 |
| UZL | Threshold parameter (mm) | [0, 100] | 27.02 |
| K0 | Storage (or recession) coefficient | [0, 0.8] | 0.19 |
| MAXBAS | Length of triangular weighting function | [1, 50] | 1.28 |
| Model | Country | Resolution (Longitude × Latitude) | Time Periods |
|---|---|---|---|
| ACCESS-CM2 | Australian | 1.875° × 1.25° | 2025–2100 |
| ACCESS-ESM1-5 | Australian | 1.875° × 1.25° | 2025–2100 |
| EC-Earth3-Veg-LR | European Union | 1.60° × 3.20° | 2025–2100 |
| FGOALS-g3 | China | 2.00° × 2.25° | 2025–2100 |
| Indicator | Description | Formula | Range | Ideal Value |
|---|---|---|---|---|
| R2 | Coefficient of determination | [0, 1] | Close to 1 | |
| NSE | Nash–Sutcliffe efficiency | [−1, 1] | Close to 1 | |
| RMSE | Root mean square error | [0, +∞] | Close to 0 |
| Period | GCM | Climate Scenarios | Sen Slope (m3/s) | Z-Value | Trend Features |
|---|---|---|---|---|---|
| 2040s | ACCESS-CM2 | SSP126 | 0.48 | 1.68 | Slightly significant increase |
| SSP245 | −0.34 | 10.38 | Highly significant decrease | ||
| SSP585 | −0.34 | 3.61 | Highly significant decrease | ||
| ACCESS-ESM1-5 | SSP126 | 0.28 | 7.33 | Highly significant increase | |
| SSP245 | −0.26 | 3.62 | Highly significant decrease | ||
| SSP585 | −0.25 | 1.23 | Non-significant decrease | ||
| EC-Earth3-Veg-LR | SSP126 | 0.33 | 0.13 | Non-significant increase | |
| SSP245 | 0.28 | 1.56 | Non-significant increase | ||
| SSP585 | −0.33 | 6.26 | Highly significant decrease | ||
| FGOALS-g3 | SSP126 | −0.43 | 6.62 | Highly significant decrease | |
| SSP245 | −0.29 | 10.05 | Highly significant decrease | ||
| SSP585 | −0.28 | 6.26 | Highly significant decrease | ||
| 2080s | ACCESS-CM2 | SSP126 | −0.61 | 1.15 | Non-significant decrease |
| SSP245 | −0.36 | 11.46 | Highly significant decrease | ||
| SSP585 | −0.46 | 10.75 | Highly significant decrease | ||
| ACCESS-ESM1-5 | SSP126 | 0.35 | 7.41 | Highly significant increase | |
| SSP245 | 0.36 | 2.18 | Significant increase | ||
| SSP585 | −0.39 | 13.69 | Highly significant decrease | ||
| EC-Earth3-Veg-LR | SSP126 | 0.40 | 2.27 | Significant increase | |
| SSP245 | −0.37 | 2.02 | Significant decrease | ||
| SSP585 | −0.45 | 13.66 | Highly significant decrease | ||
| FGOALS-g3 | SSP126 | 0.50 | 5.97 | Highly significant increase | |
| SSP245 | 0.31 | 1.45 | Non-significant increase | ||
| SSP585 | −0.33 | 7.36 | Highly significant decrease |
Disclaimer/Publisher’s Note: The statements, opinions and data contained in all publications are solely those of the individual author(s) and contributor(s) and not of MDPI and/or the editor(s). MDPI and/or the editor(s) disclaim responsibility for any injury to people or property resulting from any ideas, methods, instructions or products referred to in the content. |
© 2025 by the authors. Licensee MDPI, Basel, Switzerland. This article is an open access article distributed under the terms and conditions of the Creative Commons Attribution (CC BY) license (https://creativecommons.org/licenses/by/4.0/).
Share and Cite
Li, W.; Liu, H.; Gao, P.; Yang, A.; Fei, Y.; Wen, Y.; Su, Y.; Yuan, X. Development of an MPE-BMA Ensemble Model for Runoff Prediction Under Future Climate Change Scenarios: A Case Study of the Xiangxi River Basin. Sustainability 2025, 17, 4714. https://doi.org/10.3390/su17104714
Li W, Liu H, Gao P, Yang A, Fei Y, Wen Y, Su Y, Yuan X. Development of an MPE-BMA Ensemble Model for Runoff Prediction Under Future Climate Change Scenarios: A Case Study of the Xiangxi River Basin. Sustainability. 2025; 17(10):4714. https://doi.org/10.3390/su17104714
Chicago/Turabian StyleLi, Wenjie, Huabai Liu, Pangpang Gao, Aili Yang, Yifan Fei, Yizhuo Wen, Yueyu Su, and Xiaoqi Yuan. 2025. "Development of an MPE-BMA Ensemble Model for Runoff Prediction Under Future Climate Change Scenarios: A Case Study of the Xiangxi River Basin" Sustainability 17, no. 10: 4714. https://doi.org/10.3390/su17104714
APA StyleLi, W., Liu, H., Gao, P., Yang, A., Fei, Y., Wen, Y., Su, Y., & Yuan, X. (2025). Development of an MPE-BMA Ensemble Model for Runoff Prediction Under Future Climate Change Scenarios: A Case Study of the Xiangxi River Basin. Sustainability, 17(10), 4714. https://doi.org/10.3390/su17104714
