Response of Surface Runoff Evolution to Landscape Patterns in Karst Areas: A Case Study of Yun–Gui Plateau
Abstract
1. Introduction
2. Materials and Methods
2.1. Background
2.2. Data Sources and Processing
2.3. Research Methods
2.3.1. Analysis of Land Use Transfer
Land Use Transfer Matrix
Land Use Transfer Intensity Map
2.3.2. Related Methods of Landscape Pattern Analysis
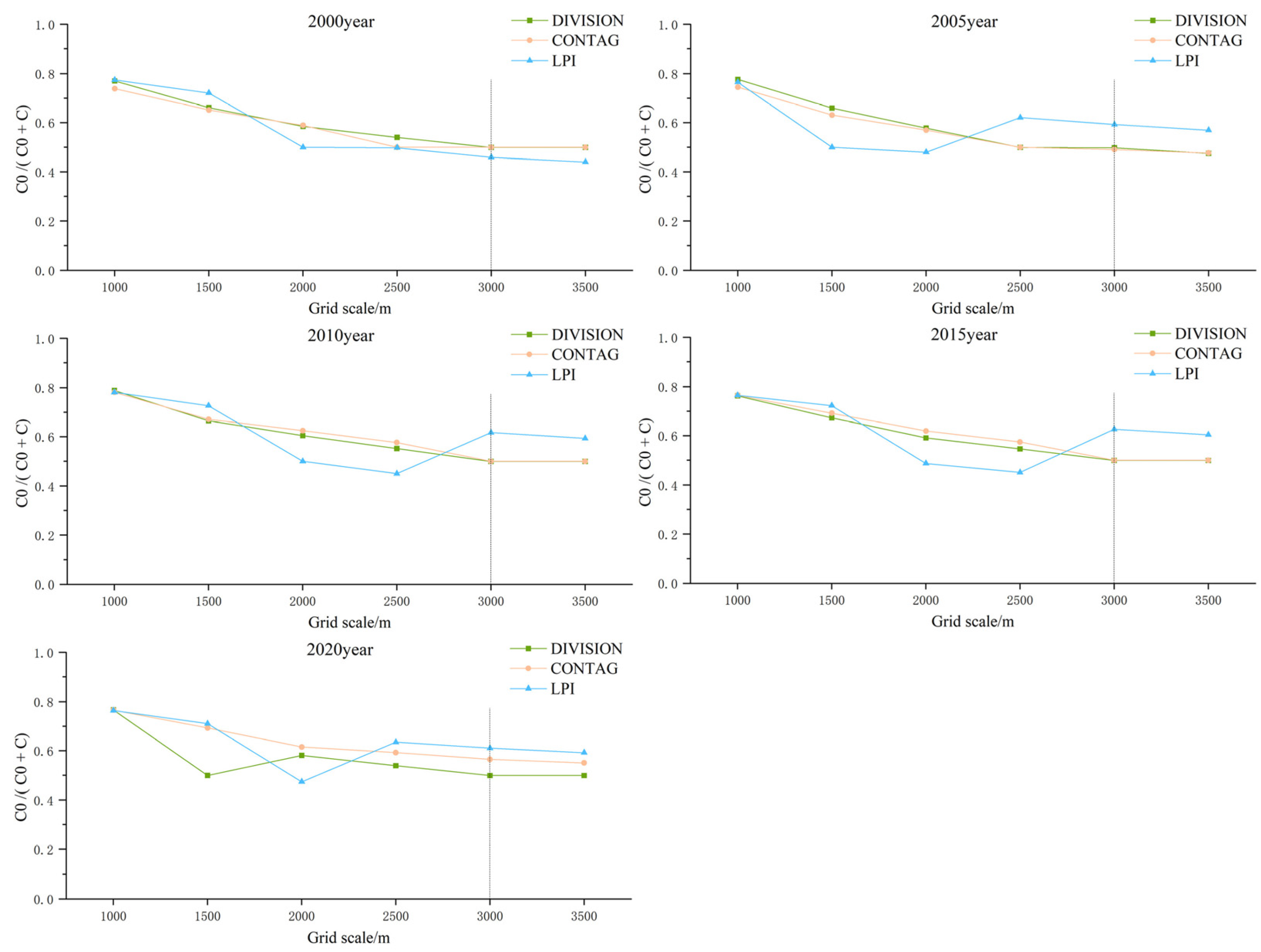
Grid Method
Sample Line Setting
Semivariogram Method
Selection of Landscape Pattern Index
2.3.3. SCS-CN Runoff Model
2.3.4. Spearman Analysis Method
3. Results and Analysis
3.1. Spatio-Temporal Evolution of Landscape Pattern in Yun–Gui Plateau
3.1.1. Spatio-Temporal Evolution of Land Use
3.1.2. Analysis of Land Use Transfer Intensity Map
3.1.3. Temporal Evolution of Landscape Pattern
Landscape-Level Index Analysis
Plaque-Type Level Index Analysis
3.1.4. Spatial Evolution of Landscape Pattern
3.2. Spatio-Temporal Evolution of Surface Runoff in Yun–Gui Plateau
3.3. Response of Surface Runoff to Landscape Pattern Evolution in Yun–Gui Plateau
3.3.1. Response of Land Use Types and Surface Runoff
3.3.2. Response of Landscape Level Index to Surface Runoff
3.3.3. Response of Patch Type Level Index to Surface Runoff
3.4. Analysis of Policy Factors Affecting the Spatial and Temporal Evolution of Surface Runoff in the Yun–Gui Plateau
4. Discussion
4.1. Analysis of Spatial and Temporal Evolution of Landscape Pattern and Surface Runoff
4.2. Response of Spatio-Temporal Evolution of Surface Runoff to Landscape Pattern and Policy
4.3. Suggestions for Future Mitigation of Surface Runoff
- Forest and cultivated lands have a good capacity to intercept runoff, so we should pay attention to the protection of forest land. The development of the local economy should pay attention to industrial selection, reasonably control industrial pollution, adjust industrial modes, develop organic agriculture, improve the regional environment, increase the forest area and connectivity, strengthen the forest water storage and water retention capacities, reduce soil erosion, improve soil quality, promote green low-consumption ecotourism industry, establish a green financial model, promote the coordinated development of ecological resource protection and utilization strategies, and promote the concept of ecological civilization.
- Impervious landscapes have strong runoff capacities. To reduce the surface runoff in the Yun–Gui Plateau, urban development should promote compact cities, develop land-saving models, erect high-rise buildings, and promote vertical urban development. Urban expansion should not destroy the connectivity of other landscape patches with impervious surfaces, resulting in patch fragmentation and affecting the water conservation capacity of the landscape.
- For forest areas, which have a strong runoff interception capacity, relevant environmental protection policies should be introduced and implemented in karst areas. According to the current regional development situation and central policy, the Yun–Gui Plateau should be managed as a whole. It is necessary to establish the concepts of ecological protection and ecological governance, increase publicity related to forest protection, formulate prevention and control programs for ecological problems, and comprehensively consider various factors, such as the social economy and nature, to continuously promote ecological restoration in rocky desertification areas.
- As the source of the Yangtze River Basin and the Pearl River Basin, the ecological protection of the Yun–Gui Plateau has made an important contribution to the development of the middle and lower reaches of the basin. According to the principle of “beneficiaries pay, protectors get compensation,” central or local governments should provide diversified comprehensive ecological compensation through financial subsidies, industrial support, technical support, and other means to mobilize the enthusiasm of residents of the Yun–Gui Plateau to participate in forest protection.
5. Conclusions
- The area of each land type in the Yun–Gui Plateau, from large to small, is forest > cropland > grassland > shrubland > water > impervious > barren > snowfield. The impervious area increased year over year, and the area of grassland decreased yearly. The landscape heterogeneity of the Yun–Gui Plateau is reduced. Forest is the dominant landscape type patch, and its distribution is more aggregated. The complexity of the forest patch shape increased. Except for shrubland and grassland, the shapes of the other landscape patches are irregular.
- The spatial and temporal distributions of the surface runoff are significantly different. The surface runoff interception capacity of the forest is the strongest. However, because of the large cultivated and forest areas, the proportion of surface runoff is relatively large. Urban expansion causes the impervious area to increase, which significantly enhances the runoff yield in the Yun–Gui Plateau.
- The study found that the higher the degree of aggregation of the impervious patches, the higher the regional runoff yield. Enhancing the connectivity of forest patches and promoting the complete and centralized development of forest patches can effectively reduce runoff in the Yun–Gui Plateau.
- Central and local policies promoted the evolution of the regional landscape pattern and affected temporal and spatial changes in the runoff.
Author Contributions
Funding
Institutional Review Board Statement
Informed Consent Statement
Data Availability Statement
Conflicts of Interest
References
- Li, Y.; Xiong, K.; Liu, Z.; Li, K.; Luo, D. Distribution and influencing factors of soil organic carbon in a typical karst catchment undergoing natural restoration. Catena 2022, 212, 106078. [Google Scholar] [CrossRef]
- Xiong, K.; Chen, Q. Discussion on the evolution law and trend of rocky desertification based on comprehensive ecological management. Karst China 2010, 29, 267–273. [Google Scholar]
- Jin, A.; Xiong, K.; Hu, J.; Lan, A.; Zhang, S. Remote Sensing Ecological Quality and Its Response to the Rocky Desertification in the World Heritage Karst Sites. Land 2024, 13, 410. [Google Scholar] [CrossRef]
- Chen, Q.; Lu, S.; Xiong, K.; Zhao, R. Coupling analysis on ecological environment fragility and poverty in South China Karst. Environ. Res. 2021, 201, 111650. [Google Scholar] [CrossRef] [PubMed]
- Ao, L.; Jiang, C.; Xu, Q. Effects of rock surface morphology on runoff and sediment yield in the southwest karst slope. Study Soil Water Conserv. 2023, 30, 52–60. [Google Scholar]
- Wang, D.; Wu, L.; Feng, Z.; Mu, T.; Wu, P. Study on the influence of land use change on surface runoff in Guizhou Province since 1995. J. Guizhou Norm. Univ. (Nat. Sci. Ed.) 2023, 41, 44–55. [Google Scholar]
- Yuan, J. Optimization of SWAT Model and Spatial-Temporal Differentiation Mechanism of Runoff and Sediment Yield in Karst Watershed. Master’s Thesis, Guizhou Normal University, Guiyang, China, 2023. [Google Scholar]
- Deng, X.; Zhou, Y.; Sun, N. Study on the Evaluation of Urban Park Landscape Pattern Index and Its Driving Mechanisms in Nanchang City. Sustainability 2024, 16, 4132. [Google Scholar] [CrossRef]
- Guo, Y.; Ding, W.; Xu, W.; Shao, Y.; Meng, X. Effects of Landscape Patterns on Runoff and Sediment in Danjiang River Basin. IOP Conf. Ser. Earth Environ. Sci. 2021, 826, 012019. [Google Scholar] [CrossRef]
- Chen, T.; Zou, L.; Xia, J.; Liu, H.; Wang, F. Decomposing the impacts of climate change and human activities on runoff changes in the Yangtze River Basin: Insights from regional differences and spatial correlations of multiple factors. J. Hydrol. 2022, 615, 128649. [Google Scholar] [CrossRef]
- Chen, Q. The impact of surface runoff on sediment yield in Guizhou karst landform area: A case study of Longchang small watershed in Xiuwen County. Green Sci. Technol. 2023, 25, 51–57. [Google Scholar]
- Bin, L.; Xu, K.; Xu, X.; Lian, J.; Ma, C. Development of a landscape indicator to evaluate the effect of landscape pattern on surface runoff in the Haihe River Basin. J. Hydrol. 2018, 566, 546–557. [Google Scholar] [CrossRef]
- Yang, X. Effects of a Multi-Scale Landscape Pattern on Runoff and Sediment Transport in the Loess Plateau. Ph.D. Thesis, Northwest University of Agriculture and Forestry, Xianyang, China, 2019. [Google Scholar]
- Gebru, B.M.; Adane, G.B.; Park, E.; Khamzina, A.; Lee, W.K. Landscape pattern and climate dynamics effects on ecohydrology and implications for runoff management: The case of a dry Afromontane forest in northern Ethiopia. Geocarto Int. 2022, 37, 12466–12487. [Google Scholar] [CrossRef]
- Jiang, Y.; Ji, H. Isotopic indicators of source and fate of particulate organic carbon in a karstic watershed on the Yun-Gui Plateau. Appl. Geochem. 2013, 36, 153–167. [Google Scholar] [CrossRef]
- Yu, L.; Zhuge, X.; Yuan, W.; Gao, N.; Li, J.; Fu, Y.; Chen, F.; Yao, B.; Tang, F.; Kan, W. Cloud characteristics over the Yunnan–Guizhou plateau as observed by MODIS and Himawari-8. Int. J. Climatol. 2023, 43, 8072–8085. [Google Scholar] [CrossRef]
- Ahmadi-Sani, N.; Razaghnia, L.; Pukkala, T. Effect of Land-Use Change on Runoff in Hyrcania. Land 2022, 11, 220. [Google Scholar] [CrossRef]
- Qu, L.; Guo, C.; Zhang, Q.; Huang, Y. Analysis of spatial-temporal characteristics and driving forces of land use transformation: A case study of Fengxian County, Jiangsu Province. Sci. Technol. Manag. Land Resour. 2023, 40, 74–90. [Google Scholar]
- Zhang, T.; Xu, J. Analysis of land use change and driving forces in Dongguan City from 1987 to 2021. Geospat. Inf. 2023, 21, 72–76. [Google Scholar]
- Sun, P.; Yi, J.; Zhou, L.; Yin, W.; Zhang, C.; Kang, Q.; Yuan, Z.; Yuan, Z. Analysis of spatial and temporal dynamic changes in land use in Danjiangkou City from 2010 to 2020. China Agric. Abstr.-Agric. Eng. 2024, 36, 56–61. [Google Scholar]
- Zhu, L.; Chen, C.; Peng, Y. Study on the temporal and spatial evolution model of Cropland based on LUCC intensity map. China’s Land Resour. Econ. 2024, 1–15. [Google Scholar] [CrossRef]
- Li, S.; Gong, J.; Yang, J.; Chen, G.; Zhang, C.; Zhang, M. Characteristics of Land Use/Cover Change Patterns in Lanxi Urban Agglomeration—Based on Intensity Analysis Framework. Resour. Sci. 2023, 45, 480–493. [Google Scholar]
- Wang, Q.; Zhang, P.; Chang, Y.; Li, G.; Chen, Z.; Zhang, X.; Xing, G.; Lu, R.; Li, M.; Zhou, Z. Landscape pattern evolution and ecological risk assessment of the Yellow River Basin based on optimal scale. Ecol. Indic. 2024, 158, 111381. [Google Scholar] [CrossRef]
- Li, D.; Ding, S.; Liang, G.; Zhao, Q.; Tang, Q.; Kong, L. Analysis of landscape heterogeneity in mountainous and hilly areas of western Henan based on the moving window method. Ecology 2014, 34, 3414–3424. [Google Scholar]
- Cai, Y.; Cui, T.; Liu, Z.; Wei, Y. Impact of landscape pattern on collapsing gully erosion in typical red soil region of southern China. Acta Ecol. Sin. 2024, 44, 2817–2825. [Google Scholar] [CrossRef]
- Shi, Y.; Fan, X.; Ding, X.; Sun, M. Ecological Restoration of Habitats Based on Avian Diversity and Landscape Patterns—A Case Study of Haining Mining Pit Park in Zhejiang, China. Sustainability 2024, 16, 1445. [Google Scholar] [CrossRef]
- Hu, J.; Zhang, J.; Li, Y. Exploring the spatial and temporal driving mechanisms of landscape patterns on habitat quality in a city undergoing rapid urbanization based on GTWR and MGWR: The case of Nanjing, China. Ecol. Indic. 2022, 143, 109333. [Google Scholar] [CrossRef]
- Cai, X.; Xu, D. Simulation and Optimization Strategy of Storm Flood Safety Pattern Based on SCS-CN Model. Int. J. Environ. Res. Public Health 2022, 19, 698. [Google Scholar] [CrossRef] [PubMed]
- Wang, J.; Ding, J.; Zhang, C. Research progress of universal rainfall-runoff model SCS-CN. Rural. Water Conserv. Hydropower China 2015, 11, 43–47. [Google Scholar]
- Li, T.; Chen, C.; Li, Q.; Liu, L.; Wang, Z.; Hu, X.; Thapa, S. Evolution Characteristics of Landscape Patterns and the Response of Surface Runoff in a Rapid Urbanization Area: Focus on the Chang–Zhu–Tan Metropolitan Area of China. Water 2023, 15, 3467. [Google Scholar] [CrossRef]
- He, J.; Li, W.; Zhang, D.; Gao, R. Correlation analysis between grounding resistance and soil volumetric water content based on Spearman correlation coefficient. Mt. Meteorol. 2024, 48, 86–90. [Google Scholar]
- Ying, B.; Liu, T.; Ke, L.; Xiong, K.; Li, S.; Sun, R.; Zhu, F. Identifying the Landscape Security Pattern in Karst Rocky Desertification Area Based on Ecosystem Services and Ecological Sensitivity: A Case Study of Guanling County, Guizhou Province. Forests 2023, 14, 613. [Google Scholar] [CrossRef]
- Jiang, M. Spatio-Temporal Changes and Driving Factors of Ecosystem Service Function in Southwest Karst Area. Ph.D. Thesis, Huazhong Agricultural University, Wuhan, China, 2022. [Google Scholar] [CrossRef]
- Ma, G.; Li, Q.; Yang, S.; Zhang, R.; Zhang, L.; Xiao, J.; Sun, G. Analysis of Landscape Pattern Evolution and Driving Forces Based on Land-Use Changes: A Case Study of Yilong Lake Watershed on Yunnan-Guizhou Plateau. Land 2022, 11, 1276. [Google Scholar] [CrossRef]
- Hou, W.; Gao, J. Spatially Variable Relationships between Karst Landscape Pattern and Vegetation Activities. Remote Sens. 2020, 12, 1134. [Google Scholar] [CrossRef]
- Li, Y.; Geng, H. Evolution of Land Use Landscape Patterns in Karst Watersheds of Guizhou Plateau and Its Ecological Security Evaluation. Land 2022, 11, 2225. [Google Scholar] [CrossRef]
- Ma, L.; Wang, C.; Wang, W.; Zhang, L.; Huang, H.; Zhang, S. Study on regional runoff characteristics of Zhengzhou City based on SCS-CN model. Soil Water Conserv. Bull. 2022, 42, 203–209 + 381. [Google Scholar]
- Xu, Y.; Zhu, Y.; Tian, G.; Li, H.; Dong, N. Effect of landscape pattern evolution on surface runoff in Zhengzhou. J. Henan Agric. Univ. 2023, 57, 96–108. [Google Scholar]
- Zhu, Y.; Zhang, Y.; Xu, Y.; Tian, G. Impact of landscape pattern on surface runoff in Dengfeng City based on SCS model. J. Water Ecol. 2022, 45, 63–72. [Google Scholar] [CrossRef]




















| Level | Time | Policy | Contents | |
|---|---|---|---|---|
| Central government policy | 1990s | - | Carry out a pilot project on the comprehensive control of rocky desertification. | |
| 2001 | A1: “Outline of the Tenth Five-Year Plan for National Economic and Social Development of the People’s Republic of China” | Promote the comprehensive management of rocky desertification and reduce soil erosion in karst areas. | ||
| 2006 | A2: “Karst Area Rocky Desertification Comprehensive Control Planning Outline (2006–2015)” | Accelerate the pace of rocky desertification’s control and curb its expansion as soon as possible. | ||
| 2008 | A3: “Outline of the Comprehensive Management Plan for Rocky Desertification in Karst Areas (2008–2015)” | Implement afforestation and closure of hillsides to facilitate afforestation measures to restore and improve the quality of the ecological environment in karst areas. | ||
| 2008 | - | One hundred national pilot counties selected for the comprehensive control of rocky desertification. | ||
| 2011 | A4: “National Major Function-Oriented Zone Planning” | Protection of croplands and natural grasslands, glaciers, and permanent snow cover. | ||
| 2014 | A5: “National Ecological Protection and Construction Plan (2013–2020)” | Farmland in the Yun–Gui Plateau—continued promotion of projects to return farmland into forest land in karst areas with rocky desertification, such as Guizhou, Guangxi, and Yunnan. | ||
| 2014 | A6: “National Ecological Protection Red Line” | Strictly protect and control spatial boundaries. | ||
| 2016 | A7: “Karst Rocky Desertification Comprehensive Treatment Project 13th Five-Year Plan Construction Planning” | Adhere to the priorities of protection and natural restoration, using green development as the conceptual basis to carry out rocky desertification control. | ||
| 2020 | A8: “Master Plan of Major Projects for the Protection and Restoration of Important Ecosystems in China (2021–2035)” | The comprehensive management of rocky desertification is the key task of planning. | ||
| Local government policy | Guizhou province | 2008 | B1: “Opinions on Accelerating the Comprehensive Prevention and Control of Rocky Desertification” | National rocky desertification—comprehensive prevention and control pilot project. |
| 2011 | B2: “Guizhou Province Water Conservancy, Ecological Construction, and Rocky Desertification” | The water conservancy, ecology, and rocky desertification control project “trinity”. | ||
| 2017 | B3: “13th Five-Year Ecological Construction Plan of Guizhou Province” | Improve the ecosystem and adhere to green development. | ||
| Yunnan province | 2008 | B4: “Karst Rocky Desertification Comprehensive Management Planning” | Promote the comprehensive management of the rocky desertification pilot project and the control of rocky desertification at the national level in key counties. | |
| 2016 | B5: “Development Plan for the Open Economic Belt along the Border of Yunnan Province (2016–2020)” | Vigorously promote ecological governance. | ||
| 2021 | B6: “Master Plan of Major Projects for the Protection and Restoration of Important Ecosystems in Yunnan Province (2021–2035)” | Strengthen the comprehensive management of rocky desertification in karst areas. | ||
| Hunan Province | 1950s | - | Exploration of the management of rocky desertification by construction of tunnels and terraces, as well as addressing afforestation in rocky desertification areas. | |
| 1990s | - | Eliminating barren mountainsides suitable for forest, march toward “three difficult places” greening. | ||
| 2009 | - | Carry out the green Xiangxi project and comprehensively manage rocky desertification. | ||
| 2008–2014 | - | Thirty-two counties (cities, districts) are included in the scope of the national key comprehensive management of rocky desertification. | ||
| 2018 | B7: “The Red Line of Ecological Protection in Hunan Province” | Strengthen the prevention and control of soil erosion and rocky desertification in multiple areas. | ||
| 2021 | - | Fifteen national rocky desert parks are built. | ||
| Guangxi Province | 2008 | - | The integration of “seal, make, management, biogas, use, and supplement” in economic development, ecological restoration, improvements in people’s livelihood, and rocky desertification prevention and control. | |
| 2021 | B8: “The 14th Five-Year Plan for Ecological Environment Protection in Guangxi” | Promotion of the protection of natural forest resources, construction of shelter forest system, and comprehensive management of rocky desertification. | ||
| Sichuan Province | 2015 | B9: “Provincial Forestry Work Conference” | Strengthen regional ecological protection and construction and promote desert ecological management. | |
| 2020 | B10: “Sichuan Province to Accelerate the Implementation of Ecological Civilization Construction Plan” | Increase regional rocky desertification control and restoration intensity and promote comprehensive management projects. | ||
| Hubei Province | 2008 | - | Comprehensively promote the management of rocky desertification in the karst area. | |
| 2016 | B11: “The 13th Five-Year Plan for the Comprehensive Control of Rocky Desertification in Karst Areas of Hubei Province” | Carry out key forestry-related ecological projects to further control the expansion of rocky desertification. | ||
| 2020 | B12: “Hubei Yangtze River Protection and Restoration Battle Program” | The comprehensive control project of rocky desertification is carried out in 20 key counties of the province. | ||
| Chongqing | / | - | Key forestry-related ecological projects are carried out in karst areas, and comprehensive ecological control projects, such as artificial afforestation, the closure of hillsides to facilitate afforestation, and conservation tillage, are implemented. | |
| 2022 | B13: “Chongqing Ecological Environment Protection 14th Five-Year Plan (2021–2025)” | Restoration of ecologically degraded areas, according to local conditions, with suitable trees to carry out karst rocky desertification control. | ||
| Serial Number | Date | Data Source | Concrete Methods | Ways of Data Use |
|---|---|---|---|---|
| 1 | Land use data | China Land Cover Dataset (CLCD), resolution: 30 m, accessed on 9 May 2023. | GIS—unified coordinate, extraction by mask | Land use change analysis, landscape pattern analysis, and surface runoff simulation. |
| 2 | Precipitation data | Monthly precipitation dataset with 1 km resolution in China from 1901 to 2022 (https://www.geodata.cn/data/), resolution: 1 km, accessed on 14 May 2023. | GIS—nc to tif file superposition of monthly precipitation | Surface runoff simulation and driving factor analysis |
| 3 | Soil hydrological type | Soil hydrological grouping raster data set HYSOGs250m (HSG), resolution: 250 m, accessed on 2 June 2023. | GIS—unified coordinate, reclassification–extraction by mask | |
| 4 | Digital elevation data | Geospatial Data Cloud (https://www.gscloud.cn/search), resolution: 30 m, accessed on 24 May 2023. | GIS-Mosaic to new grid, extraction by mask | |
| 5 | CN value | American Engineering Handbook (https://www.hydrocad.net/neh.htm), accessed on 3 June 2023. | The CN value index of the Yun–Gui Plateau under AMCII state is obtained | Surface runoff simulation |
| Index of Landscape | |||||||||
| index | AREA_MN | COHESION | DIVISION | LSI | LPI | PD | IJI | CONTAG | SHDI |
| VIF | 2.152 | 4.789 | 15.706 | 8.357 | 5.964 | 2.827 | 1.104 | 5.330 | 5.527 |
| Plaque-Type Level Index | |||||||||
| index | PLAND | NP | PD | DIVISION | LPI | LSI | |||
| VIF | 1.482 | 10.147 | 10.1445 | 1.105 | 1.141 | 1.000 | |||
| Final Infiltration Rate (mm/h) | Water–Soil | Soil Texture Classes | Runoff Potential |
|---|---|---|---|
| 7.6–11.4 | A | Sa, SaLo, LoSa | low |
| 3.8–7.6 | B | Si, Lo, SiLo | Moderately low |
| 1.3–3.8 | C | SaClLo | Moderately high |
| 0–1.3 | D | ClLo, SiClLo, SaCl, SiCl, Cl | high |
| Land Use Type | Hydrological Soil Group | |||
|---|---|---|---|---|
| A | B | C | D | |
| Cropland | 67 | 78 | 85 | 89 |
| Forest | 45 | 49 | 75 | 85 |
| Shrub | 55 | 72 | 81 | 86 |
| Grassland | 52 | 71 | 81 | 89 |
| Water | 98 | 98 | 98 | 98 |
| Snowfield | 63 | 80 | 87 | 93 |
| Barren | 77 | 86 | 91 | 93 |
| Impervious | 89 | 92 | 94 | 95 |
| Time | PD | LPI | LSI | AREA_MN | CONTAG | IJI | COHESION | SHDI |
|---|---|---|---|---|---|---|---|---|
| 2000 | 0.7873 | 60.215 | 495.9675 | 127.023 | 61.4014 | 40.33 | 99.9305 | 0.9019 |
| 2005 | 0.7705 | 59.4699 | 493.9009 | 129.7869 | 61.2519 | 40.3728 | 99.9302 | 0.9082 |
| 2010 | 0.7753 | 61.4659 | 493.8361 | 128.9899 | 61.3387 | 40.6072 | 99.9354 | 0.9056 |
| 2015 | 0.7913 | 61.4204 | 512.6118 | 126.379 | 61.1778 | 38.913 | 99.9388 | 0.9025 |
| 2020 | 0.7735 | 62.5658 | 508.2318 | 129.2882 | 61.7665 | 37.8815 | 99.9408 | 0.8881 |
| Index | Time | Cropland | Forest | Shrub | Grassland | Water | Snowfield | Barren | Impervious |
|---|---|---|---|---|---|---|---|---|---|
| PLAND | 2000 | 26.5946 | 65.8757 | 2.481 | 4.0499 | 0.6584 | 0.0028 | 0.0128 | 0.3249 |
| 2005 | 27.1521 | 65.3456 | 2.4778 | 3.9338 | 0.6862 | 0.0028 | 0.0136 | 0.388 | |
| 2010 | 26.8921 | 65.7355 | 2.5013 | 3.6118 | 0.7424 | 0.0027 | 0.0133 | 0.5008 | |
| 2015 | 27.4063 | 65.5628 | 2.204 | 3.3597 | 0.7999 | 0.004 | 0.0105 | 0.6528 | |
| 2020 | 27.0945 | 66.2984 | 2.0368 | 2.967 | 0.7891 | 0.0039 | 0.0102 | 0.8001 | |
| LPI | 2000 | 4.4955 | 60.215 | 0.0055 | 0.0733 | 0.0525 | 0.0016 | 0.0014 | 0.0072 |
| 2005 | 4.5094 | 59.4699 | 0.0061 | 0.1511 | 0.0674 | 0.0014 | 0.0016 | 0.012 | |
| 2010 | 3.1261 | 61.4659 | 0.0083 | 0.0774 | 0.0741 | 0.0007 | 0.0015 | 0.0152 | |
| 2015 | 5.0918 | 61.4204 | 0.0084 | 0.0444 | 0.0595 | 0.0029 | 0.0004 | 0.024 | |
| 2020 | 4.0462 | 62.5658 | 0.007 | 0.0467 | 0.0585 | 0.0033 | 0.0004 | 0.0276 | |
| LSI | 2000 | 724.2854 | 518.1154 | 498.859 | 463.1863 | 162.5941 | 9.1667 | 28.3556 | 159.7765 |
| 2005 | 721.2728 | 516.0817 | 494.5557 | 449.2342 | 165.0381 | 10.1905 | 26.7097 | 167.1457 | |
| 2010 | 726.2921 | 514.3072 | 498.5778 | 441.4309 | 170.1889 | 10.6429 | 27.6087 | 180.5348 | |
| 2015 | 769.5609 | 539.6693 | 477.7721 | 431.7686 | 173.1918 | 9.6078 | 27.4512 | 198.9453 | |
| 2020 | 781.8661 | 534.4632 | 457.9399 | 411.7311 | 171.1051 | 8.46 | 28.3875 | 213.0522 | |
| DIVISION | 2000 | 0.9972 | 0.6373 | 1 | 1 | 1 | 1 | 1 | 1 |
| 2005 | 0.9965 | 0.6462 | 1 | 1 | 1 | 1 | 1 | 1 | |
| 2010 | 0.9977 | 0.6222 | 1 | 1 | 1 | 1 | 1 | 1 | |
| 2015 | 0.9961 | 0.6227 | 1 | 1 | 1 | 1 | 1 | 1 | |
| 2020 | 0.9971 | 0.6085 | 1 | 1 | 1 | 1 | 1 | 1 |
| Time | Policy | Construction Contents | Landscape Pattern Evolution | Surface Runoff Response |
|---|---|---|---|---|
| 2000–2005 | A1 | Comprehensive control of rocky desertification project, pilot to revert farmland to forest, and ecological restoration project. | The increase in the cropland area and the lag in policy leads to a decrease in forest land. | The interception capacity of rainwater is weakened, but the precipitation is reduced, resulting in a decrease in total runoff. |
| 2005–2010 | A2, A3, B1, B4 | Comprehensive control of rocky desertification pilot project, afforestation, closure of hillsides to facilitate the afforestation project, and soil erosion prevention and control project. | The areas of other land types converted to forest increases, and the shape of the forest landscape tends to be regular. | The water conservation capacity of the region is enhanced, but the increase in precipitation leads to an increase in surface runoff. |
| 2010–2015 | A4, A5, A6, B2, B9, Yunnan border open economic belt development plan (2016–2020) | The ecological restoration project and China’s construction land development are extended to the central and western regions. The population growth of the urban agglomeration in central Yunnan is intense, and the city is expanding outward. | Human activities have intensified, urban land has expanded, the proportion of impervious land and cropland has increased, and forest patches tend to be fragmented and more complex. | The permeability of the underlying surface in urban areas is low, and the regional runoff capacity is enhanced. At the same time, the precipitation increases, and the precipitation and pattern of evolution results work together to increase the runoff. |
| 2015–2020 | A7, A8, B5, B7, B9, B10, B11, B12 | Ecological management, afforestation, soil erosion control, comprehensive management of rocky desertification, and reversion of farmland to forest and grassland projects are vigorously carried out. | The proportion of the forest landscape area increased, and forest landscape connectivity increased. | The regional rainwater interception capacity is enhanced. At the same time, the precipitation is reduced. The precipitation is resonant with the influence of policy, and the runoff is reduced. |
Disclaimer/Publisher’s Note: The statements, opinions and data contained in all publications are solely those of the individual author(s) and contributor(s) and not of MDPI and/or the editor(s). MDPI and/or the editor(s) disclaim responsibility for any injury to people or property resulting from any ideas, methods, instructions or products referred to in the content. |
© 2024 by the authors. Licensee MDPI, Basel, Switzerland. This article is an open access article distributed under the terms and conditions of the Creative Commons Attribution (CC BY) license (https://creativecommons.org/licenses/by/4.0/).
Share and Cite
Xu, H.; Chen, C.; Liu, L.; Li, Q.; Wei, B.; Hu, X. Response of Surface Runoff Evolution to Landscape Patterns in Karst Areas: A Case Study of Yun–Gui Plateau. Sustainability 2024, 16, 7338. https://doi.org/10.3390/su16177338
Xu H, Chen C, Liu L, Li Q, Wei B, Hu X. Response of Surface Runoff Evolution to Landscape Patterns in Karst Areas: A Case Study of Yun–Gui Plateau. Sustainability. 2024; 16(17):7338. https://doi.org/10.3390/su16177338
Chicago/Turabian StyleXu, Hui, Cunyou Chen, Luyun Liu, Qizhen Li, Baojing Wei, and Xijun Hu. 2024. "Response of Surface Runoff Evolution to Landscape Patterns in Karst Areas: A Case Study of Yun–Gui Plateau" Sustainability 16, no. 17: 7338. https://doi.org/10.3390/su16177338
APA StyleXu, H., Chen, C., Liu, L., Li, Q., Wei, B., & Hu, X. (2024). Response of Surface Runoff Evolution to Landscape Patterns in Karst Areas: A Case Study of Yun–Gui Plateau. Sustainability, 16(17), 7338. https://doi.org/10.3390/su16177338

