Next Article in Journal
Sustainable Fashion in New Era: Exploring Consumer Resilience and Goals in the Post-Pandemic
Next Article in Special Issue
Effect of Treated/Untreated Recycled Aggregate Concrete: Structural Behavior of RC Beams
Previous Article in Journal
Sustainable Earthquake Preparedness: A Cross-Cultural Comparative Analysis in Montenegro, North Macedonia, and Serbia
Previous Article in Special Issue
Performance Study of Sustainable Concrete Containing Recycled Aggregates from Non-Selected Construction and Demolition Waste
 
 
Font Type:
Arial Georgia Verdana
Font Size:
Aa Aa Aa
Line Spacing:
Column Width:
Background:
Article

Biodegradability and Water Absorption of Macadamia Nutshell Powder-Reinforced Poly(lactic Acid) Biocomposites

by
Chensong Dong
1,*,
Ian J. Davies
1 and
Celso Carlino Maria Fornari Junior
2
1
School of Civil and Mechanical Engineering, Curtin University, P.O. Box U1987, Perth, WA 6845, Australia
2
Departamento de Ciências Exatas e Tecnológicas, Universidade Estadual de Santa Cruz-UESC, Rodovia Ilhéus-Itabuna km 16, Ilhéus 45650-000, BA, Brazil
*
Author to whom correspondence should be addressed.
Sustainability 2024, 16(8), 3139; https://doi.org/10.3390/su16083139
Submission received: 31 January 2024 / Revised: 2 April 2024 / Accepted: 4 April 2024 / Published: 9 April 2024

Abstract

This study investigates the biodegradability and water absorption properties of Macadamia nutshell powder and poly(lactic acid) (PLA) biocomposites using a Design of Experiments (DOE) approach. The influences of processing methods, the Macadamia nutshell powder’s weight content, and the powder’s condition are studied. A biodegradability test is performed in accordance with the American Society for Testing and Materials (ASTM) D5338-11 by burying the test specimens in wet garden soil at a controlled temperature of 50 °C and 100% humidity. The specimens obtained by counter-rotating processing exhibit varying weight loss patterns with an increasing powder weight content, while the specimens obtained by co-rotating processing demonstrate consistent behaviour. This study highlights the complex nature of PLA biodegradation, which is affected by diverse factors such as test conditions and environments, thereby contributing to a deeper understanding of the sustainability implications. A water absorption test is carried out in accordance with ASTM D570-98. It is shown that the water absorption characteristics are predominantly determined by the hydrophilic nature of Macadamia nutshells, with an increased powder weight content leading to higher absorption. Pure PLA, due to its hydrophobic nature, exhibits minimal water absorption. By unravelling the complexities of PLA biodegradation and water absorption in Macadamia nutshell and PLA biocomposites, this study not only advances the understanding of materials’ behaviour but also underscores the potential sustainability implications of utilizing natural resources in composite materials. This research contributes valuable insights to the broader discourse on environmentally friendly materials and their role in promoting sustainable practices.

1. Introduction

The widespread use of non-biodegradable plastics has become a major environmental challenge in recent years. Since the beginning of the mass production of plastics in the 1950s, the rate of plastic production has increased significantly, resulting in a total production volume of 8.3 billion metric tons [1]. These plastics are made from non-renewable fossil fuels and can take hundreds of years to decompose in the environment [2]. They can also disintegrate into smaller pieces, forming microplastics, and accumulate in the environment, posing a threat to ecosystems and human well-being. The accumulation of non-biodegradable waste presents formidable problems, as it is bulky and can resist incineration, and inadequate levels of recycling aggravate the waste problem [3]. The need for sustainable alternatives to traditional materials has never been more pressing. The pressing need for identifying sustainable alternatives becomes more evident when considering the information presented in the Sustainable Development Goals Report 2022. The report outlines how various worldwide crises have impeded global endeavours to mitigate plastic pollution, safeguard endangered species, and ensure universal access to clean drinking water. It emphasises the necessity of immediate measures to safeguard the environment and reach the global goals [4]. The shift toward sustainable energy introduces a range of challenges and opportunities for the global economy [5]. Emissions need to be reduced by almost half by 2030 and reach net-zero by 2050 to avoid the worst impacts of climate change. Accomplishing this goal requires moving away from a dependence on fossil fuels and directing investments towards clean, accessible, affordable, sustainable, and reliable alternative sources of energy [6].
The research community is increasingly focused on finding sustainable alternatives to crude oil [7]. One such alternative is the use of bio-based polymers, derived from renewable resources, as substitutes for oil-derived polymers in biocomposites. These “green composites” are entirely sourced from renewable resources.
Poly(lactic acid) (PLA), a versatile biopolymer derived from corn, a renewable agricultural resource, has shown promise in various applications, including packaging, automotive, and biomedical fields [8]. Concurrently, there is an increasing urgency to repurpose agricultural by-products and waste into profitable products, aligning with environmental preservation efforts [9]. PLA-based biopolymers that are reinforced with natural fibres such as hemp, kenaf, flax, bamboo, and sisal were reviewed by Mukherjee and Kao [9]. The combination of PLA with natural reinforcements results in materials that are not only functional but also environmentally responsible. These composites play a crucial role in advancing sustainable practices across various industries [10]. The specific interfacial forces that are exerted between the lignocellulosic fibres and the matrix have an impact on designing more durable composite materials [11]. Oksman et al. [12] investigated the viability of PLA (poly(lactic acid)) as a matrix material in natural fibre composites. Their study showcased the encouraging mechanical properties exhibited by PLA and flax composites.
In addition to natural fibres, PLA composites incorporating nutshell powder offer several significant advantages. Nutshells, sourced as renewable lignocellulosic materials from agricultural by-products [13], present environmental benefits in terms of disposal and reduced risks for handlers and consumers. With a lower specific gravity compared to mineral fillers, nutshells, being agricultural waste, are also cost-effective to obtain. Furthermore, they boast biodegradability and non-toxicity [13].
The effect of nutshell powder on the mechanical properties of polymers depends on several factors, such as the type of polymer, the type of nutshell, the amount and size of the filler, the surface treatment of the filler, and the compatibility between the filler and the matrix. According to some studies [13,14], nutshell powder can improve the stiffness, hardness, and thermal stability of some polymers, such as PLA and LDPE, but may reduce the tensile strength, elongation, and impact resistance.
Macadamia nutshell-reinforced polymeric composites exhibit promising potential for manufacturing diverse structural components. These materials have shown prospective applications in industries such as infrastructure, aerospace, and automotive [15]. Particularly suitable for scenarios where cost considerations and acceptable reductions in mechanical properties are relevant [13], these nutshell powder/PLA composites signify a noteworthy advancement in the realm of sustainable materials.
Biodegradation tests typically involve burying specimens in soil at a specific temperature. According to some studies [13,16], nutshell powder/PLA composites have good biodegradability in soil and under ultraviolet radiation, which means that they can be disposed of without harming the environment. Therefore, the importance of the biodegradability of nutshell powder/PLA composites is that they can be used as eco-friendly alternatives to conventional plastics in various applications, such as packaging, agriculture, and biomedical devices [17]. The literature reveals varying results in terms of biodegradability. Some studies [18,19,20,21,22,23] suggest that PLA biodegrades slowly, but the process accelerates with the addition of natural fibres. In contrast, a study by Mathew et al. [24] revealed that the addition of microcrystalline cellulose (MCC) decreased the biodegradation rate.
Water absorption is another crucial property of PLA biocomposites. Generally, PLA is hydrophobic, while natural fibres are hydrophilic. Research [25,26,27,28,29,30,31] has shown that the addition of natural reinforcements increases water absorption. The water absorption in PLA biocomposites has implications for the interface between the fibre and matrix, leading to reduced stress transfer efficiencies, and it thus affects their physical, mechanical, and thermal properties.
Usually, during the incorporation of the biofillers into a polymer matrix, air and volatiles may be trapped in the composite as microvoids, and thus, they could affect the physicochemical properties of the biocomposites [29]. The formation of voids in natural fibre-reinforced PLA composites is mainly caused by the low interfacial bonding in the composite due to the incompatibility between hydrophilic natural fibres and the hydrophobic matrix [32]. Oksman et al. [12] showed that as the flax fibre content increased, the void content of the biocomposites also increased. Moreover, jute-reinforced laminates have shown a higher void content than flax-/PLA-reinforced laminates due to the jute fibre’s high density [33].
Macadamia, a genus of flowering plants in the Proteaceae family, consists of seven species that are indigenous to Australia. The shells and other waste materials constitute nearly 70% of the weight of Macadamia nuts. These by-products can be repurposed in various ways, such as as a wood substitute in coffee roasting, organic waste for gardening, mulch for nut tree orchards, or chicken litter that is later used as fertiliser [34]. There is a growing interest in enhancing the value of these agricultural by-products, such as nutshells. Sutivisedsak et al. [13] have utilised almond, pistachio, and walnut nutshells as fillers in polymer composites.
However, there is a lack of research on composites of Macadamia nutshell and PLA. Song et al. [14] studied PLA composites that were reinforced using four types of nutshells including Macadamia. They showed that the inclusion of nutshells enhanced the water absorption significantly, and surface treatment significantly improved the water resistance ability of composites. Khan et al. [15] reviewed the potential of Macadamia nutshells for bio-synthetic polymer composites. Cortat et al. [35] investigated the use of Macadamia nutshell residues as a filler in polypropylene composites. The study found that the composites showed superior elastic modulus and similar tensile strength compared to pristine polypropylene. The study also indicated that higher Macadamia nutshell residue contents promoted lower environmental impacts than the classical handling of this residue, making it a better environmental option. The mechanical properties of biocomposites made from Macadamia nutshell powder and PLA have been explored [36,37]. Yet, no studies have been found on their biodegradability or water absorption. This study aims to bridge this gap in knowledge. In this study, the biodegradability and water absorption of the biocomposites made from Macadamia nutshell powders and PLA were experimentally investigated with the aid of Design of Experiments (DOE). The effects of the powder weight content, powder condition, and processing methods were studied. The outcomes from this study help us understand the viability of Macadamia nutshell/PLA composites as a promising alternative, contributing to the global shift towards sustainable materials.

2. Materials and Methods

In this study, the utilised PLA is marketed as “Natureworks 3001D” by Natureworks LLC, Minneapolis, MN, USA [38]. Fine powders of milled Macadamia nutshell (M. integrifolia) were procured from Husque, located in Queensland, Australia. These powders have an average particle size of 75 µm. The density of these Macadamia nutshell powders was measured to be 1.207 g/cm3. Table 1 shows the chemical analysis of the ground Macadamia shells [39].
Biocomposites of Macadamia nutshell and PLA were processed using a twin-screw extruder from OMC, Italy, with D = 19 mm and a length-to-diameter ratio of 35, with the following temperature profile: 90–100–110–120–130–140–150 °C; a screw rotation speed of 220 rpm and feed rate of 25 g/min were used, and the biocomposites were then granulated with an Accrapak BM15 grinder (Accrapak Systems Ltd., Warrington, UK) [38]. A full factorial design was employed to investigate the effects of three factors: the weight content of the powder, the condition of the powder, and the processing method.
The Macadamia nutshell powders were either pre-dried (referred to as “dry”) or used as received (referred to as “as-received”). Two processing methods were utilised: counter-rotating and co-rotating. The composites were composed of either 20% or 40% (w/w) Macadamia nutshell powders. Pure PLA samples were also prepared as control groups. The parameters for the ten groups are detailed in Table 2.
The specimen creation process involved several steps. Initially, the steel mould, comprising the top plate, bottom plate, and the mould itself, was placed in an oven set at 240 °C for 30 min to reach the desired temperature. To facilitate easy specimen extraction, a silicon-based lubricant was sprayed onto the surface of the steel mould. Following this, the steel mould was taken out of the oven, and the material was poured onto it. The mould was then returned to the oven, set at 240 °C, and left inside for approximately 15 to 20 min to allow the material to melt. Once melted, the mould was removed from the oven, and the top steel plate was placed onto it. Subsequently, the mould was tightly clamped using a set of screws and immersed in a bucket of tap water for 5 min to cool. The applied pressure was approximately 30 kPa. After the cooling period, the screws were removed, and the specimens could easily be extracted from the mould. The specimens were approximately 49.0 (L) × 19.2 (W) × 7.25 (T) mm3.
Biodegradability testing, conducted in accordance with ASTM D5338-11 [40], involved burying test specimens in moist garden soil under controlled conditions of 50 °C and 100% humidity. The specimens’ weights were meticulously recorded at regular intervals: initially every three days for the first month, and subsequently on a weekly basis for the following months. This systematic approach allows for the careful monitoring of the degradation process over time, with any decrease in weight serving as an indicator of biodegradation. After the weight changes were recorded, the average degradation rates were defined to be the average weight losses at two different days divided by the number of days.
The water absorption test, conducted in line with ASTM D570-98 [41], involved immersing the test specimens in water. The weights of these specimens were then meticulously recorded at regular intervals: hourly on the first day, daily from the second day, and weekly starting from the second week. This systematic approach allows for the careful tracking of water absorption over time.

3. Results and Discussion

3.1. Biodegradability

Figure 1 plots the weight changes in the composites obtained by means of counter-rotating and co-rotating processing against the number of days. All curves show an initial weight increase due to water absorption, followed by a rapid decrease after about 35 days. The weight gain for pure PLA is significantly lower than that for the composites due to PLA’s hydrophobic nature.
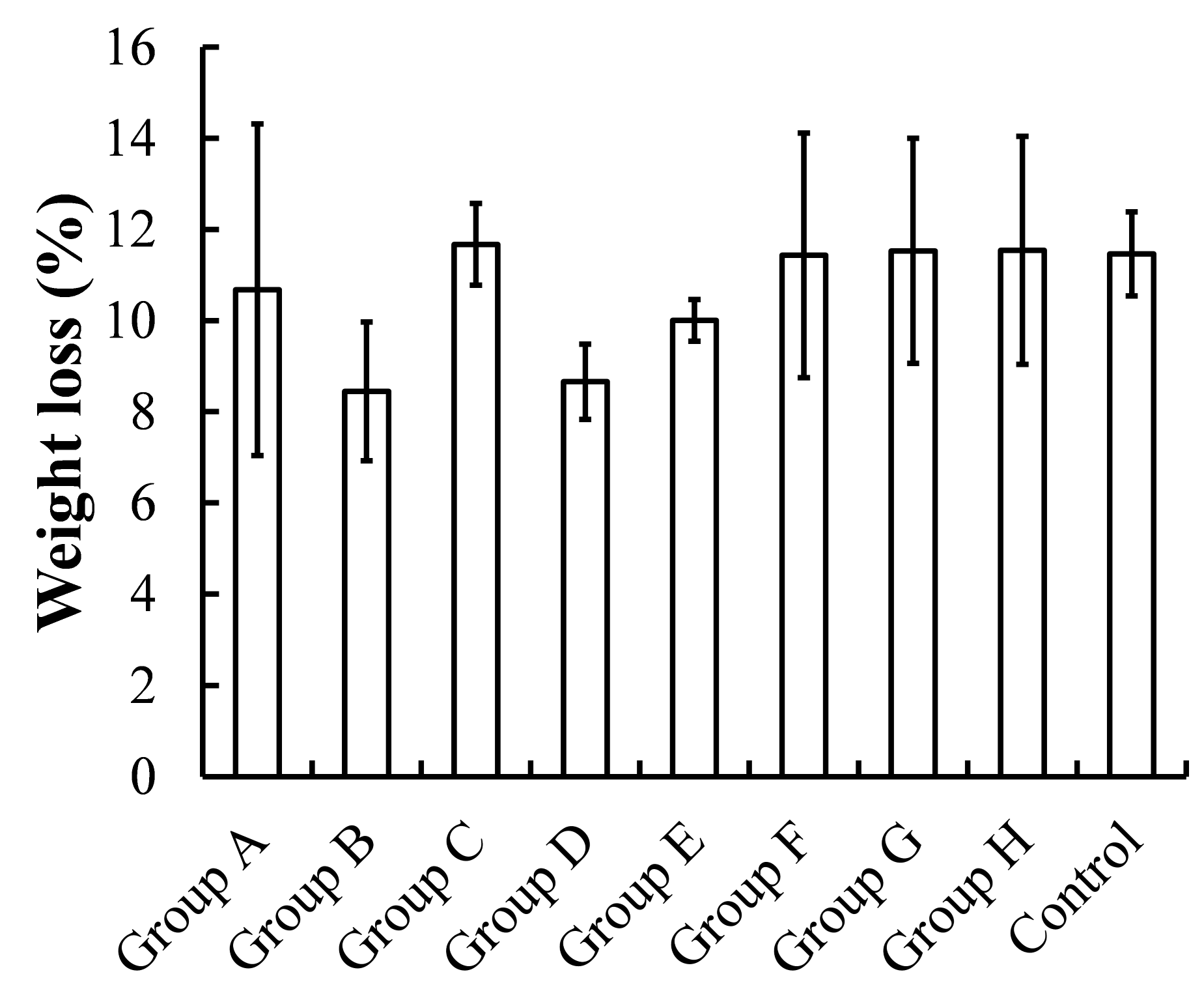
It is noteworthy that the process method and powder weight content significantly influence the biodegradability. Figure 2 illustrates the weight losses after 59 days for all groups, and it is shown that the composites have comparable weight losses compared to pure PLA. This contrasts with previous studies [18,19], which reported minimal weight loss of pure PLA.
The biodegradability of PLA is complex due to variable test conditions and environments, leading to conflicting reports [42]. In soil or domestic composters, degradation may extend to around a year at temperatures of 20 °C. Nevertheless, elevated local temperatures (>25 °C) can accelerate the degradation process, bringing it down to approximately 12 weeks [42]. In natural environments, enzymes, specifically lipase and protease, catalyse hydrolysis and promote PLA degradation [43].
However, it is crucial to note that while fillers can reduce the cost of PLA, they can also diminish its biodegradability [13]. Fillers may create a physical barrier that obstructs the access of microorganisms and enzymes to the polymer matrix, thereby decelerating the biodegradation process [13].
The addition of Macadamia nutshell powders into PLA decreases the weight loss, indicating a slower biodegradation rate compared to PLA. This contrasts with the natural fibre-reinforced PLA composite, where the higher degradation in composites compared to PLA is attributed to the initiation of enzymatic degradation of the cellulosic chains in fibres. The higher rates of weight loss in composites can also be attributed to their lower crystallinity, as amorphous regions are more prone to degradation [20].
For the specimens obtained by counter-rotating processing (Groups A–D), Group A exhibits higher weight loss than Group B, and Group C exhibits higher weight loss than Group D. It appears that the weight loss decreases with an increasing powder weight content for the specimens obtained by counter-rotating processing. Specimens with dried powder exhibit lower weight loss than those with the as-received powder.
For the specimens obtained by co-rotating processing (Groups E–H), the weight losses of groups E and F are similar, as are those for groups G and H. This suggests that for specimens obtained by co-rotating processing, the powder weight content has little effect. Specimens obtained by co-rotating processing appear to be more consistent compared to specimens obtained by counter-rotating processing, with specimens containing dried powder exhibiting slightly higher weight loss than those with the as-received powder.
In a co-rotating twin screw extruder, the polymer is transferred from one screw to another during each screw rotation, moving along the “∞” mode [44]. In contrast, in a counter-rotating twin screw extruder, the polymer does not flow from one screw to another, as it rotates in the same direction. The co-rotating twin screw extruder offers advantages such as a high conveying efficiency, strong dispersion and mixing capabilities, good self-cleaning performance, a uniform residence time distribution of materials in the machine, and good adaptability [45], and this results in the higher consistency in biodegradability.
The behaviour of the specimens aligns with the observations made by Mathew et al. [24], who noted the emergence of surface cracks after one week of soil burial, as depicted in Figure 3. Notably, an increase in Macadamia nutshell content resulted in heightened specimen brittleness. Weight reduction in the specimens commenced after day 21. The average degradation rates from day 51 to day 59 are shown in Figure 4, from which it is seen that a higher Macadamia nutshell content leads to a lower degradation rate. The control specimens displayed a relatively higher degradation rate. The pre-treatment condition of the filler did not seem to impact the initial rate of water intake. No significant differences were observed among specimens that were subjected to different processing methods.

3.2. Water Absorption

The water absorption characteristics of the Macadamia nutshell powder/PLA composite are defined by its weight gain, which increases with the powder weight content due to the hydrophilic nature of Macadamia nutshells. Figure 5 presents the weight gains after 59 days for all groups. It reveals that pure PLA, due to its hydrophobic nature, absorbs the least amount of water, with a weight gain of 1.64% after 59 days. This is in good agreement with a previous study, showing that PLA could only absorb about 1% water due to its hydrophobic nature [28]. Conversely, the maximum weight gain from water absorption, 13.49%, is observed in Group B, which consists of composites obtained by counter-rotating processing with 40% as-received nutshell powders. The water absorption of nutshell powder/PLA composites can vary depending on the type of nutshell used and the percentage of nutshell powder in the composite. A study on the extruded PNSP PLA biocomposites showed that the incorporation of 7.5% wt. PNSP into the PLA matrix resulted in a water absorption rate of 2.7% [29]. Another study revealed that the maximum percentage of water uptake of PLA/chitosan biocomposites increased to 3.91% with the incorporation of 10% of chitosan filler [31].
The weight gain resulting from water absorption against time is given by the following formula [46]:
w g = t k 1 + k 2 t
where wg represents the weight gain, t is the time, and k1 and k2 are constants. The ultimate weight gain is given by w g = 1 / k 2 .
Figure 6 plots the weight gains from water absorption for Group B (the composites obtained by counter-rotating processing with 40% as-received nutshell powders) over time. The curve represented by Equation (1) is also included in the plot. The trend aligns well with the model, indicating its accuracy. The constants for all groups are provided in Table 3.
Given the weight content of Macadamia nutshell powders, wp, the density of composites is given by
ρ c = 1 V v w p ρ p + 1 w p ρ m
where ρc, ρp, and ρm are the densities of the composite, Macadamia nutshell powder, and the matrix, respectively, and Vv is the void content.
If the density of the composite is known, the void content is given by
V v = 1 ρ c w p ρ p + 1 w p ρ m
The void contents are given in Figure 7. It is shown that pure PLA has a lower void content compared to the composites. The co-rotating processing method generally leads to a lower void content compared to counter-rotating. This is evident in both powder conditions (as-received and dried) and for both powder weight contents (20% and 40%). Group H (40% dried powder in co-rotating) has a notably low void content (3.85%), suggesting a synergistic effect of a higher powder weight content and a dried powder condition with co-rotating processing. According to a previous study [29], the drying process of raw materials plays an important role in the fabrication of the biocomposites, and the density parameter is essential for their possible applications.
To minimise voids, optimizing the interfacial bonding between plant fibres and the polymer matrix is crucial [47]. This can be achieved by modifying the natural fibres or the resin to improve their compatibility [48]. In the case of nutshell powder-reinforced PLA composites, alkali treatment has been shown to enhance the thermal stability, water-resistant ability, and tensile properties of the composites [14].

4. Conclusions

In conclusion, this study has investigated the biodegradability and water absorption properties of biocomposites made from Macadamia nutshell powders and PLA using a Design of Experiments (DOE) approach. The results revealed several key findings.
Firstly, the biodegradability of the composites was influenced by both the processing method and the weight content of Macadamia nutshell powder. The specimens obtained by counter-rotating processing exhibited a decrease in weight loss with an increasing powder weight content, while the specimens obtained by co-rotating processing showed more consistency. The study also highlighted the complexity of PLA biodegradation, which is affected by various factors such as the test conditions and environments.
Secondly, the water absorption characteristics were dependent on the hydrophilic nature of Macadamia nutshells. The weight gain from water absorption increased with the powder weight content, and pure PLA exhibited the least water absorption due to its hydrophobic nature. The study provided a mathematical model to describe the water absorption behaviour of the composites, with constants provided for each experimental group.
Additionally, the study addressed the influence of Macadamia nutshell powder on the mechanical properties of the composites. The incorporation of nutshells into PLA decreased the weight loss, indicating a slower biodegradation rate compared to pure PLA. However, it was noted that while fillers can reduce the cost of PLA, they may also diminish its biodegradability.
The findings of this research contribute to the global discourse on sustainable materials by exploring the biodegradability and water absorption of Macadamia nutshell/PLA composites. By focusing on a renewable resource and utilizing agricultural waste, our study aligns with the imperative to transition towards materials that are not only functional but also environmentally responsible. Macadamia nutshell/PLA composites, with their eco-friendly characteristics, have the potential to contribute to the attainment of global sustainability goals, as outlined in initiatives such as the United Nations’ Sustainable Development Goals. Further research in this area could explore optimisation strategies to balance mechanical properties, cost-effectiveness, and biodegradability in pursuit of more sustainable materials.

Author Contributions

Conceptualisation, C.D. and I.J.D.; methodology, C.D. and I.J.D.; software, C.D.; validation, C.D.; formal analysis, C.D.; investigation, C.C.M.F.J., C.D., and I.J.D.; resources, C.D.; data curation, C.C.M.F.J., C.D., and I.J.D.; writing—original draft preparation, C.D.; writing—review and editing, C.D.; visualisation, C.D.; supervision, C.D. and I.J.D.; project administration, C.D. and I.J.D. All authors have read and agreed to the published version of the manuscript.

Funding

This research received no external funding.

Institutional Review Board Statement

Not applicable.

Informed Consent Statement

Not applicable.

Data Availability Statement

The data presented in this study are available on request from the corresponding author.

Acknowledgments

The authors are grateful to Marc Harrison of Husque, QLD, Australia, for providing ground Macadamia nutshell powders.

Conflicts of Interest

The authors declare no conflicts of interest.

References

  1. Abrha, H.; Cabrera, J.; Dai, Y.; Irfan, M.; Toma, A.; Jiao, S.; Liu, X. Bio-based plastics production, impact and end of life: A literature review and content analysis. Sustainability 2022, 14, 4855. [Google Scholar] [CrossRef]
  2. Bharadwaj, A.; Yadav, D.; Varshney, S. Non-biodegradable waste—Its impact & safe disposal. Int. J. Adv. Technol. Eng. Sci. 2015, 3, 184–191. [Google Scholar]
  3. Goel, V.; Luthra, P.; Kapur, G.S.; Ramakumar, S.S.V. Biodegradable/Bio-plastics: Myths and Realities. J. Polym. Environ. 2021, 29, 3079–3104. [Google Scholar] [CrossRef]
  4. United Nations. The Sustainable Development Goals Report 2022; United Nations: New York, NY, USA, 2022. [Google Scholar]
  5. Lv, Y. Transitioning to sustainable energy: Opportunities, challenges, and the potential of blockchain technology. Front. Energy Res. 2023, 11, 1258044. [Google Scholar] [CrossRef]
  6. Jain, D. Renewable energy: Powering a safer future. Renew. Energy 2020, 1, 1258044. [Google Scholar]
  7. Zini, E.; Scandola, M. Green composites: An overview. Polym. Compos. 2011, 32, 1905–1915. [Google Scholar] [CrossRef]
  8. Liu, D.; Yuan, X.; Bhattacharyya, D.; Easteal, A. Characterisation of solution cast cellulose nanofibre–reinforced poly (lactic acid). Express Polym. Lett. 2010, 4, 26–31. [Google Scholar] [CrossRef]
  9. Mukherjee, T.; Kao, N. PLA based biopolymer reinforced with natural fibre: A review. J. Polym. Environ. 2011, 19, 714–725. [Google Scholar] [CrossRef]
  10. Ilyas, R.A.; Zuhri, M.Y.M.; Aisyah, H.A.; Asyraf, M.R.M.; Hassan, S.A.; Zainudin, E.S.; Sapuan, S.M.; Sharma, S.; Bangar, S.P.; Jumaidin, R.; et al. Natural fiber-reinforced polylactic acid, polylactic acid blends and their composites for advanced applications. Polymers 2022, 14, 202. [Google Scholar] [CrossRef]
  11. Marcuello, C.; Chabbert, B.; Berzin, F.; Bercu, N.B.; Molinari, M.; Aguié-Béghin, V. Influence of surface chemistry of fiber and lignocellulosic materials on adhesion properties with polybutylene succinate at nanoscale. Materials 2023, 16, 2440. [Google Scholar] [CrossRef]
  12. Oksman, K.; Skrifvars, M.; Selin, J.F. Natural fibres as reinforcement in polylactic acid (PLA) composites. Compos. Sci. Technol. 2003, 63, 1317–1324. [Google Scholar] [CrossRef]
  13. Sutivisedsak, N.; Cheng, H.N.; Burks, C.S.; Johnson, J.A.; Siegel, J.P.; Civerolo, E.L.; Biswas, A. Use of nutshells as fillers in polymer composites. J. Polym. Environ. 2012, 20, 305–314. [Google Scholar] [CrossRef]
  14. Song, X.; He, W.; Han, X.; Qin, H. Fused deposition modeling of poly (lactic acid)/nutshells composite filaments: Effect of alkali treatment. J. Polym. Environ. 2020, 28, 3139–3152. [Google Scholar] [CrossRef]
  15. Khan, M.S.; Islam, M.M.; Epaarachchi, J.; Shibata, S. Exploring the prospects of macadamia nutshells for bio-synthetic polymer composites: A review. Polymers 2023, 15, 4007. [Google Scholar] [CrossRef] [PubMed]
  16. Yu, M.; Zheng, Y.; Tian, J. Study on the biodegradability of modified starch/polylactic acid (PLA) composite materials. RSC Adv. 2020, 10, 26298–26307. [Google Scholar] [CrossRef] [PubMed]
  17. Norrrahim, M.; Nurazzi, N.; Shazleen, S.; Najmuddin, S.; Yasim-Anuar, T.; Naveen, J.; Ilyas, R. Biocompatibility, biodegradability, and environmental safety of PLA/cellulose composites. In Polylactic Acid-Based Nanocellulose and Cellulose Composites; CRC Press: Boca Raton, FL, USA, 2022; pp. 251–264. [Google Scholar]
  18. Shogren, R.; Doane, W.; Garlotta, D.; Lawton, J.; Willett, J. Biodegradation of starch/polylactic acid/poly (hydroxyester-ether) composite bars in soil. Polym. Degrad. Stab. 2003, 79, 405–411. [Google Scholar] [CrossRef]
  19. Teramoto, N.; Urata, K.; Ozawa, K.; Shibata, M. Biodegradation of aliphatic polyester composites reinforced by abaca fiber. Polym. Degrad. Stab. 2004, 86, 401–409. [Google Scholar] [CrossRef]
  20. Yussuf, A.A.; Massoumi, I.; Hassan, A. Comparison of polylactic acid/kenaf and polylactic acid/rise husk composites: The influence of the natural fibers on the mechanical, thermal and biodegradability properties. J. Polym. Environ. 2010, 18, 422–429. [Google Scholar] [CrossRef]
  21. Ochi, S. Mechanical properties of kenaf fibers and kenaf/PLA composites. Mech. Mater. 2008, 40, 446–452. [Google Scholar] [CrossRef]
  22. Kanakannavar, S.; Pitchaimani, J.; Thalla, A.; Rajesh, M. Biodegradation properties and thermogravimetric analysis of 3D braided flax PLA textile composites. J. Ind. Text. 2022, 51, 1066S–1091S. [Google Scholar] [CrossRef]
  23. Sambudi, N.S.; Lin, W.Y.; Harun, N.Y.; Mutiari, D. Modification of poly(lactic acid) with orange peel powder as biodegradable composite. Polymers 2022, 14, 4126. [Google Scholar] [CrossRef] [PubMed]
  24. Mathew, A.P.; Oksman, K.; Sain, M. Mechanical properties of biodegradable composites from poly lactic acid (PLA) and microcrystalline cellulose (MCC). J. Appl. Polym. Sci. 2005, 97, 2014–2025. [Google Scholar] [CrossRef]
  25. Rahman, R.; Mustapa, N.R. Water absorption properties of natural fibres reinforced PLA bio-composite. In Biocomposite Materials: Design and Mechanical Properties Characterization; Hameed Sultan, M.T., Majid, M.S.A., Jamir, M.R.M., Azmi, A.I., Saba, N., Eds.; Springer: Singapore, 2021; pp. 251–271. [Google Scholar]
  26. Nur Diyana, A.F.; Khalina, A.; Sapuan, M.S.; Lee, C.H.; Aisyah, H.A.; Nurazzi, M.N.; Ayu, R.S. Physical, mechanical, and thermal properties and characterization of natural fiber composites reinforced poly(lactic acid): Miswak (Salvadora persica L.) fibers. Int. J. Polym. Sci. 2022, 2022, 7253136. [Google Scholar] [CrossRef]
  27. Qin, L.; Qiu, J.; Liu, M.; Ding, S.; Shao, L.; Lü, S.; Zhang, G.; Zhao, Y.; Fu, X. Mechanical and thermal properties of poly(lactic acid) composites with rice straw fiber modified by poly(butyl acrylate). Chem. Eng. J. 2011, 166, 772–778. [Google Scholar] [CrossRef]
  28. Lee, S.-H.; Wang, S. Biodegradable polymers/bamboo fiber biocomposite with bio-based coupling agent. Compos. Part A Appl. Sci. Manuf. 2006, 37, 80–91. [Google Scholar] [CrossRef]
  29. Álvarez-Chávez, C.R.; Sánchez-Acosta, D.L.; Encinas-Encinas, J.C.; Esquer, J.; Quintana-Owen, P.; Madera-Santana, T.J. Characterization of extruded poly(lactic acid)/pecan nutshell biocomposites. Int. J. Polym. Sci. 2017, 2017, 3264098. [Google Scholar] [CrossRef]
  30. Yew, G.H.; Mohd Yusof, A.M.; Mohd Ishak, Z.A.; Ishiaku, U.S. Water absorption and enzymatic degradation of poly(lactic acid)/rice starch composites. Polym. Degrad. Stab. 2005, 90, 488–500. [Google Scholar] [CrossRef]
  31. Kamaludin, N.H.I.; Ismail, H.; Rusli, A.; Ting, S.S. Thermal behavior and water absorption kinetics of polylactic acid/chitosan biocomposites. Iran. Polym. J. 2021, 30, 135–147. [Google Scholar] [CrossRef]
  32. Lee, C.H.; Padzil, F.N.B.M.; Lee, S.H.; Ainun, Z.M.A.A.; Abdullah, L.C. Potential for natural fiber reinforcement in PLA polymer filaments for fused deposition modeling (FDM) additive manufacturing: A review. Polymers 2021, 13, 1407. [Google Scholar] [CrossRef]
  33. Amjad, A.; Anjang, A.; Abidin, M.S.Z. Effect of nanofiller concentration on the density and void content of natural fiber-reinforced epoxy composites. Biomass Convers. Biorefinery 2024, 14, 8661–8670. [Google Scholar] [CrossRef]
  34. Wechsler, A.; Ramirez, M.; Crosky, A.; Zaharia, M.; Jones, H.; Ballerini, A.; Núñez, M.; Sahajwalla, V. Sustainable furniture panel composites from forestry and food industry by-products in Australia. In Proceedings of the First International Conference on Engineering, Designing and Developing the Built Environment for Sustainable Wellbeing, Brisbane, Australia, 27–29 April 2011; pp. 88–93. [Google Scholar]
  35. Cortat, L.O.; Zanini, N.C.; Barbosa, R.F.S.; de Souza, A.G.; Rosa, D.S.; Mulinari, D.R. A sustainable perspective for macadamia nutshell residues revalorization by green composites development. J. Polym. Environ. 2021, 29, 3210–3226. [Google Scholar] [CrossRef]
  36. Kumar, R.; Ofosu, O.; Anandjiwala, R.D. Macadamia nutshell powder filled poly lactic acid composites with triacetin as a plasticizer. J. Biobased Mater. Bioenergy 2013, 7, 541–548. [Google Scholar] [CrossRef]
  37. Dong, C.; Davies, I.J.; Fornari Junior, C.C.M.; Scaffaro, R. Mechanical properties of macadamia nutshell powder and PLA bio-composites. Aust. J. Mech. Eng. 2017, 15, 150–156. [Google Scholar] [CrossRef]
  38. Scaffaro, R.; Morreale, M.; Mirabella, F.; La Mantia, F.P. Preparation and recycling of plasticized PLA. Macromol. Mater. Eng. 2011, 296, 141–150. [Google Scholar] [CrossRef]
  39. Wechsler, A.; Zaharia, M.; Crosky, A.; Jones, H.; Ramírez, M.; Ballerini, A.; Nuñez, M.; Sahajwalla, V. Macadamia (Macadamia integrifolia) shell and castor (Rícinos communis) oil based sustainable particleboard: A comparison of its properties with conventional wood based particleboard. Mater. Des. 2013, 50, 117–123. [Google Scholar] [CrossRef]
  40. ASTM D5338-11; Standard Test Method for Determining Aerobic Biodegradation of Plastic Materials Under Controlled Composting Conditions, Incorporating Thermophilic Temperatures. ASTM International: West Conshohocken, PA, USA, 2011.
  41. ASTM D570-98; Standard Test Method for Water Absorption of Plastics. ASTM International: West Conshohocken, PA, USA, 1998.
  42. McKeown, P.; Jones, M.D. The chemical recycling of PLA: A review. Sustain. Chem. 2020, 1, 1–22. [Google Scholar] [CrossRef]
  43. Haider, T.P.; Völker, C.; Kramm, J.; Landfester, K.; Wurm, F.R. Plastics of the future? The impact of biodegradable polymers on the environment and on society. Angew. Chem. Int. Ed. 2019, 58, 50–62. [Google Scholar] [CrossRef]
  44. Rauwendaal, C.J. Analysis and experimental evaluation of twin screw extruders. Polym. Eng. Sci. 1981, 21, 1092–1100. [Google Scholar] [CrossRef]
  45. Albdiry, M. Effect of melt blending processing on mechanical properties of polymer nanocomposites: A review. Polym. Bull. 2023. [Google Scholar] [CrossRef]
  46. Peleg, M. An empirical model for the description of moisture sorption curves. J. Food Sci. 1988, 53, 1216–1217. [Google Scholar] [CrossRef]
  47. Akter, M.; Uddin, M.H.; Anik, H.R. Plant fiber-reinforced polymer composites: A review on modification, fabrication, properties, and applications. Polym. Bull. 2024, 81, 1–85. [Google Scholar] [CrossRef]
  48. Gholampour, A.; Ozbakkaloglu, T. A review of natural fiber composites: Properties, modification and processing techniques, characterization, applications. J. Mater. Sci. 2020, 55, 829–892. [Google Scholar] [CrossRef]
Figure 1. Weight changes in composites obtained by (a) counter-rotating and (b) co-rotating processing versus the number of days.
Figure 1. Weight changes in composites obtained by (a) counter-rotating and (b) co-rotating processing versus the number of days.
Sustainability 16 03139 g001
Figure 2. Weight losses from biodegradation after 59 days.
Figure 2. Weight losses from biodegradation after 59 days.
Sustainability 16 03139 g002
Figure 3. Photos of specimens on day 1 and day 40.
Figure 3. Photos of specimens on day 1 and day 40.
Sustainability 16 03139 g003
Figure 4. Degradation rates.
Figure 4. Degradation rates.
Sustainability 16 03139 g004
Figure 5. Weight gains from water absorption after 59 days.
Figure 5. Weight gains from water absorption after 59 days.
Sustainability 16 03139 g005
Figure 6. Weight gains from water absorption for composites with 40% as-received nutshell powders, by means of counter-rotating.
Figure 6. Weight gains from water absorption for composites with 40% as-received nutshell powders, by means of counter-rotating.
Sustainability 16 03139 g006
Figure 7. Void contents.
Figure 7. Void contents.
Sustainability 16 03139 g007
Table 1. Chemical analysis of ground Macadamia shells [39].
Table 1. Chemical analysis of ground Macadamia shells [39].
ConstituentContent (%)Standard Deviation (%)
Cellulose29.50.03
Hemicellulose30.02.5
Lignin40.10.15
Ash content0.313.2
Table 2. Test specimen groups.
Table 2. Test specimen groups.
GroupPowder Weight ContentPowder ConditionProcessing Method
A20%As-receivedCounter-rotating
B40%As-receivedCounter-rotating
C20%DriedCounter-rotating
D40%DriedCounter-rotating
E20%As-receivedCo-rotating
F40%As-receivedCo-rotating
G20%DriedCo-rotating
H40%DriedCo-rotating
Control
Table 3. Constants for water absorption model.
Table 3. Constants for water absorption model.
Groupk1k2Ultimate Weight Gain (%)
A16.0140.2783.60
B6.6480.07213.81
C19.8240.1287.84
D10.9190.07213.85
E16.7750.2474.05
F30.0660.06515.36
G22.3520.2234.49
H16.4590.1069.44
Control63.2650.7321.37
Disclaimer/Publisher’s Note: The statements, opinions and data contained in all publications are solely those of the individual author(s) and contributor(s) and not of MDPI and/or the editor(s). MDPI and/or the editor(s) disclaim responsibility for any injury to people or property resulting from any ideas, methods, instructions or products referred to in the content.

Share and Cite

MDPI and ACS Style

Dong, C.; Davies, I.J.; Fornari Junior, C.C.M. Biodegradability and Water Absorption of Macadamia Nutshell Powder-Reinforced Poly(lactic Acid) Biocomposites. Sustainability 2024, 16, 3139. https://doi.org/10.3390/su16083139

AMA Style

Dong C, Davies IJ, Fornari Junior CCM. Biodegradability and Water Absorption of Macadamia Nutshell Powder-Reinforced Poly(lactic Acid) Biocomposites. Sustainability. 2024; 16(8):3139. https://doi.org/10.3390/su16083139

Chicago/Turabian Style

Dong, Chensong, Ian J. Davies, and Celso Carlino Maria Fornari Junior. 2024. "Biodegradability and Water Absorption of Macadamia Nutshell Powder-Reinforced Poly(lactic Acid) Biocomposites" Sustainability 16, no. 8: 3139. https://doi.org/10.3390/su16083139

APA Style

Dong, C., Davies, I. J., & Fornari Junior, C. C. M. (2024). Biodegradability and Water Absorption of Macadamia Nutshell Powder-Reinforced Poly(lactic Acid) Biocomposites. Sustainability, 16(8), 3139. https://doi.org/10.3390/su16083139

Note that from the first issue of 2016, this journal uses article numbers instead of page numbers. See further details here.

Article Metrics

Back to TopTop