Evaluation of the Antioxidant Properties of Black Acacia (Acacia mearnsii) Tannin in Vulcanized Natural Rubber Using Different Vulcanization Systems
Abstract
1. Introduction
2. Materials and Methodological Procedure
2.1. Materials
2.2. Formulation and Preparation of Composites
2.3. Characterization of Black Acacia Plant Tannin Antioxidant
2.4. Characterization of Natural Rubber Composites
2.4.1. Rheometric Analysis
2.4.2. Determination of Specific Density of Composites
2.4.3. Determination of Crosslink Density by the Flory–Rehner Method
2.4.4. Determination of Crosslink Density by the Mooney–Rivlin Method
2.4.5. Fourier Transform Infrared Spectroscopy (FTIR) in Attenuated Total Reflection (ATR) Mode
2.4.6. Accelerated Aging Process in Photodegradation Chamber
2.4.7. Wetting Analysis
2.4.8. Determining the Hardness of the Composites
2.4.9. Determination of Abrasion Resistance of Composites
2.4.10. Tensile Strength Test
2.4.11. Tensile Strength Test with Accelerated Thermal Aging Process
2.4.12. Thermogravimetric Analysis (TGA)
3. Results and Discussion
3.1. Characterization of the Antioxidant from Black Acacia Vegetable Tannin
3.2. Characterization Analysis of Natural Rubber Composites
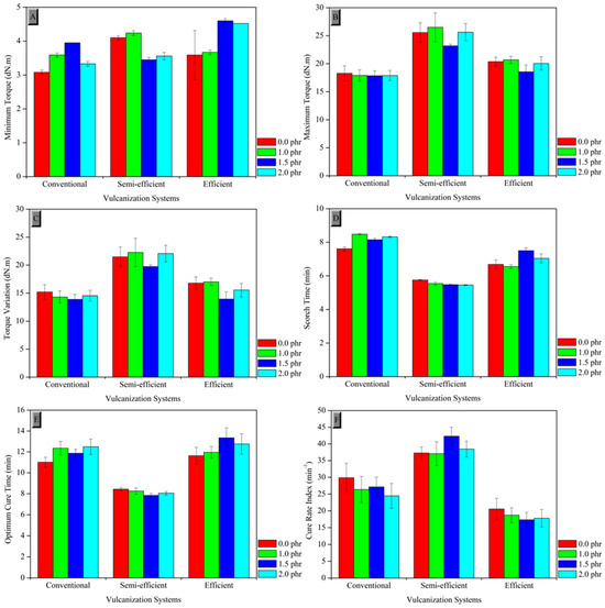
3.2.1. Analysis of Rheometric Parameters
3.2.2. Analysis of Specific Density
3.2.3. Analysis of Crosslink Density by the Flory–Rehner Method and the Mooney–Rivlin Method
3.2.4. Analysis of Fourier Transform Infrared Spectroscopy Before and After Exposure to UV-C Rays Through Accelerated Aging by Photodegradation
3.2.5. Analysis of Composite Wettability
3.2.6. Analysis of Composite Hardness
3.2.7. Analysis of the Abrasion Resistance of Composites
3.2.8. Analysis of Tensile Strength
3.2.9. Thermogravimetric Analysis (TGA)
4. Integrated Discussion of Results
5. Conclusions
Author Contributions
Funding
Institutional Review Board Statement
Informed Consent Statement
Data Availability Statement
Acknowledgments
Conflicts of Interest
References
- Sethulekshmi, A.S.; Saritha, A.; Joseph, K. A comprehensive review on the recent advancements in natural rubber nanocomposites. Int. J. Biol. Macromol. 2022, 194, 819–842. [Google Scholar] [CrossRef]
- Mathew, N.M.; De, S.K. Thermo-oxidative ageing and its effect on the network structure and fracture mode of natural rubber vulcanizates. Polymer 1983, 24, 1042–1054. [Google Scholar] [CrossRef]
- Ngudsuntear, K.; Limtrakul, S.; Vatanatham, T.; Arayapranee, W. Mechanical and aging properties of hydrogenated epoxidized natural rubber and its lifetime prediction. ACS Omega 2022, 7, 36448–36456. [Google Scholar] [CrossRef] [PubMed]
- Guzmán Sánchez, M.A.; Giraldo-Vásquez, D.H.; Moreno Sánchez, R. The effect of thermal ageing on the mechanical properties of natural rubber-based compounds used for rubber bearings. J. Eng. Technol. Sci. 2021, 53, 210310. [Google Scholar] [CrossRef]
- Sun, Y.; He, J.; Zhong, B.; Zhu, L.; Liu, F. A synthesized multifunctional rubber additive and its improvements on the curing and antioxidative properties of styrene-butadiene rubber/silica composites. Polym. Degrad. Stab. 2019, 170, 108999. [Google Scholar] [CrossRef]
- Poompradub, S.; Luthikaviboon, T.; Linpoo, S.; Rojanathanes, R.; Prasassarakich, P. Improving oxidation stability and mechanical properties of natural rubber vulcanizates filled with calcium carbonate modified by gallic acid. Polym. Bull. 2011, 66, 965–977. [Google Scholar] [CrossRef]
- Nie, J.; Huang, X.; Xu, C.; Ding, J.; Chen, Y. Antioxidant effects on curing/processing and thermo-oxidative aging of filled nitrile rubber. Mater. Chem. Phys. 2020, 253, 123403. [Google Scholar] [CrossRef]
- Dong, J.; Migdal, C.A. 1 Antioxidants. In Lubricant Additives: Chemistry and Applications; CRC Press: Boca Raton, FL, USA, 2009; Volume 1, ISBN 978-1-4200-5964-9. [Google Scholar]
- Zhao, W.; He, J.; Yu, P.; Jiang, X.; Zhang, L. Recent progress in the rubber antioxidants: A review. Polym. Degrad. Stab. 2023, 207, 110223. [Google Scholar] [CrossRef]
- Smejda-Krzewicka, A.; Mrozowski, K.; Strzelec, K. Effect of ModifieEd and Unmodified Oak Bark (Quercus Cortex) on the Cross-Linking Process and Mechanical, Anti-Aging, and Hydrophobic Properties of Biocomposites Produced from Natural Rubber (NR). Materials 2024, 17, 1968. [Google Scholar] [CrossRef] [PubMed]
- Öncel, Ş.; Kurtoğlu, B.; Karaağaç, B. An alternative antioxidant for sulfur-vulcanized natural rubber: Henna. J. Elastomers Plast. 2019, 51, 440–456. [Google Scholar] [CrossRef]
- Shuhaimi, N.H.H.; Ishak, N.S.; Othman, N.; Ismail, H.; Sasidharan, S. Effect of different types of vulcanization systems on the mechanical properties of natural rubber vulcanizates in the presence of oil palm leaves-based antioxidant. J. Elastomers Plast. 2014, 46, 747–764. [Google Scholar] [CrossRef]
- Palanisamy, S.; Kalimuthu, M.; Nagarajan, R.; Marlet, J.M.F.; Santulli, C. Physical, chemical, and mechanical characterization of natural bark fibers (NBFs) reinforced polymer composites: A bibliographic review. Fibers 2023, 11, 13. [Google Scholar] [CrossRef]
- Taflick, T.; Maich, G.; Ferreira, L.D.; Bica, C.I.D.; Rodrigues, S.R.S.; Nachtigall, S.M.B. Acacia bark residues as filler in polypropylene composites. Polímeros 2015, 25, 289–295. [Google Scholar] [CrossRef]
- Liao, J.; Brosse, N.; Pizzi, A.; Hoppe, S.; Xi, X.; Zhou, X. Polypropylene blend with polyphenols through dynamic vulcanization: Mechanical, rheological, crystalline, thermal, and UV protective property. Polymers 2019, 11, 1108. [Google Scholar] [CrossRef] [PubMed]
- Astm D3182-21a; Standard Practice for Rubber—Materials, Equipment, and Procedures for Mixing Standard Compounds and Preparing Standard Vulcanized Sheets. ASTM International: West Conshohocken, PA, USA, 2021.
- Swain, T.; Hillis, W.E. The phenolic constituents of Prunus domestica. I.—The quantitative analysis of phenolic constituents. J. Sci. Food Agric. 1959, 10, 63–68. [Google Scholar] [CrossRef]
- Brand-Williams, W. Use of a free radical method to evaluate antioxidant activity. Food Sci. Technol. 1999, 28, 1231–1237. [Google Scholar] [CrossRef]
- ASTM D2084-19a; Standard Test Method for Rubber Property—Vulcanization Using Oscillating Disk Cure Meter. ASTM International: West Conshohocken, PA, USA, 2024.
- ASTM D297-21; Standard Test Methods for Rubber Products—Chemical Analysis. ASTM International: West Conshohocken, PA, USA, 2024.
- Flory, P.J.; Rehner, J. Statistical mechanics of cross-linked polymer networks I. Rubberlike Elasticity. J. Chem. Phys. 1943, 11, 512–520. [Google Scholar] [CrossRef]
- Mooney, M. A theory of large elastic deformation. J. Appl. Phys. 1940, 11, 582–592. [Google Scholar] [CrossRef]
- Gruendken, M.; Koda, D.; Dryzek, J.; Blume, A. Low molecular weight ‘liquid’polymer extended compounds, impact on free volume and crosslink density studied by positron lifetime spectroscopy and stress-strain analysis according to Mooney-Rivlin. Polym. Test. 2021, 100, 107239. [Google Scholar] [CrossRef]
- Sombatsompop, N. Practical use of the Mooney-Rivlin equation for determination of degree of crosslinking of swollen nr vulcanisates. J. Sci. Soc. Thail. 1998, 24, 199–204. [Google Scholar] [CrossRef]
- ASTM D2240-15; Standard Test Method for Rubber Property—Durometer Hardness. ASTM International: West Conshohocken, PA, USA, 2024.
- ASTM D5963-22; Standard Test Method for Rubber Property—Abrasion Resistance (Rotary Drum Abrader). ASTM International: West Conshohocken, PA, USA, 2024.
- ASTM D412-16; Standard Test Methods for Vulcanized Rubber and Thermoplastic Elastomers—Tension. ASTM International: West Conshohocken, PA, USA, 2024.
- ASTM D573-04; Standard Test Method for Rubber—Deterioration in an Air Oven. ASTM International: West Conshohocken, PA, USA, 2024.
- de Cássia Oliveira Carneiro, A.; Vital, B.R.; Carvalho, A.M.M.L.; Oliveira, A.C.; Pereira, B.L.C.; de Andrade, B.G. Determinação da massa molar de taninos vegetais através da técnica da cromatografia de permeação em gel Tannins molar mass determination using gel permeation chromatography technique. Sci. For. 2010, 38, 419–429. [Google Scholar]
- Sekowski, S.; Veiko, A.; Olchowik-Grabarek, E.; Dubis, A.; Wilczewska, A.Z.; Markiewicz, K.H.; Zavodnik, I.B.; Lapshina, E.; Dobrzynska, I.; Abdulladjanova, N.; et al. Hydrolysable tannins change physicochemical parameters of lipid nano-vesicles and reduce DPPH radical-Experimental studies and quantum chemical analysis. Biochim. Biophys. Acta (BBA)-Biomembr. 2022, 1864, 183778. [Google Scholar] [CrossRef] [PubMed]
- Schaumlöffel, L.S.; Fontoura, L.A.; Santos, S.J.; Pontes, L.F.; Gutterres, M. Vegetable tannins-based additive as antioxidant for biodiesel. Fuel 2021, 292, 120198. [Google Scholar] [CrossRef]
- Grasel, F.d.S.; Ferrão, M.F.; Wolf, C.R. Ultraviolet spectroscopy and chemometrics for the identification of vegetable tannins. Ind. Crops Prod. 2016, 91, 279–285. [Google Scholar] [CrossRef]
- Falcão, L.; Araújo, M.E.M. Tannins characterization in historic leathers by complementary analytical techniques ATR-FTIR, UV-Vis and chemical tests. J. Cult. Herit. 2013, 14, 499–508. [Google Scholar] [CrossRef]
- Irman, N.; Latif, N.H.A.; Brosse, N.; Gambier, F.; Syamani, F.A.; Hussin, M.H. Preparation and characterization of formaldehyde-free wood adhesive from mangrove bark tannin. Int. J. Adhes. Adhes. 2022, 114, 103094. [Google Scholar] [CrossRef]
- Hameed, Y.T.; Idris, A.; Hussain, S.A.; Abdullah, N. A tannin-based agent for coagulation and flocculation of municipal wastewater: Chemical composition, performance assessment compared to Polyaluminum chloride, and application in a pilot plant. J. Environ. Manag. 2016, 184, 494–503. [Google Scholar] [CrossRef]
- Galiani, P.D.; Malmonge, J.A.; dos Santos, D.P.; Malmonge, L.F. Compósitos de borracha natural com polianilina. Polímeros 2007, 17, 93–97. [Google Scholar] [CrossRef]
- Dos Santos, K.A.M.; Suarez, P.A.Z.; Rubim, J.C. Photo-degradation of synthetic and natural polyisoprenes at specific UV radiations. Polym. Degrad. Stab. 2005, 90, 34–43. [Google Scholar] [CrossRef]
- Mena, R.L.; Cacuro, T.A.; De Freitas, A.S.M.; Rangel, E.C.; Waldman, W.R. Polymer photodegradation followed by infrared: A tutorial. Rev. Virtual Química 2020, 12, 959–968. Available online: http://hdl.handle.net/11449/210531 (accessed on 3 July 2024).
- Cacuro, T.A.; Freitas, A.S.M.; Waldman, W.R. Demonstration of polymer photodegradation using a simple apparatus. J. Chem. Educ. 2018, 95, 2222–2226. [Google Scholar] [CrossRef]
- Blais, P.; Carlsson, D.J.; Wiles, D.M. Surface changes during polypropylene photo-oxidation: A study by infrared spectroscopy and electron microscopy. J. Polym. Sci. Part A-1 Polym. Chem. 1972, 10, 1077–1092. [Google Scholar] [CrossRef]
- Oliveira, A.L.d. Avaliação do Potencial Antioxidante do Tanino Vegetal da Acácia Negra em Matrizes Poliméricas de Poliestireno após Processo de Envelhecimento Acelerado. 2022. Available online: https://repositorio.ufscar.br/handle/ufscar/16173 (accessed on 1 July 2024).
- Rattanasom, N.; Poonsuk, A.; Makmoon, T. Effect of curing system on the mechanical properties and heat aging resistance of natural rubber/tire tread reclaimed rubber blends. Polym. Test. 2005, 24, 728–732. [Google Scholar] [CrossRef]
- Sotta, P.; Albouy, P.-A. Strain-induced crystallization in natural rubber: Flory’s theory revisited. Macromolecules 2020, 53, 3097–3109. [Google Scholar] [CrossRef]
- Wang, Y.; Liao, L.; Wang, R.; Yu, H.; Zheng, T.; Lian, Y.; Luo, M.; Liao, S.; Liu, H.; Peng, Z. Research of strain induced crystallization and tensile properties of vulcanized natural rubber based on crosslink densities. Ind. Crops Prod. 2023, 202, 117070. [Google Scholar] [CrossRef]
- Varkey, J.T.; Augustine, S.; Thomas, S. Thermal degradation of natural rubber/styrene butadiene rubber latex blends by thermogravimetric method. Polym. -Plast. Technol. Eng. 2000, 39, 415–435. [Google Scholar] [CrossRef]













| Components | Quantities (phr) | |||||||||||
|---|---|---|---|---|---|---|---|---|---|---|---|---|
| Conventional | Semi-Efficient | Efficient | ||||||||||
| 0.0 | 1.0 | 1.5 | 2.0 | 0.0 | 1.0 | 1.5 | 2.0 | 0.0 | 1.0 | 1.5 | 2.0 | |
| Natural rubber | 100 | 100 | 100 | 100 | 100 | 100 | 100 | 100 | 100 | 100 | 100 | 100 |
| Zinc oxide | 5.0 | 5.0 | 5.0 | 5.0 | 5.0 | 5.0 | 5.0 | 5.0 | 5.0 | 5.0 | 5.0 | 5.0 |
| Stearic acid | 2.0 | 2.0 | 2.0 | 2.0 | 2.0 | 2.0 | 2.0 | 2.0 | 2.0 | 2.0 | 2.0 | 2.0 |
| Antioxidant | 0.0 | 1.0 | 1.5 | 2.0 | 0.0 | 1.0 | 1.5 | 2.0 | 0.0 | 1.0 | 1.5 | 2.0 |
| MBTS | 0.5 | 0.5 | 0.5 | 0.5 | 2.5 | 2.5 | 2.5 | 2.5 | 1.5 | 1.5 | 1.5 | 1.5 |
| TMTD | 0.1 | 0.1 | 0.1 | 0.1 | 0.5 | 0.5 | 0.5 | 0.5 | 0.5 | 0.5 | 0.5 | 0.5 |
| Sulfur | 2.0 | 2.0 | 2.0 | 2.0 | 2.0 | 2.0 | 2.0 | 2.0 | 0.5 | 0.5 | 0.5 | 0.5 |
| Total | 109.6 | 110.6 | 111.1 | 111.6 | 112.0 | 113.0 | 113.5 | 114.0 | 109.5 | 110.5 | 111.0 | 111.5 |
| Ratio A/S | 0.3 | 1.5 | 4.0 | |||||||||
| A/S ratio range of the system | 0.1–0.6 | 0.7–2.5 | 2.5–12.0 | |||||||||
| MW (g mol−1) | MN (g mol−1) | PD | DPPH Reduction (%) | Ph-OH Total (μg GAE mg−1) |
|---|---|---|---|---|
| 345 | 89 | 3.876 | 63 ± 15 | 775 ± 25 |
| Vulcanization System | Composites NR/Tan (phr) | Crosslink Density | |||
|---|---|---|---|---|---|
| Flory–Rehner | Mooney–Rivlin | ||||
| υ × 10−4 (mol cm−3) | η × 10−4 (mol cm−3) | C1 | C2 | ||
| CV | 0 | 0.92 | 0.98 | 0.28 | 0.11 |
| 1 | 1.03 | 1.01 | 0.29 | 0.21 | |
| 1.5 | 0.9 | 0.25 | 0.27 | 0.25 | |
| 2 | 0.88 | 0.45 | 0.25 | 0.28 | |
| SEV | 0 | 2.08 | 1.33 | 0.33 | 0.19 |
| 1 | 2.1 | 1.36 | 0.34 | 0.19 | |
| 1.5 | 1.95 | 1.44 | 0.36 | 0.15 | |
| 2 | 2.08 | 1.14 | 0.28 | 0.11 | |
| EV | 0 | 1.22 | 1.14 | 0.24 | 0.01 |
| 1 | 1.15 | 1.14 | 0.06 | 0.21 | |
| 1.5 | 1.1 | 1.1 | 0.18 | 0.11 | |
| 2 | 1.14 | 1.01 | 0.25 | 0.27 | |
| Vulcanization System | Composites NR/Tan (phr) | Not Aged | Aged | ||
|---|---|---|---|---|---|
| Stress (MPa) | Strain (%) | Stress (MPa) | Strain (%) | ||
| CV | 0 | 12.1 ± 1.2 | 999.8 ± 52.9 | 12.5 ± 1.5 | 997.7 ± 41.8 |
| 1 | 11.5 ± 1.1 | 1003.7 ± 54.5 | 13.3 ± 1.2 | 994.5 ± 57.1 | |
| 1.5 | 13.0 ± 0.8 | 1007.5 ± 32.1 | 13.01 ± 2.3 | 996.2 ± 52.2 | |
| 2 | 12.5 ± 1.5 | 1005.7 ± 29.4 | 13.3 ± 1.9 | 992.5 ± 49.6 | |
| SEV | 0 | 2.7 ± 1.6 | 263.1 ± 90.9 | 1.6 ± 0.4 | 142.9 ± 35.9 |
| 1 | 2.3 ± 0.6 | 236.4 ± 39.4 | 1.5 ± 0.3 | 143.8 ± 40.2 | |
| 1.5 | 2.6 ± 0.7 | 286.2 ± 52.2 | 1.4 ± 0.2 | 132.1 ± 25.4 | |
| 2 | 2.2 ± 0.2 | 245.3 ± 17.7 | 1.5 ± 0.3 | 130.0 ± 31.8 | |
| EV | 0 | 15.8 ± 0.9 | 957.4 ± 30.4 | 14.9 ± 2.7 | 845.5 ± 49.3 |
| 1 | 14.6 ± 2.0 | 978.2 ± 79.5 | 15.2 ± 1.5 | 949.0 ± 42.9 | |
| 1.5 | 16.2 ± 2.3 | 1001.9 ± 111.6 | 15.5 ± 3.2 | 913.8 ± 39.9 | |
| 2 | 14.5 ± 2.2 | 967.7 ± 31.5 | 19.7 ± 3.8 | 886.5 ± 73.6 | |
Disclaimer/Publisher’s Note: The statements, opinions and data contained in all publications are solely those of the individual author(s) and contributor(s) and not of MDPI and/or the editor(s). MDPI and/or the editor(s) disclaim responsibility for any injury to people or property resulting from any ideas, methods, instructions or products referred to in the content. |
© 2024 by the authors. Licensee MDPI, Basel, Switzerland. This article is an open access article distributed under the terms and conditions of the Creative Commons Attribution (CC BY) license (https://creativecommons.org/licenses/by/4.0/).
Share and Cite
Filgueira, M.d.S.; Pinto, L.F.; Hiranobe, C.T.; de Freitas, A.d.S.M.; Rodrigues, J.d.S.; de Oliveira, A.L.; Ferreira, M.; Kawall, S.A.; Souza, D.d.S.; da Silva, E.A.; et al. Evaluation of the Antioxidant Properties of Black Acacia (Acacia mearnsii) Tannin in Vulcanized Natural Rubber Using Different Vulcanization Systems. Sustainability 2024, 16, 11213. https://doi.org/10.3390/su162411213
Filgueira MdS, Pinto LF, Hiranobe CT, de Freitas AdSM, Rodrigues JdS, de Oliveira AL, Ferreira M, Kawall SA, Souza DdS, da Silva EA, et al. Evaluation of the Antioxidant Properties of Black Acacia (Acacia mearnsii) Tannin in Vulcanized Natural Rubber Using Different Vulcanization Systems. Sustainability. 2024; 16(24):11213. https://doi.org/10.3390/su162411213
Chicago/Turabian StyleFilgueira, Matheus da Silva, Leandro Ferreira Pinto, Carlos Toshiyuki Hiranobe, Amanda de Sousa Martinez de Freitas, Jéssica de Souza Rodrigues, André Luis de Oliveira, Marystela Ferreira, Samara Araújo Kawall, Dener da Silva Souza, Erivaldo Antonio da Silva, and et al. 2024. "Evaluation of the Antioxidant Properties of Black Acacia (Acacia mearnsii) Tannin in Vulcanized Natural Rubber Using Different Vulcanization Systems" Sustainability 16, no. 24: 11213. https://doi.org/10.3390/su162411213
APA StyleFilgueira, M. d. S., Pinto, L. F., Hiranobe, C. T., de Freitas, A. d. S. M., Rodrigues, J. d. S., de Oliveira, A. L., Ferreira, M., Kawall, S. A., Souza, D. d. S., da Silva, E. A., Nascimento, E. S., Silva, M. J. d., Cabrera, F. C., Gennaro, E. M., & dos Santos, R. J. (2024). Evaluation of the Antioxidant Properties of Black Acacia (Acacia mearnsii) Tannin in Vulcanized Natural Rubber Using Different Vulcanization Systems. Sustainability, 16(24), 11213. https://doi.org/10.3390/su162411213

