Maturity Analysis of Stock Exchanges in Africa: Prepandemic Sustainability Perspective
Abstract
1. Introduction
2. Literature Review
2.1. Impact of Stock Exchanges in Africa
2.2. Sustainability of Stock Markets
2.3. Concept from the Gaps in the Literature
2.3.1. Hypotheses
2.3.2. Research Questions
- RQ1.
- Are African stock exchanges ready for foreign capital? This relates to the potential of African markets’ readiness for international capital requirements.
- RQ2.
- What is the role of African stock exchanges in sustainable development?
- RQ3.
- Do active and matured stock exchanges engage more strongly in sustainable development given foreign investors, conglomerates, and companies in international supply chains? This relates to whether they are obliged to act sustainability and whether regulatory requirements exist and are enforced.
- RQ4.
- What makes African markets attractive, and how could they fulfill and perform the functions of the financial market, according to Bodie et al. [16]?
- RQ5.
- Are African markets attractive from the perspective of global investors under the growing amount of assets they manage?
3. Materials and Methods
3.1. Selection of Stock Exchanges
3.2. Variables and Measures Selection
- Prepandemic research results on the sustainability of stock exchanges, published in 2018 and 2019 by SSEI, WFE, and ASEA;
- Information concerning ESG, published by individual exchanges on their websites from Q1 of 2021; and
- Information on the membership of exchanges in initiatives for capital market sustainability—based on data from each particular initiative website.
3.3. Normalization Process
4. Results and Discussion
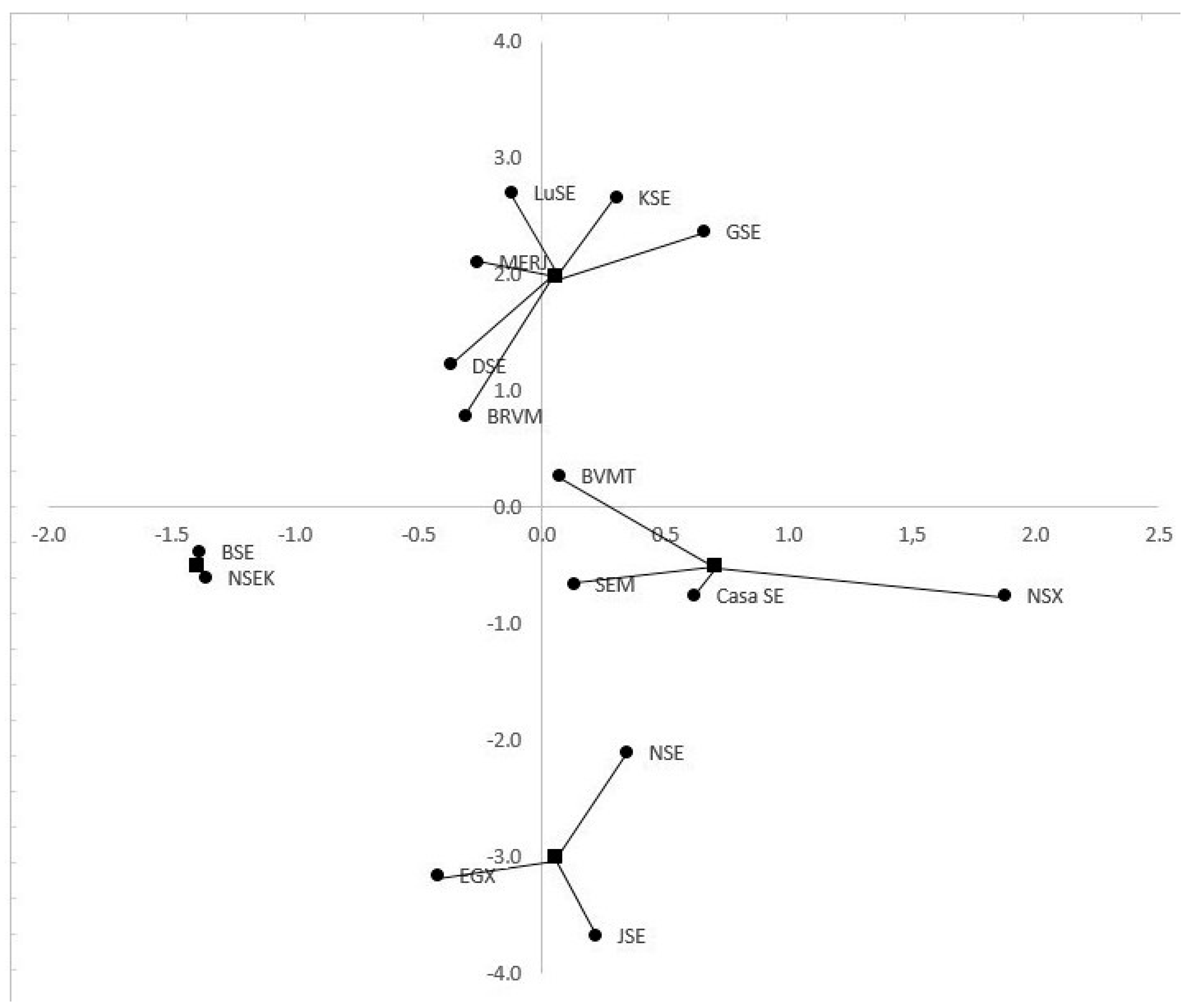
4.1. Exploratory Factor Analysis
4.2. Robustness Check of the EFA Classification
4.3. Sustainable Stock Market Finance: General Discussion
5. Conclusions
Author Contributions
Funding
Institutional Review Board Statement
Informed Consent Statement
Data Availability Statement
Acknowledgments
Conflicts of Interest
References
- Meadows, D.H.; Meadows, D.L.; Randers, J.; Behrens, W.W. The Limits to Growth: A Report for the Club of Rome’s Project on the Predicament of Mankind; Universe Books: New York, NY, USA, 1972; ISBN 978-0-87663-165-2. [Google Scholar]
- World Bank. World Development Report 2000/2001: Attacking Poverty; Oxford University Press: New York, NY, USA, 2001. [Google Scholar]
- UNEP. Global Environment Outlook 2000; United Nations Environment Programme: Nairobi, Kenya, 1999. [Google Scholar]
- Elkington, J. Towards the Sustainable Corporation: Win-Win-Win Business Strategies for Sustainable Development. Calif. Manag. Rev. 1994, 36, 90–100. [Google Scholar] [CrossRef]
- Elkington, J. Cannibals with Forks: The Triple Bottom Line of 21st Century Business; Capstone: Oxford, UK, 1997; ISBN 1-900961-27-X. [Google Scholar]
- Cirella, G.T.; Tao, L. The Index of Sustainable Functionality: An Application for Measuring Sustainability. Int. J. Humanit. Soc. Sci. 2009, 3, 268–274. [Google Scholar]
- Kyove, J.; Streltsova, K.; Odibo, U.; Cirella, G.T. Globalization Impact on Multinational Enterprises. World 2021, 2, 216–230. [Google Scholar] [CrossRef]
- Oniszczuk-Jastrząbek, A.; Czermański, E.; Cirella, G.T. Sustainable Supply Chain of Enterprises: Value Analysis. Sustainability 2020, 12, 419. [Google Scholar] [CrossRef]
- UN United Nations Sustainable Development Goals. Available online: http://www.un.org/ga/search/view_doc.asp?symbol=A/RES/70/1&Lang=E (accessed on 3 May 2019).
- Maltais, A.; Nykvist, B. Understanding the Role of Green Bonds in Advancing Sustainability. J. Sustain. Financ. Investig. 2020, 1–20. [Google Scholar] [CrossRef]
- UNCTAD. Promoting Entrepreneurship for Sustainable Development: A Selection of Business Cases from the Empretec Network; United Nations Conference on Trade and Development; United Nations Publication: New York, NY, USA, 2017. [Google Scholar]
- UNCTAD. International Production beyond the Pandemic: 30th Anniversary Edition; World Investment Report; United Nations: Geneva, Switzerland, 2020; ISBN 978-92-1-112985-4. [Google Scholar]
- Zhan, J.X.; Santos-Paulino, A.U. Investing in the Sustainable Development Goals: Mobilization, Channeling, and Impact. J. Int. Bus. Policy 2021, 4, 166–183. [Google Scholar] [CrossRef]
- Sustainable Human–Nature Relations: Environmental Scholarship, Economic Evaluation, Urban Strategies; Cirella, G.T., Ed.; Advances in 21st Century Human Settlements; Springer: Singapore, 2020; ISBN 978-981-15-3048-7. [Google Scholar]
- Manasseh, C.O.; Mathew, T.E.; Ogbuabor, J.E. Investigating the Nexus between Institutional Quality and Stock Market Development in Nigeria: An Autoregressive Distributed Lag (ARDL) Approach. Afr. Dev. Rev. 2017, 29, 272–292. [Google Scholar] [CrossRef]
- Bodie, Z.; Kane, A.; Marcus, A. Investments, 12th ed.; McGraw-Hill: New York, NY, USA, 2021; ISBN 978-1-260-01383-2. [Google Scholar]
- Alley, I. Private Capital Flows and Economic Growth of Sub-Saharan African Countries. Afr. Dev. Rev. 2015, 27, 469–483. [Google Scholar] [CrossRef]
- Gemeda, B.S.; Abebe, B.G.; Paczoski, A.; Xie, Y.; Cirella, G.T. What Motivates Speculators to Speculate? Entropy 2019, 22, 59. [Google Scholar] [CrossRef] [PubMed]
- Pelizzo, R.; Araral, E.; Pak, A.; Xun, W. Determinants of Bribery: Theory and Evidence from Sub-Saharan Africa. Afr. Dev. Rev. 2016, 28, 229–240. [Google Scholar] [CrossRef]
- African Development Bank African Economic Outlook 2020. Available online: https://www.afdb.org/en/news-keywords/african-economic-outlook-2020 (accessed on 3 March 2023).
- UN Economic Commission for Africa. Africa Regional Report on the Sustainable Development Goals; United Nations Economic Commission for Africa: Addis Ababa, Ethiopia, 2015. [Google Scholar]
- Uncertainty Shocks in Africa: Impact and Equilibrium Strategies for Sound Economic and Social Development; Cirella, G.T., Ed.; Advances in African Economic, Social and Political Development; Springer: Cham, Germany, 2023; ISBN 978-3-031-21884-2. [Google Scholar]
- UNCTAD. Structural Transformation and Sustainable Development in Africa; Economic Development in Africa Report; United Nations Conference on Trade and Development; United Nations Publication: New York, NY, USA, 2012; ISBN 978-92-1-055595-1. [Google Scholar]
- Schiereck, D.; Freytag, A.; Grimm, M.; Bretschneider, W.H. Public Corporations in Africa: A Continental Survey on Stock Exchanges and Capital Markets Performance; Jena Economic Research Papers; Jena Economic Research: Jena, Germany, 2018. [Google Scholar]
- Klagge, B.; Zademach, H.-M. International Capital Flows, Stock Markets, and Uneven Development: The Case of Sub-Saharan Africa and the Sustainable Stock Exchanges Initiative (SSEI). Z. Für Wirtsch. 2018, 62, 92–107. [Google Scholar] [CrossRef]
- Marbuah, G. Scoping the Sustainable Finance Landscape in Africa: The Case of Green Bonds; Stockholm Sustainable Finance Centre: Stockholm, Sweden, 2020. [Google Scholar]
- Ncube, G.; Mingiri, K.F. Stock Market Integration in Africa: The Case of the Johannesburg Stock Exchange and Selected African Countries. IBER 2015, 14, 367–386. [Google Scholar] [CrossRef]
- Odera, O. Theoretical Issues on the African Stock Markets and Portfolio Performance. J. Econ. Int. Financ. 2012, 4, 19–28. [Google Scholar] [CrossRef]
- Andrianaivo, M.; Yartey, C.A. Understanding the Growth of African Financial Markets. Afr. Dev. Rev. 2010, 22, 394–418. [Google Scholar] [CrossRef]
- Raubenheimer, H. African Capital Markets: Challenges and Opportunities; CFA Institute Research Foundation Briefs: Charlottesville, VA, USA, 2019; ISBN 978-1-944960-87-2. [Google Scholar]
- Abdulkadir, R.I.; Abdullah, N.A.H.; Wong, W.-C. Dividend Payment Behaviour and Its Determinants: The Nigerian Evidence. Afr. Dev. Rev. 2016, 28, 53–63. [Google Scholar] [CrossRef]
- Lucas, R.E. On the Mechanics of Economic Development. J. Monet. Econ. 1988, 22, 3–42. [Google Scholar] [CrossRef]
- Beck, T.; Levine, R. Stock Markets, Banks, and Growth: Panel Evidence. J. Bank. Financ. 2004, 28, 423–442. [Google Scholar] [CrossRef]
- Boubakari, A.; Jin, D. The Role of Stock Market Development in Economic Growth: Evidence from Some Euronext Countries. Int. J. Financ. Res. 2010, 1, 14–20. [Google Scholar] [CrossRef]
- El Menyari, Y. Financial Development, Foreign Banks and Economic Growth in Africa. Afr. Dev. Rev. 2019, 31, 190–201. [Google Scholar] [CrossRef]
- King, R.G.; Levine, R. Finance and Growth: Schumpeter Might Be Right. Q. J. Econ. 1993, 108, 717–737. [Google Scholar] [CrossRef]
- Levine, R. Finance and Growth: Theory and Evidence; Working Paper Series; National Bureau of Economic Research: New York, NY, USA, 2004. [Google Scholar]
- Pradhan, R.P.; Arvin, M.; Norman, N.R.; Hall, J.H. The Dynamics of Banking Sector and Stock Market Maturity and the Performance of Asian Economies: Time Series Evidence. J. Econ. Adm. Sci. 2014, 30, 16–44. [Google Scholar] [CrossRef]
- Assefa, T.A.; Mollick, A.V. Financial Development and Economic Growth in Africa. J. Afr. Bus. 2017, 18, 320–339. [Google Scholar] [CrossRef]
- Bonuedi, I.; Kamasa, K.; Boateng, E. The Growth Effects of the Bulging Economically Active Population in Sub-Saharan Africa: Do Institutions Matter? Afr. Dev. Rev. 2019, 31, 71–86. [Google Scholar] [CrossRef]
- UNCTAD. Economic Development in Africa Report 2017: Tourism for Transformative and Inclusive Growth; Economic Development in Africa Report; United Nations Conference on Trade and Development; United Nations Publication: New York, NY, USA, 2017. [Google Scholar]
- Busch, T.; Bauer, R.; Orlitzky, M. Sustainable Development and Financial Markets: Old Paths and New Avenues. Bus. Soc. 2016, 55, 303–329. [Google Scholar] [CrossRef]
- SSEI 10 Years of Impact and Progress: Sustainable Stock Exchanges 2009–2019. Available online: https://sseinitiative.org/wp-content/uploads/2019/12/SSE-10-year-impact-report.pdf (accessed on 3 March 2023).
- WFE WFE Annual Sustainability Survey 2019. Available online: https://www.world-exchanges.org/storage/app/media/WFE%20Annual%20Sustainability%20Survey%202019%20-%20Final%2023.04.2019.pdf (accessed on 3 March 2023).
- ASEA-SWG Sustainability Progress Report; African Securities Exchanges Association: Cairo, Egypt, 2019.
- Kalinowski, M. Stock Exchanges Sustainability Support Assessment. Copernic. J. Financ. Account. 2014, 3, 37–48. [Google Scholar] [CrossRef]
- SSEI. WFE How Exchanges Can Embed Sustainability within Their Operations: A Blueprint to Advance Action. Available online: https://sseinitiative.org/wp-content/uploads/2019/12/SSE-WFE-Embedding-Sustainability-Report.pdf (accessed on 3 March 2023).
- Lamichhane, S.; Eğilmez, G.; Gedik, R.; Bhutta, M.K.S.; Erenay, B. Benchmarking OECD Countries’ Sustainable Development Performance: A Goal-Specific Principal Component Analysis Approach. J. Clean. Prod. 2021, 287, 125040. [Google Scholar] [CrossRef]
- Swiss Re Home Page. Available online: https://www.swissre.com/ (accessed on 15 September 2021).
- Marcinkowska, M. Odpowiedzialne Przedsiębiorstwo Na Rynku Kapitałowym-Czyli o Giełdowych Indeksach Zrównoważonego Rozwoju (A Responsible Company on the Capital Market-or about Stock Exchange Indices of Sustainable Development). In Przedsiębiorstwo na Rynku Kapitałowym (Enterprise on the Capital Market); Duraj, J., Ed.; WUŁ: Łódź, Poland, 2010; pp. 123–144. [Google Scholar]
- Chatterji, A.; Levine, D. Breaking down the Wall of Codes: Evaluating Non-Financial Performance Measurement. Calif. Manag. Rev. 2006, 48, 29–51. [Google Scholar] [CrossRef]
- Sikacz, H. Porównanie wyników wybranych indeksów giełdowych przedsiębiorstw społecznie odpowiedzialnych na świecie (Comparison of the results of selected stock indices of socially responsible enterprises in the world). Comp. Results Some Stock Mark. Indices List. Corp. Soc. Responsible World 2016, 4, 213–227. [Google Scholar]
- Slager, R.; Chapple, W. Carrot and Stick? The Role of Financial Market Intermediaries in Corporate Social Performance. Bus. Soc. 2016, 55, 398–426. [Google Scholar] [CrossRef]
- Vives, A.; Wadhwa, B. Sustainability Indices in Emerging Markets: Impact on Responsible Practices and Financial Market Development. J. Sustain. Financ. Investig. 2012, 2, 318–337. [Google Scholar] [CrossRef]
- Yilmaz, M.K.; Aksoy, M.; Tatoglu, E. Does the Stock Market Value Inclusion in a Sustainability Index? Evidence from Borsa Istanbul. Sustainability 2020, 12, 483. [Google Scholar] [CrossRef]
- Deng, X.; Cheng, X. Can ESG Indices Improve the Enterprises’ Stock Market Performance?—An Empirical Study from China. Sustainability 2019, 11, 4765. [Google Scholar] [CrossRef]
- Lean, H.H.; Pizzutilo, F. Performances and Risk of Socially Responsible Investments across Regions during Crisis. Int. J. Financ. Econ. 2021, 26, 3556–3568. [Google Scholar] [CrossRef]
- Nitani, M.; Carriere, B.; Bleackley, A. Recognizing Corporate Citizenship: Market Reactions. J. Sustain. Financ. Investig. 2015, 5, 85–102. [Google Scholar] [CrossRef]
- Ho, M. The Social Construction Perspective on ESG Issues in SRI Indices. J. Sustain. Financ. Investig. 2013, 3, 360–373. [Google Scholar] [CrossRef]
- UNCTAD. World Investment Report 2020; United Nations: New York, NY, USA, 2020. [Google Scholar]
- Deschryver, P.; de Mariz, F. What Future for the Green Bond Market? How Can Policymakers, Companies, and Investors Unlock the Potential of the Green Bond Market? J. Risk Financ. Manag. 2020, 13, 61. [Google Scholar] [CrossRef]
- Inderst, G.; Stewart, F. Incorporating Environmental, Social and Governance (ESG) Factors into Fixed Income Investment; World Bank Group Publication: New York, NY, USA, 2018. [Google Scholar]
- Jones, P.; Comfort, D. Sustainability Bonds and Green Bonds in the Retail Sector. Int. J. Sales Retail. Mark. 2020, 9, 37–43. [Google Scholar]
- UNCTAD. Investment Policy Framework for Sustainable Development; United Nations Conference on Trade and Development; United Nations Publication: New York, NY, USA, 2015. [Google Scholar]
- Park, S. Investors as Regulators: Green Bonds and the Governance Challenges of the Sustainable Finance Revolution. Stanf. J. Int. Law 2018, 54, 1–47. [Google Scholar]
- Russo, A.; Mariani, M.; Caragnano, A. Exploring the Determinants of Green Bond Issuance: Going beyond the Long-Lasting Debate on Performance Consequences. Bus. Strategy Environ. 2021, 30, 38–59. [Google Scholar] [CrossRef]
- Erhart, S. Exchange-Traded Green Bonds: Discussion Paper 2018. Available online: https://www.thejei.com/wp-content/uploads/2018/10/Exchange-Traded-Green-Bonds-by-Szilard-Erhart.pdf (accessed on 10 January 2023).
- Berensmann, K. Upscaling Green Bond Markets: The Need for Harmonised Green Bond Standards|Green Finance Platform; Briefing Paper, No. 12; Deutsches Institut für Entwicklungspolitik: Bonn, Germany, 2017. [Google Scholar]
- SSEI How Stock Exchanges Can Grow Green Finance. Available online: https://sseinitiative.org/publication/how-stock-exchanges-can-grow-green-finance/ (accessed on 3 March 2023).
- LSEG Africa Advisory Group Developing the Green Bond Market in Africa; London Stock Exchange Group: London, UK, 2018.
- Tolliver, C.; Keeley, A.R.; Managi, S. Green Bonds for the Paris Agreement and Sustainable Development Goals. Environ. Res. Lett. 2019, 14, 064009. [Google Scholar] [CrossRef]
- Kar, S.; Pritchett, L.; Roy, S.; Sen, K. Doing Business in a Deals World: The Doubly False Premise of Rules Reform. J. Econ. Policy Reform 2022, 25, 361–387. [Google Scholar] [CrossRef]
- Thomas, D. Doing Business Index Faces Credibility Crisis. Available online: https://african.business/2021/02/technology-information/doing-business-index-faces-credibility-crisis (accessed on 16 March 2023).
- Nicola, F.G. Scandal Involving World Bank’s “Doing Business” Index Exposes Problems in Using Sportslike Rankings to Guide Development Goals. Available online: http://theconversation.com/scandal-involving-world-banks-doing-business-index-exposes-problems-in-using-sportslike-rankings-to-guide-development-goals-169691 (accessed on 16 March 2023).
- Slager, R. SRI Indices and Responsible Corporate Behavior: A Study of the FTSE4Good Index. Bus. Soc. 2015, 54, 386–405. [Google Scholar] [CrossRef]
- SSEI 2018 Report on Progress. Available online: https://sseinitiative.org/wp-content/uploads/2018/10/SSE_On_Progress_Report_FINAL.pdf (accessed on 3 March 2023).
- WFE WFE Sustainability Principles. Available online: https://www.world-exchanges.org/storage/app/media/research/Studies_Reports/2018/WFE%20Sustainability%20Principles%20October%202018.pdf (accessed on 3 March 2023).
- WFE; UNCTAD. The Role of Stock Exchanges in Fostering Economic Growth and Sustainable Development; World Federation for Exchanges and United Nations Conference on Trade and Development, United Nations Publication: Geneva, Switzerland, 2017. [Google Scholar]
- AccountAbility AA1000–Stakeholder Engagement Standard. Available online: https://www.accountability.org/standards/ (accessed on 3 March 2023).
- UN Global Compact Homepage. Available online: https://unglobalcompact.org/ (accessed on 3 March 2023).
- Buchholtz, A.; Carroll, A.B. Business and Society, 7th ed.; Cengage Learning: London, UK, 2009; ISBN 978-0-324-58065-5. [Google Scholar]
- Gomez, L.M. CSR Communication Through the Lens of New Media. In Sustainability and Social Responsibility of Accountability Reporting Systems: A Global Approach; Çalıyurt, K.T., Said, R., Eds.; Accounting, Finance, Sustainability, Governance & Fraud: Theory and Application; Springer: Singapore, 2018; pp. 197–217. ISBN 978-981-10-3212-7. [Google Scholar]
- Hetze, K.; Winistörfer, H. CSR Communication on Corporate Websites Compared across Continents. Int. J. Bank Mark. 2016, 34, 501–528. [Google Scholar] [CrossRef]
- GRI Consolidated Set of GRI Sustainability Reporting Standards 2020. Available online: https://www.globalreporting.org/how-to-use-the-gri-standards/gri-standards-english-language/ (accessed on 3 March 2023).
- ISO ISO 26000—Social Responsibility. Available online: https://www.iso.org/iso-26000-social-responsibility.html (accessed on 3 March 2023).
- Kaptein, M.; Schwartz, M.S. The Effectiveness of Business Codes: A Critical Examination of Existing Studies and the Development of an Integrated Research Model. J Bus Ethics 2008, 77, 111–127. [Google Scholar] [CrossRef]
- Mansi, M.; Pandey, R.; Ghauri, E. CSR Focus in the Mission and Vision Statements of Public Sector Enterprises: Evidence from India. Manag. Audit. J. 2017, 32, 356–377. [Google Scholar] [CrossRef]
- Khemir, S.; Baccouche, C.; Ayadi, S.D. The Influence of ESG Information on Investment Allocation Decisions: An Experimental Study in an Emerging Country. J. Appl. Account. Res. 2019, 20, 458–480. [Google Scholar] [CrossRef]
- Kyereboah-Coleman, A. Corporate Governance and Shareholder Value Maximization: An African Perspective. Afr. Dev. Rev. 2007, 19, 350–367. [Google Scholar] [CrossRef]
- Aczel, A.D. Complete Business Statistics, 7th ed.; McGraw-Hill: Chicago, IL, USA, 2009; ISBN 978-0-256-13894-8. [Google Scholar]
- MacQueen, J. Some Methods for Classification and Analysis of Multivariate Observations. In Proceedings of the Fifth Berkeley Symposium on Mathematical Statistics and Probability, Volume 1: Statistics; The Regents of the University of California: Oakland, CA, USA, 1967; Volume 5.1, pp. 281–298. [Google Scholar]
- Data Clustering: Algorithms and Applications, 1st ed.; Aggarwal, C.C., Reddy, C.K., Eds.; Chapman and Hall/CRC: Boca Raton, FL, USA, 2013; ISBN 978-1-4665-5821-2. [Google Scholar]
- Gong, X.; Fu, C.; Huang, Q.; Lin, M. International Political Uncertainty and Climate Risk in the Stock Market. J. Int. Financ. Mark. Inst. Money 2022, 81, 101683. [Google Scholar] [CrossRef]
- Venturini, A. Climate Change, Risk Factors and Stock Returns: A Review of the Literature. Int. Rev. Financ. Anal. 2022, 79, 101934. [Google Scholar] [CrossRef]
- Santi, C. Investor Climate Sentiment and Financial Markets. Int. Rev. Financ. Anal. 2023, 86, 102490. [Google Scholar] [CrossRef]
- Boitan, I.A. Sustainable Stock Market Indices: A Comparative Assessment of Performance. J. Res. Emerg. Mark. 2020, 2, 7–14. [Google Scholar] [CrossRef]
- Renugadevi, T.; Ezhilarasie, R.; Sujatha, M.; Umamakeswari, A. Stock Market Prediction Using Hierarchical Agglomerative and K-Means Clustering Algorithm. Indian J. Sci. Technol. 2016, 9, 1–6. [Google Scholar] [CrossRef]
- Siregar, B.; Pangruruk, F.A. Portfolio Optimization Based on Clustering of Indonesia Stock Exchange: A Case Study of Index LQ45. Indones. J. Bus. Anal. 2021, 1, 59–70. [Google Scholar] [CrossRef]
- Lee, M.-T.; Lee, C.L.; Lee, M.-L.; Liao, C.-Y. Price Linkages between Australian Housing and Stock Markets. Int. J. Hous. Mark. Anal. 2017, 10, 305–323. [Google Scholar] [CrossRef]
- Nakagawa, K.; Imamura, M.; Yoshida, K. Stock Price Prediction Using K-medoids Clustering with Indexing Dynamic Time Warping. Electron. Commun. Jpn. 2019, 102, 3–8. [Google Scholar] [CrossRef]
- Chmielewski, L.J.; Janowicz, M.; Ochnio, L.; Orłowski, A. Clusterization of Indices and Assets in the Stock Market. In Intelligent Data Engineering and Automated Learning–IDEAL 2015; Jackowski, K., Burduk, R., Walkowiak, K., Wozniak, M., Yin, H., Eds.; Springer International Publishing: Cham, Switzerland, 2015; pp. 541–550. [Google Scholar]
- Sariyer, G.; Taşkın, D. Clustering of Firms Based on Environmental, Social, and Governance Ratings: Evidence from BIST Sustainability Index. Borsa Istanb. Rev. 2022, 22, S180–S188. [Google Scholar] [CrossRef]
- Kishan, E.; Kiran, V.U. Sustainable Development Goal-8 for Stock Exchanges: An Evidence-Based Performance Analysis of Indian SME Stock Indices. IUP J. Account. Res. Audit Pract. 2022, 21, 50–86. [Google Scholar]
- Koralun-Bereźnicka, J. Multivariate Comparative Analysis of Stock Exchanges: The European Perspective. In Advances in Data Analysis, Data Handling and Business Intelligence; Fink, A., Lausen, B., Seidel, W., Ultsch, A., Eds.; Springer: Berlin/Heidelberg, Germany, 2010; pp. 461–469. [Google Scholar]
- Acs, Z.J.; Szerb, L.; Song, A.K.; Komlosi, E.; Lafuente, E. The Digital Platform Economy Index 2020; SpringerBriefs in Economics; Springer International Publishing: Cham, Germany, 2022; ISBN 978-3-030-89650-8. [Google Scholar]
- Acs, Z.J. The Digital Platform Economy and the Entrepreneurial State: A European Dilemma. In Questioning the Entrepreneurial State: Status-Quo, Pitfalls, and the Need for Credible Innovation Policy; Wennberg, K., Sandström, C., Eds.; International Studies in Entrepreneurship; Springer International Publishing: Cham, Germany, 2022; pp. 317–344. ISBN 978-3-030-94273-1. [Google Scholar]
- Levine, R.; Zervos, S. Stock Markets, Banks, and Economic Growth. Am. Econ. Rev. 1998, 88, 537–558. [Google Scholar]



| Abbreviation | Country | Stock Exchange Full Name |
| BRVM | Ivory Coast | Bourse Régionale des Valeurs Mobilières |
| BSE | Botswana | Botswana Stock Exchange |
| BVMT | Tunisia | Tunis Stock Exchange |
| CasaSE | Morocco | Casablanca Stock Exchange |
| DSE | Tanzania | Dar es Salaam Stock Exchange |
| EGX | Egypt | The Egyptian Exchange |
| GSE | Ghana | Ghana Stock Exchange |
| JSE | South Africa | Johannesburg Stock Exchange Ltd. |
| KSE | Sudan | Khartoum Stock Exchange |
| LuSE | Zambia | Lusaka Stock Exchange |
| MERJ | Seychelles | MERJ Exchange Ltd. |
| NSEK | Kenya | Nairobi Securities Exchange |
| NSE | Nigeria | Nigerian Stock Exchange |
| NSX | Namibia | Namibian Stock Exchange |
| SEM | Mauritius | Stock Exchange of Mauritius |
| Variable | Supportive Literature |
| ESG and sustainability indices | ASEA-SWG [45] |
| ESG as a listing rule | Maltais and Nykvist [10] |
| ESG or sustainability bonds | Slager [75] |
| ESG reporting obligation or requirements for issuers | SSEI [43,76] |
| Small and medium-sized enterprises’ listings platform | WFE [77]; WFE and UNCTAD [78] |
| Variable | Supportive Literature |
| Participation in Sustainable Stock Exchange Initiative | AccountAbility [79] |
| Membership in World Federation for Exchanges | ASEA-SWG [45] |
| Membership in African Securities Exchanges Association | SSEI [43,76] |
| Participation in other initiatives related to the financial market and dealing with issues of sustainability (e.g., Marrakech Pledge) and initiatives dedicated to sustainable development support (e.g., UN Global Compact) | UN Global Compact [80]; WFE [44] |
| Platform for cooperation with stock exchange stakeholders | WFE and UNCTAD [78] |
| Variable | Supportive Literature |
| Sustainability reporting or ESG issues in annual report of stock exchange | ASEA-SWG [45]; Buchholtz and Carroll [81] |
| Separate tab on stock exchange website, dedicated to ESG and sustainability issues | Gomez [82]; Hetze and Winistörfer [83] |
| Published documents on sustainability and corporate social responsibility issues (e.g., policies, strategies, codes of conduct, etc.) | GRI [84]; ISO [85]; Kaptein and Schwartz [86] |
| References to sustainability in the declaration of stock exchanges (i.e., mission, vision, and values statements) | Mansi et al. [87]; SSEI [43] |
| Published information on the social initiatives of stock exchanges | WFE [44,77] |
| Variable | Supportive Literature |
| Written guidance on responsible investment | ASEA-SWG [45]; Khemir et al. [88] |
| Written guidance on ESG reporting | Kyereboah-Coleman [89]; Park [65] |
| ESG trainings for investor and issuers | SSEI [43,76]; WFE [77] |
| Written guidance on ESG bonds issuing | WFE and UNCTAD [78] |
| Published governance standards including ESG issues | Zhan and Santos-Paulino [13] |
| Stock Exchange † | CAP | LIST | MARK | PART | COM | GUID |
| BRVM | 2 | 3 | 1 | 4 | 3 | 1 |
| BSE | 4 | 1 | 1 | 4 | 4 | 4 |
| BVMT | 3 | 4 | 1 | 4 | 3 | 1 |
| CasaSE | 5 | 4 | 2 | 4 | 3 | 2 |
| DSE | 2 | 1 | 2 | 3 | 3 | 2 |
| EGX | 4 | 5 | 4 | 5 | 5 | 5 |
| GSE | 3 | 2 | 1 | 2 | 1 | 1 |
| JSE | 5 | 5 | 5 | 5 | 5 | 5 |
| KSE | 1 | 3 | 1 | 2 | 1 | 1 |
| LuSE | 1 | 1 | 1 | 3 | 1 | 1 |
| MERJ | 1 | 2 | 1 | 3 | 2 | 1 |
| NSEK | 3 | 3 | 1 | 4 | 4 | 4 |
| NSE | 4 | 5 | 4 | 4 | 4 | 4 |
| NSX | 5 | 2 | 5 | 4 | 3 | 1 |
| SEM | 2 | 4 | 3 | 5 | 3 | 2 |
| Measure | Soft Factor | Hard Factor |
| CAP | 0.418 | 0.722 * |
| LIST | 0.454 | 0.586 ** |
| MARK | 0.280 | 0.880 * |
| PART | 0.743 * | 0.469 |
| COM | 0.900 * | 0.375 |
| GUID | 0.908 * | 0.198 |
| Variance explained | 2.647 | 2.039 |
| Percentage of total variance | 44.1% | 34.0% |
| Cluster | EFA | K-Means | |
| 1 | BRVM DSE GSE KSE LuSE MERJ | BRVM DSE GSE KSE LuSE MERJ | |
| BVMT | ![]() | ||
| 2 | BSE NSEK | BSE NSEK | |
| 3 | CasaSE NSX | BVMT | |
| CasaSE NSX | |||
![]() | SEM | ||
| 4 | EGX JSE NSE | EGX JSE NSE | |
| SEM |
Disclaimer/Publisher’s Note: The statements, opinions and data contained in all publications are solely those of the individual author(s) and contributor(s) and not of MDPI and/or the editor(s). MDPI and/or the editor(s) disclaim responsibility for any injury to people or property resulting from any ideas, methods, instructions or products referred to in the content. |
© 2023 by the authors. Licensee MDPI, Basel, Switzerland. This article is an open access article distributed under the terms and conditions of the Creative Commons Attribution (CC BY) license (https://creativecommons.org/licenses/by/4.0/).
Share and Cite
Próchniak, J.; Płoska, R.; Zamojska, A.; Lepczyński, B.; Cirella, G.T. Maturity Analysis of Stock Exchanges in Africa: Prepandemic Sustainability Perspective. Sustainability 2023, 15, 6820. https://doi.org/10.3390/su15086820
Próchniak J, Płoska R, Zamojska A, Lepczyński B, Cirella GT. Maturity Analysis of Stock Exchanges in Africa: Prepandemic Sustainability Perspective. Sustainability. 2023; 15(8):6820. https://doi.org/10.3390/su15086820
Chicago/Turabian StylePróchniak, Joanna, Renata Płoska, Anna Zamojska, Błażej Lepczyński, and Giuseppe T. Cirella. 2023. "Maturity Analysis of Stock Exchanges in Africa: Prepandemic Sustainability Perspective" Sustainability 15, no. 8: 6820. https://doi.org/10.3390/su15086820
APA StylePróchniak, J., Płoska, R., Zamojska, A., Lepczyński, B., & Cirella, G. T. (2023). Maturity Analysis of Stock Exchanges in Africa: Prepandemic Sustainability Perspective. Sustainability, 15(8), 6820. https://doi.org/10.3390/su15086820



