Next Article in Journal
A Deep Learning-Based Dual-Scale Hybrid Model for Ultra-Short-Term Photovoltaic Power Forecasting
Previous Article in Journal
Response of Surface Runoff Evolution to Landscape Patterns in Karst Areas: A Case Study of Yun–Gui Plateau
Previous Article in Special Issue
Causes and Effects of Climate Change 2001 to 2021, Peru
 
 
Font Type:
Arial Georgia Verdana
Font Size:
Aa Aa Aa
Line Spacing:
Column Width:
Background:
Article

Assessment of Resilience Due to Adoption of Technologies in Frequently Drought-Prone Regions of India

by
J. V. N. S. Prasad
1,
N. Loganandhan
2,
P. R. Ramesh
2,
C. A. Rama Rao
1,
B. M. K. Raju
1,
K. V. Rao
1,
A. V. M. Subba Rao
1,
R. Rejani
1,
Sumanta Kundu
1,
Prabhat Kumar Pankaj
1,
C. M. Pradeep
1,
B. V. S. Kiran
1,
Jakku Prasanna
1,
D. V. S. Reddy
3,
V. Venkatasubramanian
3,
Ch. Srinivasarao
4,
V. K. Singh
1,*,
Rajbir Singh
5 and
S. K. Chaudhari
5
1
Indian Council of Agricultural Research (ICAR)—Central Research Institute for Dryland Agriculture (CRIDA), Hyderabad 500 059, India
2
Krishi Vigyan Kendra, Indian Institute of Horticultural Research, Tumkur 572 168, India
3
ICAR—Agricultural Technology Application Research Institute (ATARI), Bengaluru 560 024, India
4
ICAR—National Academy of Agricultural Research Management (NAARM), Hyderabad 500 030, India
5
Division of Natural Resource Management, Krishi Anusandhan Bhawan-II, New Delhi 110 012, India
*
Author to whom correspondence should be addressed.
Sustainability 2024, 16(17), 7339; https://doi.org/10.3390/su16177339
Submission received: 12 April 2024 / Revised: 11 May 2024 / Accepted: 3 June 2024 / Published: 26 August 2024

Abstract

Climate change and variability are increasingly affecting agriculture and livelihoods in developing countries, with India being particularly vulnerable. Drought is one of the major climatic constraints impacting large parts of the world. We examined the effects of drought on crop productivity, evaluated the effectiveness of technologies in mitigating these impacts and quantified the resilience gained due to technology adoption. Resilience score and resilience gain are the two indicators used to quantify resilience. The study utilized data gathered from two villages situated in Karnataka, southern India, which have implemented the National Innovations in Climate Resilient Agriculture (NICRA) program, along with data from one control village. Drought has significantly impacted the yields, and the extent of reduction ranged from 23 to 62% compared to the normal year. Adoption of climate-resilient technologies, including improved varieties, water management and livestock practices proved beneficial in increasing yield and income during drought years. The resilience score of various technologies ranged from 71 to 122%, indicating that the technologies had realized an increase in yields in the drought year in comparison to the normal year. The extent of resilience gain ranged from 7 to 68%, indicating that the adoption of technologies contributed to the yield advantage over the farmers’ practice during drought. Water harvesting and critical irrigation have the highest resilience scores and gains, and in situ moisture conservation practices such as trench cum bunding (TCB) have comparable resilience scores and gains. The diversification of enterprises at the farm has a higher resilience score and gain. There is a need to identify climate-resilient technologies that can achieve higher resilience, as the solutions are context-specific. Further, promising technologies need to be scaled by adopting multiple approaches and by creating an enabling environment so as to increase resilience in agricultural systems.

1. Introduction

Climate change poses a significant challenge and represents a global threat to food and nutritional security [1,2]. Increasing temperatures, shifting precipitation patterns, frequent and severe droughts, prolonged dry spells, floods, high rainfalls, cyclones, heat and cold waves are affecting agricultural productivity and livelihood security [3,4,5,6,7,8,9,10,11,12]. The relationship between climate change and agriculture is interconnected, with the impacts of climate change on agricultural systems becoming increasingly apparent, with variations observed globally. The anticipated effects of climate change on crop production are expected to be detrimental, potentially posing a significant threat to both regional and global food security, especially in developing countries due to their heightened vulnerability [11,12,13,14]. According to the 6th Assessment Report of the Inter-Governmental Panel on Climate Change, climate change is extensive, accelerating and escalating. The atmospheric carbon dioxide (CO2) levels have surpassed 415 ppm and are rising rapidly. The average global temperature has risen by 1.1 °C already and could exceed 1.5 °C by 2040, potentially reaching 3.5 °C by 2100 under a business-as-usual scenario [15]. Developing nations across Asia bear the brunt of climate change, particularly the escalating temperatures, with estimated losses totaling USD 18 billion at a 1.5 °C increase. Given India’s heavy reliance on agriculture, the impact would be profound, considering that a significant population depends directly on this sector and approximately 50% of cultivated lands are rainfed [16].
India’s agricultural sector is highly susceptible to the impacts of climate change. Roughly 60% of the nation’s workforce relies on agriculture as their primary source of livelihood [17]. Projections indicate that with a temperature increase of 2.5 °C to 4.9 °C, rice yields could decline by 32% to 40%, while wheat yields could decrease by 41% to 52% [17]. This would cause GDP to fall by 1 to 2.9% [8]. Changes in temperature, precipitation and their patterns have considerable impact on agricultural productivity, making it highly susceptible to climate-induced effects.
India ranks among the most drought-prone nations globally, with approximately 53% of its geographical area classified as arid and semi-arid regions, making them particularly susceptible to droughts. Rainfed agriculture significantly contributes to India’s economy, with 68% of the country’s net sown area relying on rainfall. As per the National Rainfed Areas Authority, rainfed crops occupy 42% of the total food crop area and 58% of the non-food crop area. Agriculture in rainfed regions is highly susceptible to droughts, historically exerting substantial impacts on agricultural production [18,19]. Drought poses a significant threat to agricultural systems and the livelihood security of farming families, particularly in numerous arid and semi-arid regions across the developing world [20,21]. On a global scale, drought impacts roughly 7.5% of the Earth’s land area, ranking it as the second-most geographically extensive hazard following floods, which affect approximately 11% of land areas. Additionally, the proportion of land affected by severe drought has doubled from the 1970s to the early 2000s [22]. On average, India’s arid and semi-arid regions suffer from drought and moisture stress every three years. Often the effects of drought lasts for three to six years and affect the availability of water for people, livestock and crop and fodder production. Severe droughts in rainfed areas have reduced agricultural production by 20 to 40% [23,24]. In India, it is projected that agricultural productivity losses could surpass USD 7 billion by 2030, with annual drought-related losses expected to escalate. However, implementing climate-resilient technologies and adaptation measures could potentially mitigate these losses by up to 80% [25].
Achieving resilience to drought is an important objective for several developing countries. Resilience refers to the capacity of a system and its elements to anticipate, absorb, adapt to or bounce back from the impacts of a hazardous event promptly and effectively [26]. Regarding agriculture and climate change, resilience can be described as the capability of the agricultural system to maintain its structure and fulfill its functions despite facing climate variability and extremes [27]. Building climate resilience is becoming a major priority in view of the widespread impacts of climate change on food production, livelihoods and development [28]. The resilience of farming systems is conceptualized and assessed in multiple ways, viz., based on system aspects comprising productivity, stability, resistance and rapid recovery [29], based on the outcome definitions of resilience such as stability, transformation and reduced vulnerability and based on robustness, adaptability and transformability [27,30,31] or the perturbations that farming systems are exposed to such as shocks, exposure and sensitivity [32]. However, resilience applications in intensively managed systems such as cereal-based systems, horticulture crops, etc., which are contributing to the global food production systems, are limited [29]. Given the widespread application of resilience in farming systems research, there is a consensus that the resilience theory should be underpinned by robust assessment methodologies [33].
Identification of suitable technologies that can minimize the impact of drought and variable climates is necessary to minimize the impacts of climatic variability and change. Several efforts were made in India and globally to develop suitable technologies that can potentially minimize the impact of dry spells and drought. The impacts of the resilient technologies identified through the NICRA program are well documented [32,34]. Nevertheless, the effects of droughts on crop productivity and economic outcomes have been inadequately explored, with limited utilization of comparable data from farmers unaffected by drought. Improved assessment and quantification of drought effects on crops, animal systems and other production systems are essential to understand the magnitude of impact and evaluate the effectiveness of technology adoption in mitigating drought impacts. Therefore, the primary aims of this study are to examine the effects of drought on crop productivity and income, assess the efficacy of climate-resilient technologies in mitigating drought impacts and quantify the level of resilience attained through the adoption of these technologies.
The significance of this research extends beyond academic inquiry, as its findings have profound implications for policy formulation and resource allocation aimed at enhancing climate resilience in agriculture in semi-arid regions. By quantifying the level of resilience achieved through technology adoption, this study offers valuable insights for policy makers, agricultural practitioners and development agencies seeking evidence-based strategies to bolster the adaptive capacity of farming communities.

2. Material and Methods

2.1. Overview of the Study Location

Tumkur district is situated in the southeastern region of Karnataka, India. It spans from latitude 12°44′31′′ N to 14°21′2′′ N and longitude 76°21′2′′ E to 77°30′12′′ E, with elevation ranging from 531 m to 761 m above sea level. Encompassing an area of approximately 10,603 square kilometers, the district is characterized by its diverse topography and geographical features. Tumkur district in Karnataka typically experiences an average rainfall of 688 mm distributed across 45 rainy days, with approximately 344 mm of rainfall occurring during the rainy season from June to September. Given these precipitation patterns, cropping activities primarily occur during the rainy season under rainfed conditions. The climate of the district is characterized as semi-arid. The years 1955, 1963, 2006, 2009, 2017 and 2018 marked the driest periods of the southwest monsoon season, whereas 1954, 1964, 1967, 1978, 1981, 1984, 1986, 1987, 1989, 2007, 2008, 2013, 2014 and 2015 experienced dry conditions during the retreating monsoon period. The soils of the district are red loamy, categorized into Alfisols [35]. Alfisols comprise approximately 49% of the total area, while Inceptisols account for around 28%, and Entisols cover approximately 19% of the area. Prolonged dry spells during the rainy season lead to drought-like situations, adversely impacting crop growth and yields. The villages D. Nagenahalli and Tanganahalli are situated within the central dry agroclimatic zone of Karnataka, experiencing an average annual rainfall of 690 mm. The villages have 190 ha total of cultivated areas, out of which the area under rainfed cultivation is 174 ha. The major soil types found in the villages are red sandy and red loamy soils. The villages are home to 269 families with a population of 932. The major climatic constraints are drought and extreme temperatures. The villages experience an acute shortage of water, soil erosion and preponderance of wastelands. The major crops grown in the village are finger millet (Eleusine coracana (L.) Gaertn), groundnut (Arachis hypogaea L.), pigeon pea (Cajanus cajan (L.) Millsp.), maize (Zea mays) and trees such as Melia dubia, Acacia auriculformis, Grevillea robusta, Emblica officinalis, etc. The National Innovations on Climate Resilient Agriculture (NICRA) project has been operating since 2011 (http://www.nicra-icar.in/ (accessed on 3 March 2024)). Several promising technologies have been implemented as part of the project to farmers in a participatory mode, which can potentially minimize the impact of dry spells and drought and contribute to resilience [36]. About 40 technologies were demonstrated to farmers in the village. Technologies related to natural resource management, resilient crops and varieties, animal-based interventions and community-based interventions, such as the formation of a climate risk management committee, seed banks and fodder banks in the village, were demonstrated to farmers to enhance the adoption of promising technologies introduced in the village. The technologies demonstrated in the village are location-specific in situ moisture conservation measures and include water harvesting and its efficient use for critical irrigation and for enhancing cropping intensity, improved short-duration drought-escaping cultivars of the predominant crops grown in the villages, such as finger millet, groundnut, pigeon pea and maize, the efficient use of harvested water by way of floriculture, vegetable crops, improved animal breeds, improved shelter for the animals to minimize the impact of heat stress, improved fodder crop cultivars to enhance green fodder production, vaccination for improved health, etc. The demonstration of technologies taken up as part of the project led to their adoption, and the impact is assessed from the perspective of resilience created in comparison with non-adopters in the adjacent village, Singerihalli, which is about 15 km away, during the drought year (2017–2018) and the normal year (2015–2016). Figure 1 depicts the geographic location of the study area.
A trimodal system of rainfall prevails in the Tumkur district. The average rainfall is 688 mm, and the extent of rainfall received during the pre-monsoon season (March–May) is 138 mm, southwest monsoon season (June–September) is 344 mm and northeast monsoon season (October–December) is 206 mm. In 2017, the D. Nagenahalli village received a total rainfall of 921 mm out of which 109 mm fell in the summer season (March–May), 528 mm in the southwest monsoon season (June–September) and 284 mm in the northeast monsoon season (October–February). Although the southwest monsoon season received 528 mm of rainfall, 80% of the rain was received in the month of September alone, resulting in a 20-day dry spell in June-July, a 16-day dry spell in the later part of July and 8- and 14-day dry spells in August, negatively impacting crop growth after germination. The rainfall received during the year 2017 was highly variable. In the month of July, only 15 mm of rain, and in August, only 37 mm, was received. During the months of June and July, which coincide with the sowing, establishment and grand growth period of crops, only 66 mm of rainfall was received, with prolonged dry spells creating a drought-like situation, impacting crop growth severely. Subsequently, in the month of September, heavy rainfall damaged the crops.
Rainfall analysis of Tumkur for the last 48 years shows that agricultural droughts were scattered in the past, but in recent years, the occurrence of droughts during the rainy season (kharif) season has been common. Agricultural droughts were observed between the 22nd and 42nd meteorological standard week, and the number of weeks under agricultural drought also increased over the decades. Out of the 48 years, the district experienced seven years (14.5% of the time) of moderate and one year (2% of the time) of severe drought.

2.2. Sample and Data Collection

A household survey was conducted for the collection of data to assess the impact of the adoption of technologies. Information was obtained about all the farmers in both the villages and about the systems practiced including animals and perennial systems, the technologies adopted and access to irrigation water. The entire village is divided into four farming system typologies, and data from 10% of the farmers from each of the typology types were collected in relation to the adoption of technologies and the impact of adoption for three different time periods, viz., during the drought (2017–2018), during the normal rainfall year (2015–2016) and before the inception of the project (2011). The predominant farming system typologies identified were only the crop, crop + horticulture, crop + livestock and crop + horticulture + livestock. Data were collected with the help of a pre-tested questionnaire. The data were collected from 51 randomly selected households from an NICRA village and 17 households from a non-NICRA village. The questionnaire was designed to collect information on cropping pattern, composition of household income, crop and livestock production due to the adoption of technologies in the NICRA village and farmers’ practices in the non-NICRA village during both normal and drought years. Data collection involved visiting farmers’ households three times: once after sowing/planting, once in the middle of the cropping season and, finally, after harvest and sale of the produce, during both drought and normal years. To ensure comparability of the net returns from different systems, specific unit sizes were defined: for only crops, 1 hectare; for crops + horticulture, 0.5 + 0.5 hectares; for crops + livestock, 0.5 hectares + 1 adult cattle unit (ACU); and for crops + horticulture + livestock, 0.5 hectares + 0.5 hectares + 1 ACU. The collected data underwent analysis to quantify resilience, including the resilience score, resilience gain and t-tests to evaluate the impact of technologies.

2.3. Assessment of Resilience of Technologies

Numerous definitions and conceptualizations of resilience exist. Despite their diversity, these conceptualizations converge on the idea that a resilient system possesses the capacity to endure, function during periods of stress and rebound to a normal state after experiencing a disturbance. Thus, the study adopts Holling’s definition of resilience, which characterizes it as the system’s inclination to maintain its organizational structure and productivity in the aftermath of a disruption [37]. From the perspective of agriculture, the ability of a given production system to survive stress and maintain its productivity and income when exposed to stress (drought in the present context) is the basis for assessing resilience. This can be put in terms of the proportion of yield obtained after the crop is subjected to drought to that obtained in normal (moisture stress-free) conditions. Two indices, viz., the resilience score and resilience gain, are being used to assess the resilience of the components of the production system. The resilience score is the proportion of yield or income obtained during the stress year in comparison to the normal year and expressed as a percentage [38]. A greater proportion corresponds to higher levels of resilience. This resilience metric is calculated both with and without adaptation measures, with the difference in resilience metrics attributable to the effectiveness of the adaptation interventions. A similar calculation was performed to gauge income resilience as well.
Resilience gain is the proportion of yield loss avoided with a given adaptation technology compared to a ‘no adaptation’ situation. Resilience gain assesses the gain due to the adoption of adaptation measures over traditional practices during the drought period in comparison to the normal rainfall year. It is the difference in the resilience achieved by the adaptation measure over and above the traditional practices being adopted by the farmers in the village [39].

2.4. Estimation of Runoff by Using SCS-CN Model

As part of the project, various soil and water conservation initiatives were implemented in the village to enhance water storage and its efficient utilization for critical irrigation during drought periods. A total of 81 new farm ponds were constructed in the village, while 15 existing farm ponds underwent desilting to augment water storage capacity. Additionally, 13 percolation tanks and 13 check dams were either built or desilted, and six new water harvesting structures were established to increase the water storage capacity in the village. Water from the farm ponds was utilized for critical irrigation during dry spells, while water stored in percolation tanks facilitated groundwater recharge, replenishing deep bore wells for further irrigation during drought periods. The potential water harvesting capacity in the village was evaluated using the Soil Conservation Service Curve Number (SCS-CN) model, a widely adopted method. This model considers inputs such as daily rainfall, land use type, hydrologic soil group and antecedent moisture conditions. The observed hydrologic soil groups in the village were categorized as C and D, indicating soils with low infiltration rates when saturated. The curve number values ranged from 70 to 94 for different land use and land cover types in the village. The SCS curve number method was employed to estimate runoff for individual storms within a day or daily runoff, using the given inputs.
Q = ( P I a ) 2 ( P I a ) + S
In the equation, Q represents the daily runoff in millimeters (mm), P denotes the daily rainfall in millimeters (mm), S stands for the maximum retention potential in millimeters (mm) and Ia represents the initial abstraction in millimeters (mm).

2.5. Statistical Analysis

The significance of the impact of technologies compared to farmer’s practices during drought was assessed through a t-test assuming equal variance. This statistical test was employed to determine whether the observed differences in performance with and without technologies were statistically significant.
t = x ¯ 1 x ¯ 2 S 2 1 n 1 + 1 n 2
s 2 = i = 1 n 1 x i x ¯ 1 2 + j = 1 n 2 x j x ¯ 2 2 n 1 + n 2 2
Here, x ¯ 1 and x ¯ 2 represent the mean yield or income with the adoption of technology and local practices, respectively. s2 denotes the pooled sample variance, while n1 and n2 indicate the sample sizes. The test statistic t follows a Student’s t-distribution with n1 + n2 representing the 2 degrees of freedom.

2.6. Multiple Linear Regression

Regression analysis was utilized to evaluate the influence of different improved or resilient technologies compared to local practices, as well as the interaction between these technologies and stress factors, as follows:
Y = β 0 + β 1 D +
In the equation, Y represents the outcome, which denotes the yield or net return. β 0 stands for the intercept, indicating the effect when technology is absent. β 1 is the regression coefficient aimed to be estimated, reflecting the influence of technology. D serves as a dummy variable, indicating the presence (D = 1) or absence (D = 0) of a specific technology. The term denotes the random error following a normal distribution with mean 0 and variance σ2. Diagnostic measures like R-square and p-values from t-tests associated with regression coefficients were utilized to verify the results’ integrity and assess the statistical significance of resilient technologies’ impact.

3. Results and Discussion

3.1. Impact of Adoption of Short-Duration and Drought-Escaping Varieties on Productivity and Net Returns

The adoption of short-duration and drought-escaping varieties such as finger millet (ML-365), groundnut (ICGV-91114), pigeon pea (BRG-2) and maize (hybrid) within the surveyed communities led to enhanced productivity and returns, both in typical and drought-affected areas, in contrast to those who did not adopt these varieties. The increase in yield attributed to the adoption of these varieties during drought years ranged from 0.7 to 6.8 quintals per hectare, representing an improvement of 10% to 98% compared to local varieties (p < 0.01). Meanwhile, the degree of yield enhancement resulting from the adoption of these varieties during normal years ranged from 1.1 to 7.1 quintals per hectare, representing an increase of approximately 5% to 29% compared to local varieties (Figure 2a). The drought situation of 2017–18 is a severe one and has impacted crop growth and yields. The extent of yield reduction during the drought year due to the adoption of short-duration and drought-escaping varieties was 9 to 25%, and in local varieties, the reduction was 23 to 62% in comparison to the yields obtained by the local varieties during a normal year (2015–2016). Net returns obtained due to the adoption of short-duration and drought-escaping varieties of finger millet, groundnut, pigeon pea and maize during the drought year were higher and ranged between INR 4519 and 29,494/ha (Figure 3a).
The adoption of short-duration and drought-escaping/tolerant varieties in finger millet, groundnut, pigeon pea and maize has resulted in significant improvements in productivity and returns during the normal as well as drought years compared to non-adopters. Adoption of the drought-tolerant variety of groundnut (ICGV 91114) demonstrated a 23% higher yield in comparison to the traditional variety, which highlighted the importance of incorporating such improved varieties into agricultural practices to enhance the overall resilience of farming communities in the face of climate-related challenges [40]. Farmers typically cultivate local crop varieties, known for their extended growth periods, exposing them to both insufficient and excessive rainfall, adversely impacting crop yields. Many of the improved and high-yielding varieties, conversely, have shorter growth cycles, enabling them to evade drought conditions that typically arise towards the end of the growing season. These varieties are particularly suitable for regions with delayed monsoon onset and low rainfall, facilitating cultivation within shortened growing seasons [41]. High-yielding, short-duration improved varieties with stress tolerance have potential for widespread adoption and scalability [42]. Improved varieties with inbuilt resilience to climate variability often lead to significant yield gains, particularly in regions prone to erratic rainfall patterns [10]. These studies collectively underscore the importance of enhancing the adoption of resilient crop varieties tailored to withstand climatic stresses.

3.2. Effect of In Situ Conservation Practices and Critical Irrigation in Combination with Short—Duration and Drought-Escaping Varieties on Productivity and Net Returns

The adoption of in situ moisture conservation practices such as trench cum bunding (TCB) with short-duration and drought-escaping varieties increased the crop yield by 2.3 to 8.5 q/ha compared to local varieties without TCB during the drought year. Providing critical irrigation during drought in crops of local varieties such as finger millet, groundnut, pigeon pea and maize enhanced the yield by 1.3 to 4.9 q/ha compared to without critical irrigation (p < 0.01). Providing critical irrigation to short-duration and drought-escaping varieties increased the crop yields by 7.5 to 12.6 q/ha compared to local varieties without irrigation during the normal year. As harvesting water and providing critical irrigation requires significant resources, the adoption of a combination of practices that require relatively less resources such as in situ water conservation coupled with short-duration and drought-escaping varieties has resulted in significant and comparable yield improvements during the drought year, which ranged from 2.2 to 8.5 q/ha compared to the farmers’ practice of no conservation and with the local varieties (Figure 2b). Similarly, net returns due to the adoption of local varieties with critical irrigation during drought, short-duration and drought-escaping varieties with TCB and short-duration and drought-escaping varieties with critical irrigation during the drought year were increased by INR 17,844, INR 27,083 and INR 35,348 per ha, respectively, as compared to local varieties without in situ conservation and irrigation (p < 0.01). The additional net returns obtained due to the adoption of local varieties with critical irrigation, short-duration and drought-escaping varieties with TCB and critical irrigation during dry spells in the normal year ranged between INR 1782 and 18,373 per ha, INR 27,849 and 31,919 per ha and INR 31,620 and 38,536 per ha, respectively, in comparison to farmers’ practice with local varieties and without irrigation facilities during the normal year.
Effective water harvesting and its efficient utilization play a crucial role in stabilizing agricultural production, especially in semi-arid regions. Techniques such as rainwater harvesting, implemented through structures like farm ponds, check dams, percolation tanks, recharge pits and recharging wells, allow for the collection of excess runoff during heavy rainfall. This practice aids in groundwater replenishment, offering farmers the opportunity for supplementary irrigation during deficient monsoon seasons and facilitating double cropping when water availability permits [34]. In situ water harvesting, employing straightforward technologies, promotes greater water infiltration, temporarily retaining water on the soil surface to prolong infiltration opportunities. This extends moisture availability to crops, enabling them to endure variable rainfall conditions [41]. Noteworthy yield improvements of up to 70% have been observed in Africa through such methods [9]. In the present study, both water harvesting and in situ conservation significantly enhanced yields under stressful conditions. Trench cum bunding (TCB) emerged as a promising in situ measure for Alfisols with moderate slopes, resulting in substantial yield enhancements. This approach holds potential for scaling in comparable soil types, slopes and rainfall patterns.

3.3. Effect of Animal/Livestock Technologies on Productivity and Income

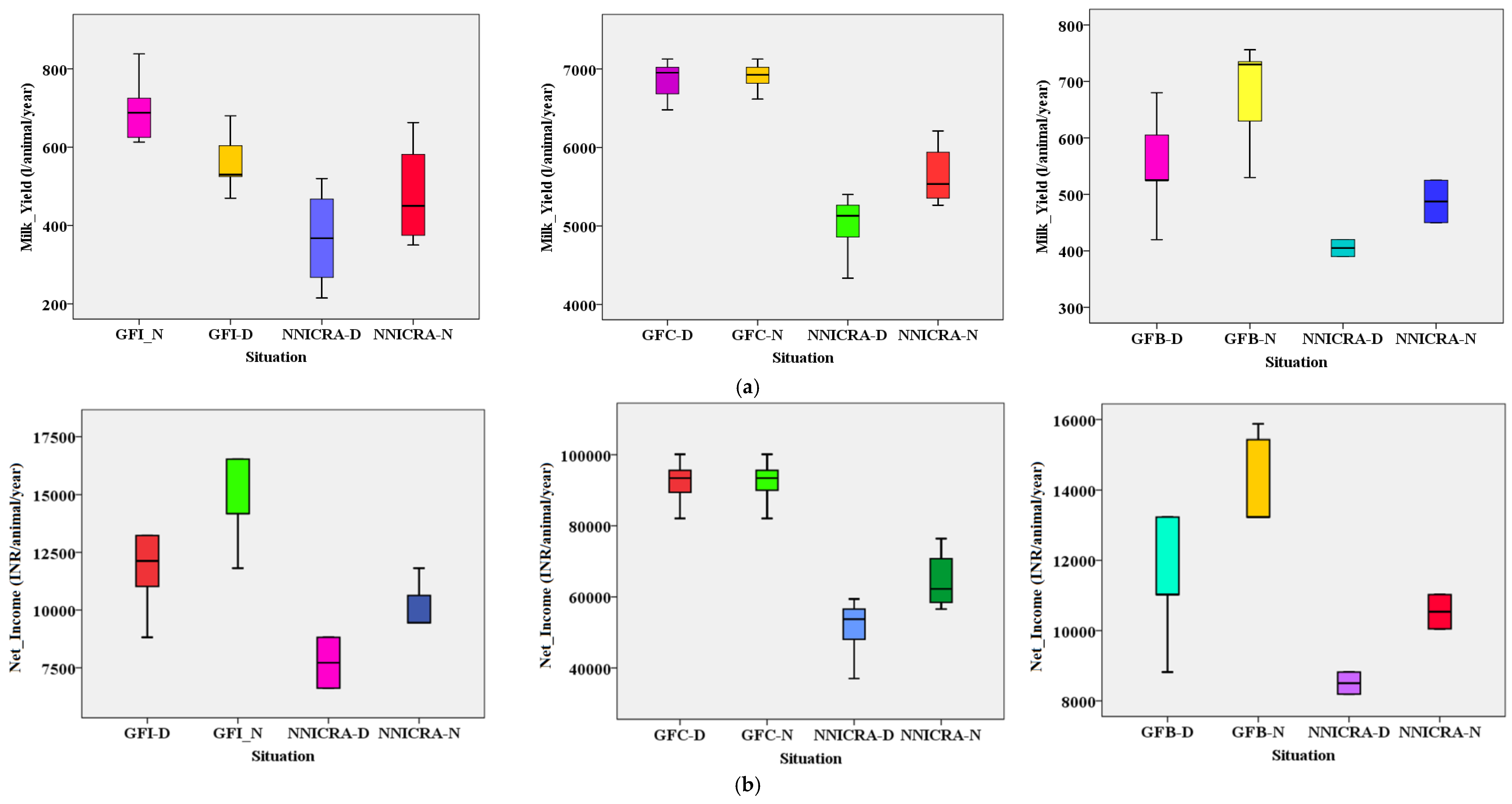
Cultivation of Hybrid Napier with harvested water resulted in enhanced green fodder production during the drought and normal years in the NICRA village, whereas it was not taken up in the non-NICRA village due to the non-availability of water during summer and a lack of awareness of improved fodder varieties and also access to the improved material. Supplementation of Hybrid Napier green fodder in crossbred cows, indigenous cows and she-buffalo increased the milk yield by 1868, 195 and 150 L/animal/milking period, respectively, compared to the farmers’ practice during the drought year (p < 0.05). The model explains a significant variability of 50 to 92% and 67 to 84% during drought and normal years, respectively, due to the adoption of various interventions. The extent of improvement in net returns due to supplementation of Hybrid Napier green fodder in large ruminants (crossbred cows, indigenous cows and she-buffalo) were to the tune of INR 41193, INR 4095 and INR 3150 per animal per milking period, respectively, compared to farmers’ feeding practice during the drought year. Supplementation of Hybrid Napier in small ruminants increased body weight and thus increased returns by INR 1495 per head compared to without supplementation of Hybrid Napier fodder. Feeding of Hybrid Napier during a normal year in small and large ruminants led to additional returns compared to farmers’ practice (Figure 4a).
Livestock is an important component for smallholders as the majority of farmers own animals in semi-arid regions where mixed systems are predominant. Crop residues are crucial for feeding animals in mixed farming systems. Adopting practices like Hybrid Napier (CO4) green fodder and mineral supplements can boost production despite drought. Though green fodder improves productivity in indigenous and crossbred animals, its impact during drought was limited due to insufficient water availability for production, emphasizing the pivotal role of water availability in enhancing livestock productivity under adverse conditions [43]. Recent evidence has demonstrated the effectiveness of supplementing livestock feed with alternative sources of nutrients, such as legumes and low-cost agroindustrial byproducts, in improving productivity and income in smallholder farming systems [13]. These supplementation strategies not only enhance animal health and performance but also contribute to resilience during drought periods. Climate-smart livestock management practices, such as enhanced green fodder production and use, rotational grazing, water harvesting and improved animal health management, etc., contribute to resilience in livestock production systems [44]. These practices help mitigate the impacts of climate change on animal health and productivity, thus ensuring sustained income, particularly in frequently drought-prone regions.

3.4. Extent of Resilience Achieved Due to the Adoption of Technologies

Resilience score and gain due to the adoption of short-duration and drought-escaping varieties ranged between 75 and 91% and 7 and 38%, respectively. A resilience score ranging from 75 to 91 indicates that the adoption of short-duration and drought-escaping varieties during the drought year results in yields that are 75 to 91% of the normal year yields (Figure 5). A resilience gain of 7 to 38% due to the adoption of short-duration and drought-escaping varieties indicates the extent of yield improvement during the drought year over that of the adoption of farmers’ traditional varieties (Figure 5). The adoption of improved varieties with supplemental irrigation during dry spells helped to achieve a resilience score and resilience gain of 99 to 118 and 39 to 68%, respectively, during the drought year as compared to the normal year. The adoption of Hybrid Napier has a resilience score and resilience gain ranging between 106 and 122 and 29 and 41%, respectively, compared to the normal year. Feeding with Hybrid Napier along with regular feeding practice for milch animals during the normal year enhanced the milk yield by 22.5% in crossbred cows, 46.0% in indigenous cows and 29.0% in she-buffalo (Figure 6a). Feeding with Hybrid Napier in small and large ruminants has an income resilience score and gain of 106 to 144% and 29 to 41%, respectively, during the drought year compared to the normal year (Figure 6b). The household income resilience score and resilience gain observed during the drought year with the adoption of technologies ranged between 80 and 137% and 65 and 216%, respectively, as compared to without the adoption of climate-resilient technologies during the normal year (Figure 7).
Resilience gain was achieved through the adoption of short-duration and drought-tolerant varieties, which have the ability to complete their life cycle quickly, thus avoiding stress at the time of maturity. These varieties escape water stress and can produce stable yields [45]. The resilience score due to supplemental irrigation with the improved varieties ranged from 99 to 118%, whereas in situ water conservation measures with the improved varieties ranged from 92 to 103% of the normal year, which indicates the effectiveness of the in situ measures in stabilizing productivity during the drought year. Similar results were also observed in the case of resilience gain. Feeding green fodder consisting of Hybrid Napier enhances milk yield and income resilience, particularly during drought years, indicating the importance of green fodder in improving livestock productivity during the drought period [43].
Measuring resilience, especially within agricultural systems, remains a challenge, with no unanimous agreement on the appropriate assessment methods [28]. Various frameworks of indicators have been suggested for the ranking and assessment of agroecosystems based on their comparative resilience [46]. There is a shortage of dynamic indicators and proxies that enable active monitoring of resilience [29]. In this study, we proposed two indices, the resilience score and resilience gain, as indices for monitoring resilience in agricultural systems. The operational framework of resilience in agroecosystems considers productive functions such as crop yield and income [47,48], which are assessed as part of the study. Productivity, stability, resistance and prompt recovery serve as foundational elements within any framework aimed at attaining resilience in agroecosystems [29]. The evaluation of technology productivity and stability in this study focuses on their performance during stress years compared to normal years. Resilience is deemed higher when technology performance during stress years closely aligns with that of normal years. Similarly, the resistance is higher if the technology continues to face the stress and perform under the stress year in comparison to the normal year or the stress-free year. The resilience score is a quantitative measure that assesses a system’s ability to withstand, perform and recover from adversity and stress. The resilience gain, on the other hand, represents the avoided yield or income loss as a proportion of what would have occurred in the absence of adaptation in a drought situation. These metrics are useful for assessing the quantum of resilience as they provide a structured framework to measure and track an entity’s ability to withstand and perform during stress. The concept of resilience score and gain enables a more nuanced and data-driven approach to resilience assessment and can facilitate the initiation of proactive measures to mitigate risks and build robust, adaptable systems in the face of climatic challenges.

3.5. Evaluation of Climate-Resilient Technologies Using Regression Analysis

Regression analysis indicates that the adoption of short-duration and drought-tolerant varieties of finger millet (ML-365) and groundnut (ICGV-91114) during the drought year resulted in a yield enhancement of 6.8 and 6.2 q/ha, respectively, compared to local varieties (p < 0.01). However, the adoption of short-duration and drought-tolerant varieties of pigeon pea (BRG-2) and maize hybrid during the drought year resulted in a marginal yield improvement compared to local varieties. During the normal rainfall year, the adoption of short-duration and drought-tolerant varieties resulted in a yield improvement of 2.0, 1.3, 2.7 and 7.1 q/ha in finger millet and pigeon pea (p < 0.05) and in groundnut and maize crops (p < 0.01), respectively, compared to local varieties (Table 1). As compared to local varieties, the net return obtained due to the adoption of short-duration and drought-escaping varieties increased by INR 23,878, INR 29,493 and INR 4520 per ha in finger millet, groundnut and pigeon pea crops, respectively, during the drought year (p < 0.01). Similarly, higher net returns were obtained during the normal year compared to the local varieties in finger millet, groundnut and maize (p < 0.01, Table 2).
The adoption of short-duration and drought-escaping varieties along with in situ and water harvesting practices in comparison to the local varieties during normal and drought years indicate significant yield improvement (p < 0.01). During the drought year, the adoption of in situ practices such as trench cum bunding resulted in a yield enhancement ranging from 2.6 to 9.7 q/ha in various crops. Similarly, one critical irrigation during the drought period resulted in a yield improvement to the extent of 4.2 to 11.2 q/ha in short-duration and drought-escaping varieties and 1.3 to 4.4 q/ha in local varieties grown by farmers. During the favorable seasons and during the normal rainfall years, the extent of yield improvement due to the adoption of TCB was to the tune of 5.7 to 10.9 q/ha, whereas one irrigation during the dry spell resulted in a yield improvement to the extent of 7.5 to 12.8 q/ha in short-duration and drought-escaping cultivars and 1.7 to 3.5 q/ha in local cultivars (Table 3). Similarly, the adoption of climate-resilient practices increased the net return by INR 27,983 to 36,065 per ha in finger millet, INR 21,958 to 56,883 per ha in groundnut, INR 6593 to 20,978 per ha in pigeon pea and INR 14,843 to 27,468 per ha in maize crop with the application of local and improved varieties with water management practice as compared to standard farmers’ practice during the drought year (Table 4).
The feeding of green fodder (variety Hybrid Napier) as a supplement along with regular feeding practices in large ruminants such as crossbred cows, indigenous cows and she-buffalo increased the milk yield by 195 to 219, 1266 to 1868 and 150 to 151 L/animal/milking period as compared to farmers’ feeding practice during drought and normal years, respectively (p < 0.05). Similarly, a significant improvement in net returns was observed due to the green fodder supplementation in both drought and normal years as compared to farmers’ practice (p < 0.05).

3.6. Impact of Adoption of Multiple Technological Practices on Net Returns

Comparative analysis was performed for the net returns for the predominant farming systems in the villages with and without the adoption of technologies. We analyzed four systems such as only crop, crop plus horticulture, crop plus livestock and crop plus horticulture plus livestock. Farming systems that adopted technologies realized higher household incomes in comparison to farming systems without the adoption of technologies. Net returns of INR 11,825 per ha were realized with the adoption of technologies in the crop system alone and farmers who have adopted the traditional practices incurred a loss of income of INR 19,983 per ha due to drought. Household returns in other systems such as crops with horticulture, crops with livestock and crops with horticulture and livestock systems increased by 142, 232 and 86%, respectively, compared to farming systems without the adoption of technologies during the drought year (p < 0.01). The adoption of crops with a horticulture and livestock system recorded the highest household income, followed by crops with livestock, crops with horticulture and only crops in cases of both the adoption and non-adoption of climate-resilient technologies (Figure 7).
Integrated agriculture systems have been found to be more resilient to climate variability and climate change than more specialized agriculture systems [49]. Integrated agriculture systems can lower reliance on external inputs, enhance nutrient cycling and increase natural resource use efficiency [50]. The adoption of multiple enterprises serves as a risk mitigation strategy [51]. Choosing a single enterprise, be it arable cropping or livestock rearing, whether using improved or traditional practices, is inherently risky and often may lead to lower production during periods of drought [52]. Conversely, households engaged in various enterprises, such as arable cropping, horticulture and livestock coupled with water accessibility, result in increased productivity and higher net returns from each component by harnessing synergies. The multi-enterprise approach enhances income and resilience [53]. Multiple agricultural enterprises can optimize resource use and enhance resilience to climate variability [54]. Integrated systems that incorporate crop production, horticulture and livestock rearing offer diversified income sources and risk mitigation against adverse climatic events, leading to an increase in income [55].

3.7. Impact of Water Harvesting Structures in Harvesting the Potential Amount of Runoff

The majority of the watershed area in the D. Nagenahalli village is covered with agriculture (50%), followed by pasture land (23%), forest land (21%) and cultivable wasteland (6%). The hydrologic soil groups observed in the watershed are C and D. The curve number value varies from 70 to 94 for different land use land cover of the watershed. The daily available rainfall data for the period 2012 to 2019 have been used for estimating the runoff potential using the SCS-CN method. During the drought year 2017, the rainfall and runoff during the rainy season were 539 and 141 mm, respectively; only six runoff events were observed during the winter season, and no runoff was observed during the summer seasons. One runoff event was observed in the month of May and no runoff events were observed during the months of June, July and August, which impacted crop growth and yields of the crops. More runoff events occurred during the months of September and October. The runoff volume estimated for the year 2017 in D. Nagenahalli village was 73,325 m3 compared to a mean annual runoff volume of 328,506 m3. The mean annual runoff was 10.7% of the rainfall, whereas, during the drought year, runoff from the village was 4.2% of the rainfall. Rainfall intensities of >60 mm per day occurred three times in 2017, generating a significant quantity of runoff. Although the annual rainfall is relatively low in the study area (Tumkur district), the runoff potential is quite high due to the high intensity of rainfall received. As part of the project, the water harvesting capacity of nearly 130 structures was augmented by way of constructing and desilting (capacity augmentation), and these structures can potentially harvest a runoff of 203,360 m3 in all the water harvesting structures created in the village. These structures can potentially harvest all the runoff generated during the year 2017, which shows that sufficient opportunities are created for the harvest of runoff as a part of the TDC-NICRA program to minimize the impact of drought or other stress-related problems.
Various water harvesting systems, both ex situ and in situ, have the potential to significantly enhance water productivity in rainfed agriculture. The water productivity improvements are accompanied by an increase in yield levels [55]. In addition, harvesting water has multiple advantages for the landscape such as biodiversity improvement, the rehabilitation and creation of wetter landscapes, increasing the abundance of floral biodiversity, improvement of the density of trees and vegetation, arresting erosion and nutrient loss, etc. [56,57]. The implementation of water harvesting initiatives at the watershed level emerges as a potential remedy for rural development challenges in rainfed regions. Widespread implementation of large-scale micro-watershed projects, particularly in semi-arid and drought-prone areas, has the capacity to alleviate drought conditions, thereby reducing poverty [58,59]. However, the quantity of water harvested assumes importance in view of the downstream social ecological consequences because of the decrease in runoff generation. In the present study, significant resources have been invested for harvesting runoff in the village by creating about 130 water harvesting structures, and the water harvesting potential created in the village by way of various structures is to the extent of 62% of the total potential runoff generation, leaving a significant quantity as ecological flow. The implementation of rainwater harvesting structures, such as those observed in several river catchments, can significantly contribute to addressing India’s irrigation requirements and groundwater crisis [60]. These structures have demonstrated a daily storage potential ranging from 12 to 52 mm, highlighting their critical role in sustainable water management. Several structures created as part of the ongoing developmental programs in the country experienced varying storage. Additionally, the research highlighted that these structures retained water for a duration of up to 273 days, indicating the potential to utilize harvested surface runoff to bolster agricultural productivity within the catchment area [61].
The consequences of water harvesting on downstream flow are catchment-specific, and the effect of such storage potential on the stream flows downstream needs monitoring. Investments in water harvesting in upstream areas in rainfed regions often have positive impacts on the downstream ecosystem services as a result of reduced land degradation, groundwater recharge, minimized flooding problems and improvements in water quality [55].
This paper provides evidence of the effectiveness of various adaptation technologies and their combinations in enhancing yield and income resilience to drought. In the present study, these technologies were evaluated at a ‘given’ level of drought or rainfall deficits. However, possibilities exist for the occurrence of stress situations that are of much higher intensity and the performance of technologies are yet to be seen, but the frequency of occurrence of such events is much less. How these technologies perform at much higher deficits is an area of future research given the likely increase in intensity and frequency of droughts with climate change. Such an assessment helps in identifying limits to adaptation and thus provides a direction for further research in developing technological options for dealing with important climate hazards such as drought.

4. Conclusions

In the present work, the adoption of climate-resilient technologies, including short-duration and drought-escaping varieties, led to a significant yield improvement of 10 to 98% during drought years and 5 to 29% during normal years, with net returns reaching up to INR 29,494 per hectare. In situ conservation practices and critical irrigation combined with these varieties resulted in yield enhancements of 2.2 to 8.5 quintals per hectare during drought years and net returns of INR 17,844 to INR 35,348 per hectare. Livestock technologies, such as Hybrid Napier, increased milk yields by 195 to 219 L per animal per milking period, with net returns ranging from INR 3150 to INR 41,193 per animal. Integrated approaches, encompassing multiple enterprises and effective water harvesting structures, demonstrated resilience gains of 75 to 91% in yield and 7 to 38% in income, underscoring the importance of climate-resilient technologies in mitigating drought impacts and stabilizing productivity and income.
Addressing the challenges posed by climate extremes and variability requires identifying and adopting climate-resilient technologies, which are location-specific. The selection of specific technologies for each location depends on predominant production systems, prevalent climatic stresses, the biophysical environment and socio-economic conditions. This study focused on assessing the effectiveness of particular climate-resilient technologies in a semi-arid region of southern India. The adoption of climate-resilient technologies led to notable increases in productivity and income, demonstrating their potential to mitigate the adverse impacts of extreme events like drought.
Access to water plays a pivotal role in motivating farmers in the study area to adopt a variety of technologies and enterprises. The data emphasize the attractive returns yielded by investments in such endeavors. This study unequivocally demonstrates that embracing short-duration and drought-resistant cultivars, in situ water conservation methods, water harvesting and providing essential crop irrigation, including green fodder during drought periods, significantly enhances both productivity and returns. A combination of these technologies holds the potential for further enhancing production and profitability. However, facilitating access to certain technologies like water harvesting requires substantial resources for infrastructure setup, including water harvesting system lining to mitigate seepage and percolation losses, and for providing critical irrigation—resources often beyond the means of smallholder farmers predominant in many developing nations.
While some technologies such as short-duration and drought-tolerant cultivars and in situ conservation measures are relatively cost-effective and can be promoted with minimal government assistance, the extensive resources required for comprehensive water harvesting solutions can be a medium- to long-term strategy. In the interim, prioritizing low-cost technologies such as improved varieties and in situ measures can effectively mitigate the impacts of drought, requiring minimal resources. Engaging communities and establishing capacity-building institutions for quality seed production and integrating with ongoing development programs for in situ conservation can significantly extend the reach of these technologies in numerous developing countries, thereby mitigating the impacts of dry spells and drought [34].
Resilience monitoring needs indicators to provide insights into the performance of technologies and systems under varied environmental stresses in agroecosystems. The two indicators used in the study provided insight into the performance of technologies in the study area and also a comparison among them and the relative advantage of their adoption during the stress period in comparison to the traditional farmers’ practice, which can be further tested and refined. There is a need for further validation of these indices for varied climatic stresses such as flood, heat stress, etc., and also the indices need to be validated for other quantifiable impacts of stress.
Enhancing the resilience of smallholder farmers presents a formidable challenge, requiring continuous technical, financial and policy support. With the anticipated increase in rainfall variability and climate change, especially in arid and semi-arid regions where smallholder farmers are predominant, there arises a pressing need to formulate and enact suitable policies and establish institutions facilitating the uptake of climate-resilient technologies. There is a need to prioritize investments in climate-resilient technologies, such as drought-resistant cultivars, water conservation methods, harvesting systems, etc., while providing financial support and subsidies to smallholder farmers. Building the capacities of communities, establishing institutions and integrating resilient practices into existing development programs can further spread these technologies. Comprehensive approaches are needed to enhance the adoption of technologies that can potentially minimize the adverse impacts of climate change and bolster the resilience of farmers.

Author Contributions

Conceptualization, J.V.N.S.P.; Methodology, C.A.R.R., B.M.K.R., K.V.R. and C.S.; Validation, N.L. and P.R.R.; Formal analysis, A.V.M.S.R., R.R., P.K.P., C.M.P. and B.V.S.K.; Investigation, D.V.S.R. and V.V.; Resources, V.K.S., R.S. and S.K.C.; Writing—original draft, S.K. and J.P. All authors have read and agreed to the published version of the manuscript.

Funding

This research was funded by Indian Council of Agricultural Research grant number 2–2(201)/17–18/NICRA.

Institutional Review Board Statement

Not applicable.

Informed Consent Statement

Not applicable.

Data Availability Statement

Data is contained within the article.

Conflicts of Interest

The authors declare no conflict of interest.

References

  1. Janni, M.; Maestri, E.; Gulli, M.; Marmiroli, M.; Marmiroli, N. Plant responses to climate change, how global warming may impact on food security: A critical review. Front. Plant. Sci. 2024, 14, 1297569. [Google Scholar] [CrossRef]
  2. Malhi, G.; Kaur, M.; Kaushik, P. Impact of Climate Change on Agriculture and Its Mitigation Strategies: A Review. Sustainability 2021, 13, 1318. [Google Scholar] [CrossRef]
  3. Rawat, A.; Kumar, D.; Khati, B.S. A review on climate change impacts, models, and its consequences on different sectors: A systematic approach. J. Water Clim. Chang. 2024, 15, 104–126. [Google Scholar] [CrossRef]
  4. IPCC. Summary for Policymakers. In Global Warming of 1.5 °C. An IPCC Special Report on the Impacts of Global Warming of 1.5 °C above Pre-Industrial Levels and Related Global Greenhouse Gas Emission Pathways, in the Context of Strengthening the Global Response to the Threat of Climate Change; Masson-Delmotte, V., Zhai, P., Portner, H.O., Roberts, D., Skea, J., Shukla, P.R., Pirani, A., Moufouma-Okia, W., P’ean, C., Pidcock, R., et al., Eds.; Intergovernmental Panel on Climate Change: Geneva, Switzerland, 2018. [Google Scholar]
  5. Rojas-Downing, M.M.; Nejadhashemi, A.P.; Harrigan, T.; Woznicki, S.A. Climate change and livestock: Impacts, adaptation, and mitigation. Clim. Risk Manag. 2017, 16, 145–163. [Google Scholar] [CrossRef]
  6. Lesk, C.; Rowhani, P.; Ramankutty, N. Influence of extreme weather disasters on global crop production. Nature 2016, 529, 84–87. [Google Scholar] [CrossRef]
  7. Adhikari, U.; Nejadhashemi, A.P.; Woznicki, S.A. Climate change and eastern Africa: A review of impact on major crops. Food Energy Secur. 2015, 4, 110–132. [Google Scholar] [CrossRef]
  8. Challinor, A.J.; Watson, J.; Lobell, D.B.; Howden, S.M.; Smith, D.R.; Chhetri, N. A meta-analysis of crop yield under climate change and adaptation. Nat. Clim. Chang. 2014, 4, 287–291. [Google Scholar] [CrossRef]
  9. Barron, J.; Okwach, G. Run-off water harvesting for dry spell mitigation in Maize (Zea mays L.): Results from on-farm research in semi-arid Kenya. Agric. Water Manag. 2005, 74, 1–21. [Google Scholar] [CrossRef]
  10. Lobell, D.B.; Hammer, G.L.; Chenu, K.; Zheng, B.; Mclean, G.; Chapman, S.C. The shifting influence of drought and heat stress for crops in northeast Australia. Global Chang. Biol. 2015, 21, 4115–4127. [Google Scholar] [CrossRef]
  11. Branca, G.; Lipper, L.; McCarthy, N.; Jolejole, M.C. Food security, climate change, and sustainable land management. A review. Agron. Sustain. Dev. 2013, 33, 635–650. [Google Scholar] [CrossRef]
  12. Lobell, D.B.; Burke, M.B. On the use of statistical models to predict crop yield responses to climate change. Agric Forest Meteorol. 2010, 150, 1443–1452. [Google Scholar] [CrossRef]
  13. Assefa, H.; Kibwika, P.; Kyazze, F. Climate change and smallholder livestock production: Impacts and adaptation strategies in Ethiopia. Ruforum Work. Doc. Ser. 2018, 17, 282–295. [Google Scholar]
  14. Laxmi, N.; Tirlapur; Desai, N.R.M. Impact of drought on agriculture in North Karnataka—An economic analysis. Asian J. Environ. Sci. 2016, 11, 87–93. [Google Scholar]
  15. Pathak, H. Impact, adaptation, and mitigation of climate change in Indian Agriculture. Environ. Monit. Assess. 2023, 195, 52. [Google Scholar] [CrossRef]
  16. Mendelsohn, R. The impact of climate change on agriculture in Asia. J. Integr. Agric. 2014, 13, 660–665. [Google Scholar] [CrossRef]
  17. Khajuria, A.; Ravindranath, N.H. Climate Change in Context of Indian Agricultural Sector. J. Earth Sci. Clim. Chang. 2012, 3, 110. [Google Scholar] [CrossRef]
  18. Ward, P.S.; Makhija, S. New modalities for managing drought risk in rainfed agriculture: Evidence from a discrete choice experiment in Odisha, India. World Dev. 2018, 107, 163–175. [Google Scholar] [CrossRef]
  19. Asha Latha, K.V.; Gopinath, M.; Bhat, A.R.S. Impact of climate change on rainfed agriculture in India: A case study of dharwad. Int. J. Environ. 2012, 3, 368–371. [Google Scholar]
  20. Fooladi, M.; Golmohammadi, M.H.; Safavi, H.R.; Singh, V.P. Application of meteorological drought for assessing watershed health using fuzzy-based reliability, resilience, and vulnerability. Int. J. Disaster Risk Reduct. 2021, 66, 102–116. [Google Scholar] [CrossRef]
  21. Keshavarz, M.; Maleksaeidi, H.; Karami, E. Livelihood vulnerability to drought: A case of rural Iran. Int. J. Disaster Risk Reduct. 2017, 21, 223–230. [Google Scholar] [CrossRef]
  22. Patel, R.; Patel, A. Evaluating the impact of climate change on drought risk in semi-arid region using GIS technique. Results Eng. 2024, 21, 101957. [Google Scholar] [CrossRef]
  23. Bras, T.A.; Seixas, J.; Carvalhais, N.; Jagermeyr, J. Severity of drought and heatwave crop losses tripled over the last five decades in Europe. Environ. Res. Lett. 2021, 16, 065012. [Google Scholar] [CrossRef]
  24. Udmale, P.; Ichikawa, Y.; Manandhar, S.; Ishidaira, H.; Kiem, A.S. Farmers’ perception of drought impacts, local adaptation and administrative mitigation measures in Maharashtra State, India. Int. J. Disaster Risk Reduct. 2014, 10, 250–269. [Google Scholar] [CrossRef]
  25. Sutton, W.R.; Srivastava, J.P.; James, E.N. Looking Beyond the Horizon: How Climate Change Impacts and Adaptation Responses Will Reshape Agriculture in Eastern Europe and Central Asia; World Bank Publications: Washington, DC, USA, 2013. [Google Scholar]
  26. IPCC. Summary for Policymakers. In Managing the Risks of Extreme Events and Disasters to Advance Climate Change Adaptation; Field, C.B., Barros, V., Stocker, T.F., Qin, D., Dokken, D.J., Ebi, K.L., Mastrandrea, M.D., Mach, K.J., Plattner, G.-K., Allen, S.K., et al., Eds.; A Special Report of Working Groups I and II of the Intergovernmental Panel on Climate Change; Cambridge University Press: Cambridge, UK; New York, NY, USA, 2012; pp. 1–19. [Google Scholar]
  27. Meuwissen, P.M.; Peter, H.F.; Spiegel, A.; Catrien, J.A.M.T.; Erik, M.; de Mey, Y.; Finger, R.; Balmann, A.; Wauters, E.; Urquhart, J.; et al. A framework to assess the resilience of farming systems. Agric. Syst. 2019, 176, 102656. [Google Scholar] [CrossRef]
  28. Douxchamps, S.; Debevec, L.; Giordano, M.; Barron, J. Monitoring and evaluation of climate resilience for agricultural development—A review of currently available tools. World Dev. Perspect. 2017, 5, 10–23. [Google Scholar] [CrossRef]
  29. Peterson, C.A.; Eviner, V.T.; Gaudin, A.C.M. Ways forward for resilience research in agroecosystems. Agric. Syst. 2018, 162, 19–27. [Google Scholar] [CrossRef]
  30. Urruty, N.; Delphine, T.L.; Christian, H. Stability, robustness, vulnerability and resilience of agricultural systems. A review. Agron. Sustain. Dev. 2016, 36, 15. [Google Scholar] [CrossRef]
  31. Tendall, D.M.; Joerin, J.; Kopainsky, B.; Edwards, P.; Shreck, A.; Le, Q.B.; Kruetli, P.; Grant, M.; Six, J. Food system resilience: Defining the concept. Glob. Food Secur. 2015, 6, 17–23. [Google Scholar] [CrossRef]
  32. Ravindra Chary, G.; Prasad, J.V.N.S.; Osman, M.; Ramana, D.B.V.; Nagasree, K.; Rejani, R.; Subbarao, A.V.M.; Srinivas, I.; Rao, C.R.; Prabhakar, M.; et al. Technology Demonstrations: Enabling Communities to Cope with Climate Variability and to Enhance Adaptive Capacity and Resilience; National Innovations in Climate Resilient Agriculture (NICRA) Project, Research Highlights; ICAR—Central Research Institute for Dryland Agriculture: Hyderabad, India, 2019; 121p. [Google Scholar]
  33. Van der Lee, J.; Kangogo, D.; Gulzari, S.O.; Dentoni, D.; Oosting, S.; Bijman, J.; Klerkx, L. Theoretical positions and approaches to resilience assessment in farming systems. A review. Agron. Sustain. Dev. 2022, 42, 27. [Google Scholar] [CrossRef]
  34. Srinivasa Rao, C.; Gopinath, K.A.; Prasad, J.V.N.S.; Prasannakumar; Singh, A.K. Climate resilient concept, process, technologies, institutions and impacts. Adv. Agron. 2016, 140, 101–214. [Google Scholar]
  35. Harindranath, C.S.; Reddy, R.S.; Krishnan, P. Soils of Tumkur District (Karnataka) for Land Use Planning; Report No. 553; National Bureau of Soil Survey & Land Use Planning (Indian Council of Agricultural Research): Nagpur, Maharashtra, India, 2001. [Google Scholar]
  36. Singh, V.K.; Prasad, J.V.N.S.; Ramana, D.B.V.; Nagasree, K.; Rejani, R.; Venkatesh, G.; Reddy, D.V.S.; Venkatasubramanian, V.; Prabhakar, M.; Bhaskar, S.; et al. Promising Climate Resilient Technologies for Karnataka; ICAR—Central Research Institute for Dryland Agriculture: Hyderabad, India, 2021; 87p. [Google Scholar]
  37. Holling, C.S. Resilience and stability of ecological systems. Annu. Rev. Ecol. Syst. 1973, 4, 1–23. [Google Scholar] [CrossRef]
  38. Prasad, J.V.N.S.; Akila, N.; Bharathi, C.S.; Alagudurai, S.; Rama Rao, C.A.; Raju, B.M.K.; Rao, K.V.; Subbarao, A.V.M.; Rejani, R.; Ramana, D.B.V.; et al. Assessment of adaptation practices for risk minimization to drought in semi-arid environments. Clim. Risk Manag. 2023, 42, 100563. [Google Scholar] [CrossRef]
  39. USDA. Soil Conservation Service. In National Engineering Handbook; Hydrology Section 4: 4–10; USDA: Washington, DC, USA, 1972. [Google Scholar]
  40. Birthal, P.S.; Shyam, N.N.; Narayanan, A.V.; Kareem, K.A. Potential economic benefits from adoption of improved drought-tolerant groundnut in India. Agric. Econ. Res. Rev. 2012, 25, 1–14. [Google Scholar]
  41. Srinivasa Rao, C.; Gopinath, K.A. Resilient rainfed technologies for drought mitigation and sustainable food security. Mausam 2016, 67, 169–182. [Google Scholar]
  42. Thornton, P.K.; Rosenstock, T.; Forch, W.; Lamanna, C.; Bell, P.; Henderson, M. A qualitative evaluation of CSA options in mixed crop-livestock systems in developing countries. In Climate Smart Agriculture: Building Resilience to Climate Change; Natural Resource Management and Policy: Cham, Switzerland, 2018. [Google Scholar]
  43. Thornton, P.K. Livestock production: Recent trends, future prospects. Philos. Trans. R. Soc. B Biol. Sci. 2010, 365, 2853–2867. [Google Scholar] [CrossRef]
  44. Food and Agriculture Organization of the United Nations (FAO). Climate-Smart Agriculture Sourcebook. 2017. Available online: http://www.fao.org/3/i3325e/i3325e.pdf (accessed on 12 February 2024).
  45. Mbow, C.; Rosenzweig, C.; Barioni, L.G.; Benton, T.G.; Herrero, M.; Krishnapillai, M.; Liwenga, E.; Pradhan, P.; Rivera-Ferre, M.G.; Sapkota, T.; et al. Food Security. In Climate Change and Land: An IPCC Special Report on Climate Change, Desertification, Land Degradation, Sustainable Land Management, Food Security, and Greenhouse Gas Fluxes in Terrestrial Ecosystems; IPCC: Geneva, Switzerland, 2019. [Google Scholar]
  46. Milestad, R.; Darnhofer, I. Building farm resilience: The prospects and challenges of organic farming. J. Sustain. Agric. 2003, 22, 81–97. [Google Scholar] [CrossRef]
  47. Folke, C.; Carpenter, S.; Elmqvist, T.; Gunderson, L.; Holling, C.; Walker, B. Resilience and sustainable development: Building adaptive capacity in a world of transformations. AMBIO J. Hum. Environ. 2002, 31, 437. [Google Scholar] [CrossRef]
  48. Conway, G.R. Agroecosystem Analysis for Research and Development; Winrock International: Bangkok, Thailand, 1986. [Google Scholar]
  49. Gil, J.D.; Cohn, A.S.; Duncan, J.; Newton, P.; Vermeulen, S. The resilience of integrated agricultural systems to climate change. Wiley Interdiscip. Rev. Clim. Chang. 2017, 8, 461. [Google Scholar] [CrossRef]
  50. Lemaire, G.; Franzluebbers, A.; Carvalho, P.C.D.F.; Dedieu, B. Integrated crop-livestock systems: Strategies to achieve synergy between agricultural production and environmental quality. Agric. Ecosyst. Environ. 2014, 190, 4–8. [Google Scholar] [CrossRef]
  51. Akhtar, S.; Abbas, A.; Kassem, H.S.; Bagadeem, S.; Ullah, R.; Alotaibi, B.A. Sustainable crop production, the concurrent adoption of contract farming, and managing risks through income diversification. Agronomy 2021, 11, 973. [Google Scholar] [CrossRef]
  52. Godde, C.M.; Mason-D Croz, D.; Mayberry, D.E.; Thornton, P.K.; Herrero, M. Impacts of climate change on the livestock food supply chain: A review of the evidence. Glob. Food Secur. 2021, 28, 100488. [Google Scholar] [CrossRef] [PubMed]
  53. Mohd, S.M.; Nasir, B.N.; Zakir, A.; Tauseef, A.B.; Aijaz, N.; Raihana, H.K.; Parmeet, S.; Waseem, R.; Singh, L.; Fayaz, S.; et al. Integrated farming system: A tool for doubling farmer’s income. J. Exp. Agric. Int. 2022, 44, 47–56. [Google Scholar]
  54. Muhie, S.H. Novel approaches and practices to sustainable agriculture. J. Agric. Food Res. 2022, 10, 100446. [Google Scholar] [CrossRef]
  55. Dile, Y.T.; Karlberg, L.; Temesgen, M.; Rockstrom, J. The role of water harvesting to achieve sustainable agricultural intensification and resilience against water related shocks in sub-Saharan Africa. Agric. Ecosyst. Eniron. 2013, 181, 69–79. [Google Scholar] [CrossRef]
  56. Vohland, K.; Barry, B. A review of in situ rainwater harvesting (RWH) practices modifying landscape functions in African drylands. Agric. Ecosyst. Environ. 2009, 131, 119–127. [Google Scholar] [CrossRef]
  57. Rockstrom, J. Making the best of climatic variability: Options for upgrading rainfed farming in water scarce regions. Water Sci. Technol. 2004, 49, 151–156. [Google Scholar] [CrossRef] [PubMed]
  58. Solh, M.; Ginkel, M.V. Drought preparedness and drought mitigation in developing world’s drylands. Weather. Clim. Extreme. 2014, 3, 62–66. [Google Scholar] [CrossRef]
  59. Ramotra, K.C. Surface rainwater harvesting potentiality and impact of Dhaval micro-watershed in Satara district, Maharashtra, India. J. Environ. Earth Sci. 2012, 2, 28–38. [Google Scholar]
  60. Glendenning, C.J.; Vervoort, R.W. Hydrological impacts of rainwater harvesting (RWH) in a case study catchment: The Arvari River, Rajasthan, India. Part 1: Field-scale impacts. Agric. Water Manag. 2010, 98, 331–342. [Google Scholar] [CrossRef]
  61. Mahato, S.; Mishra, A.K.; Debnath, S. Impact of rainwater harvesting structures on groundwater recharge potential in India. Int. J. Curr. Microbiol. App. Sci. 2020, 9, 66–74. [Google Scholar] [CrossRef]
Figure 1. Location of the study area.
Figure 1. Location of the study area.
Sustainability 16 07339 g001
Figure 2. (a) Effect of adoption of short-duration/drought-escaping varieties of finger millet, groundnut, pigeon pea and maize on yields compared to farmers’ practice during drought and normal rainfall in Tumkur (Karnataka). [FMV_D: finger millet (ML-365)_drought year; FMV_N: finger millet (ML-365)_normal year; NNICRA_D: non-NICRA farmers’ drought year; NNICRA_N: non-NICRA farmers’ normal year; GNV_D: groundnut (ICGV-91114)_drought year; GNV_N: groundnut (ICGV-91114)_normal year; PPV_D: pigeon pea (BRG-2)_drought year; PPV_N: pigeon pea (BRG-2)_normal year; MV_D: maize hybrid drought year; MV_N: maize hybrid normal year]. (b) Effect of adoption of short-duration/drought-escaping varieties of finger millet, groundnut, pigeon pea and maize with supplemental irrigation on yields compared to local varieties without irrigation during drought and normal rainfall in Tumkur. [FMI_D: finger millet (ML-365) with irrigation_drought year; FMI_N: finger millet (ML-365) with irrigation_normal year; FMT_D: finger millet (ML-365) with trench cum bunding_drought year; FMT_N: finger millet (ML-365) with trench cum bunding_normal year; NNICRA_D: non-NICRA farmers_drought year; NNICRA_N: non-NICRA farmers_normal year; GNI_D: groundnut (ICGV-91114) with irrigation_drought year; GNV_N: groundnut (ICGV-91114) with irrigation_normal year; GNT_D: groundnut (ICGV-91114) with trench cum bunding_drought year; GNT_N: groundnut (ICGV-91114) with trench cum bunding_normal year; PPI_D: pigeon pea (BRG-2) with irrigation_drought year; PPI_N: pigeon pea (BRG-2) with irrigation_normal year; PPT_D: pigeon pea (BRG-2) with trench cum bunding_drought year; PPT_N: pigeon pea (BRG-2) with trench cum bunding_normal year; MI_D: maize hybrid with irrigation_drought year; MI_N: maize hybrid with irrigation_normal year; MT_D: maize hybrid with trench cum bunding_drought year; MT_N: maize hybrid with trench cum bunding_normal year].
Figure 2. (a) Effect of adoption of short-duration/drought-escaping varieties of finger millet, groundnut, pigeon pea and maize on yields compared to farmers’ practice during drought and normal rainfall in Tumkur (Karnataka). [FMV_D: finger millet (ML-365)_drought year; FMV_N: finger millet (ML-365)_normal year; NNICRA_D: non-NICRA farmers’ drought year; NNICRA_N: non-NICRA farmers’ normal year; GNV_D: groundnut (ICGV-91114)_drought year; GNV_N: groundnut (ICGV-91114)_normal year; PPV_D: pigeon pea (BRG-2)_drought year; PPV_N: pigeon pea (BRG-2)_normal year; MV_D: maize hybrid drought year; MV_N: maize hybrid normal year]. (b) Effect of adoption of short-duration/drought-escaping varieties of finger millet, groundnut, pigeon pea and maize with supplemental irrigation on yields compared to local varieties without irrigation during drought and normal rainfall in Tumkur. [FMI_D: finger millet (ML-365) with irrigation_drought year; FMI_N: finger millet (ML-365) with irrigation_normal year; FMT_D: finger millet (ML-365) with trench cum bunding_drought year; FMT_N: finger millet (ML-365) with trench cum bunding_normal year; NNICRA_D: non-NICRA farmers_drought year; NNICRA_N: non-NICRA farmers_normal year; GNI_D: groundnut (ICGV-91114) with irrigation_drought year; GNV_N: groundnut (ICGV-91114) with irrigation_normal year; GNT_D: groundnut (ICGV-91114) with trench cum bunding_drought year; GNT_N: groundnut (ICGV-91114) with trench cum bunding_normal year; PPI_D: pigeon pea (BRG-2) with irrigation_drought year; PPI_N: pigeon pea (BRG-2) with irrigation_normal year; PPT_D: pigeon pea (BRG-2) with trench cum bunding_drought year; PPT_N: pigeon pea (BRG-2) with trench cum bunding_normal year; MI_D: maize hybrid with irrigation_drought year; MI_N: maize hybrid with irrigation_normal year; MT_D: maize hybrid with trench cum bunding_drought year; MT_N: maize hybrid with trench cum bunding_normal year].
Sustainability 16 07339 g002
Figure 3. (a) Impact of adoption of short-duration/drought-escaping varieties of finger millet, groundnut, pigeon pea and maize on net returns (INR/ha; USD 1 = INR 80) compared to local varieties during drought and normal rainfall in Tumkur. [FMV_D: finger millet (ML-365)_drought year; FMV_N: finger millet (ML-365)_normal year; NNICRA_D: non-NICRA farmers’_drought year; NNICRA_N: non-NICRA farmers’_normal year; GNV_D: groundnut (ICGV-91114)_drought year; GNV_N: groundnut (ICGV-91114)_normal year; PPV_D: pigeon pea (BRG-2)_drought year; PPV_N: pigeon pea (BRG-2)_normal year; NNICRA_D: MV_D: maize hybrid_drought year; MV_N: maize hybrid_normal year]. (b) Impact of adoption of short-duration/drought-escaping varieties of finger millet, groundnut, pigeon pea and maize with supplemental irrigation on net returns (INR/ha; USD 1 = INR 80) compared to local varieties without irrigation during drought and normal rainfall in Tumkur. [FMI_D: finger millet (ML-365) with irrigation_drought year; FMI_N: finger millet (ML-365) with irrigation_normal year; FMT_D: finger millet (ML-365) with trench cum bunding_drought year; FMT_N: finger millet (ML-365) with trench cum bunding_normal year; NNICRA_D: non-NICRA farmers’_drought year; NNICRA_N: non-NICRA farmers’_normal year; GNI_D: groundnut (ICGV-91114) with irrigation_drought year; GNV_N: groundnut (ICGV-91114) with irrigation_normal year; GNT_D: groundnut (ICGV-91114) with trench cum bunding_drought year; GNT_N: groundnut (ICGV-91114) with trench cum bunding_normal year; PPI_D: pigeon pea (BRG-2) with irrigation_drought year; PPI_N: pigeon pea (BRG-2) with irrigation_normal year; PPT_D: pigeon pea (BRG-2) with trench cum bunding_drought year; PPT_N: pigeon pea (BRG-2) with trench cum bunding_normal year; MI_D: maize hybrid with irrigation_drought year; MI_N: maize hybrid with irrigation_normal year; MT_D: maize hybrid with trench cum bunding_drought year; MT_N: maize hybrid with trench cum bunding_normal year].
Figure 3. (a) Impact of adoption of short-duration/drought-escaping varieties of finger millet, groundnut, pigeon pea and maize on net returns (INR/ha; USD 1 = INR 80) compared to local varieties during drought and normal rainfall in Tumkur. [FMV_D: finger millet (ML-365)_drought year; FMV_N: finger millet (ML-365)_normal year; NNICRA_D: non-NICRA farmers’_drought year; NNICRA_N: non-NICRA farmers’_normal year; GNV_D: groundnut (ICGV-91114)_drought year; GNV_N: groundnut (ICGV-91114)_normal year; PPV_D: pigeon pea (BRG-2)_drought year; PPV_N: pigeon pea (BRG-2)_normal year; NNICRA_D: MV_D: maize hybrid_drought year; MV_N: maize hybrid_normal year]. (b) Impact of adoption of short-duration/drought-escaping varieties of finger millet, groundnut, pigeon pea and maize with supplemental irrigation on net returns (INR/ha; USD 1 = INR 80) compared to local varieties without irrigation during drought and normal rainfall in Tumkur. [FMI_D: finger millet (ML-365) with irrigation_drought year; FMI_N: finger millet (ML-365) with irrigation_normal year; FMT_D: finger millet (ML-365) with trench cum bunding_drought year; FMT_N: finger millet (ML-365) with trench cum bunding_normal year; NNICRA_D: non-NICRA farmers’_drought year; NNICRA_N: non-NICRA farmers’_normal year; GNI_D: groundnut (ICGV-91114) with irrigation_drought year; GNV_N: groundnut (ICGV-91114) with irrigation_normal year; GNT_D: groundnut (ICGV-91114) with trench cum bunding_drought year; GNT_N: groundnut (ICGV-91114) with trench cum bunding_normal year; PPI_D: pigeon pea (BRG-2) with irrigation_drought year; PPI_N: pigeon pea (BRG-2) with irrigation_normal year; PPT_D: pigeon pea (BRG-2) with trench cum bunding_drought year; PPT_N: pigeon pea (BRG-2) with trench cum bunding_normal year; MI_D: maize hybrid with irrigation_drought year; MI_N: maize hybrid with irrigation_normal year; MT_D: maize hybrid with trench cum bunding_drought year; MT_N: maize hybrid with trench cum bunding_normal year].
Sustainability 16 07339 g003
Figure 4. (a). Impact of feeding of green fodder on milk yield in indigenous cows, crossbred cows and she-buffalo compared to farmers’ practice during drought and normal rainfall in Tumkur. [GFI_D: green fodder (indigenous cow) drought year; GFI_N: green fodder (indigenous cow)_normal year; NNICRA_D: non-NICRA farmers’_drought year; NNICRA_N: non-NICRA farmers_normal year; GFC_D: green fodder (crossbred cow)_drought year; GFC_N: green fodder (crossbred cow)_normal year; GFB_D: green fodder (she-buffalo)_drought year; GFB_N: green fodder (she-buffalo)_normal year]. (b). Impact of feeding green fodder on net returns (INR/ha; USD 1 = INR 80) in indigenous cows, crossbred cows, she-buffalo, goat and sheep compared to farmers’ practice during drought and normal situation in Tumkur. [GFI_D: green fodder (indigenous cow)_drought year; GFI_N: green fodder (indigenous cow)_normal year; NNICRA_D: non-NICRA farmers’_drought year; NNICRA_N: non-NICRA farmers_normal year; GFC_D: green fodder (crossbred cow)_drought year; GFC_N: green fodder (crossbred cow)_normal year; GFB_D: green fodder (she-buffalo)_drought year; GFB_N: green fodder (she-buffalo)_normal year].
Figure 4. (a). Impact of feeding of green fodder on milk yield in indigenous cows, crossbred cows and she-buffalo compared to farmers’ practice during drought and normal rainfall in Tumkur. [GFI_D: green fodder (indigenous cow) drought year; GFI_N: green fodder (indigenous cow)_normal year; NNICRA_D: non-NICRA farmers’_drought year; NNICRA_N: non-NICRA farmers_normal year; GFC_D: green fodder (crossbred cow)_drought year; GFC_N: green fodder (crossbred cow)_normal year; GFB_D: green fodder (she-buffalo)_drought year; GFB_N: green fodder (she-buffalo)_normal year]. (b). Impact of feeding green fodder on net returns (INR/ha; USD 1 = INR 80) in indigenous cows, crossbred cows, she-buffalo, goat and sheep compared to farmers’ practice during drought and normal situation in Tumkur. [GFI_D: green fodder (indigenous cow)_drought year; GFI_N: green fodder (indigenous cow)_normal year; NNICRA_D: non-NICRA farmers’_drought year; NNICRA_N: non-NICRA farmers_normal year; GFC_D: green fodder (crossbred cow)_drought year; GFC_N: green fodder (crossbred cow)_normal year; GFB_D: green fodder (she-buffalo)_drought year; GFB_N: green fodder (she-buffalo)_normal year].
Sustainability 16 07339 g004
Figure 5. Resilience in yields due to adoption of short-duration/drought-escaping varieties and crop varieties with irrigation during drought in Tumkur district, India.
Figure 5. Resilience in yields due to adoption of short-duration/drought-escaping varieties and crop varieties with irrigation during drought in Tumkur district, India.
Sustainability 16 07339 g005
Figure 6. (a) Resilience in milk yields due to adoption of improved fodder cultivars during drought in Tumkur district, India. (b) Resilience in income due to adoption of improved fodder cultivars during drought in Tumkur district, India.
Figure 6. (a) Resilience in milk yields due to adoption of improved fodder cultivars during drought in Tumkur district, India. (b) Resilience in income due to adoption of improved fodder cultivars during drought in Tumkur district, India.
Sustainability 16 07339 g006
Figure 7. Farming system resilience through multiple interventions during drought in Tumkur district, India.
Figure 7. Farming system resilience through multiple interventions during drought in Tumkur district, India.
Sustainability 16 07339 g007
Table 1. Effect of short-duration and drought-escaping varieties on crop yields during drought and normal years.
Table 1. Effect of short-duration and drought-escaping varieties on crop yields during drought and normal years.
CropInterventionEffect of Intervention during Drought YearEffect of Intervention during Normal Year
Intercept (β0)Effect of Intervention (β1) (q/ha)R-SquareIntercept (β0)Effect of Intervention (β1) (q/ha)R-Square
Finger milletML-3659.16.8 **0.9419.11.8 *0.18
GroundnutICGV-911146.36.2 **0.9416.52.7 **0.50
Pigeon peaBRG-27.30.7 NS0.3410.61.3 *0.40
MaizeHybrid18.63.4 NS0.1924.27.1 **0.69
Note: * t-test significance at 0.05 probability, ** t-test significance at 0.01 probability, NS: non-significant in comparison to yield during drought and normal years of non-adopters.
Table 2. Effect of short-duration/drought-escaping varieties on net returns of crops during drought and normal years.
Table 2. Effect of short-duration/drought-escaping varieties on net returns of crops during drought and normal years.
CropInterventionImpact of Intervention during Drought YearImpact of Intervention during Normal Year
Intercept (β0)Impact of Intervention (β1) (INR/ha)R-SquareIntercept (β0)Impact of Intervention (β1) (INR/ha) R-Square
Finger milletML-365−19,73323,878 **0.9714,8437470 **0.50
GroundnutICGV-91114−487529,493 **0.8346,94513,090 **0.50
Pigeon peaBRG-23134520 *0.5016,3135998 NS0.34
MaizeHybrid−941811,205 NS0.25542321,953 **0.79
Note: * t-test significance at 0.05 probability, ** t-test significance at 0.01 probability, NS: non-significant in comparison to net returns during drought and normal years of non-adopters; USD 1 = INR 80 (October 2022).
Table 3. Effect of short-duration/drought-escaping varieties along with resource conservation interventions on crop yields during drought and normal years.
Table 3. Effect of short-duration/drought-escaping varieties along with resource conservation interventions on crop yields during drought and normal years.
CropInterventionImpact of Intervention during Drought YearImpact of Intervention during Normal Year
Intercept (β0)Impact of Intervention (β1) (q/ha)R-SquareIntercept (β0)Impact of Intervention (β1) (q/ha) R-Square
Finger milletLocal + IR9.14.4 **0.8319.10.1 NS0.01
ML-365 + TCB9.18.5 **0.9219.17.8 **0.82
ML-365 + IR9.19.9 **0.9719.19.7 **0.98
GroundnutLocal + IR6.34.3 **0.9416.51.7 *0.24
ICGV-91114 + TCB6.39.7 **0.9316.55.7 **0.71
ICGV-91114 + IR6.311.2 **0.9916.57.6 **0.84
Pigeon peaLocal + IR7.31.3 *0.8210.63.5 **0.911
BRG-2 + TCB7.32.6 **0.7810.65.5 **0.90
BRG-2 + IR7.34.2 **0.9910.67.5 **0.99
MaizeLocal + IR18.64.9 NS0.3224.24.0 NS0.42
Hybrid + TCB18.66.2 **0.5624.210.9 **0.76
Hybrid + TCB18.69.9 **0.6624.212.6 **0.88
Note: * t-test significance at 0.05 probability, ** t-test significance at 0.01 probability, NS: non-significant in comparison to yield during drought and normal years of non-adopters.
Table 4. Effect of short-duration/drought-escaping varieties along with resource conservation interventions on net returns of crops during drought and normal years.
Table 4. Effect of short-duration/drought-escaping varieties along with resource conservation interventions on net returns of crops during drought and normal years.
CropInterventionImpact of Intervention during Drought YearImpact of Intervention During Normal Year
Intercept (β0)Impact of Intervention (β1) (INR/ha)R-SquareIntercept (β0)Impact of Intervention (β1) (INR/ha)R-Square
Finger milletLocal + IR−19,73327,983 **0.9714,8431783 NS0.18
ML-365 + TCB−19,73334,923 **0.9014,84328,400 **0.83
ML-365 + IR−19,73336,065 **0.9814,84335,990 **0.97
GroundnutLocal + IR−487521,958 **0.9446,9458890 NS0.25
ICGV-91114 + TCB−487537,248 **0.5846,94528,103 **0.70
ICGV-91114 + IR−487556,883 **0.9946,94538,365 **0.84
Pigeon peaLocal + IR3136593 **0.8516,31318,373 **0.93
BRG-2 + TCB31315,160 **0.7816,31331,920 **0.92
BRG-2 + IR31320,978 **0.9916,31338,535 **0.99
MaizeLocal + IR−941814,843 NS0.35542314,765 **0.71
Hybrid + TCB−941821,000 **0.65542334,958 **0.81
Hybrid + TCB−941827,468 **0.66542338,728 **0.94
Note: ** t-test significance at 0.01 probability, NS: non-significant in comparison to net returns during drought and normal years of non-adopters; USD 1 = INR 80 (October 2022).
Disclaimer/Publisher’s Note: The statements, opinions and data contained in all publications are solely those of the individual author(s) and contributor(s) and not of MDPI and/or the editor(s). MDPI and/or the editor(s) disclaim responsibility for any injury to people or property resulting from any ideas, methods, instructions or products referred to in the content.

Share and Cite

MDPI and ACS Style

Prasad, J.V.N.S.; Loganandhan, N.; Ramesh, P.R.; Rama Rao, C.A.; Raju, B.M.K.; Rao, K.V.; Subba Rao, A.V.M.; Rejani, R.; Kundu, S.; Pankaj, P.K.; et al. Assessment of Resilience Due to Adoption of Technologies in Frequently Drought-Prone Regions of India. Sustainability 2024, 16, 7339. https://doi.org/10.3390/su16177339

AMA Style

Prasad JVNS, Loganandhan N, Ramesh PR, Rama Rao CA, Raju BMK, Rao KV, Subba Rao AVM, Rejani R, Kundu S, Pankaj PK, et al. Assessment of Resilience Due to Adoption of Technologies in Frequently Drought-Prone Regions of India. Sustainability. 2024; 16(17):7339. https://doi.org/10.3390/su16177339

Chicago/Turabian Style

Prasad, J. V. N. S., N. Loganandhan, P. R. Ramesh, C. A. Rama Rao, B. M. K. Raju, K. V. Rao, A. V. M. Subba Rao, R. Rejani, Sumanta Kundu, Prabhat Kumar Pankaj, and et al. 2024. "Assessment of Resilience Due to Adoption of Technologies in Frequently Drought-Prone Regions of India" Sustainability 16, no. 17: 7339. https://doi.org/10.3390/su16177339

APA Style

Prasad, J. V. N. S., Loganandhan, N., Ramesh, P. R., Rama Rao, C. A., Raju, B. M. K., Rao, K. V., Subba Rao, A. V. M., Rejani, R., Kundu, S., Pankaj, P. K., Pradeep, C. M., Kiran, B. V. S., Prasanna, J., Reddy, D. V. S., Venkatasubramanian, V., Srinivasarao, C., Singh, V. K., Singh, R., & Chaudhari, S. K. (2024). Assessment of Resilience Due to Adoption of Technologies in Frequently Drought-Prone Regions of India. Sustainability, 16(17), 7339. https://doi.org/10.3390/su16177339

Note that from the first issue of 2016, this journal uses article numbers instead of page numbers. See further details here.

Article Metrics

Back to TopTop