Sustainable Biocomposites Based on Invasive Rugulopteryx okamurae Seaweed and Cassava Starch
Abstract
:1. Introduction
2. Materials and Methods
2.1. Materials
2.2. Methods
Fourier Transform Infrared Spectroscopy (FTIR)
2.3. Thermal Analysis
2.4. Tensile Tests
2.5. Water Uptake Capacity (WUC) and Soluble Matter Loss (SML)
2.6. Scanning Electron Microscopy (SEM)
2.7. Statistical Analysis
3. Results
3.1. RO/Gly and CS/Gly Bioplastics
3.2. RO/CS/Gly Biocomposites
3.2.1. Rheological Characterisation during Mixing of the Blends
3.2.2. FTIR of Biocomposites
3.2.3. Thermal Behaviour
- DSC and TGA
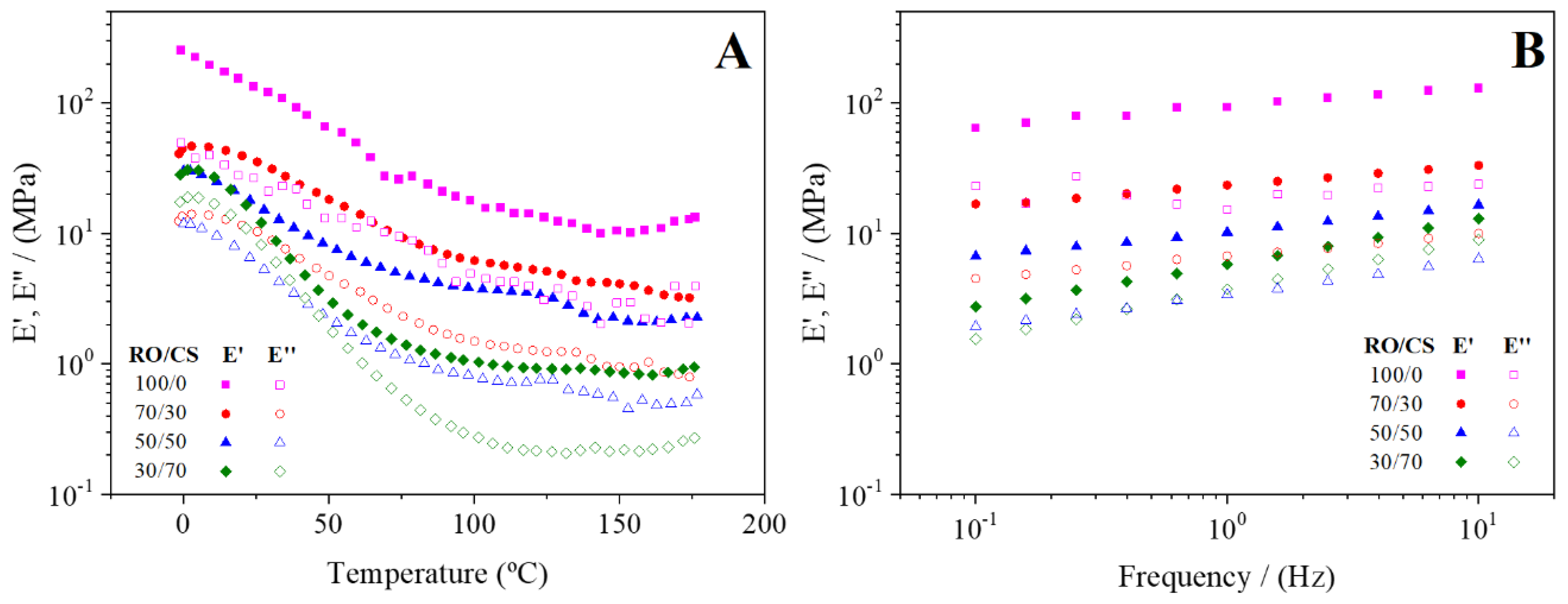
- DMA
3.2.4. Mechanical Properties
3.2.5. Water Uptake
3.2.6. Scanning Electron Microscopy (SEM)
4. Conclusions
Supplementary Materials
Author Contributions
Funding
Institutional Review Board Statement
Informed Consent Statement
Data Availability Statement
Acknowledgments
Conflicts of Interest
References
- Mekonnen, T.; Mussone, P.; Khalil, H.; Bressler, D. Progress in bio-based plastics and plasticizing modifications. J. Mater. Chem. A 2013, 1, 13379–13398. [Google Scholar] [CrossRef]
- Ashter, S.A. Introduction. In Introduction to Bioplastics Engineering; Elsevier: Amsterdam, The Netherlands, 2016; pp. 1–17. ISBN 9780323393966. [Google Scholar]
- PlasticEurope: Plastics—The Facts 2022, H. Available online: https://plasticseurope.org/knowledge-hub/plastics-the-facts-2022 (accessed on 16 December 2022).
- European Commission Reducing Plastic Pollution: Negotiations towards a New Global Instrument to Combat Plastic Pollution Advance. Available online: https://environment.ec.europa.eu/news/negotiations-towards-new-global-instrument-combat-plastic-pollution-advance-2023-11-20_en (accessed on 28 November 2023).
- Atiwesh, G.; Mikhael, A.; Parrish, C.C.; Banoub, J.; Le, T.A.T. Environmental impact of bioplastic use: A review. Heliyon 2021, 7, e07918. [Google Scholar] [CrossRef] [PubMed]
- Tokiwa, Y.; Calabia, B.P.; Ugwu, C.U.; Aiba, S. Biodegradability of plastics. Int. J. Mol. Sci. 2009, 10, 3722–3742. [Google Scholar] [CrossRef] [PubMed]
- European Bioplastics Bioplastics Market Data. Available online: https://www.european-bioplastics.org/market/ (accessed on 28 November 2023).
- Okada, M. Chemical syntheses of biodegradable polymers. Prog. Polym. Sci. 2002, 27, 87–133. [Google Scholar] [CrossRef]
- Jariyasakoolroj, P.; Leelaphiwat, P.; Harnkarnsujarit, N. Advances in research and development of bioplastic for food packaging. J. Sci. Food Agric. 2020, 100, 5032–5045. [Google Scholar] [CrossRef] [PubMed]
- Mottiar, Y.; Altosaar, I. Iodine sequestration by amylose to combat iodine deficiency disorders. Trends Food Sci. Technol. 2011, 22, 335–340. [Google Scholar] [CrossRef]
- Zhang, Y.; Rempel, C.; Liu, Q. Thermoplastic Starch Processing and Characteristics-A Review. Crit. Rev. Food Sci. Nutr. 2014, 54, 1353–1370. [Google Scholar] [CrossRef]
- Parra, D.F.; Tadini, C.C.; Ponce, P.; Lugao, A.B. Mechanical properties and water vapor transmission in some blends of cassava starch edible films. Carbohydr. Polym. 2004, 58, 475–481. [Google Scholar] [CrossRef]
- Chan, J.X.; Wong, J.F.; Hassan, A.; Zakaria, Z. Bioplastics from agricultural waste. In Biopolymers and Biocomposites from Agro-Waste for Packaging Applications; Elsevier: Amsterdam, The Netherlands, 2021; pp. 141–169. [Google Scholar]
- Weligama Thuppahige, V.T.; Moghaddam, L.; Welsh, Z.G.; Wang, T.; Xiao, H.-W.; Karim, A. Extraction and characterisation of starch from cassava (Manihot esculenta) agro-industrial wastes. LWT 2023, 182, 114787. [Google Scholar] [CrossRef]
- Pavlath, A.E.; Robertson, G.H. Biodegradable polymers vs. recycling: What are the possibilities. Crit. Rev. Anal. Chem. 1999, 29, 231–241. [Google Scholar] [CrossRef]
- Ezeoha, S.L. Production of Biodegradable Plastic Packaging Film from Cassava Starch. IOSR J. Eng. 2013, 3, 14–20. [Google Scholar] [CrossRef]
- Oluwasina, O.O.; Olaleye, F.K.; Olusegun, S.J.; Oluwasina, O.O.; Mohallem, N.D.S. Influence of oxidized starch on physicomechanical, thermal properties, and atomic force micrographs of cassava starch bioplastic film. Int. J. Biol. Macromol. 2019, 135, 282–293. [Google Scholar] [CrossRef] [PubMed]
- Oluwasina, O.O.; Akinyele, B.P.; Olusegun, S.J.; Oluwasina, O.O.; Mohallem, N.D.S. Evaluation of the effects of additives on the properties of starch-based bioplastic film. SN Appl. Sci. 2021, 3, 421. [Google Scholar] [CrossRef]
- Arrieta, A.A.; Gañán, P.F.; Márquez, S.E.; Zuluaga, R. Electrically conductive bioplastics from cassava starch. J. Braz. Chem. Soc. 2011, 22, 1170–1176. [Google Scholar] [CrossRef]
- Willett, K.; Howell, B. Using local invasive species and flora to manufacture collagen based biodegradable plastic tableware. In Proceedings of the International Conference on Engineering Design, ICED; The University of British Columbia: Vancouver, BC, Canada, 2017; Volume 1, pp. 151–158. [Google Scholar]
- Santana, I.; Félix, M.; Guerrero, A.; Bengoechea, C. Processing and Characterization of Bioplastics from the Invasive Seaweed Rugulopteryx okamurae. Polymers 2022, 14, 355. [Google Scholar] [CrossRef] [PubMed]
- Agatsuma, Y.; Kuwahara, Y.; Taniguchi, K. Life cycle of Dilophus okamurae (Phaeophyceae) and its associated invertebrate fauna in Onagawa Bay, Japan. Fish. Sci. 2005, 71, 1107–1114. [Google Scholar] [CrossRef]
- García-Gómez, J.C.; Florido, M.; Olaya-Ponzone, L.; Rey Díaz de Rada, J.; Donázar-Aramendía, I.; Chacón, M.; Quintero, J.J.; Magariño, S.; Megina, C. Monitoring Extreme Impacts of Rugulopteryx okamurae (Dictyotales, Ochrophyta) in El Estrecho Natural Park (Biosphere Reserve). Showing Radical Changes in the Underwater Seascape. Front. Ecol. Evol. 2021, 9, 1–18. [Google Scholar] [CrossRef]
- Altamirano Jeschke, M.; Zanolla, M. Análisis de Riesgos de la Macroalga Exótica Rugulopteryx okamurae.; Ministerio para la Transición Ecológica y Reto Demográfico: Madrid, Spain, 2019; p. 69. [Google Scholar]
- García-Gómez, J.C.; Sempere-Valverde, J.; González, A.R.; Martínez-Chacón, M.; Olaya-Ponzone, L.; Sánchez-Moyano, E.; Ostalé-Valriberas, E.; Megina, C. From exotic to invasive in record time: The extreme impact of Rugulopteryx okamurae (Dictyotales, Ochrophyta) in the strait of Gibraltar. Sci. Total Environ. 2020, 704, 2. [Google Scholar] [CrossRef]
- Zhang, C.; Show, P.L.; Ho, S.H. Progress and perspective on algal plastics—A critical review. Bioresour. Technol. 2019, 289, 121700. [Google Scholar] [CrossRef]
- ISO ISO 527-2; Determination of Tensile Properties of Plastics—Test Conditions for Moulding and Extrusion Plastics. International Organization for Standardization: Geneva, Switzerland, 1996; Volume 2, p. 9.
- D570 ASTM D 570—98; Standard Test Method for Water Absorption of Plastics. ASTM International—Standards Worldwide: West Conshohocken, PA, USA, 1985.
- Jones, A.; Mandal, A.; Sharma, S. Protein-based bioplastics and their antibacterial potential. J. Appl. Polym. Sci. 2015, 132, 18. [Google Scholar] [CrossRef]
- Felix, M.; Romero, A.; Cordobes, F.; Guerrero, A. Development of crayfish bio-based plastic materials processed by small-scale injection moulding. J. Sci. Food Agric. 2015, 95, 679–687. [Google Scholar] [CrossRef] [PubMed]
- Wanchoo, R.K.; Sharma, P.K. Viscometric study on the compatibility of some water-soluble polymer-polymer mixtures. Eur. Polym. J. 2003, 39, 1481–1490. [Google Scholar] [CrossRef]
- Xu, X.; Li, B.; Kennedy, J.F.; Xie, B.J.; Huang, M. Characterization of konjac glucomannan-gellan gum blend films and their suitability for release of nisin incorporated therein. Carbohydr. Polym. 2007, 70, 192–197. [Google Scholar] [CrossRef]
- Khalil, A.; Khalil, H.P.S.A.; Yap, S.W.; Tye, Y.Y.; Tahir, P.M.; Rizal, S.; Nurul Fazita, M.R. Effects of Corn Starch and Kappaphycus alvarezii Seaweed Blend Concentration on the Optical, Mechanical, and Water Vapor Barrier Properties of Composite Films. BioResources 2018, 13, 1157–1173. [Google Scholar]
- Flórez-Fernández, N.; Domínguez, H.; Torres, M.D. A green approach for alginate extraction from Sargassum muticum brown seaweed using ultrasound-assisted technique. Int. J. Biol. Macromol. 2019, 124, 451–459. [Google Scholar] [CrossRef] [PubMed]
- Fenoradosoa, T.A.; Ali, G.; Delattre, C.; Laroche, C.; Petit, E.; Wadouachi, A.; Michaud, P. Extraction and characterization of an alginate from the brown seaweed Sargassum turbinarioides Grunow. J. Appl. Phycol. 2010, 22, 131–137. [Google Scholar] [CrossRef]
- López-González, D.; Avalos Ramirez, A.; Ghorbel, L.; Rouissi, T.K.; Brar, S.; Giroir-Fendler, A.; Godbout, S.; Palacios, J.; Sanchez Silva, L.; Luis Valverde, J. Valorization of compost from animal breeding via pyrolysis and combustion. Am. Soc. Agric. Biol. Eng. 2014, 1, 141913285. [Google Scholar]
- Marcilla, A.; Gómez-Siurana, A.; Gomis, C.; Chápuli, E.; Catalá, M.C.; Valdés, F.J. Characterization of microalgal species through TGA/FTIR analysis: Application to nannochloropsis sp. Thermochim. Acta 2009, 484, 41–47. [Google Scholar] [CrossRef]
- Ma, X.; Yu, J.; Kennedy, J.F. Studies on the properties of natural fibers-reinforced thermoplastic starch composites. Carbohydr. Polym. 2005, 62, 19–24. [Google Scholar] [CrossRef]
- Ma, X.; Chang, P.R.; Yu, J.; Stumborg, M. Properties of biodegradable citric acid-modified granular starch/thermoplastic pea starch composites. Carbohydr. Polym. 2009, 75, 1–8. [Google Scholar] [CrossRef]
- Ahmad, Z.; Anuar, H.; Yusof, Y. The study of biodegradable thermoplastics sago starch. Key Eng. Mater. 2011, 471–472, 397–402. [Google Scholar] [CrossRef]
- Weerapoprasit, C.; Prachayawarakorn, J. Properties of biodegradable thermoplastic cassava starch/sodium alginate composites prepared from injection molding. Polym. Compos. 2016, 37, 3365–3372. [Google Scholar] [CrossRef]
- Sanyang, M.L.; Sapuan, S.M.; Jawaid, M.; Ishak, M.R.; Sahari, J. Effect of plasticizer type and concentration on tensile, thermal and barrier properties of biodegradable films based on sugar palm (Arenga pinnata) starch. Polymers 2015, 7, 1106–1124. [Google Scholar] [CrossRef]
- Anwer, M.A.S.; Naguib, H.E.; Celzard, A.; Fierro, V. Comparison of the thermal, dynamic mechanical and morphological properties of PLA-Lignin & PLA-Tannin particulate green composites. Compos. Part B Eng. 2015, 82, 92–99. [Google Scholar] [CrossRef]
- Ferry, J.D. Viscoelastic Properties of Polymers; Wiley: Hoboken, NJ, USA, 1980; ISBN 9780471048947. [Google Scholar]
- Rodriguez-Gonzalez, F.J.; Ramsay, B.A.; Favis, B.D. Rheological and thermal properties of thermoplastic starch with high glycerol content. Carbohydr. Polym. 2004, 58, 139–147. [Google Scholar] [CrossRef]
- Lu, Y.; Weng, L.; Cao, X. Morphological, thermal and mechanical properties of ramie crystallites—Reinforced plasticized starch biocomposites. Carbohydr. Polym. 2006, 63, 198–204. [Google Scholar] [CrossRef]
- Zanela, J.; Olivato, J.B.; Dias, A.P.; Grossmann, M.V.E.; Yamashita, F. Mixture design applied for the development of films based on starch, polyvinyl alcohol, and glycerol. J. Appl. Polym. Sci. 2015, 132, 43. [Google Scholar] [CrossRef]
- Santana, R.F.; Bonomo, R.C.F.; Gandolfi, O.R.R.; Rodrigues, L.B.; Santos, L.S.; dos Santos Pires, A.C.; de Oliveira, C.P.; da Costa Ilhéu Fontan, R.; Veloso, C.M. Characterization of starch-based bioplastics from jackfruit seed plasticized with glycerol. J. Food Sci. Technol. 2018, 55, 278–286. [Google Scholar] [CrossRef]
- Chakraborty, I.; Pooja, N.; Banik, S.; Govindaraju, I.; Das, K.; Mal, S.S.; Zhuo, G.Y.; Rather, M.A.; Mandal, M.; Neog, A.; et al. Synthesis and detailed characterization of sustainable starch-based bioplastic. J. Appl. Polym. Sci. 2022, 139, 1–12. [Google Scholar] [CrossRef]
- Tunc, S.; Angellier, H.; Cahyana, Y.; Chalier, P.; Gontard, N.; Gastaldi, E. Functional properties of wheat gluten/montmorillonite nanocomposite films processed by casting. J. Memb. Sci. 2007, 289, 159–168. [Google Scholar] [CrossRef]
- Álvarez-Castillo, E.; Felix, M.; Bengoechea, C.; Guerrero, A. Proteins from Agri-Food Industrial Biowastes or Co-Products and Their Applications as Green Materials. Foods 2021, 10, 981. [Google Scholar] [CrossRef] [PubMed]
- Félix, M.; Martín-Alfonso, J.E.; Romero, A.; Guerrero, A.; Felix, M.; Martin-Alfonso, J.E.; Romero, A.; Guerrero, A. Development of albumen/soy biobased plastic materials processed by injection molding. J. Food Eng. 2014, 125, 7–16. [Google Scholar] [CrossRef]
- Ferreira, W.H.; Carmo, M.M.I.B.; Silva, A.L.N.; Andrade, C.T. Effect of structure and viscosity of the components on some properties of starch-rich hybrid blends. Carbohydr. Polym. 2015, 117, 988–995. [Google Scholar] [CrossRef] [PubMed]








| System | E (kPa) | εmax (%) | σmax (kPa) | 
|---|---|---|---|
| RO/Gly | 2.61 × 103 ± 5.14 × 102 a | 7.40 × 10−1 ± 1.20 × 10−1 a | 6.79 × 102 ± 5.66 × 101 a | 
| CS/Gly | 1.12 × 101 ± 7.57 b | 5.64 × 101 ± 5.19 b | 1.80 × 102 ± 4.59 × 101 b | 
| RO/CS | E (kPa) | εmax (%) | σmax (kPa) | 
|---|---|---|---|
| 100/0 | 4.0 × 102 ± 1.40 × 102 a | 4.90 × 10−1 ± 7.00 × 10−2 a | 8.80 × 101 ± 2.10 × 101 a | 
| 70/30 | 1.71 × 102 ± 9.41 × 101 a | 1.43 ± 8.40 × 10−1 b | 7.82 × 101 ± 4.42 × 101 a | 
| 50/50 | 4.25 × 102 ± 4.72 × 101 a | 1.98 ± 3.20 × 10−1 b | 3.00 × 102 ± 1.36 × 102 c | 
| 30/70 | 2.67 × 102 ± 1.96 × 102 a | 2.52 × 101 ± 2.63 c | 5.80 × 102 ± 9.37 × 101 d | 
| Disclaimer/Publisher’s Note: The statements, opinions and data contained in all publications are solely those of the individual author(s) and contributor(s) and not of MDPI and/or the editor(s). MDPI and/or the editor(s) disclaim responsibility for any injury to people or property resulting from any ideas, methods, instructions or products referred to in the content. | 
© 2023 by the authors. Licensee MDPI, Basel, Switzerland. This article is an open access article distributed under the terms and conditions of the Creative Commons Attribution (CC BY) license (https://creativecommons.org/licenses/by/4.0/).
Share and Cite
Santana, I.; Felix, M.; Bengoechea, C. Sustainable Biocomposites Based on Invasive Rugulopteryx okamurae Seaweed and Cassava Starch. Sustainability 2024, 16, 76. https://doi.org/10.3390/su16010076
Santana I, Felix M, Bengoechea C. Sustainable Biocomposites Based on Invasive Rugulopteryx okamurae Seaweed and Cassava Starch. Sustainability. 2024; 16(1):76. https://doi.org/10.3390/su16010076
Chicago/Turabian StyleSantana, Ismael, Manuel Felix, and Carlos Bengoechea. 2024. "Sustainable Biocomposites Based on Invasive Rugulopteryx okamurae Seaweed and Cassava Starch" Sustainability 16, no. 1: 76. https://doi.org/10.3390/su16010076
APA StyleSantana, I., Felix, M., & Bengoechea, C. (2024). Sustainable Biocomposites Based on Invasive Rugulopteryx okamurae Seaweed and Cassava Starch. Sustainability, 16(1), 76. https://doi.org/10.3390/su16010076
 
        




 
       