Modeling and Simulation of a Transient Process and an Analysis of Transient Characteristics in the Switching Operation of Disconnectors
Abstract
1. Introduction
2. The Arc Model
2.1. Single Breakdown Model
- Pre-breakdown stage
- Steady burning stage:
- Arc extinction stage [19]
2.2. Reburning Criterion
- Switching on
- Switching off
2.3. Extinction Criterion
2.4. Dynamic Reignition Model
- Sample the gap voltage ∆u and calculate the critical breakdown voltage uB.
- Compare ∆u and uB according to the reburning criterion. If ∆u > uB, the gap is broken down and the arc starts to burn; otherwise, return to Step 1.
- Remain in the steady burning stage and perform the logic operation according to the extinction criterion.
- If the current crosses zero slowly, enter the arc extinction stage; otherwise, return to Step 3.
- Judge whether the switching operation has completed. If it is, the entire judgment process ends; otherwise, return to Step 1.
3. Validation of the Arc Model
3.1. Laboratory Experiment
- Aerial conductor (distributed parameter model):Line 1: L1 = 4.5 m, Z1 = 266 Ω, v1 = 300 m/μs;Line 2: L2 = 3.0 m, Z2 = 121 Ω, v2 = 300 m/μs.
- Earth capacity (source side): 6300 pF.
- Capacitance divider: main capacitor 411 pF, transformation ratio 2000:1.
- Lumped capacity of voltage transformer: 1000 pF.
- Load capacitance: 5000 pF.
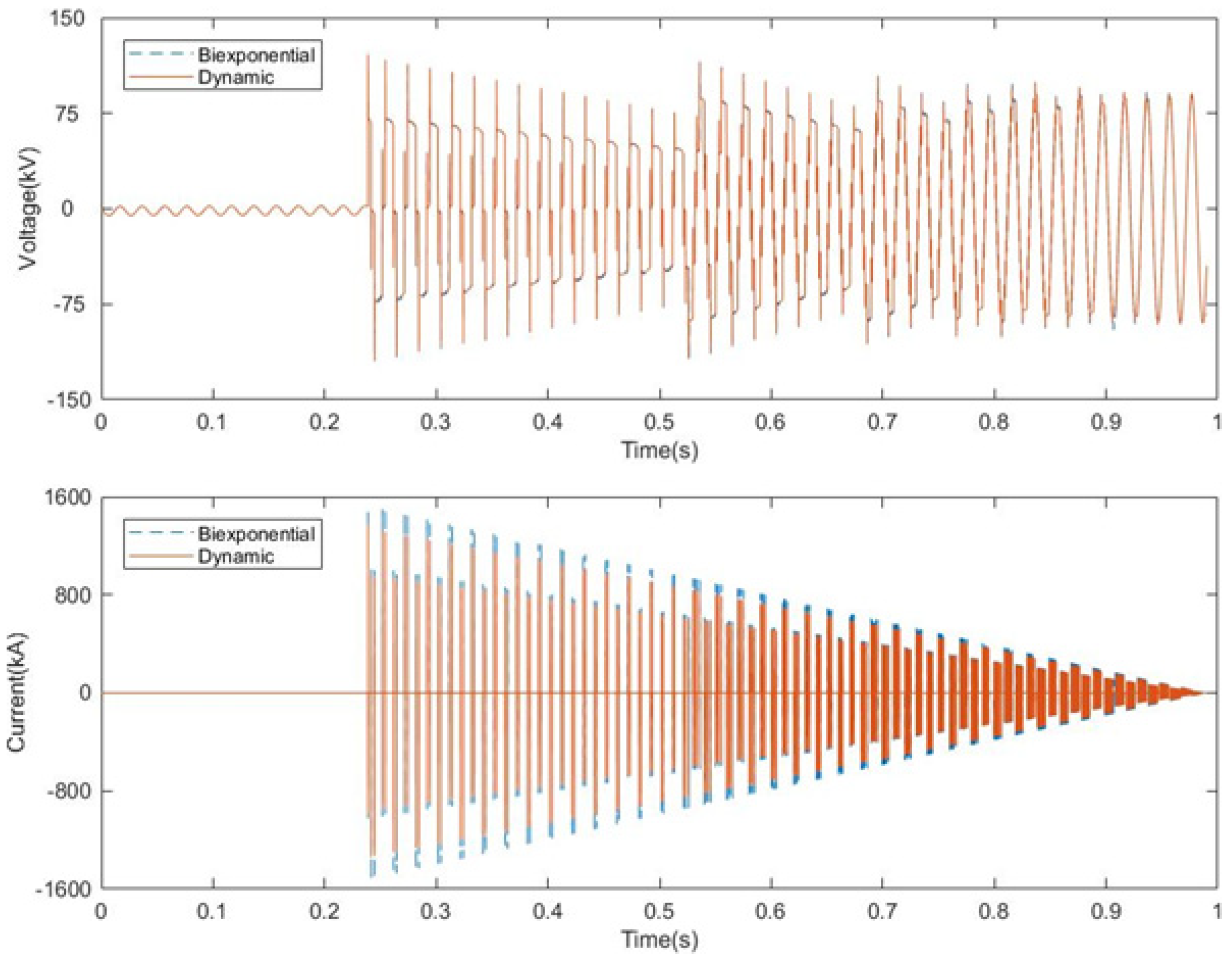
3.2. Comparison and Analysis of the Arc Models
4. Analysis of the Factors Influencing the Simulation
4.1. Influence of the Arc’s Resistance
4.2. Influence of Line Length
4.3. Influence of Breakdown Delay
5. Conclusions
- With the increase in the arc’s resistance, the peak values of the transient voltage and current decreased, and the duration time was shortened.
- With the extension of line length, the peak value of VFTO increased, while the peak value of VFTC, inhibited by the growth of equivalent inductance, tended to decrease, and the arc decayed more slowly and lasted longer.
- With prolongation of the breakdown delay, the pre-breakdown process became milder, and thus reduced the peak value and steepness of VFTO and VFTC.
Author Contributions
Funding
Institutional Review Board Statement
Informed Consent Statement
Data Availability Statement
Acknowledgments
Conflicts of Interest
References
- Yang, N.; Qin, T.; Wu, L.; Huang, Y.; Huang, Y.; Xing, C.; Zhang, L.; Zhu, B. A multi-agent game based joint planning approach for electricity-gas integrated energy systems considering wind power uncertainty. Electr. Power Syst. Res. 2022, 204, 107673. [Google Scholar] [CrossRef]
- Zhang, Y.; Wei, L.; Fu, W.; Chen, X.; Hu, S. Secondary frequency control strategy considering DoS attacks for MTDC system. Electr. Power Syst. Res. 2023, 214, 108888. [Google Scholar] [CrossRef]
- Rezk, H.; Mohamed, M.A.; Diab, A.A.Z.; Kanagaraj, N. Load frequency control of multi-interconnected renewable energy plants using multi-verse optimizer. Comput. Syst. Sci. Eng. 2021, 37, 219–231. [Google Scholar] [CrossRef]
- Li, Z.; Jiang, W.; Abu-Siada, A.; Li, Z.; Xu, Y.; Liu, S. Research on a composite voltage and current measurement device for HVDC networks. IEEE Trans. Ind. Electron. 2021, 68, 8930–8941. [Google Scholar] [CrossRef]
- Dutta, A.K.; Faraj, M.A.; Albagory, Y.; Alzamil, M.M.; Sait, A.R.W. Intelligent smart grid stability predictive model for cyber-physical energy systems. Comput. Syst. Sci. Eng. 2023, 44, 1219–1231. [Google Scholar] [CrossRef]
- Yang, N.; Dong, Z.; Wu, L.; Zhang, L.; Shen, X.; Chen, D.; Zhu, B.; Liu, Y. A comprehensive review of security-constrained unit commitment. J. Mod. Power Syst. Clean Energy 2021, 10, 562–576. [Google Scholar] [CrossRef]
- Yang, N.; Yang, C.; Xing, C.; Ye, D.; Jia, J.; Chen, D.; Shen, X.; Huang, Y.; Zhang, L.; Zhu, B. Deep learning-based SCUC decision-making: An intelligent data-driven approach with self-learning capabilities. IET Gener. Transm. Distrib. 2022, 16, 629–640. [Google Scholar] [CrossRef]
- Zhang, Y.; Xie, X.; Fu, W.; Chen, X.; Hu, S.; Zhang, L.; Xia, Y. An Optimal Combining Attack Strategy Against Economic Dispatch of Integrated Energy System. IEEE Trans. Circuits Syst. II Express Briefs 2023, 70, 246–250. [Google Scholar] [CrossRef]
- Khan, W.A.; Bi, T.; Jia, K. A review of single phase adaptive auto-reclosing schemes for EHV transmission lines. Prot. Control Mod. Power Syst. 2019, 4, 1–10. [Google Scholar] [CrossRef]
- Chen, J.; Wu, G.; Jian, X.; Cai, L.; Chen, S.; Chen, R. Research on state monitoring system of intelligent disconnecting switch based on sensing technology. Front. Energy Res. 2022, 10, 895301. [Google Scholar] [CrossRef]
- Li, Z.; Yu, C.; Abu-Siada, A.; Li, H.; Li, Z.; Zhang, T.; Xu, Y. An online correction system for electronic voltage transformers. Int. J. Electr. Power Energy Syst. 2021, 126, 106611. [Google Scholar] [CrossRef]
- Chen, X.; He, Z.; Zhang, Y.; Si, J.; Wang, S.; Wan, B.; Liu, J. Research on conducted disturbance to secondary cable caused by disconnector switching operation. Front. Energy Res. 2022, 9, 819021. [Google Scholar] [CrossRef]
- Yang, G.; Zhu, Y.; Zen, F.; Zhou, S.; Chen, Y. Electromagnetic transient characteristics and overvoltage suppression strategy of renewable energy-oriented power system connected by gas-insulated transmission lines. Front. Energy Res. 2022, 10, 991355. [Google Scholar] [CrossRef]
- Habedank, U. Application of a new arc model for the evaluation of short-circuit breaking tests. IEEE Trans. Power Deliv. 2002, 8, 1921–1925. [Google Scholar] [CrossRef]
- Schwarz, J. Dynamisches verhalten eines gasbeblasenen turbulenzbestimmten schaltlichtbogens. ETZ-A 1971, 92, 389–391. [Google Scholar]
- Meng, T.; Lin, X.; Xu, J. Calculation of very fast transient over-voltage on the condition of segmental arcing model. Trans. China Electrotech. Soc. 2010, 25, 69–73. (In Chinese) [Google Scholar]
- Lin, X.; Wang, N.; Xu, J. Arcing model of a disconnector and its effect on VFTO. Plasma Sci. Technol. 2013, 15, 644–647. [Google Scholar] [CrossRef]
- Li, Z.; Shen, J.; Li, H.; Wu, L.; Zhang, T.; Xu, Y. Research on arc model of disconnector for conduction interference of electronic transformer. In Proceedings of the 2019 4th International Conference on Intelligent Green Building and Smart Grid (IGBSG), Yichang, China, 6–9 September 2019; pp. 443–447. [Google Scholar]
- Schavemaker, P.H.; Van, D. An improved Mayr-type arc model based on current-zero measurements [circuit breakers]. IEEE Trans. Power Deliv. 2000, 15, 580–584. [Google Scholar] [CrossRef]
- Feng, B.; Xu, J.; Hao, S. Research the effect of UHV GIS disconnector contact shape on the multi-restrike. In Proceedings of the 2016 China International Conference on Electricity Distribution (CICED), Xi’an, China, 10–13 August 2016; pp. 1–4. [Google Scholar]
- Shu, Y.; Han, B.; Lin, J.; Chen, W.; Ban, L.; Xiang, Z.; Chen, G. Influence of the switching speed of the disconnector on very fast transient overvoltage. IEEE Trans. Power Deliv. 2013, 28, 2080–2084. [Google Scholar]
- Xin, W.; Zhang, G.; Wang, J.; Liu, K.; Geng, Y. Simulation of very fast transient overvoltage caused by disconnector switch operation in SF6 Gas insulated switchgear using multi-restrike arcing model. In Proceedings of the 2013 2nd International Conference on Electric Power Equipment-Switching Technology (ICEPE-ST), Matsue, Japan, 20–23 October 2013; pp. 1–4. [Google Scholar]
- Martin, T.H. An empirical formula for gas switch breakdown delay. In Proceedings of the 7th Pulsed Power Conference, Monterey, CA, USA, 11–14 June 1989; pp. 73–79. [Google Scholar]








| No. | VFTO | VFTC | ||||
|---|---|---|---|---|---|---|
| Peak Value (p.u.) | Tr (μs) | Td (μs) | Peak Value (A) | Tr (μs) | Td (μs) | |
| 1 | −1.234 | 0.75 | 11.59 | −1458.661 | 0.39 | 11.67 |
| 2 | 1.362 | 0.73 | 11.02 | −1381.890 | 0.37 | 13.16 |
| 3 | 1.177 | 0.73 | 9.87 | −998.031 | 0.39 | 13.02 |
| 4 | 1.153 | 0.74 | 11.33 | −1023.622 | 0.42 | 13.27 |
| 5 | 1.357 | 0.85 | 11.09 | −998.031 | 0.46 | 12.95 |
| 6 | 1.256 | 0.77 | 10.21 | −1356.299 | 0.43 | 14.70 |
| 7 | 1.257 | 0.86 | 10.99 | −1023.622 | 0.44 | 13.89 |
| 8 | 1.183 | 0.81 | 11.91 | −1177.165 | 0.41 | 14.42 |
| Voltage | Current | |||||
|---|---|---|---|---|---|---|
| Peak Value (p.u). | Tr (μs) | Td (μs) | Peak Value (A) | Tr (μs) | Td (μs) | |
| Biexponential | 1.345 | 0.745 | 10.83 | −1517.593 | 0.343 | 20.97 |
| Dynamic | 1.347 | 0.775 | 10.83 | 1376.103 | 0.373 | 11.82 |
| Measured | 1.153–1.362 | 0.73–0.86 | 9.87–11.91 | 998.031–1458.661 | 0.37–0.46 | 11.67–14.70 |
Disclaimer/Publisher’s Note: The statements, opinions and data contained in all publications are solely those of the individual author(s) and contributor(s) and not of MDPI and/or the editor(s). MDPI and/or the editor(s) disclaim responsibility for any injury to people or property resulting from any ideas, methods, instructions or products referred to in the content. |
© 2023 by the authors. Licensee MDPI, Basel, Switzerland. This article is an open access article distributed under the terms and conditions of the Creative Commons Attribution (CC BY) license (https://creativecommons.org/licenses/by/4.0/).
Share and Cite
Tong, Y.; Wang, Q.; Wang, Y.; Liu, X. Modeling and Simulation of a Transient Process and an Analysis of Transient Characteristics in the Switching Operation of Disconnectors. Sustainability 2023, 15, 6822. https://doi.org/10.3390/su15086822
Tong Y, Wang Q, Wang Y, Liu X. Modeling and Simulation of a Transient Process and an Analysis of Transient Characteristics in the Switching Operation of Disconnectors. Sustainability. 2023; 15(8):6822. https://doi.org/10.3390/su15086822
Chicago/Turabian StyleTong, Yue, Qi Wang, Yuqing Wang, and Xiang Liu. 2023. "Modeling and Simulation of a Transient Process and an Analysis of Transient Characteristics in the Switching Operation of Disconnectors" Sustainability 15, no. 8: 6822. https://doi.org/10.3390/su15086822
APA StyleTong, Y., Wang, Q., Wang, Y., & Liu, X. (2023). Modeling and Simulation of a Transient Process and an Analysis of Transient Characteristics in the Switching Operation of Disconnectors. Sustainability, 15(8), 6822. https://doi.org/10.3390/su15086822
