Next Article in Journal
Innovative Imaging and Analysis Techniques for Quantifying Spalling Repair Materials in Concrete Pavements
Previous Article in Journal
Towards a Resilient Organization: Lessons Learned from the Oil and Gas Sector in Qatar
 
 
Font Type:
Arial Georgia Verdana
Font Size:
Aa Aa Aa
Line Spacing:
Column Width:
Background:
Article

Computational Thinking with Scratch: A Tool to Work on Geometry in the Fifth Grade of Primary Education

by
Álvaro Molina-Ayuso
1,
Natividad Adamuz-Povedano
2,*,
Rafael Bracho-López
2 and
Manuel Torralbo-Rodríguez
2
1
Department of Mathematics, IES Blas Infante, 14007 Cordoba, Spain
2
Department of Mathematics, University of Cordoba, 14071 Cordoba, Spain
*
Author to whom correspondence should be addressed.
Sustainability 2024, 16(1), 110; https://doi.org/10.3390/su16010110
Submission received: 13 November 2023 / Revised: 19 December 2023 / Accepted: 20 December 2023 / Published: 21 December 2023
(This article belongs to the Section Sustainable Education and Approaches)

Abstract

:
To achieve the Fourth Sustainable Development Goal (SDG) of providing quality education and promoting lifelong learning opportunities for all 21st-century students, today it is essential to develop Computational Thinking skills. This article analyses the results obtained in an empirical experience in which Computational Thinking is used with Scratch educational software to address Geometry content in Primary Education. In many cases, this content is repetitive and has little practical application; therefore, using this resource as a learning tool allows us to propose a more dynamic, motivating, and effective approach for students. The experiment was carried out with a total of 66 students in the fifth year of Primary Education from 3 different schools using a non-equivalent control group design with substitute pre-test measures. In order to be able to carry out this work, the teachers involved first received initial training. Subsequently, the students carried out generic activities to familiarise themselves with the educational software and, finally, specific geometry activities. The results obtained show a more positive learning process among those students who worked with Scratch, highlighting the motivating and evidently practical aspect of this resource. These results serve to promote an approach to the teaching of Geometry in elementary education that goes beyond traditional boundaries, embracing student centricity and Computational Thinking as cornerstones. Additionally, the emphasis on Computational Thinking becomes a clarion call for educators to embrace innovative pedagogies that resonate with the evolving needs of 21st-century learners, and it should be considered an important element with a significant role in the Mathematics curriculum framework.

1. Introduction

The 2030 agenda seeks to integrate the elimination of poverty with approaches that foster economic development and tackle various societal requirements such as education, healthcare, social security and job opportunities. Simultaneously, it aims to combat climate change and safeguard the environment [1]. If we focus on education, it is important that the aspects of quality and equitable education in the Fourth Sustainable Development Goal (SDG) are linked to the development of fundamental skills that will enable every citizen to have access to quality employment and economic growth, which is also included in the eighth SDG. Here, teachers have an important role to play, and it is up to us to know how to match quality education to the skills demanded by our society. To this end, it is important to promote multidisciplinary research activities [2] and reflect on different educational approaches, which means that, currently, the use of technology and the development of digital literacy are essential [3].
Digital proficiency has long stood out as a pivotal element within the lifelong learning framework at the European level and has garnered attention from global institutions such as UNESCO. Its significance becomes particularly pronounced in the context of 21st-century society, which is undergoing significant transformations amid the emergence of a new global economy in which the exchange of information holds intrinsic value [4]. The landscape of communication has undergone a paradigm shift with the ubiquity of the Internet, a shift that has moved us from a communication model characterised by hierarchy and predetermined structures, dictated by sender and receiver, to a more fluid, open, interconnected, decentralised, dynamic and flexible system [5]. Consequently, a distinct form of citizenship is surfacing, characterised by the consumption of multimodal and hypertextual information, swift data processing, continuous connectivity [6] and a pressing need for advanced digital literacy. Here, digital literacy is construed as the dynamic process of teaching and learning to navigate and create within the digital realm. Within this evolving landscape, the necessity for holistic digital literacy, encompassing all facets, becomes imperative for instigating a transformative shift within the education ecosystem. The effectiveness of this shift hinges on the adept development of digital literacy [7]. Responding to this dynamic educational paradigm is the concept of a holistic model of code literacy, an innovative approach that seeks to embrace diverse domains of fundamental knowledge, positioning it integrally within the broader spectrum of what we may consider as web literacy.
In accordance with Román-González’s perspective [8], code literacy represents the pedagogical process of reading and writing using computer programming languages. Elevated to a superior level compared to other literacies, code literacy empowers individuals to engage with common elements found in various literacy types: computer code, the language facilitating communication with computers, and thus a meta-language. Consequently, code literacy can be perceived as a meta-literacy of an advanced order.
Moreover, it is essential to acknowledge the dawn of the fourth industrial revolution, characterised by the profound influence of technologies that amalgamate the physical, digital, and biological realms, impacting all disciplines, technologies and industries [9]. According to Balanskat and Engelhardt [10] students in the contemporary educational landscape will inevitably find themselves working in roles related to technological development as it increasingly becomes indispensable for society. Hence, competencies associated with Computational Thinking and programming emerge as pivotal skills for the 21st century, playing a central role in shaping educational policies that align with the evolving needs and demands of society. In this regard, it is important to promote the acquisition of Computational Thinking skills in Primary Education in order to develop these competencies in an adequate maturation process for the students.
Regarding this educational approach, in recent years there has been a special interest at the European level in motivating students to develop their education in the STEM (Science, Technology, Engineering and Mathematics) field by promoting educational strategies of this type by public administrations. One example is the Scientix project, which was funded by the European Union’s Horizon 2020 R&D programme to promote and support collaboration between teachers, educational researchers, policy makers and other educational professionals [11]. For Becker and Park [12], the development of educational practices in the STEM field has a positive effect on the learning process of students, developing in a more active and subject-centred way. Moreover, the inclusion of this type of curricular approach provides a constructivist framework for the development of students’ knowledge, enabling the development of scientific competencies and contextualising these practices as an approach for teaching Science, Technology, Engineering and Mathematics in an interdisciplinary way through didactic experiences applied to the real world [13].
In this context, Computational Thinking has taken a leading role in the classroom in recent years, both in Primary and Secondary Education. The development of this type of reasoning skills, such as abstraction, problem solving, pattern identification or logical reasoning [14], favours learning in which students establish a connection between the world as it is outside the educational centre and their experiences in the classroom, thus favouring the development of competencies that prepare them for the real world [15]. Likewise, the use of educational resources associated with Computational Thinking, such as the visual programming language Scratch, favours the development of mathematical processes that include reasoning or problem solving, while generating a motivating learning environment [16].
The inclusion of the skills of a programmer in the learning process not only remains in the utopian vision of Seymour Papert [17], but recent studies such as the one conducted by Syslo and Kwiatkowska [18] advocate taking the traditional richness of Mathematics content further by connecting it with Computational Thinking. In more precise terms, additional research indicates that fostering Computational Thinking during the process of learning mathematics has a significant beneficial impact, especially when students are actively involved in creating their own applications [19,20,21]. Moreover, there are also many examples in the last decade where the impact on the learning process with Computational Thinking tools has been analysed, which helps to confirm that the inclusion of this resource facilitates the cross-disciplinary development of skills in any STEM discipline [22].
This paper endeavors to further establish the strong correlation between Mathematical Reasoning and Computational Thinking, a relationship that has been a topic of ongoing discussion [23]. Adopting this approach enables the creation of Mathematics content through an integrative and multidisciplinary learning experience, providing opportunities to develop competencies beyond the realms of Mathematics alone. This promotes a comprehensive and practical learning experience for our students [24].
Continuing with the contextualisation of this work, we can say that its structural framework of reference is an intervention carried out in the United Kingdom to incorporate Computational Thinking as part of the curriculum and respond to needs in mathematics education at the Primary Education stage [25]. Similarly, in Spain, a similar initiative called the Computational Thinking School was developed during the 2018–2019 academic year, coordinated by the National Institute of Educational Technologies (INTEF), and framed within the European Commission’s Digital Education Action Plan [26]. One of the conclusions of this programme [27] points out that the inclusion of programming activities in Primary Education in the area of Mathematics makes students not only develop skills in Computational Thinking, but also improve their mathematical reasoning to a greater extent than other students who have worked on the same content using other resources unrelated to programming.
The advancement of this experience has been significantly simplified over the past decade. It is now possible to introduce students to the expression of mathematical concepts through computer programming at a young age, without the requirement of learning complex syntax which is typically reserved for higher levels of education. The characteristics of these resources have evolved, thus altering the preconceived notions surrounding programming [28]. However, it is essential to recognise that constructionism remains the central tenet, whereby learning is constructed through the active development of structures, and it is more impactful when students are given the opportunity to create a tangible final output that they can interact with [29].
When it comes to the teaching of Geometry, whether in Primary or Secondary Education, there is a clear consensus that the experimental, practical or manipulative aspect is essential to strengthen the learning and understanding of geometric properties. However, it is also known that in many cases the teaching of Geometry is relegated to a secondary level, placed at the end of the school year and with less time for work than would be desirable. Although in ancient Greece it was at the heart of Mathematics, it receives relatively little attention in schools today, with the focus being more on arithmetic and algebra, as is the case in Primary and Secondary Education, respectively [30].
In addition, Geometry lessons are often based on solving problems with too many rules and procedures, mostly based on the use of algebraic expressions or on basic and simple drawings or sketches that can often even confuse or distort the student’s spatial perception. The possibility of using technological resources allows all students to draw, manipulate and analyse geometric elements and properties with ease, thus improving their attention span and developing higher-level cognitive skills [31]. Without the need to replace traditional manipulative methodologies that encourage reasoning and geometric perception of our environment, the development and didactic innovation of Geometry must be accompanied by the inclusion of technological resources. A close relationship is needed between learning, knowledge generation, continuous innovation and the use of new technologies [32].
Hence, understanding the importance of developing these reasoning skills associated with Computational Thinking in Primary Education, as well as the significance of analysing situations that promote an alternative approach in teaching Geometry, this work aims to observe certain aspects that can be highlighted for work in this field of Mathematics, such as motivation, the methodological approach or alternative educational strategies.

2. Materials and Methods

The starting hypothesis of this work is that the development of activities related to Computational Thinking in the area of Mathematics favours the development of the curricular content and improves the learning process. In order to contrast this starting point, this empirical experience has been designed and developed with the aim of analysing the degree of improvement in the learning process when the contents of geometry in the subject of Mathematics are tackled in a transversal way with the educational software Scratch in the 5th year of Primary Education. The specific objectives are as follows:
  • To analyse the motivation of pupils carrying out Computational Thinking activities with Scratch;
  • To promote the use of new learning methodologies and strategies through the inclusion of Scratch visual programming software in the curriculum;
  • To evaluate the development of mathematical competence and reasoning in Geometry using Computational Thinking activities as a transversal learning resource with 5th-year Primary School pupils.
A mixed methodology process has been designed for this work [33]. Employing a quantitative analysis will enable us to carefully examine the progress and development of pupils’ mathematical competence. In addition, a complementary qualitative analysis will serve as a valuable tool in understanding the reality of the research from the perspective of its key stakeholders, pupils, and teachers alike. This approach will allow us to comprehensively analyse our object of study by examining the perceptions and interpretations of the individuals involved in the reality under investigation [34]. It must be noted that the integration of both qualitative and quantitative techniques represents a well-rounded approach for analysing the different subjects characterised in this study, thus providing a complete perspective of the research results [35].
The empirical process was constructed using a quasi-experimental design including a non-equivalent control group and pre-test as well as post-test measures [36], while the qualitative process was executed by designing a series of semi-structured interviews for collecting information from students and teachers who took part in the experience. This allowed for a more detailed understanding of the entire working process performed by both types of participants.
This study was carried out with students aged between 9 and 11 years old, in the 5th year of Primary Education. Three public primary schools with similar characteristics, from the same urban environment, and with the same socio-cultural level were involved.

Development of the Experience

The starting point of the empirical experience was the training of the teachers involved in the practice and the sensitisation of the participants. This first phase of the work has been a fundamental pillar, both for the outcome of the experience and for the involvement of teachers, since teacher training is a fundamental aspect of the improvement of the education system in general [37], and, in particular, training focused on the development of teachers’ digital competence is considered essential to develop technological and cognitive skills that allow them to face different learning challenges that arise from different areas throughout life [38]. This training was carried out during 4 face-to-face sessions and a non-face accompaniment to monitor the work.
The experimental groups institutionalised this project from the Management Team and, in contact with families through the School Council, set one hour of work per week in the group’s timetable to complete all the activities proposed. This type of organisational strategy favours the development of new learning strategies.
The second phase consisted of the implementation of the experience. But before starting with the specific activities of the project, the students took the initial test, consisting of a total of 12 questions on Geometry content worked on in Primary Education, and carried out classroom work with Scratch for three months.
To develop the work with Scratch, the students began with the so-called introductory activities to learn how to use the programme, as well as control structures and basic instructions to tackle the following activities related to Geometry content with a certain degree of autonomy. Firstly, they carried out an activity to represent a square from the coordinates of the vertices. Next, they programmed the movement of some characters based on angular measurements. For the third activity, parallel and perpendicular lines were represented, programming the corresponding translation and rotation movement. Fourthly, different types of angles were represented. The fifth activity consisted of representing plane figures from their angles. Finally, they programmed a translation and a rotation of an object to obtain a symmetrical image with respect to a given axis. The activities were directed by the teachers, although the students were free to complete them in a personal and creative way, something that cannot be left out when we want to work with this type of resource.
Finally, a third phase of data collection was developed in which the final test was carried out, which allowed us to complete the quantitative analysis. The control groups underwent the initial and final assessments on identical dates as the experimental groups, having worked on the Geometry content in the traditional way. Both tests had the same activities, but in a different order (Table 1). In it, they carried out activities to represent points in the plane, identify plane figures, as well as angles and their properties, characterise parallel and perpendicular lines and make symmetrical representations of a given figure.
Similarly, for the qualitative analysis, a semi-structured group interview was used as an instrument for collecting information, understood as an interview that is guided by a set of questions and basic issues to be explored, but neither the exact wording nor the order of the questions is predetermined [39]. First of all, all the teaching staff carried out the interview with questions focused on gathering their impressions about this type of educational practice (see Appendix A), considering the categories detailed in Table 2. Subsequently, an interview was conducted with the students focused on obtaining qualitative information about how they had worked in class during the development of the Scratch sessions (see Appendix B). These interviews were conducted in pairs and the questions to be explored were based on the same categories used in the interview with the teaching staff.

3. Results

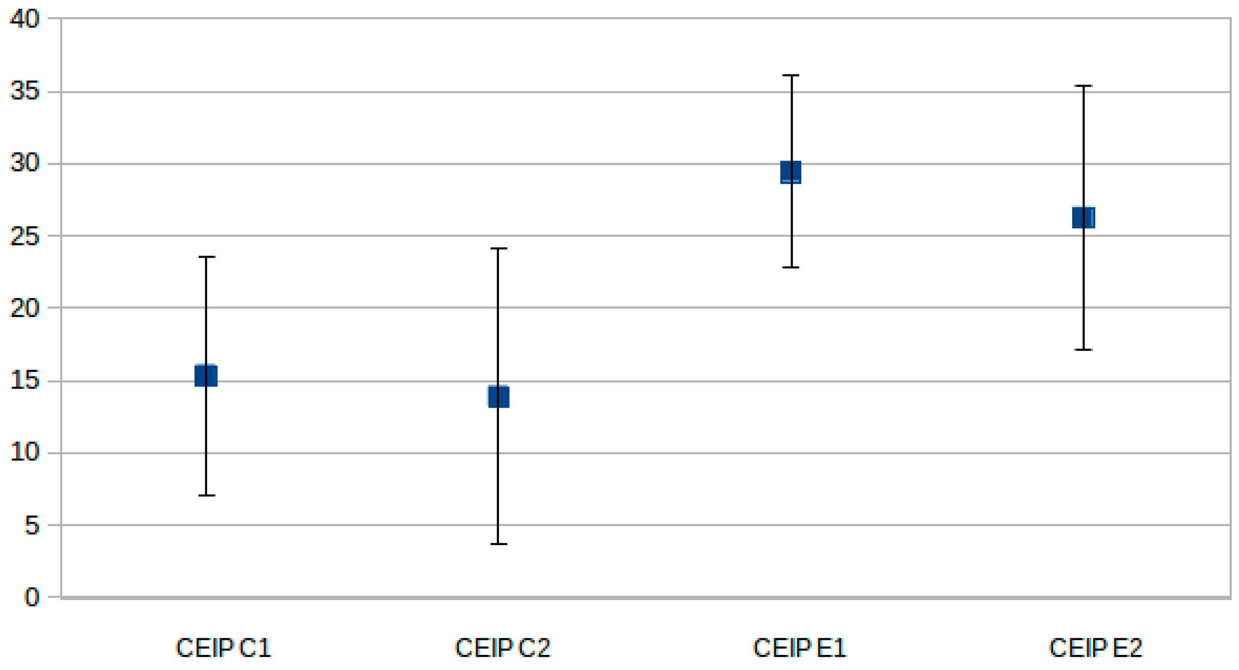
The results achieved for both control groups (CEIP C1 and CEIP C2) and experimental groups (CEIP E1 and CEIP E2) in both the initial and final tests can be seen in Figure 1.
Figure 2 shows the difference obtained between the two tests for each of the groups.
These results initially show a positive difference in the performance of the tests in all groups, although, in the experimental groups, this difference is greater. To validate these results and conclude whether these differences are significant or not, we look at the results of the statistical analysis performed. Firstly, the grouping complies with the homoscedasticity assumption for the randomness of the group, obtaining the results shown in Table 3 and Table 4.
In view of these results, the random assignment of the group is accepted, and the null hypothesis that the variances are similar can be considered thanks to the significance obtained in Levene’s test (p = 0.562) [40]. Likewise, for the normal distribution of the sample, an asymptotic two-tailed significance of 0.797 was obtained.
To present a conclusive analysis of the significance of the aforementioned differences, it is necessary to perform a comparative study rooted in the one-factor analysis of variance ANOVA [41]. The obtained significance value of 0.024, when comparing the groups, establishes that the differences between them are statistically significant, with a level of confidence of 95%. As a result, the null hypothesis that the groups are equal is rejected.
To obtain the quantitative assessment and to be able to carry out the above analysis of the differences between groups, both the initial and final tests were analysed with the correction grid shown in Figure 3.
All of the quantitative analysis is completed with the information obtained from the qualitative process. As mentioned above, this process was developed through a series of interviews with both teachers and students who participated in the experience. From the information gathered, it is worth highlighting that the participants see the curricular inclusion of this type of resources that facilitate the development of Computational Thinking skills in a transversal way as very positive, which promotes a methodological change in the classroom:
P2: “It is an easy resource to handle. It does not require a lot of time to learn how to use it and to be able to apply it in Primary Education. It facilitates the methodological change a lot”.
When carrying out a process of educational innovation, the teaching staff expressed the importance of receiving adequate initial training, both in the use of the tool and in a methodological approach. Equally important is their view of the role played by the students in the development of the sessions, highlighting their involvement and active participation in collaboration with their classmates. It has been frequent that in the development of the sessions, each student works at a different pace, which has been very positive as it has allowed them to collaborate so that the different learning rhythms are adequately attended to; the attention between students and teacher and the relationship between the students themselves is improved.
From the information gathered in the interviews with the students, one of the most outstanding aspects is that they all agree, as do the teachers, on the motivation to work on Geometry content using digital tools. In addition, they highlight the fact that Scratch is not just a simple resource that provides traditional activities in an interactive way, but that being able to make their own constructions allows them to work in a more personal and creative way.
E8: “The book and the notebook are OK, but it’s better to use Scratch. It’s more fun. The other seems a bit old-fashioned”.
E10: “Learning Maths this way is more fun because you can put in your own characters, scenarios and actions”.
The students have positively valued working with a digital resource that has made it easier for their learning to start from an active experience that allows them to be creators of their own knowledge.

4. Discussion

The results shown suggest that the design of the activities and the methodology used favour the development of Mathematics content by carrying out activities that develop skills related to Computational Thinking thanks to the Scratch educational software. Likewise, the development of other important skills for the development of mathematical reasoning, such as the ability to create multimedia content with programming elements, has also been favoured. Although these results are positive and considering the characteristics of the quasi-experimental design itself, it cannot always be assured that including this type of methodology and resources can be effective for any classroom in any context or subject. This empirical process has been carried out to reinforce and give importance to the development of Computational Thinking practices that help to work on content in Primary Education, as well as to give solidity and reality to the possibility of a real methodological change that favours the development of skills associated with the STEM field at this educational stage. Therefore, these results serve as a positive example of the development of Geometry content, such as angular measurements, geometric figures in the plane or the properties of symmetry, using resources and approaches that facilitate the development of Computational Thinking skills in an interdisciplinary manner in the STEM field in Primary Education. In relation to this aspect, the results and conclusions we can reach are supported by those that can be seen in other similar empirical experiences in which the use of a visual programming language such as Scratch is integrated into teaching Mathematics. For example, Benton et al. [42] highlight the importance of connecting the mathematical and computing aspects by focusing on the teaching of Mathematics and using this point in order to think about the design of curricula. Sáez-López et al. [43] highlight that working Computational Thinking with a visual programming language such as Scratch and educational robotics enhances the acquisition of mathematical concepts. In addition, it highlights the importance of motivation and the active role of students when carrying out coding activities and uses these results to recommend the inclusion of coding in the educational context of mathematics, since it is the appropriate way for Primary School students to work with programming in an intuitive way. We can also link our results and discussions with those offered by Miller [44], who, focusing on aspects of Computational Thinking such as pattern recognition and generalisation, points out that students who learn using coding resources can reach higher points of mathematical thinking. This highlights the importance that the inclusion of these cross-cutting elements helps to develop 21st-century competencies in students. It also highlights an important aspect addressed in our work, the training of teachers to understand this relationship between Mathematics and Computational Thinking while facilitating the use and implementation of new technologies. Moreover, all these aspects are equally in line with previously mentioned research that stresses the importance of mathematical and computational concepts being assessed simultaneously.
When Computational Thinking practices are developed in a cross-curricular STEM domain, the development of this type of skill is enhanced as a general competence, enabling students to acquire the necessary skills to solve future problems [45].
Of the results obtained, it is not only the quantitative process that should be highlighted. It is also important to highlight the motivation of the participating teachers, which has made the participating students feel comfortable, encouraged and eager to participate in a more active learning process, improving their behaviour and interaction with the teacher. It has improved academic results while improving the students’ involvement in class, moving from a passive and traditional role to an active role capable of creating their own learning. Perhaps the simple fact of bringing a methodological change to the classroom, regardless of the resource used, makes the result of a quantitative analysis favourable. In this case, it can be considered a positive aspect as it raises the possibility of seeing the curricular inclusion of educational practices associated with Computational Thinking as a possibility of changing the traditional work methodology, taking advantage of the motivation of students given by the use of innovative educational approaches with the use of these tools [46].
The work carried out is focused on the development of Geometry content for the study of Mathematics. However, like other similar examples and research, it helps to reinforce with positive evidence the importance of carrying out work in which Computational Thinking activities are developed as a transversal tool that allows Mathematics content to be addressed [42,47,48,49].

5. Conclusions

Our study focused on analysing how the design and implementation of computational practices using the visual programming language Scratch, favoured the comprehension and acquisition of basic mathematical concepts of Geometry in Primary Education. In order to carry it out, the study started with the corresponding training of the teachers involved, emphasising the importance of relating mathematical and computational concepts. Before starting the experience, both the control and experimental groups completed the corresponding initial test. Later, it was implemented in the classroom with the experimental groups through a work sequence starting with introductory activities to become familiar with the Scratch program language and the website. Next, a series of activities that allowed addressing Geometry content through computational practices were developed. It was focused on concepts such as the representation of plane figures, angles, parallel and perpendicular lines, rotations and symmetry. After the implementation, a Geometry test was carried out, which was also performed by the control group but developing traditional work in the classroom. The analysis of the quantitative data collected with the initial and final test is what has allowed us to reach the aforementioned main discussions.
With this, we can understand that the inclusion in the educational context of these educational resources can be positive to improve the learning process of Mathematics. However, it is important to highlight several aspects that promote this positive effect, such as teacher training. On the one hand, it is convenient that teachers who carry out these practices have a clear understanding of the relationship between computational and mathematical concepts. Likewise, it is important to see that these practices promote the development of a new literacy in the use of technologies, since they offer the possibility of playing an active role in creating and modifying applications. Therefore, it is necessary to have the materials and resources to be able to implement these learning experiences. Therefore, this work is not only about the positive inclusion of activities to work on Computational Thinking in the learning process of our students, but it t also highlights a very important reality for our students to develop the competencies of any citizen of the 21st century, which is the need to use technological resources in the learning of STEM disciplines. The advance of this technology has allowed all students to have access to it much more easily and effectively, allowing it to be applied to any field, developing new representations of different phenomena and situations, favouring the fact that contents that in a traditional way may be more complex can be approached in a more accessible and practical way for our students while developing their digital competence.
All these aspects lead in a very important direction, which is the starting point of our study: quality education and promoting lifelong learning opportunities for all 21st-century students (fourth SDG). Promoting quality education for our students is a part of the aspects highlighted in this study. On the one hand, it reflects on the educational curriculum and adapts it to the needs of a changing society; on the other hand, and from the point of view of teaching Mathematics, we can understand the importance of relating this learning to reasoning skills such as pattern recognition, the use of data or generalisation, these aspects being a part of Computational Thinking. Likewise, in order to ensure that our students acquire an education that offers them lifelong learning opportunities, it is important that they simultaneously develop the corresponding digital literacy, since this set of skills and competencies will be essential in their academic and professional life.
When considering the findings of this study, it is essential to highlight certain limitations that warrant consideration. The primary constraint of this study was associated with the manner in which the work sessions were conducted within the experimental groups and the number of participating schools. This directly impacted the initial sample size, as it proved unfeasible to allocate all scheduled hours to the experimental groups. Consequently, the responsibility had to be delegated to the teachers affiliated with the research project in each school. This, in turn, compelled us to discard the data from one school due to the incomplete implementation of the required Scratch practices.
Furthermore, it is important to note that the study exclusively focused on Geometry content typically addressed with students aged 9 to 11. Future research endeavors could concentrate on Geometry content incorporated in higher grade levels to solidify the findings from this study. Additionally, broadening the scope of the study to encompass various Mathematics contents beyond Geometry could provide a more comprehensive understanding of the impact of the teaching approach.

Author Contributions

Conceptualization, Á.M.-A., N.A.-P. and R.B.-L.; methodology, Á.M.-A., N.A.-P. and R.B.-L.; software, Á.M.-A.; validation, N.A.-P., R.B.-L. and M.T.-R.; formal analysis, Á.M.-A.; investigation, Á.M.-A., N.A.-P. and R.B.-L.; writing—original draft preparation, Á.M.-A.; writing—review and editing Á.M.-A., N.A.-P. and R.B.-L.; supervision, N.A.-P., R.B.-L. and M.T.-R. All authors have read and agreed to the published version of the manuscript.

Funding

This research received no external funding.

Institutional Review Board Statement

This study was conducted in accordance with the Declaration of Helsinki and approved by the Ethics Committee on Human Research (ECHR) from the University of Córdoba (BOUCO 2019/00189).

Informed Consent Statement

Informed consent was obtained from all subjects involved in this study.

Data Availability Statement

Data will be available under request.

Conflicts of Interest

The authors declare no conflict of interest.

Appendix A

  • What are your expectations of this project?
  • What are the possible disadvantages you might have in the development of the work?
  • Is there anything else you need to develop the work?
  • Do you think it is interesting to carry out this type of innovation project?
  • Do you think that there are any key factors for the correct development of the project?
  • Are there any changes included in classroom work? (methodological change, change in student participation, change in the role of the participating teacher)
  • Are the changes positive? Do you think it is necessary for the students? It is important to work on it from a specific subject such as mathematics or in a transversal way in any area?
  • Can attention to diversity be adequately implemented?
  • Is it accessible to all students?
  • Is this type of practice important for teachers?
  • Is it necessary to inform the teaching staff and families?

Appendix B

  • What do you think about Scratch?
  • What were your first jobs? Did you like being able to animate it so that it could move and change size, colour, shape?
  • Do you find it fun to use in the classroom? Do you think more teachers could use it with you? For example, in English or Natural Sciences?
  • How have your lessons with Scratch been? How have you worked? In groups or individually?
  • Did you help each other? Who did the funniest projects?
  • Are there any changes included in the classroom work? (methodological change, change in student participation, change in the role of the participating teachers)
  • There are two blocks of activities, the introductory ones, and the geometry ones. Did you like the geometry ones? Do you think they are useful for the topic?
  • Have you visited the Scratch website? There are millions of projects from students like you and you can use it to reinvent them or just take the parts you like.
  • Is it accessible to all students?
  • Did you know about Scratch before using it in class?
  • Have you told your parents what you do with Scratch?

References

  1. UNESCO. UNESCO Roadmap Education for Sustainable Development; UNESCO: Paris, France, 2014. [Google Scholar]
  2. Ortiz-de-Urbina-Criado, M.; Mora-Valentín, E.-M.; Nájera-Sánchez, J.-J. Sustainability and entrepreneurship: Emerging opportunities for business and management education. J. Entrep. Emerg. Econ. 2023, 15, 1071–1088. [Google Scholar] [CrossRef]
  3. Guiza, R.R.M.; Bennasar, F.N. Pensamiento computacional, una estrategia educativa en épocas de pandemia. Innoeduca. Int. J. Technol. Educ. Innov. 2021, 7, 89–106. [Google Scholar] [CrossRef]
  4. Castells, M. La era de la Información: Economía, Sociedad y Cultura; Vol. III. Fin del milenio; Alianza: Madrid, Spain, 1999. [Google Scholar]
  5. Van Djick, J. La Cultura de la Conectividad; Siglo XXI: Buenos Aires, Argentina, 2016. [Google Scholar]
  6. Reig, D.; Vílchez, L. Los jóvenes en la era de la hiperconectividad: Tendencias, claves y miradas. Rev. Fuentes 2015, 17, 145–147. [Google Scholar] [CrossRef]
  7. Pérez-Escoda, A.; García-Ruiz, R.; Aguaded, I. Dimensions of digital literacy based on five models of development. Cult. Educ. 2019, 31, 232–266. [Google Scholar] [CrossRef]
  8. Román-González, M. Codigoalfabetización y Pensamiento Computacional en Educación Primaria y Secundaria: Validación de un Instrumento y Evaluación de Programas. Ph.D. Thesis, Universidad Nacional de Educación a Distancia, Madrid, Spain, 2016. [Google Scholar]
  9. Schwab, K. The Fourth Industrial Revolution; Crown Business: New York, NY, USA, 2017. [Google Scholar]
  10. Balanskat, A.; Engelhardt, K. Computing Our Future; European Schoolnet: Brussels, Belgium, 2015. [Google Scholar]
  11. Nistor, A.; Gras-Velazquez, A.; Billon, N.; Mihai, G. Education Practices in Europe. Scientix Obsaervatory Report; European Schoolnet: Brussels, Belgium, 2018. [Google Scholar]
  12. Becker, K.; Park, K. Effects of integrative approaches among science, technology, engineering, and mathematics (STEM) subjects on students’ learning: A preliminary meta-analysis. J. STEM Educ. 2011, 12, 23–38. [Google Scholar]
  13. Cartagena, Y.G.; González, D.R.; Oviedo, F.B. Actividades STEM en la formación inicial de profesores: Nuevos enfoques didácticos para los desafíos del siglo XXI. Diálologos Educ. 2017, 18, 37–48. [Google Scholar]
  14. Grover, S.; Pea, R. Computational thinking: A competency whose time has come. In Computer Science Education: Perspectives on Teaching and Learning in School; Bloomsbury Publishing: London, UK, 2018; pp. 19–37. [Google Scholar]
  15. Zapata, A.S.; Costa, D.G.; Delgado, P.A.M.; Torres, J.M. Contribución de la robótica educativa en la adquisición de conocimientos de matemáticas en la Educación Primaria. Magister 2018, 30, 43–54. [Google Scholar] [CrossRef]
  16. Calao, L.A.; Moreno-León, J.; Correa, H.; Robles, G. Developing mathematical thinking with Scratch. An experiment with 6th grade students. In Design for Teaching and Learning in a Networked World; Springer: Berlin/Heidelberg, Germany, 2015; pp. 17–27. [Google Scholar] [CrossRef]
  17. Papert, S. Mindstorms: Children, Computers, and Powerful Ideas, 2nd ed.; Basic Books: New York, NY, USA, 1980. [Google Scholar]
  18. Sysło, M.M.; Kwiatkowska, A.B. Learning Mathematics Supported By Computational Thinking. In Constructionism and Creativity. Proceeding of the 3rd International Constructionionism Conference 2014; Futschek, G., Kynigos, C., Eds.; Austrian Computer Society: Vienna, Austria; pp. 258–268.
  19. Ke, F. An implementation of design-based learning through creating educational computer games: A case study on mathematics learning during design and computing. Comput. Educ. 2014, 73, 26–39. [Google Scholar] [CrossRef]
  20. Kong, S.-C. A Study of the Readiness of Implementing Computational Thinking in Compulsory Education in Taiwan. In Computational Thinking Education; Springer: Singapore, 2019; pp. 145–166. [Google Scholar]
  21. Molina-Ayuso, Á.; Adamuz-Povedano, N.; Bracho-López, R. La resolución de problemas basada en el método de Polya usando el pensamiento computacional y Scratch con estudiantes de Educación Secundaria. Aula Abierta 2020, 49, 83–90. [Google Scholar] [CrossRef]
  22. Barr, B.V.; Stephenson, C. Bringing Computational Thinking to K-12: What is Involved and What is the Role of the Computer Science Education Community? ACM Inroads 2011, 2, 48–54. [Google Scholar] [CrossRef]
  23. Kotsopoulos, D.; Floyd, L.; Nelson, V.; Makosz, S. Mathematical or Computational Thinking? An Early Years Perspective. In Mathematical Learning and Cognition in Early Childhood; Springer International Publishing: Cham, Switzerland, 2019; pp. 79–90. [Google Scholar]
  24. Rodríguez-Martínez, J.A.; González-Calero, J.A.; Sáez-López, J.M. Computational thinking and mathematics using Scratch: An experiment with sixth-grade students. Interact. Learn. Environ. 2020, 28, 316–327. [Google Scholar] [CrossRef]
  25. Clark-Wilson, A.; Noss, R.; Hoyles, C.; Saunders, P.; Benton, L. Key Factors for Successfully Embedding a Programming Approach to the Primary Maths Curriculum at Scale. In Proceedings of the Eleventh Congress of the European Society for Research in Mathematics Education, Utrecht, The Netherland, 6–10 February 2019; Jankvist, U.T., Heuvel-Panhuizen, M.v.d., Veldhuis, M., Eds.; pp. 2681–2688. [Google Scholar]
  26. Vaikutytė-Paškauskė, J.; Vaičiukynaitė, J.; Donatas, P. Research for CULT Committee—Digital Skills in the 21st Century; European Union: Brussels, Belgium, 2018. [Google Scholar]
  27. Niss, M. Mathematical Competencies and the Learning of Mathematics: The Danish Kom Project; Hellenic Mathematical Society: Roskilde, Denmark, 2003. [Google Scholar]
  28. Hoyles, R.; Noss, C. Windows on Mathematical Meanings: Learning Cultures and Computers, Board; Klwer: London, UK, 1996; Volume 17. [Google Scholar]
  29. Papert, S.; Harel, I. Situating constructionism. Constructionism 1991, 36, 1–14. [Google Scholar]
  30. Sinclair, N.; Bruce, C.D. New opportunities in geometry education at the primary school. ZDM Math. Educ. 2015, 47, 319–329. [Google Scholar] [CrossRef]
  31. Kesan, C.; Caliscan, S. The Effect of Learning Geometry Topics of 7th Grade in Primary Education with Dynamic Geometer’s Sketchpad Geometry. Turk. Online J. Educ. Technol. 2013, 12, 131–139. [Google Scholar]
  32. Cobo, J.C. El concepto de tecnologías de la información. Benchmarking sobre las definiciones de las TIC en la sociedad del conocimiento Informazio-teknoligien. Zer. Rev. De Estud. De Comun. Komunikazio Ikasketen Aldizkaria 2009, 27, 295–318. [Google Scholar]
  33. Johnson, B.; Onwuegbuzie, A.J.; Turner, L.A. Toward a Definition of Mixed Methods Research. J. Mix. Methods Res. 2007, 1, 112–133. [Google Scholar] [CrossRef]
  34. Colás, P.; Buendía, L. Investigación Educativa; Alfar: Sevilla, Spain, 1992. [Google Scholar]
  35. Morse, J.M. Mixed Method Design: Principles and Procedures; Left Coast Press, Inc.: Walnut Creek, CA, USA, 2009. [Google Scholar]
  36. Campbell, D.T.; Stanley, J.C. Experimental and Quasi-Experimental Designs for Research; Cengage Learning: Chicago, IL, USA, 1966. [Google Scholar]
  37. Barber, M.; Mourshed, M. How the World’s Best-Performing School Systems Come Out on Top; McKinsey and Company: New York, NY, USA, 2017. [Google Scholar]
  38. Selwyn, N. Educational in a Digital World. Global Perspectives on Technology and Education; Routledge: New York, NY, USA, 2013. [Google Scholar]
  39. Valles, M. Entrevistas Cualitativas; Centro de Investigaciones Sociológicas: Madrid, Spain, 2002.
  40. Montgomery, D.C. Design and Analysis of Experiments; John Wiley & Sons, Inc.: New York, NY, USA, 1991. [Google Scholar]
  41. Castañeda, M.; Cabrera, A.; Navarro, Y.; Vries, W. Pocesamiento de Datos y Análisis Estadísticos Utilizando SPSS; Edipucrs: Porto Alegre, Brazil, 2010. [Google Scholar]
  42. Benton, L.; Hoyles, C.; Kalas, I.; Noss, R. Bridging Primary Programming and Mathematics: Some Findings of Design Research in England. Digit. Exp. Math. Educ. 2017, 3, 115–138. [Google Scholar] [CrossRef]
  43. Sáez-López, J.-M.; Sevillano-García, M.-L.; Vazquez-Cano, E. The effect of programming on primary school students’ mathematical and scientific understanding: Educational use of mBot. Educ. Technol. Res. Dev. 2019, 67, 1405–1425. [Google Scholar] [CrossRef]
  44. Miller, J. STEM education in the primary years to support mathematical thinking: Using coding to identify mathematical structures and patterns. ZDM-Math. Educ. 2019, 51, 915–927. [Google Scholar] [CrossRef]
  45. Li, Y.; Schoenfeld, A.H.; diSessa, A.A.; Graesser, A.C.; Benson, L.C.; English, L.D.; Duschl, R.A. Computational Thinking Is More about Thinking than Computing. J. STEM Educ. Res. 2020, 3, 1–18. [Google Scholar] [CrossRef]
  46. Stoitsov, G.; Stoitsova, G. Increasing the motivation of primary school pupils through the use of ICT in the educational process. Int. J. Res.-GRANTHAALAYAH 2019, 7, 207–213. [Google Scholar] [CrossRef]
  47. Gadanidis, G.; Hughes, J.M.; Minniti, L.; White, B.J.G. Computational Thinking, Grade 1 Students and the Binomial Theorem. Digit. Exp. Math. Educ. 2016, 3, 77–96. [Google Scholar] [CrossRef]
  48. Hickmott, D.; Prieto-Rodriguez, E.; Holmes, K. A Scoping Review of Studies on Computational Thinking in K–12 Mathematics Classrooms. Digit. Exp. Math. Educ. 2018, 4, 48–69. [Google Scholar] [CrossRef]
  49. Orton, K.; Weintrop, D.; Beheshti, E.; Horn, M.; Jona, K.; Wilensky, U. Bringing computational thinking into high school mathematics and science classrooms. In Transforming Learning, Empowering Learners: The International Conference of the Learning Sciences (ICLS); International Society of the Learning Sciences: Singapore, 2016; pp. 705–712. [Google Scholar] [CrossRef]
Figure 1. Initial test and final test measurements in %.
Figure 1. Initial test and final test measurements in %.
Sustainability 16 00110 g001
Figure 2. Difference in the tests of each group.
Figure 2. Difference in the tests of each group.
Sustainability 16 00110 g002
Figure 3. Correction grid for the test.
Figure 3. Correction grid for the test.
Sustainability 16 00110 g003
Table 1. Content of each question.
Table 1. Content of each question.
Question NumberQuestion Content
1Identification of coordinate axes
2Identification of the coordinates of a point
3 and 4Representation of points in the plane
5Identification of different types of angles
6 and 7Complementary and supplementary angles
8 and 9Representation of parallel and perpendicular straight lines
10Representation of geometric figures
11 and 12Characterisation and representation of symmetrical figures
Table 2. Categories defined in the qualitative analysis.
Table 2. Categories defined in the qualitative analysis.
CategoryDescription
Curricular inclusionPossibility of including Computational Thinking activities in a transversal way.
MotivationSatisfaction of participants working with these types of activities.
MethodologyInfluence on methodological change.
Initial trainingImportance of initial training for the development of the experience.
Attention to diversityPossibility of adapting to different learning rhythms.
Table 3. Homogeneity of groups.
Table 3. Homogeneity of groups.
Levene’s StatisticDf1Df2Significance Value
Value0.693620.562
Table 4. Normal distribution of the sample.
Table 4. Normal distribution of the sample.
CategoryDescription
N66
Mean21.21
Standard deviation18.28
Most extreme differences—absolute0.08
Most extreme differences—positive0.04
Most extreme differences—negative−0.08
Kolmogorov–Smirnov’s Z0.65
Sig. asympt. (2 tailed)0.797
Disclaimer/Publisher’s Note: The statements, opinions and data contained in all publications are solely those of the individual author(s) and contributor(s) and not of MDPI and/or the editor(s). MDPI and/or the editor(s) disclaim responsibility for any injury to people or property resulting from any ideas, methods, instructions or products referred to in the content.

Share and Cite

MDPI and ACS Style

Molina-Ayuso, Á.; Adamuz-Povedano, N.; Bracho-López, R.; Torralbo-Rodríguez, M. Computational Thinking with Scratch: A Tool to Work on Geometry in the Fifth Grade of Primary Education. Sustainability 2024, 16, 110. https://doi.org/10.3390/su16010110

AMA Style

Molina-Ayuso Á, Adamuz-Povedano N, Bracho-López R, Torralbo-Rodríguez M. Computational Thinking with Scratch: A Tool to Work on Geometry in the Fifth Grade of Primary Education. Sustainability. 2024; 16(1):110. https://doi.org/10.3390/su16010110

Chicago/Turabian Style

Molina-Ayuso, Álvaro, Natividad Adamuz-Povedano, Rafael Bracho-López, and Manuel Torralbo-Rodríguez. 2024. "Computational Thinking with Scratch: A Tool to Work on Geometry in the Fifth Grade of Primary Education" Sustainability 16, no. 1: 110. https://doi.org/10.3390/su16010110

APA Style

Molina-Ayuso, Á., Adamuz-Povedano, N., Bracho-López, R., & Torralbo-Rodríguez, M. (2024). Computational Thinking with Scratch: A Tool to Work on Geometry in the Fifth Grade of Primary Education. Sustainability, 16(1), 110. https://doi.org/10.3390/su16010110

Note that from the first issue of 2016, this journal uses article numbers instead of page numbers. See further details here.

Article Metrics

Back to TopTop