Closing Nutrient Cycles through the Use of System-Internal Resource Streams: Implications for Circular Multitrophic Food Production Systems and Aquaponic Feed Development
Abstract
1. Introduction
2. Materials and Methods
2.1. Experimental Diets and Formulation Rationale
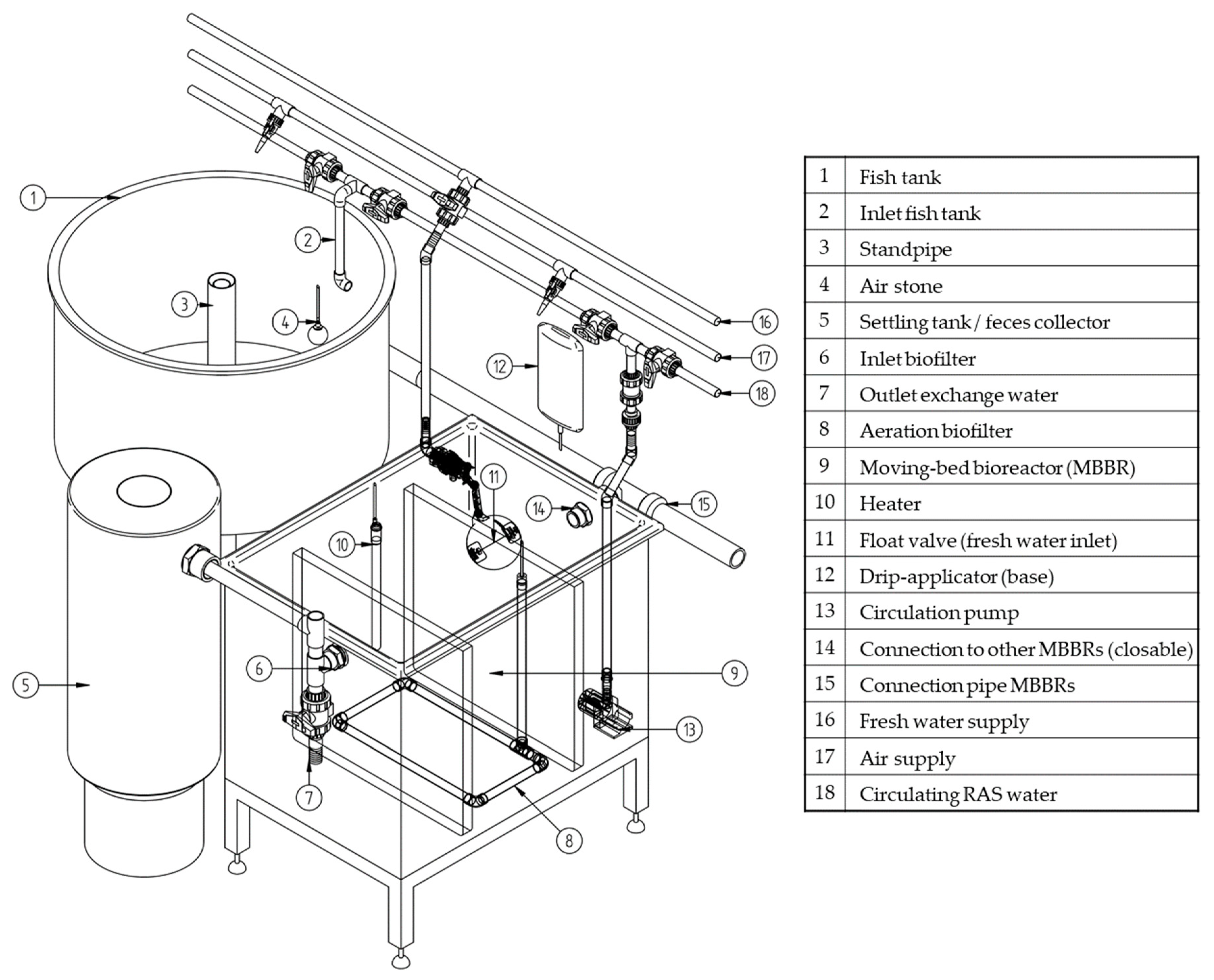
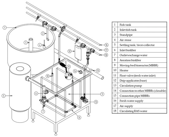
2.2. Experimental System Setup
2.3. Experimental Design
2.4. Sample Preparation and Chemical Analysis
2.5. Calculations
2.6. Statistical Analysis
3. Results
3.1. Rearing Conditions
3.2. Growth Performance
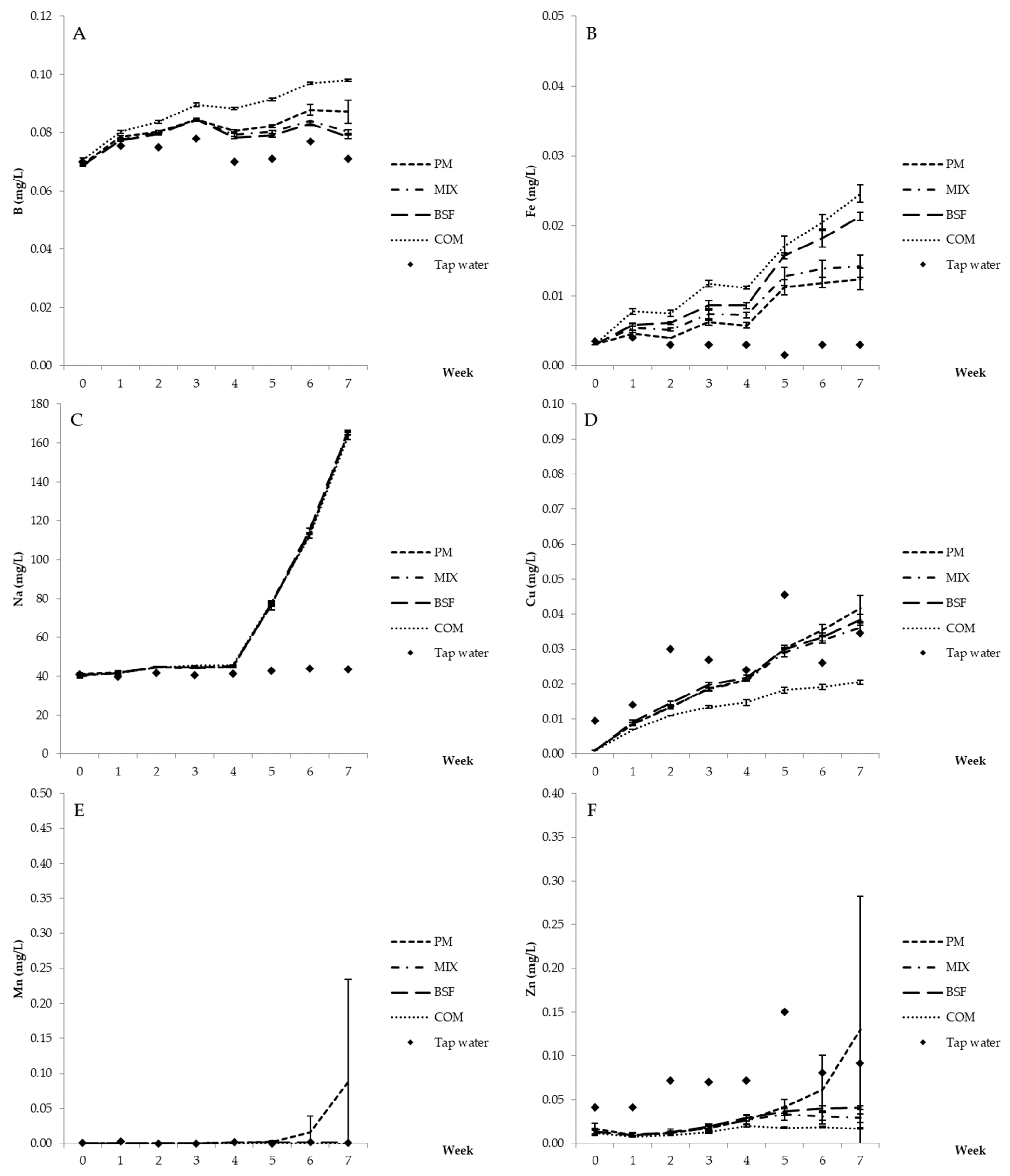
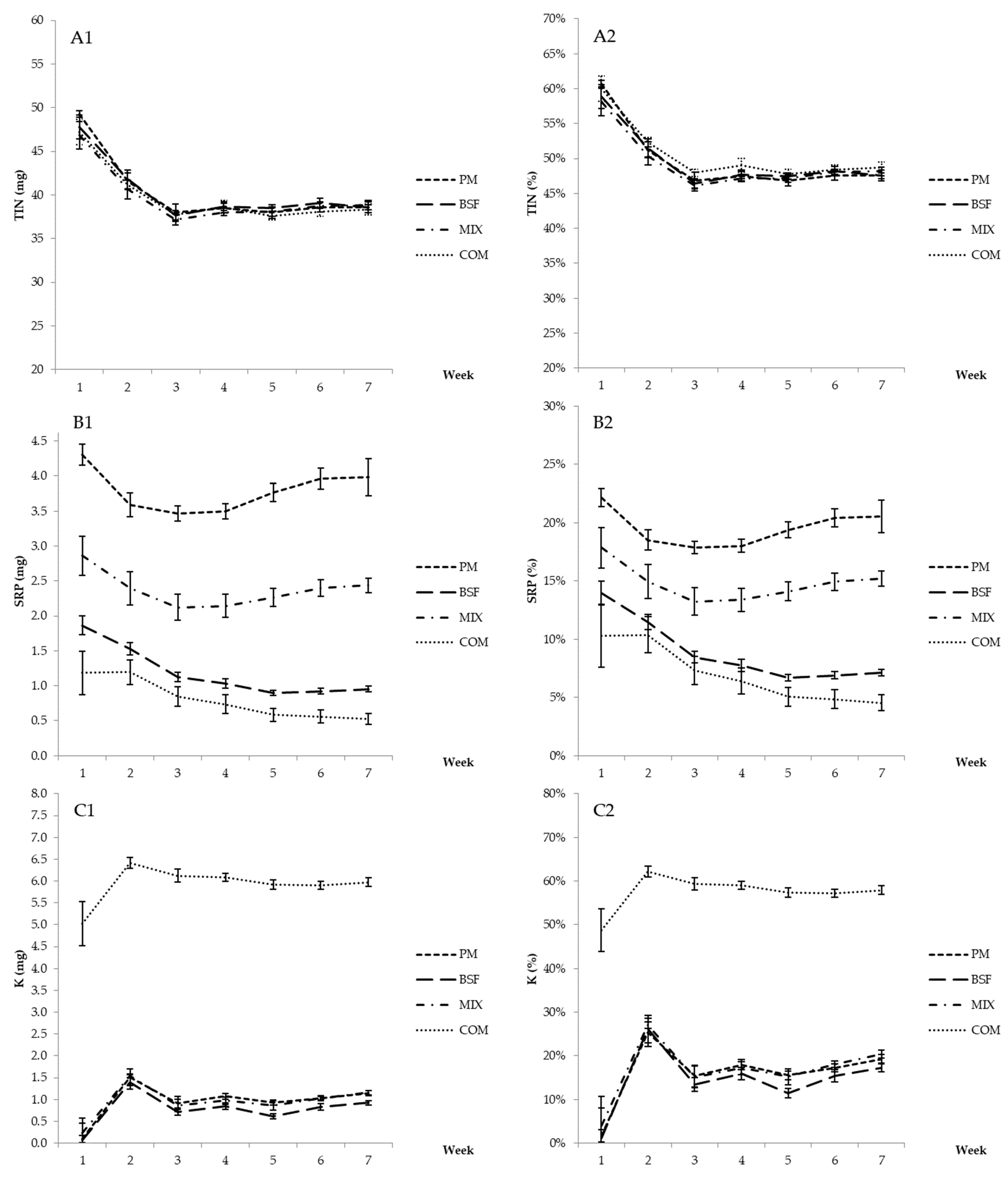
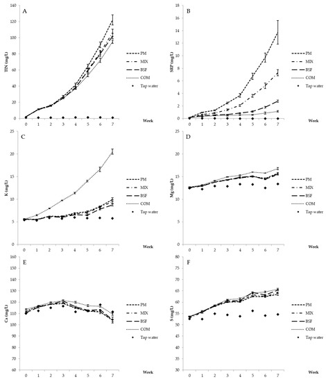
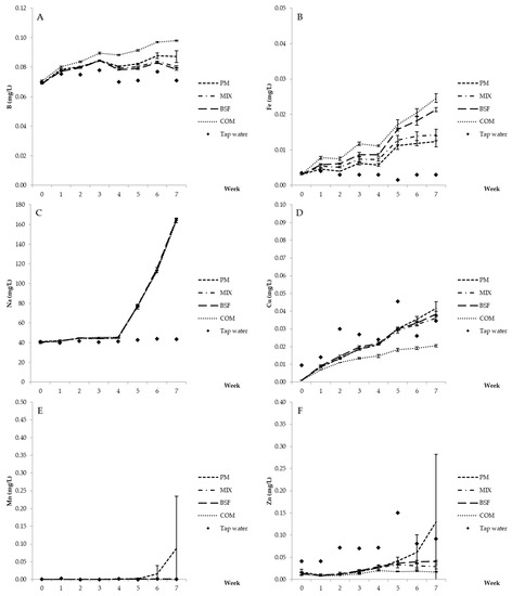
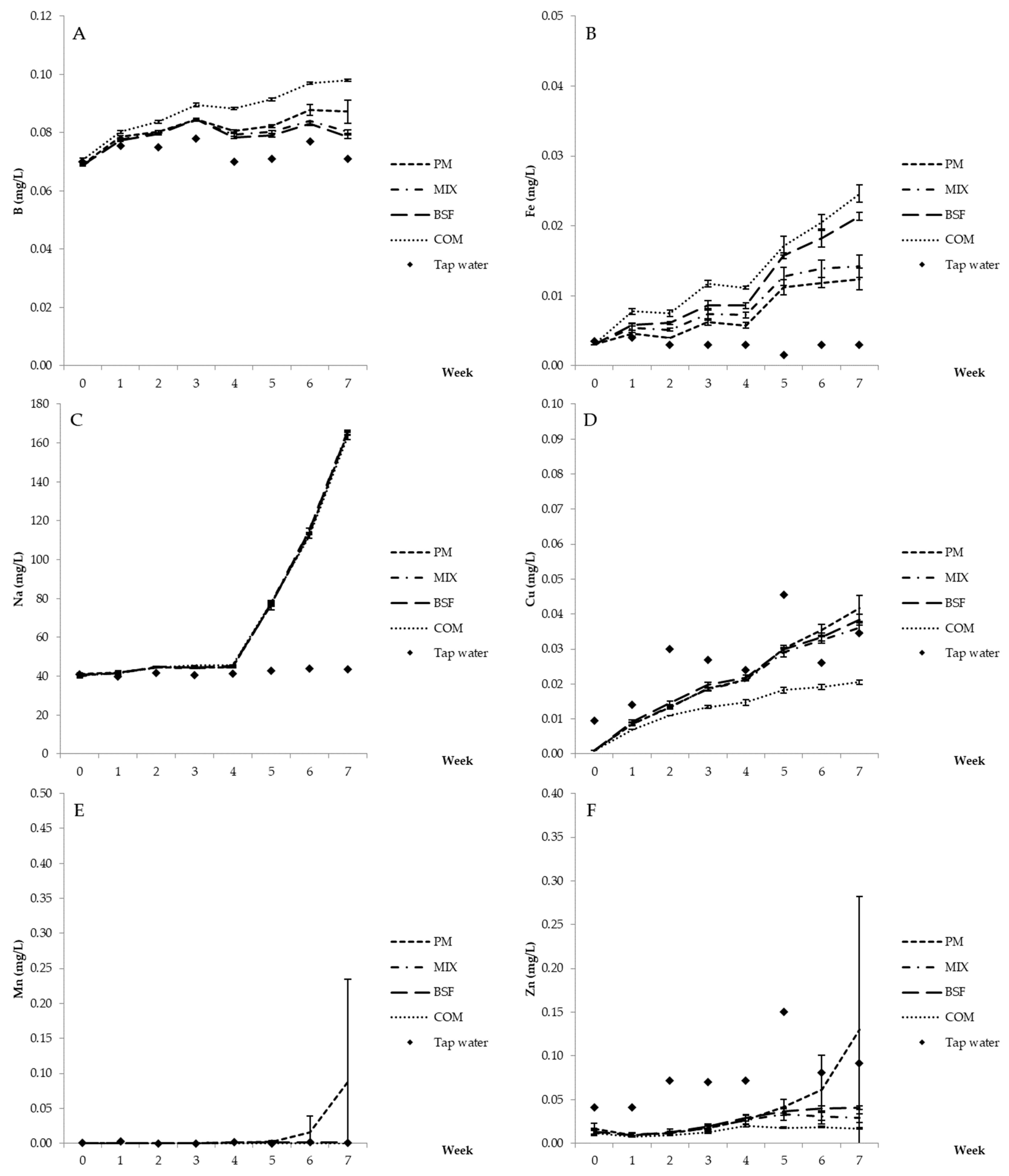
3.3. Dissolved Nutrient Excretion
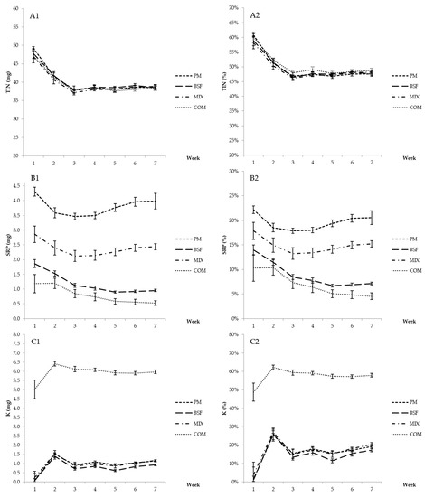
3.4. Solid Nutrient Excretion
4. Discussion
4.1. Fish Performance
4.2. Dissolved Nutrients
4.3. Solid Nutrients
4.4. Implications for Fish Feeds in CMFS and Aquaponics
5. Conclusions
Supplementary Materials
Author Contributions
Funding
Institutional Review Board Statement
Data Availability Statement
Acknowledgments
Conflicts of Interest
References
- FAO (Food and Agriculture Organization of the United Nations). The State of World Fisheries and Aquaculture 2022: Towards Blue Transformation; FAO: Rome, Italy, 2022. [Google Scholar]
- Mongirdas, V.; Žibienė, G.; Žibas, A. Waste and its characterization in closed recirculating aquaculture systems—A review. J. Water Secur. 2017, 3, 4–11. [Google Scholar] [CrossRef]
- Badiola, M.; Mendiola, D.; Bostock, J. Recirculating aquaculture systems (RAS) analysis: Main issues on management and future challenges. Aquac. Eng. 2012, 51, 26–35. [Google Scholar] [CrossRef]
- Martins, C.I.M.; Eding, E.H.; Verdegem, M.C.J.; Heinsbroek, L.T.N.; Schneider, O.; Blancheton, J.P.; D’Orbcastel, E.R.; Verreth, J.A.J. New developments in recirculating aquaculture systems in Europe: A Perspective on environmental sustainability. Aquac. Eng. 2010, 43, 83–93. [Google Scholar] [CrossRef]
- Baganz, G.F.M.; Junge, R.; Portella, M.C.; Goddek, S.; Keesman, K.J.; Baganz, D.; Staaks, G.; Shaw, C.; Lohrberg, F.; Kloas, W. The aquaponic principle—It is all about coupling. Rev. Aquac. 2021, 14, 252–264. [Google Scholar] [CrossRef]
- Bosch, G.; van Zanten, H.H.E.; Zamprogna, A.; Veenenbos, M.; Meijer, N.P.; van der Fels-Klerx, H.J.; van Loon, J.J.A. Conversion of organic resources by black soldier fly larvae: Legislation, efficiency and environmental impact. J. Clean. Prod. 2019, 222, 355–363. [Google Scholar] [CrossRef]
- Diener, S.; Studt Solano, N.M.; Roa Gutiérrez, F.; Zurbrügg, C.; Tockner, K. Biological treatment of municipal organic waste using black soldier fly larvae. Waste Biomass Valorization 2011, 2, 357–363. [Google Scholar] [CrossRef]
- Lalander, C.; Diener, S.; Zurbrügg, C.; Vinnerås, B. Effects of feedstock on larval development and process efficiency in waste treatment with black soldier fly (Hermetia illucens). J. Clean. Prod. 2019, 208, 211–219. [Google Scholar] [CrossRef]
- Ulrichs, C. CUBES Circle. Available online: https://www.cubescircle.de/en/home/project (accessed on 25 January 2022).
- Shaw, C.; Knopf, K.; Kloas, W. Toward feeds for circular multitrophic food production systems: Holistically evaluating growth performance and nutrient excretion of African catfish fed fish meal-free diets in comparison to Nile tilapia. Sustainability 2022, 14, 14252. [Google Scholar] [CrossRef]
- Shaw, C.; Knopf, K.; Kloas, W. Fish Feeds in aquaponics and beyond: A novel concept to evaluate protein sources in diets for circular multitrophic food production systems. Sustainability 2022, 14, 4064. [Google Scholar] [CrossRef]
- Hua, K.; Cobcroft, J.M.; Cole, A.; Condon, K.; Jerry, D.R.; Mangott, A.; Praeger, C.; Vucko, M.J.; Zeng, C.; Zenger, K.; et al. The future of aquatic protein: Implications for protein sources in aquaculture diets. One Earth 2019, 1, 316–329. [Google Scholar] [CrossRef]
- Caruso, G. Fishery wastes and by-products: A resource to be valorised. J. Fish. Sci. 2015, 9, 080–083. [Google Scholar]
- Fraga-Corral, M.; Ronza, P.; Garcia-oliveira, P.; Pereira, A.G.; Losada, A.P.; Prieto, M.A. Aquaculture as a circular bio-economy model with Galicia as a study case: How to transform waste into revalorized by-products. Trends Food Sci. Technol. 2022, 119, 23–35. [Google Scholar] [CrossRef]
- Stevens, J.R.; Newton, R.W.; Tlusty, M.; Little, D.C. The rise of aquaculture by-products: Increasing food production, value, and sustainability through strategic utilisation. Mar. Policy 2018, 90, 115–124. [Google Scholar] [CrossRef]
- Eck, M.; Körner, O.; Jijakli, M.H. Nutrient cycling in aquaponics systems. In Aquaponics Food Production Systems; Goddek, S., Joyce, A., Kotzen, B., Burnell, G., Eds.; Springer: Cham, Germany, 2019; pp. 231–246. [Google Scholar]
- Yep, B.; Zheng, Y. Aquaponic trends and challenges—A review. J. Clean. Prod. 2019, 228, 1586–1599. [Google Scholar] [CrossRef]
- Monsees, H.; Keitel, J.; Paul, M.; Kloas, W.; Wuertz, S. Potential of aquacultural sludge treatment for aquaponics: Evaluation of nutrient mobilization under aerobic and anaerobic conditions. Aquac. Environ. Interact. 2017, 9, 9–18. [Google Scholar] [CrossRef]
- Seawright, D.E.; Stickney, R.R.; Walker, R.B. Nutrient dynamics in integrated aquaculture-hydroponics systems. Aquaculture 1998, 160, 215–237. [Google Scholar] [CrossRef]
- Graber, A.; Junge, R. Aquaponic systems: Nutrient recycling from fish wastewater by vegetable production. Desalination 2009, 246, 147–156. [Google Scholar] [CrossRef]
- Delaide, B.; Delhaye, G.; Dermience, M.; Gott, J.; Soyeurt, H.; Jijakli, M.H. Plant and fish production performance, nutrient mass balances, energy and water use of the PAFF box, a small-scale aquaponic system. Aquac. Eng. 2017, 78, 130–139. [Google Scholar] [CrossRef]
- Villarroel, M.; Alvariño, J.M.R.; Duran, J.M. Aquaponics: Integrating fish feeding rates and ion waste production for strawberry hydroponics. Span. J. Agric. Res. 2011, 9, 537. [Google Scholar] [CrossRef]
- Suhl, J.; Dannehl, D.; Kloas, W.; Baganz, D.; Jobs, S.; Scheibe, G.; Schmidt, U. Advanced aquaponics: Evaluation of intensive tomato production in aquaponics vs. conventional hydroponics. Agric. Water Manag. 2016, 178, 335–344. [Google Scholar] [CrossRef]
- Lunda, R.; Roy, K.; Másílko, J.; Mráz, J. Understanding nutrient throughput of operational RAS farm effluents to support semi-commercial aquaponics: Easy upgrade possible beyond controversies. J. Environ. Manag. 2019, 245, 255–263. [Google Scholar] [CrossRef] [PubMed]
- Bittsánszky, A.; Uzinger, N.; Gyulai, G.; Mathis, A.; Junge, R.; Villarroel, M.; Kotzen, B.; Kőmíves, T. Nutrient supply of plants in aquaponic systems. Ecocycles 2016, 2, 17–20. [Google Scholar] [CrossRef]
- Monsees, H.; Kloas, W.; Wuertz, S. Decoupled systems on trial: Eliminating bottlenecks to improve aquaponic processes. PLoS ONE 2017, 12, e0183056. [Google Scholar] [CrossRef] [PubMed]
- Siqwepu, O.; Salie, K.; Goosen, N. Evaluation of potassium diformate and potassium chloride in the diet of the African catfish, Clarias gariepinus in a recirculating aquaculture system. Aquaculture 2020, 526, 735414. [Google Scholar] [CrossRef]
- Siqwepu, O.; Salie, K.; Goosen, N. Evaluation of chelated iron and iron sulfate in the diet of African catfish, Clarias gariepinus to enhance iron excretion for application in integrated aquaponics systems. J. World Aquac. Soc. 2020, 51, 1034–1053. [Google Scholar] [CrossRef]
- Robaina, L.; Pirhonen, J.; Mente, E.; Sánchez, J.; Goosen, N. Fish diets in aquaponics. In Aquaponics Food Production Systems; Goddek, S., Joyce, A., Kotzen, B., Burnell, G., Eds.; Springer: Cham, Germany, 2019; pp. 333–352. [Google Scholar]
- Roy, K.; Kajgrova, L.; Mraz, J. TILAFeed: A bio-based inventory for circular nutrients management and achieving bioeconomy in future aquaponics. New Biotechnol. 2022, 70, 9–18. [Google Scholar] [CrossRef]
- Da Silva Cerozi, B.; Fitzsimmons, K. Effect of dietary phytase on phosphorus use efficiency and dynamics in aquaponics. Aquac. Int. 2017, 25, 1227–1238. [Google Scholar] [CrossRef]
- Munguti, J.M.; Kirimi, J.G.; Obiero, K.O.; Ogello, E.O.; Kyule, D.N.; Liti, D.M.; Musalia, L.M. Aqua-feed wastes: Impact on natural systems and practical mitigations—A review. J. Agric. Sci. 2021, 13, 111. [Google Scholar] [CrossRef]
- Lazzari, R.; Baldisserotto, B. Nitrogen and phosphorus waste in fish farming. Bol. Do Inst. Pesca 2008, 34, 591–600. [Google Scholar]
- Turcios, A.E.; Papenbrock, J. Sustainable treatment of aquaculture effluents—What can we learn from the past for the future? Sustainability 2014, 6, 836–856. [Google Scholar] [CrossRef]
- Teodósio, R.; Engrola, S.; Colen, R.; Masagounder, K.; Aragão, C. Optimizing diets to decrease environmental impact of Nile tilapia (Oreochromis niloticus) production. Aquac. Nutr. 2020, 26, 422–431. [Google Scholar] [CrossRef]
- Ataguba, G.A.; Kamble, M.T.; Salin, K.R. Food industry by-products as protein replacement in aquaculture diets of tilapia and catfishs. In Food Processing by-Products and Their Utilization; Anal, A.K., Ed.; Wiley-Blackwell: Hoboken, NJ, USA, 2017; pp. 471–507. [Google Scholar]
- Galkanda-Arachchige, H.S.C.; Wilson, A.E.; Davis, D.A. Success of fishmeal replacement through poultry by-product meal in aquaculture feed formulations: A meta-analysis. Rev. Aquac. 2020, 12, 1624–1636. [Google Scholar] [CrossRef]
- Bureau, D.P. Rendered products in fish aquaculture feeds. In Essential Rendering-All about the Animal by-Products Industry; Meeker, D.L., Ed.; The National Renderers Association (NRA): Alexandria, VA, USA, 2006; pp. 179–184. [Google Scholar]
- Luthada-Raswiswi, R.; Mukaratirwa, S.; O’brien, G. Animal protein sources as a substitute for fishmeal in aquaculture diets: A systematic review and meta-analysis. Appl. Sci. 2021, 11, 3854. [Google Scholar] [CrossRef]
- Pasch, J.; Palm, H.W. Economic analysis and improvement opportunities of African catfish (Clarias gariepinus) aquaculture in northern Germany. Sustainability 2021, 13, 13569. [Google Scholar] [CrossRef]
- Coppens, A. RAS-Zucht von Welsen-Einen Blick Hinter die Kulissen. Available online: https://www.alltechcoppens.com/de/aktuelles/farming-catfish-in-ras (accessed on 14 September 2022).
- Young, J.A.; Smith, A.P.; Muir, J.F. Market analysis using multiple correspondence analysis: The case of consumer acceptance of African catfish, Clarias gariepinus (Burchell, 1822). Aquac. Res. 1996, 27, 283–291. [Google Scholar] [CrossRef]
- Oellermann, L.K.; Hecht, T. Comparison of the fillet yield, protein content and amino acid profile of Clarias gariepinus and the Clarias gariepinus x Heterobranchus longifilis hybrid. Aquac. Res. 2000, 31, 553–556. [Google Scholar] [CrossRef]
- Hoffman, L.C.; Casey, N.H.; Prinsloo, J.F. Carcass yield and fillet chemical composition of wild and farmed African sharptooth catfish, Clarias gariepinus. In Production, Environment and Quality: Proceedings of the International Conference Bordeaux Aquaculture ’92, Bordeaux, France, 25–27 March 1992. Special Publication European Aquaculture Society, 18; Barnabé, G., Kestemont, P., Eds.; European Aquaculture Society: Gent, Belgium, 1993; pp. 421–432. [Google Scholar]
- Mohamed, A.H.; Deng, O.O.; Me, A.; Tahir, E.; Correspondence, F.C.-S.; Ma, A.; Fe, E.-F. Comparative studies on nutritive value of wild and farmed African catfish Clarias gariepinus. Int. J. Fish. Aquat. Stud. 2016, 4, 327–329. [Google Scholar]
- Salisu, A.A.A.; Faturoti, E.O. Effect of different weight classes of processed Clarias gariepinus on yields of fish fillet and fishmeal production. Int. J. Sci. Res. 2016, 5, 1714–1717. [Google Scholar] [CrossRef]
- FAO (Food and Agriculture Organization of the United Nations). The Production of Fish Meal and Oil. FAO Fisheries Technical Paper 142. Available online: https://www.fao.org/3/x6899e/x6899e00.htm (accessed on 3 February 2023).
- Kleiber, M. The Fire of Life. An Introduction to Animal Energetics; Krieger Publishing: New York, NY, USA, 1975. [Google Scholar]
- DIN EN ISO 16634-2; Food Products-Determination of the Total Nitrogen Content by Combustion According to the Dumas Principle and Calculation of the Crude Protein Content-Part 2: Cereals, Pulses and Milled Cereal Products (ISO 16634-2:2016). DIN Deutsches Institut für Normung e.V.: Berlin, Germany, 2016.
- EC (European Commission). Commission Regulation (EC) No 152/2009 of 27 January 2009 Laying down the Methods of Sampling and Analysis for the Official Control of Feed; EC (European Commission): Brussels, Belgium, 2009. [Google Scholar]
- DIN EN ISO 13903; Animal Feeding Stuffs—Determination of Amino Acids Content (ISO 13903:2005). DIN Deutsches Institut für Normung e.V.: Berlin, Germany, 2005.
- ASU L 49.07-3:1989-05; FOOD-PA 662: Bestimmung des Gehaltes an Gesamt-Tryptophan (Summe: Frei und Gebunden) in Lebens- und Futtermitteln Mittels LC-Aminosäureanalysator mit Ninhydrin. SGS (SGS Analytics GmbH Germany): Munich, Germany, 2021.
- DIN EN 16174; Sludge, Treated Biowaste and Soil-Digestion of Aqua Regia Soluble Fractions of Elements. DIN Deutsches Institut für Normung e.V.: Berlin, Germany, 2012.
- DIN EN ISO 11885; Water Quality-Determination of Selected Elements by Inductively Coupled Plasma Optical Emission Spectrometry (ICP-OES) (ISO 11885:2007). DIN Deutsches Institut für Normung e.V.: Berlin, Germany, 2009.
- Cho, C.Y. Feeding systems for rainbow trout and other salmonids with reference to current estimates of energy and protein requirements. Aquaculture 1992, 100, 107–123. [Google Scholar] [CrossRef]
- Sotolu, A.O. Comparative utilizations of fish waste meal with imported fishmeal by African catfish (Clarias gariepinus). Am. J. Sci. Res. 2009, 4, 285–289. [Google Scholar]
- Jimoh, W.A.; Ayeloja, A.A.; Mowete, I.E.; Yusuf, Y.O.; Idi-ogede, M. Aquaculture by-product meal as a fishmeal replacer in African catfish (Clarias gariepinus) diet: Effects on serum biochemistry, innate immune response, and oxidative stress markers. Int. J. Aquat. Biol. 2022, 10, 119–130. [Google Scholar]
- Kitagima, R.E.; Fracalossi, D.M. Digestibility of alternative protein-rich feedstuffs for channel catfish, Ictalurus punctatus. J. World Aquac. Soc. 2011, 42, 306–312. [Google Scholar] [CrossRef]
- Osho, F.; Ajani, E.K.; Olugbenga, O. Replacement of fishmeal with clariid fish offal in the diet of African catfish, Clarias gariepinus (Burchell, 1822) Juveniles. Niger. J. Fish. Aquac. 2019, 7, 40–48. [Google Scholar]
- Colombo, S.M.; Turchini, G.M. ‘Aquafeed 3.0’: Creating a more resilient aquaculture industry with a circular bioeconomy framework. Rev. Aquac. 2021, 13, 1156–1158. [Google Scholar] [CrossRef]
- Goda, A.M.; El-Haroun, E.R.; Kabir Chowdhury, M.A. Effect of totally or partially replacing fish meal by alternative protein sources on growth of African catfish Clarias gariepinus (Burchell, 1822) reared in concrete tanks. Aquac. Res. 2007, 38, 279–287. [Google Scholar] [CrossRef]
- Priyadarshana, K.C.; Ruwandeepika, D. Substitution of fishmeal with black soldier fly Hermetia illucens Linnaeus, 1758 larvae in finfish aquaculture—A review. Asian Fish. Sci. 2021, 34, 114–126. [Google Scholar] [CrossRef]
- Barragan-Fonseca, K.B.; Dicke, M.; van Loon, J.J.A. Nutritional Value of the Black Soldier Fly (Hermetia illucens L.) and its suitability as animal feed—A review. J. Insects Food Feed 2017, 3, 105–120. [Google Scholar] [CrossRef]
- Henry, M.; Gasco, L.; Piccolo, G.; Fountoulaki, E. Review on the use of insects in the diet of farmed fish: Past and future. Anim. Feed Sci. Technol. 2015, 203, 1–22. [Google Scholar] [CrossRef]
- Liland, N.S.; Araujo, P.; Xu, X.X.; Lock, E.; Radhakrishnan, G.; Prabhu, A.J.P.; Belghit, I. A meta-analysis on the nutritional value of insects in aquafeeds. J. Insects Food Feed 2021, 7, 743–759. [Google Scholar] [CrossRef]
- Hua, K. A Meta-analysis of the effects of replacing fish meals with insect meals on growth performance of fish. Aquaculture 2021, 530, 735732. [Google Scholar] [CrossRef]
- Adeoye, A.A.; Akegbejo-samsons, Y.; Fawole, F.J.; Davies, S.J. Preliminary assessment of black soldier fly (Hermetia illucens) larval meal in the diet of African catfish (Clarias gariepinus): Impact on growth, body index, and hematological parameters. J. World Aquacult. Soc. 2020, 51, 1024–1033. [Google Scholar] [CrossRef]
- Gana, A.B.; Tijani, S.; Ibrahim, R. Nutrient utilization, haematological indices and carcass compositions of heteroclarias fingerlings fed Hermetia illucens (Linnaeus, 1758) larvae meal. Int. J. Fish. Aquat. Stud. 2020, 8, 42–48. [Google Scholar]
- Fawole, F.J.; Adeoye, A.A.; Tiamiyu, L.O.; Ajala, K.I.; Obadara, S.O.; Ganiyu, I.O. Substituting fishmeal with Hermetia illucens in the diets of African catfish (Clarias gariepinus): Effects on growth, nutrient utilization, haemato-physiological response, and oxidative stress biomarker. Aquaculture 2020, 518, 734849. [Google Scholar] [CrossRef]
- Azri, N.A.M.; Chun, L.K.; Hasan, H.A.; Jaya-Ram, A.; Kari, Z.A.; Hamid, N.K.A. The effects of partial replacement of fishmeal with Hermetia meal on the growth and fatty acid profile of African catfish fry. Agric. Rep. 2022, 1, 17–27. [Google Scholar]
- Ogunji, J.O.; Iheanacho, S.C.; Abe, G.A.; Ikeh, O.R. Assessing effects of substituting dietary fish meal with boiled donkey and cow blood meal on growth performance and digestive enzyme activities of Clarias gariepinus juvenile. J. World Aquac. Soc. 2020, 51, 1066–1079. [Google Scholar] [CrossRef]
- Ogunji, J.; Iheanacho, S. Alternative protein source: Acceptability of cow blood meal in place of fish meal assessed via growth, antioxidant enzymes functions and haematological response in Clarias gariepinus (Burchell, 1822). Aquac. Res. 2021, 52, 2651–2661. [Google Scholar] [CrossRef]
- Olukunle, O.A.; Ogunsanmi, A.O.; Taiwo, V.O.; Samuel, A.A. The nutritional value of cow blood meal and its effects on growth performance, haematology and plasma enzymes of hybrid catfish. Trop. J. Anim. Sci. 2002, 5, 75–85. [Google Scholar] [CrossRef]
- Gougbedji, A.; Detilleux, J.; Lalèyè, P.A.; Francis, F.; Caparros Megido, R. Can insect meal replace fishmeal? A meta-analysis of the effects of black soldier fly on fish growth performances and nutritional values. Animals 2022, 15, 1700. [Google Scholar] [CrossRef]
- Krogdahl, Å.; Penn, M.; Thorsen, J.; Refstie, S.; Bakke, A.M. Important antinutrients in plant feedstuffs for aquaculture: An update on recent findings regarding responses in salmonids. Aquac. Res. 2010, 41, 333–344. [Google Scholar] [CrossRef]
- Kloas, W.; Groß, R.; Baganz, D.; Graupner, J.; Monsees, H.; Schmidt, U.; Staaks, G.; Suhl, J.; Tschirner, M.; Wittstock, B.; et al. A new concept for aquaponic systems to improve sustainability, increase productivity, and reduce environmental impacts. Aquac. Environ. Interact. 2015, 7, 179–192. [Google Scholar] [CrossRef]
- Suhl, J.; Dannehl, D.; Baganz, D.; Schmidt, U.; Kloas, W. An innovative suction filter device reduces nitrogen loss in double recirculating aquaponic systems. Aquac. Eng. 2018, 82, 63–72. [Google Scholar] [CrossRef]
- Wood, S.; Cowie, A. A review of greenhouse gas emission factors for fertiliser production. In IEA Bioenergy Task 38; Penn State University: State College, PA, USA, 2004. [Google Scholar]
- Strauch, S.M.; Wenzel, L.C.; Bischoff, A.; Dellwig, O.; Klein, J.; Schüch, A.; Wasenitz, B.; Palm, H.W. Commercial African catfish (Clarias gariepinus) recirculating aquaculture systems: Assessment of element and energy pathways with special focus on the phosphorus cycle. Sustainability 2018, 10, 1805. [Google Scholar] [CrossRef]
- McGill, S.M. ‘Peak’ phosphorus? The implications of phosphate scarcity for sustainable investors. J. Sustain. Financ. Invest. 2012, 2, 222–239. [Google Scholar] [CrossRef]
- Cooper, J.; Lombardi, R.; Boardman, D.; Carliell-Marquet, C. The future distribution and production of global phosphate rock reserves. Resour. Conserv. Recycl. 2011, 57, 78–86. [Google Scholar] [CrossRef]
- Suloma, A.; Mabroke, R.S.; El-Haroun, E.R. Meat and bone meal as a potential source of phosphorus in plant-protein-based diets for Nile tilapia (Oreochromis niloticus). Aquac. Int. 2013, 21, 375–385. [Google Scholar] [CrossRef]
- Sugiura, S.H.; Babbitt, J.K.; Dong, F.M.; Hardy, R.W. Utilization of fish and animal by-product meals in low-pollution feeds for rainbow trout Oncorhynchus mykiss (Walbaum). Aquac. Res. 2000, 31, 585–593. [Google Scholar] [CrossRef]
- Cho, C.Y.; Hynes, J.D.; Wood, K.R.; Yoshida, H.K. Development of high-nutrient-dense, low-pollution diets and prediction of aquaculture wastes using biological approaches. Aquaculture 1994, 124, 293–305. [Google Scholar] [CrossRef]
- Lall, S.P. The Minerals. In Fish nutrition; Halver, J.E., Hardy, R.W., Eds.; Academic Press: Cambridge, MA, USA, 2003; pp. 259–308. [Google Scholar]
- Cho, C.Y.; Bureau, D.P. A review of diet formulation strategies and feeding systems to reduce excretory and feed wastes in aquaculture. Aquac. Res. 2001, 32, 349–360. [Google Scholar] [CrossRef]
- Liland, N.S.; Biancarosa, I.; Araujo, P.; Biemans, D.; Bruckner, C.G.; Waagbø, R.; Torstensen, B.E.; Lock, E.J. Modulation of nutrient composition of black soldier fly (Hermetia illucens) larvae by feeding seaweed-enriched media. PLoS ONE 2017, 12, e0183188. [Google Scholar] [CrossRef]
- Liu, X.; Chen, X.; Wang, H.; Yang, Q.; Ur Rehman, K.; Li, W.; Cai, M.; Li, Q.; Mazza, L.; Zhang, J.; et al. Dynamic changes of nutrient composition throughout the entire life cycle of black soldier fly. PLoS ONE 2017, 12, e0182601. [Google Scholar] [CrossRef]
- Tschirner, M.; Simon, A. Influence of different growing substrates and processing on the nutrient composition of black soldier fly larvae destined for animal feed. J. Insects Food Feed 2015, 1, 249–259. [Google Scholar] [CrossRef]
- Abd El-Hack, M.E.; Shafi, M.E.; Alghamdi, W.Y.; Abdelnour, S.A.; Shehata, A.M.; Noreldin, A.E.; Ashour, E.A.; Swelum, A.A.; Al-sagan, A.A.; Alkhateeb, M.; et al. Black soldier fly (Hermetia illucens) meal as a promising feed ingredient for poultry: A comprehensive review. Agriculture 2020, 10, 339. [Google Scholar] [CrossRef]
- Yakti, W.; Schulz, S.; Marten, V.; Mewis, I.; Padmanabha, M.; Hempel, A.; Kobelski, A.; Streif, S.; Ulrichs, C. The effect of rearing scale and density on the growth and nutrient composition of Hermetia illucens (L.) (Diptera: Stratiomyidae) larvae. Sustainability 2022, 14, 1772. [Google Scholar] [CrossRef]
- Yakti, W.; Müller, M.; Klost, M.; Mewis, I.; Dannehl, D.; Ulrichs, C. Physical properties of substrates as a driver for Hermetia illucens (L.) (Diptera: Stratiomyidae) larvae growth. Insects 2023, 14, 266. [Google Scholar] [CrossRef]
- Wang, M.; Zheng, Q.; Shen, Q.; Guo, S. The critical role of potassium in plant stress response. Int. J. Mol. Sci. 2013, 14, 7370–7390. [Google Scholar] [CrossRef] [PubMed]
- Sugiura, S.H.; Dong, F.M.; Rathbone, C.K.; Hardy, R.W. Apparent protein digestibility and mineral availabilities in various feed ingredients for salmonid feeds. Aquaculture 1998, 159, 177–202. [Google Scholar] [CrossRef]
- Roosta, H.R.; Hamidpour, M. Effects of foliar application of some macro- and micro-nutrients on tomato plants in aquaponic and hydroponic systems. Sci. Hortic. 2011, 129, 396–402. [Google Scholar] [CrossRef]
- Goddek, S.; Delaide, B.P.L.; Joyce, A.; Wuertz, S.; Jijakli, M.H.; Gross, A.; Eding, E.H.; Bläser, I.; Reuter, M.; Keizer, L.C.P.; et al. Nutrient mineralization and organic matter reduction performance of RAS-based sludge in sequential UASB-EGSB reactors. Aquac. Eng. 2018, 83, 10–19. [Google Scholar] [CrossRef]
- Kasozi, N.; Tandlich, R.; Fick, M.; Kaiser, H.; Wilhelmi, B. Iron supplementation and management in aquaponic systems: A review. Aquac. Rep. 2019, 15, 100221. [Google Scholar] [CrossRef]
- Bury, N.; Grosell, M. Iron acquisition by teleost fish. Comp. Biochem. Physiol.-C Toxicol. Pharmacol. 2003, 135, 97–105. [Google Scholar] [CrossRef]
- Del Campo, L.M.; Ibarra, P.; Gutierrez, X.; Takle, H. Utilization of Sludge from Recirculation Aquaculture Systems-Nofima Report 9/2010; Norwegian Food Research Institute: Oslo, Norway, 2010. [Google Scholar]
- Sandvold, H.N.; Gregg, J.S.; Olsen, D.S. New pathways for organic waste in land-based farming of salmon: The case of Norway and Denmark. In From Waste to Value: Valorisation Pathways for Organic Waste Streams in Circular Bioeconomies; Klitkou, A., Fevolden, A.M., Capasso, M., Eds.; Routledge: Oxford, UK, 2019; pp. 145–161. [Google Scholar]
- Marsh, L.; Subler, S.; Mishra, S.; Marini, M. Suitability of aquaculture effluent solids mixed with cardboard as a feedstock for vermicomposting. Bioresour. Technol. 2005, 96, 413–418. [Google Scholar] [CrossRef] [PubMed]
- Kouba, A.; Lunda, R.; Hlaváč, D.; Kuklina, I.; Hamáčková, J.; Randák, T.; Kozák, P.; Koubová, A.; Buřič, M. Vermicomposting of sludge from recirculating aquaculture system using Eisenia andrei: Technological feasibility and quality assessment of end-products. J. Clean. Prod. 2018, 177, 665–673. [Google Scholar] [CrossRef]
- Wang, H.; Hagemann, A.; Reitan, K.I.; Ejlertsson, J.; Wollan, H.; Handå, A.; Malzahn, A.M. Potential of the polychaete Hediste diversicolor fed on aquaculture and biogas side streams as an aquaculture food source. Aquac. Environ. Interact. 2019, 11, 551–562. [Google Scholar] [CrossRef]
- Lim, J.A.; Loo, P.L.; Tan, K.S.; Ng, N.K. Fish culture waste improves growth and fatty acid composition of the polychaete Namalycastis sp. (Nereididae) and its potential use as feed for mud crabs. Aquac. Res. 2021, 52, 2622–2639. [Google Scholar] [CrossRef]
- Schmitt, E.; Belghit, I.; Johansen, J.; Leushuis, R.; Lock, E.J.; Melsen, D.; Ramasamy Shanmugam, R.K.; Van Loon, J.; Paul, A. Growth and safety assessment of feed streams for black soldier fly larvae: A case study with aquaculture sludge. Animals 2019, 9, 189. [Google Scholar] [CrossRef]
- Khayrova, A.; Lopatin, S.; Varlamov, V. Black soldier fly Hermetia illucens as a novel source of chitin and chitosan. Int. J. Sci. 2019, 8, 81–86. [Google Scholar] [CrossRef]
- Turchini, G.M.; Trushenski, J.T.; Glencross, B.D. Thoughts for the future of aquaculture nutrition: Realigning perspectives to reflect contemporary issues related to judicious use of marine resources in aquafeeds. N. Am. J. Aquac. 2019, 81, 13–39. [Google Scholar] [CrossRef]
- St-Hilaire, S.; Cranfill, K.; McGuire, M.A.; Mosley, E.E.; Tomberlin, J.K.; Newton, L.; Sealey, W.; Sheppard, C.; Irving, S. Fish offal recycling by the black soldier fly produces a foodstuff high in omega-3 fatty acids. J. World Aquac. Soc. 2007, 38, 309–313. [Google Scholar] [CrossRef]
- Barroso, F.G.; Sánchez-Muros, M.J.; Segura, M.; Morote, E.; Torres, A.; Ramos, R.; Guil, J.L. Insects as food: Enrichment of larvae of Hermetia illucens with omega 3 fatty acids by means of dietary modifications. J. Food Compos. Anal. 2017, 62, 8–13. [Google Scholar] [CrossRef]
- EC (European Commission). Commission Regulation (EU) 2017/893 of 24 May 2017 Amending Annexes I and IV to Regulation (EC) No 999/2001 of the European Parliament and of the Council and Annexes X, XIV and XV to Commission Regulation (EU) No 142/2011 as Regards the Provisions on Processed Animal Protein. Available online: https://eur-lex.europa.eu/legal-content/EN/TXT/PDF/?uri=CELEX:32017R0893&from=EN (accessed on 21 February 2023).
- EC (European Commission). Commission Regulation (EC) No 811/2003 of 12 May 2003 Implementing Regulation (EC) No 1774/2002 of the European Parliament and of the Council as Regards the Intra-Species Recycling Ban for Fish, the Burial and Burning of Animal by-Products and Certain Transitional Measures. Available online: https://eur-lex.europa.eu/legal-content/EN/TXT/PDF/?uri=CELEX:32003R0811&from=en (accessed on 21 February 2023).
- EC (European Commission). Commission Regulation (EU) No 142/2011 of 25 February 2011 Implementing Regulation (EC) No 1069/2009 of the European Parliament and of the Council Laying Down Health Rules as Regards Animal by-Products and Derived Products Not Intended for Human Consumption and Implementing Council Directive 97/78/EC as Regards Certain Samples and Items Exempt from Veterinary Checks at the Border under that Directive. Available online: https://eur-lex.europa.eu/LexUriServ/LexUriServ.do?uri=OJ:L:2011:054:0001:0254:EN:PDF (accessed on 21 February 2023).
- Mertenat, A.; Diener, S.; Zurbrügg, C. Black soldier fly biowaste treatment—Assessment of global warming potential. Waste Manag. 2019, 84, 173–181. [Google Scholar] [CrossRef]
- Wang, Y.-S.; Shelomi, M. Review of black soldier fly (Hermetia illucens) as animal feed and human food. Foods 2017, 6, 91. [Google Scholar] [CrossRef] [PubMed]
- Trejo-Téllez, L.I.; Gómez-Merino, F.C. Nutrient solutions for hydroponic systems. In Hydroponics—A Standard Methodology for Plant Biological Researches; Asao, T., Ed.; InTech: London, UK, 2012; pp. 1–22. ISBN 9789535103868. [Google Scholar]






| Experimental Diets | ||||
|---|---|---|---|---|
| PM | MIX | BSF | COM 14 | |
| Ingredient composition (%) | ||||
| Black soldier fly larvae meal 1 | - | 20.35 | 40.00 | n.a. 15 |
| Poultry by-product meal 2 | 41.30 | 20.35 | - | |
| Catfish by-product meal 3 | 13.30 | 13.30 | 13.30 | |
| Poultry blood meal 4 | 10.00 | 10.00 | 10.00 | |
| Corn meal 5 | 11.15 | 10.55 | 10.05 | |
| Pea starch 6 | 8.00 | 8.00 | 8.00 | |
| Vitamin and mineral premix 7 | 0.65 | 0.65 | 0.65 | |
| Monoammonium phosphate 8 | 0.50 | 0.50 | 0.50 | |
| Rapeseed oil 9 | 7.50 | 7.50 | 7.50 | |
| Poultry fat 10 | 7.60 | 8.80 | 10.00 | |
| Proximate composition (%-as fed) 11 | ||||
| Dry matter (DM) | 96.00 | 95.70 | 96.05 | 96.10 |
| Moisture | 4.00 | 4.30 | 3.95 | 3.90 |
| Crude protein (CP) (N × 6.25) | 50.70 | 50.40 | 50.70 | 49.20 |
| Crude fat (CF) | 20.30 | 20.05 | 20.05 | 18.80 |
| Crude fibre | 1.25 | 1.40 | 1.55 | 2.05 |
| Ash | 8.00 | 7.30 | 6.70 | 6.70 |
| Starch | 11.50 | 10.90 | 11.65 | 11.55 |
| Nitrogen-free extract 12 | 15.8 | 16.6 | 17.1 | 19.4 |
| Gross energy (MJ/kg) 13 | 22.71 | 22.68 | 22.84 | 22.38 |
| P/E ratio (g protein/MJ GE) | 22.32 | 22.22 | 22.20 | 21.98 |
| Experimental Diets | ||||
|---|---|---|---|---|
| PM | MIX | BSF | COM | |
| Essential amino acids (EAAs) (% as fed) | ||||
| Arginine (Arg) | 2.68 | 2.68 | 2.69 | 2.94 |
| Histidine (His) | 1.31 | 1.28 | 1.24 | 1.22 |
| Isoleucine (Ile) | 1.67 | 1.68 | 1.67 | 1.78 |
| Leucine (Leu) | 3.89 | 3.93 | 4.03 | 3.83 |
| Lysine (Lys) | 2.51 | 2.46 | 2.48 | 2.58 |
| Methionine (Met) | 0.76 | 0.76 | 0.76 | 0.76 |
| Phenylalanine (Phe) | 2.27 | 2.31 | 2.33 | 2.22 |
| Threonine (Thr) | 1.63 | 1.63 | 1.61 | 1.79 |
| Tryptophan (Trp) | 0.50 | 0.50 | 0.49 | 0.50 |
| Valine (Val) | 2.19 | 2.17 | 2.21 | 2.53 |
| Met + Cys | 1.30 | 1.38 | 1.41 | 1.62 |
| Phe + Tyr | 3.48 | 3.61 | 3.73 | 3.41 |
| Sum EAAs | 19.38 | 19.37 | 19.49 | 20.11 |
| Non-essential amino acids (NEAAs) (% as fed) | ||||
| Alanine (Ala) | 2.43 | 2.39 | 2.38 | 2.54 |
| Cysteine (Cys) | 0.54 | 0.62 | 0.65 | 0.86 |
| Glycine (Gly) | 2.58 | 2.49 | 2.40 | 2.90 |
| Proline (Pro) | 3.25 | 3.35 | 3.17 | 2.77 |
| Serine (Ser) | 2.20 | 2.30 | 2.42 | 2.75 |
| Aspartic acid (Asp) + asparagine (Asn) | 3.89 | 3.85 | 3.81 | 3.96 |
| Glutamic acid (Glu) + glutamine (Gln) | 9.06 | 9.02 | 9.04 | 6.83 |
| Tyrosine (Tyr) | 1.21 | 1.30 | 1.40 | 1.19 |
| Sum NEAAs | 25.15 | 25.31 | 25.26 | 23.78 |
| Minerals (g/kg as fed) 1 | ||||
| P | 20.21 | 16.76 | 13.90 | 11.98 |
| Ca | 16.93 | 15.02 | 13.04 | 11.66 |
| K | 6.21 | 5.94 | 5.58 | 10.74 |
| S | 4.80 | 5.41 | 6.08 | 6.86 |
| Na | 2.56 | 2.74 | 2.88 | 3.30 |
| Mg | 1.42 | 1.43 | 1.43 | 2.24 |
| Fe | 0.57 | 0.61 | 0.67 | 0.34 |
| Zn | 0.29 | 0.28 | 0.27 | 0.11 |
| Mn | 0.17 | 0.19 | 0.15 | 0.04 |
| Al | 0.11 | 0.18 | 0.24 | 0.07 |
| Cu | 0.03 | 0.03 | 0.03 | 0.01 |
| Rearing Conditions | ||||
|---|---|---|---|---|
| PM | MIX | BSF | COM | |
| O2 (mg/L) 1 | 7.13 ± 0.22 | 7.14 ± 0.25 | 7.16 ± 0.25 | 7.11 ± 0.23 |
| Temperature (°C) 1 | 27.0 ± 0.1 | 27.0 ± 0.7 | 27.0 ± 0.6 | 27.0 ± 0.3 |
| pH 1 | 7.43 ± 0.64 | 7.68 ± 0.39 | 7.74 ± 0.33 | 7.8 ± 0.27 |
| Conductivity (EC) (µS/cm) 1 | 1012 ± 182 | 1012 ± 177 | 1015 ± 176 | 1035 ± 189 |
| NH4+-N (mg/L) 2 | 0.24 ± 0.14 | 0.27 ± 0.14 | 0.29 ± 0.14 | 0.28 ± 0.17 |
| NO2−-N (mg/L) 2 | <0.05 | <0.05 | <0.05 | <0.05 |
| Fish Performance | ||||
|---|---|---|---|---|
| PM | MIX | BSF | COM | |
| Survival (%) A | 86.2 ± 2.4 b | 91.4 ± 2.4 ab | 90.9 ± 1.7 ab | 93.1 ± 3.1 a |
| Initial body weight (g) B | 9.1 ± 2.4 a | 8.5 ± 2.2 a | 9.0 ± 2.2 a | 8.6 ± 2.3 a |
| Final body weight (g) C | 115.8 ± 43.4 a | 90.4 ± 38.7 b | 88.9 ± 33.0 bc | 80.3 ± 37.4 c |
| BWG (%) 1A | 1233 ± 29.0 a | 976 ± 35.1 b | 938 ± 23.7 b | 865 ± 34.9 c |
| Initial total length (cm) B | 11.1 ± 1.0 a | 10.8 ± 1.0 a | 11.0 ± 0.9 a | 10.9 ± 1.0 a |
| Final total length (cm) C | 23.3 ± 2.5 a | 21.6 ± 2.5 b | 21.6 ± 2.3 b | 20.7 ± 2.5 c |
| LG (%) 2A | 109.9 ± 4.5 a | 100.1 ± 3.3 b | 95.3 ± 2.0 bc | 91.1 ± 3.0 c |
| Condition factor (CF) 3C | 0.87 ± 0.12 a | 0.85 ± 0.09 a | 0.85 ± 0.12 a | 0.85 ± 0.13 a |
| Initial biomass (g) A | 504.4 ± 27.0 a | 487.3 ± 4.2 a | 497.1 ± 16.6 a | 483.1 ± 18.1 a |
| Final biomass (g) A | 5790 ± 200 a | 4793 ± 235 b | 4689 ± 163 bc | 4355 ± 166 c |
| BMG (%) 4A | 1049 ± 34 a | 883 ± 43 b | 844 ± 25 bc | 802 ± 26 c |
| Total feed administered (g, as is) A | 3329 ± 137 a | 2955 ± 112 b | 2906 ± 89 b | 2718 ± 113 b |
| MDR (% biomass/d) 5D | 3.06 ± 0.83 a | 3.07 ± 0.84 a | 3.06 ± 0.83 a | 3.07 ± 0.83 a |
| FCR (as fed) 6A | 0.60 ± 0.01 c | 0.66 ± 0.01 b | 0.66 ± 0.01 b | 0.68 ± 0.01 a |
| FCR (DM basis) 6A | 0.57 ± 0.01 c | 0.63 ± 0.01 b | 0.63 ± 0.01 b | 0.66 ± 0.01 a |
| SGR 7A | 5.18 ± 0.04 a | 4.75 ± 0.07 b | 4.68 ± 0.05 b | 4.59 ± 0.13 b |
| PER 8A | 3.30 ± 0.04 a | 3.01 ± 0.05 b | 2.99 ± 0.03 b | 2.96 ± 0.05 b |
| TGC 9A | 2.09 ± 0.03 a | 1.82 ± 0.04 b | 1.79 ± 0.01 b | 1.70 ± 0.03 c |
| Nutrient Partitioning between Water and Feces | ||||||||
|---|---|---|---|---|---|---|---|---|
| PM | MIX | BSF | COM | PM | MIX | BSF | COM | |
| Dissolved Nutrients (RAS Water) (A) | Solid Nutrients (Collected Feces) (B) | |||||||
| mg/g of feed (as fed) (1) | mg/g of feed (as fed) (1) | |||||||
| N | 38.59 ± 0.63 a | 38.83 ± 0.51 a | 38.58 ± 0.33 a | 38.31 ± 0.62 a | 1.64 ± 0.04 c | 2.53 ± 0.07 b | 3.27 ± 0.21 a | 3.09 ± 0.20 a |
| P | 3.99 ± 0.27 a | 2.44 ± 0.10 b | 0.95 ± 0.04 c | 0.52 ± 0.08 d | 2.58 ± 0.11 a | 2.30 ± 0.10 b | 1.94 ± 0.15 c | 1.78 ± 0.11 c |
| K | 1.15 ± 0.06 b | 1.16 ± 0.05 b | 0.93 ± 0.05 c | 5.98 ± 0.10 a | 0.04 ± 0.00 c | 0.06 ± 0.00 b | 0.08 ± 0.01 a | 0.07 ± 0.00 a |
| Mg | 1.15 ± 0.02 c | 1.21 ± 0.04 bc | 1.28 ± 0.04 b | 1.98 ± 0.08 a | 0.12 ± 0.00 b | 0.14 ± 0.01 a | 0.14 ± 0.01 ab | 0.16 ± 0.01 a |
| S | 4.25 ± 0.07 d | 5.04 ± 0.20 c | 5.60 ± 0.10 b | 6.27 ± 0.26 a | 0.20 ± 0.00 b | 0.36 ± 0.01 a | 0.45 ± 0.04 a | 0.39 ± 0.03 a |
| Ca | −0.57 ± 0.57 b | −0.47 ± 0.29 b | 0.01 ± 0.08 b | 2.12 ± 0.54 a | 4.64 ± 0.21 a | 4.33 ± 0.19 a | 3.49 ± 0.29 b | 3.13 ± 0.19 b |
| Fe | 0.0036 ± 0.0003 d | 0.0051 ± 0.0004 c | 0.0075 ± 0.0001 b | 0.0099 ± 0.0004 a | 0.19 ± 0.00 b | 0.24 ± 0.02 a | 0.26 ± 0.04 ab | 0.12 ± 0.02 c |
| Mn | 0.0134 ± 0.0232 a | −0.0002 ± 0.0001 b | −0.0003 ± 0.0000 b | −0.0008 ± 0.0001 ac | 0.04 ± 0.00 a | 0.04 ± 0.00 a | 0.03 ± 0.01 a | 0.00 ± 0.00 b |
| Zn | −0.0136 ± 0.0269 a | −0.0350 ± 0.0041 b | −0.0320 ± 0.0015 b | −0.0447 ± 0.0021 ac | 0.11 ± 0.01 a | 0.11 ± 0.01 a | 0.11 ± 0.01 a | 0.04 ± 0.00 b |
| Cu | 0.0014 ± 0.0007 a | 0.0003 ± 0.0004 a | 0.0012 ± 0.0006 a | −0.0067 ± 0.0006 b | 0.01 ± 0.00 a | 0.01 ± 0.00 a | 0.01 ± 0.00 a | 0.00 ± 0.00 b |
| % of nutrient fed (2) | % of nutrient fed (2) | |||||||
| N | 47.6 ± 0.8 a | 48.1 ± 0.6 a | 47.6 ± 0.4 a | 48.7 ± 0.8 a | 2.0 ± 0.0 c | 3.1 ± 0.1 b | 4.0 ± 0.3 a | 3.9 ± 0.3 a |
| P | 20.5 ± 1.4 a | 15.2 ± 0.6 b | 7.1 ± 0.3 c | 4.5 ± 0.7 d | 14.2 ± 0.6 a | 15.1 ± 0.6 a | 15.3 ± 1.2 a | 16.1 ± 1.0 a |
| K | 19.3 ± 1.0 bc | 20.4 ± 0.9 b | 17.3 ± 0.9 c | 57.9 ± 1.0 a | 0.7 ± 0.0 c | 1.1 ± 0.0 b | 1.4 ± 0.1 a | 0.7 ± 0.0 c |
| Mg | 83.8 ± 1.6 b | 88.3 ± 2.7 ab | 92.8 ± 3.1 a | 91.7 ± 3.5 a | 8.7 ± 0.3 b | 10.1 ± 0.4 a | 10.5 ± 0.9 ab | 7.3 ± 0.5 c |
| S | 92.3 ± 1.5 a | 97.3 ± 3.9 a | 95.8 ± 1.6 a | 95.1 ± 4.0 a | 4.5 ± 0.1 c | 7.0 ± 0.3 a | 7.7 ± 0.7 a | 5.9 ± 0.4 b |
| Ca | −3.5 ± 3.5 b | −3.2 ± 2.0 b | 0.1 ± 0.7 b | 18.9 ± 4.8 a | 28.6 ± 1.3 a | 30.1 ± 1.3 a | 27.8 ± 2.3 a | 27.9 ± 1.7 a |
| Fe | 0.7 ± 0.1 d | 0.9 ± 0.1 c | 1.2 ± 0.0 b | 3.0 ± 0.1 a | 34.6 ± 0.8 a | 40.5 ± 2.7 a | 40.6 ± 6.7 a | 37.8 ± 5.4 a |
| Mn | 8.0 ± 13.8 a | −0.1 ± 0.0 b | −0.2 ± 0.0 b | −2.2 ± 0.3 ac | 22.1 ± 0.7 a | 21.8 ± 2.1 a | 23.2 ± 5.0 ab | 14.1 ± 2.3 b |
| Zn | −4.9 ± 9.7 a | −13.3 ± 1.6 a | −12.3 ± 0.6 a | −40.9 ± 1.9 b | 37.9 ± 1.9 a | 41.3 ± 2.7 a | 41.9 ± 4.2 a | 35.0 ± 3.8 a |
| Cu | 4.7 ± 2.4 a | 0.9 ± 1.2 a | 3.9 ± 2.1 a | −49.8 ± 4.4 b | 27.9 ± 1.4 b | 26.5 ± 1.9 b | 25.8 ± 4.0 b | 37.1 ± 4.0 a |
| Feces Mineral Composition | ||||
|---|---|---|---|---|
| PM | MIX | BSF | COM | |
| Feces collected | ||||
| g, as is | 2327 ± 77 | 2412 ± 120 | 2571 ± 252 | 2343 ± 184 |
| g DM | 185 ± 8 | 188 ± 6 | 202 ± 16 | 161 ± 14 |
| g DM/kg of feed (as fed) | 55.5 ± 1.0 c | 63.8 ± 2.1 ab | 69.4 ± 3.8 a | 59.3 ± 3.3 bc |
| % feed DM recovered as feces DM | 5.8 ± 0.1 c | 6.7 ± 0.2 ab | 7.2 ± 0.4 a | 6.2 ± 0.3 bc |
| mg/g feces DM | ||||
| N | 29.52 ± 0.40 d | 39.68 ± 1.20 c | 47.20 ± 1.36 b | 52.20 ± 1.18 a |
| P | 46.50 ± 1.15 a | 36.12 ± 0.49 b | 27.93 ± 0.81 d | 29.97 ± 0.21 c |
| K | 0.77 ± 0.02 c | 1.02 ± 0.03 b | 1.08 ± 0.05 b | 1.25 ± 0.06 a |
| Mg | 2.14 ± 0.05 b | 2.17 ± 0.05 b | 2.09 ± 0.08 b | 2.65 ± 0.04 a |
| S | 3.69 ± 0.04 c | 5.68 ± 0.08 b | 6.47 ± 0.27 a | 6.55 ± 0.17 a |
| Ca | 83.62 ± 2.44 a | 67.85 ± 0.86 b | 50.24 ± 1.98 c | 52.78 ± 0.54 c |
| Fe | 3.40 ± 0.02 a | 3.69 ± 0.19 a | 3.73 ± 0.43 a | 2.08 ± 0.21 b |
| Mn | 0.67 ± 0.02 a | 0.63 ± 0.05 a | 0.49 ± 0.08 a | 0.08 ± 0.01 b |
| Zn | 1.90 ± 0.09 a | 1.71 ± 0.08 b | 1.58 ± 0.08 b | 0.65 ± 0.05 c |
| Cu | 0.14 ± 0.01 a | 0.13 ± 0.01 b | 0.11 ± 0.01 b | 0.08 ± 0.01 c |
Disclaimer/Publisher’s Note: The statements, opinions and data contained in all publications are solely those of the individual author(s) and contributor(s) and not of MDPI and/or the editor(s). MDPI and/or the editor(s) disclaim responsibility for any injury to people or property resulting from any ideas, methods, instructions or products referred to in the content. |
© 2023 by the authors. Licensee MDPI, Basel, Switzerland. This article is an open access article distributed under the terms and conditions of the Creative Commons Attribution (CC BY) license (https://creativecommons.org/licenses/by/4.0/).
Share and Cite
Shaw, C.; Knopf, K.; Klatt, L.; Marin Arellano, G.; Kloas, W. Closing Nutrient Cycles through the Use of System-Internal Resource Streams: Implications for Circular Multitrophic Food Production Systems and Aquaponic Feed Development. Sustainability 2023, 15, 7374. https://doi.org/10.3390/su15097374
Shaw C, Knopf K, Klatt L, Marin Arellano G, Kloas W. Closing Nutrient Cycles through the Use of System-Internal Resource Streams: Implications for Circular Multitrophic Food Production Systems and Aquaponic Feed Development. Sustainability. 2023; 15(9):7374. https://doi.org/10.3390/su15097374
Chicago/Turabian StyleShaw, Christopher, Klaus Knopf, Laura Klatt, Gabina Marin Arellano, and Werner Kloas. 2023. "Closing Nutrient Cycles through the Use of System-Internal Resource Streams: Implications for Circular Multitrophic Food Production Systems and Aquaponic Feed Development" Sustainability 15, no. 9: 7374. https://doi.org/10.3390/su15097374
APA StyleShaw, C., Knopf, K., Klatt, L., Marin Arellano, G., & Kloas, W. (2023). Closing Nutrient Cycles through the Use of System-Internal Resource Streams: Implications for Circular Multitrophic Food Production Systems and Aquaponic Feed Development. Sustainability, 15(9), 7374. https://doi.org/10.3390/su15097374

