Study on Wind-Induced Human Comfort of the SEG Plaza under Local Excitation Based on Wind Tunnel Test
Abstract
:1. Introduction
2. Overview of the Project
2.1. Structural Information
2.2. Mast Information
2.3. Real Measurements
3. Wind Tunnel Test
3.1. Test Overview
3.2. Calculation Parameters
3.3. Analysis of Results
4. Sensitivity Analysis
4.1. Calculation Parameters
4.2. Analysis of the Results
5. Response Analysis of the Main Structure with the Factor of Mast Included
5.1. Load Calculation on Vortex-Induced Resonance of the Mast
5.2. Acceleration Response of the Main Structure with the Factor of Mast Included
6. Conclusions
- 1.
- Under the 50-year return period wind pressure condition, the base overturning moment of the main structure excluded the mast factor in the X-direction and Y-direction, which are less than the specification values of 44.08% and 26.10% of the specification ones, respectively; under the measured wind speed and direction condition (10.5 m/s and at the wind direction of 340°), the acceleration was much smaller than the acceleration limit value of the standard, which meets the comfort evaluation requirement.
- 2.
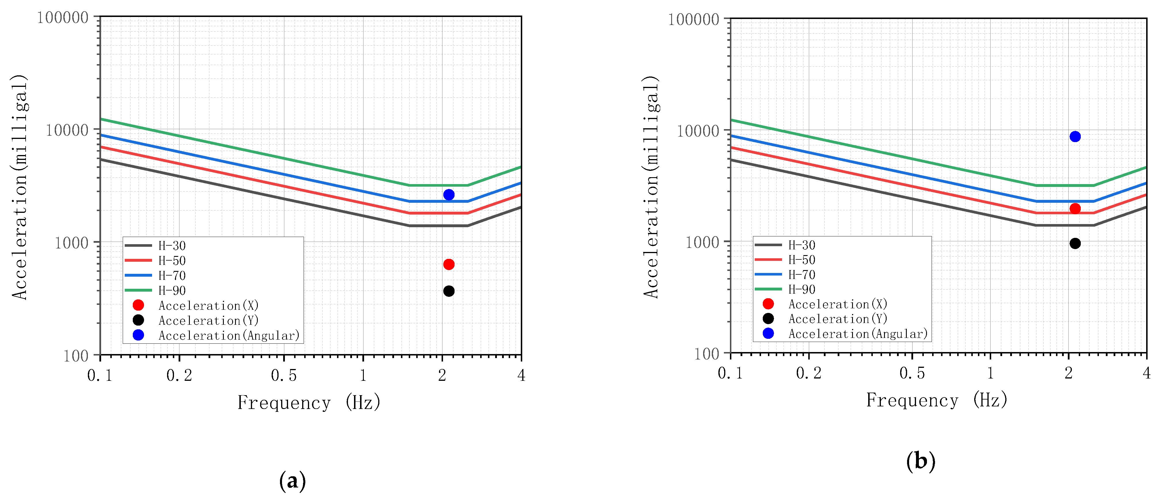
- Sensitivity analysis of the acceleration of the main structure with the mast factor excluded reveals that the acceleration increases with the increase of wind speed and decreases with the increase of damping ratio, the acceleration at the centroid acceleration and the angular acceleration under the most unfavorable operating conditions are lower than the H-30 curve. As a result, it can be concluded that the wind load on the main structure of SEG Plaza had little effect on the vibration of the main structure and was not the major cause of the vibration.
- 3.
- The mast resonates at a 12 m/s wind speed, and the acceleration response of the main structure with mast exceeds the limit when the mast damping ratio is 1% and 0.3%, respectively, in which the angular acceleration even exceeds the limit of H-90 when the mast damping ratio is 0.3%. This indicates that the vibration of the SEG Plaza was mainly due to the third-mode vortex-induced resonance of the top mast, which triggers higher resonance of the main structure.
Supplementary Materials
Author Contributions
Funding
Institutional Review Board Statement
Informed Consent Statement
Data Availability Statement
Conflicts of Interest
References
- Feng, R.; Yan, G.; Ge, J. Effects of high modes on the wind-induced response of super high-rise buildings. Earthq. Eng. Eng. Vib. 2012, 11, 427–434. [Google Scholar]
- Yang, Y.; Ma, F.; Tan, J.; Xie, Z. In site measurement and analyses on boundary layer wind during the SEG Plaza vibration event. J. Build. Struct. 2021, 42, 122–129. (In Chinese) [Google Scholar]
- Zhang, X.; Lei, J.; Zhang, X.; Zhou, X. Analysis of the Causes of Abnormal Vibration of Shenzhen SEG Building. Sci. Technol. Eng. 2021, 21, 10588–10602. (In Chinese) [Google Scholar]
- Li, J. Cause Analysis and Control Scheme of Abnormal Vibration in a High-Rise Building. Master’s Thesis, Guangzhou University, Guangzhou, China, 2022. (In Chinese). [Google Scholar]
- Yang, L.; Yan, Y.; Zhou, Y. Wind tunnel study of wind-induced interference effects on high-rise buildings. Build. Sci. 2019, 35, 66–71. (In Chinese) [Google Scholar]
- Melissa Burton, B.M. Wind-Induced Motion of Tall Buildings: Designing for Occupant Comfort. Int. J. High-Rise Build. 2015, 4, 1–8. [Google Scholar]
- Hu, W.; Tang, D.; Li, J.; Xu, Z.; Wang, Y.; Lu, W.; Li, Z.; Teng, J. Structural dynamic parameter identification of Saige building based on distributed synchronous acquisition method. J. Build. Struct. 2022, 43, 76–84. (In Chinese) [Google Scholar]
- Letchford, C.W.; Sandri, P.; Levitan, M.L.; Mehta, K.C. Frequency response requirements for fluctuating wind pressure measurements. J. Wind. Eng. Ind. Aerodyn. 1992, 40, 263–276. [Google Scholar] [CrossRef]
- DBJ/T 15-216-2021; Comfort Evaluation Standard and Control Technical Specification for Wind-induced Vibration of Tall Building. Guangdong Provincial Department of Housing and Urban-Rural Development, China Architecture & Building Press: Beijing, China, 2021. (In Chinese)
- Peng, H.; Liu, Z.; Liu, H.; Lin, K.; Hu, G. Experimental investigations of interference effects on wind pressures of tall buildings. Adv. Struct. Eng. 2021, 24, 3837–3852. [Google Scholar] [CrossRef]
- Kim, W.; Tamura, Y.; Yoshida, A. Interference effects on local peak pressures between two buildings. J. Wind Eng. Ind. Aerodyn. 2011, 99, 584–600. [Google Scholar] [CrossRef]
- Zhao, X.; Jiang, X. Sensitivity analysis of wind-induced acceleration on design variables for super tall buildings. In Proceedings of the IABSE Conference: Structural Engineering: Providing Solutions to Global Challenges, Geneva, Switzerland, 23–25 September 2015; pp. 593–599. [Google Scholar]
- Architectural Institute of Japan-AIJ. AIJ 2004 Recommendations for Loads on Building; Architectural Institute of Japan: Tokoyo, Japan, 2004. [Google Scholar]
- Chen, D.; Pan, Y.; Liu, Y. Numerical Simulation of Flow Around a Cylinder based on Fluent. In Proceedings of the IOP Conference Series: Materials Science and Engineering, Ulaanbaatar, Mongolia, 10–13 September 2020; IOP Publishing: Bristol, UK, 2020; Volume 750, p. 012213. [Google Scholar]
- Hao, P.; Li, G.; Yang, L.; Chen, G. Large eddy simulation of flow field structure around a cylinder. Chin. J. Appl. Mech. 2012, 29, 437–443, 487–488. (In Chinese) [Google Scholar]
- You, Y.; Yan, Z.; Zhong, Y.; Li, Y. Large Eddy Simulation of the Flow Past a Circular Cylinder. In Proceedings of the 2017 2nd International Conference on Civil, Transportation and Environmental Engineering (ICCTE 2017), Shenzhen, China, 10–11 May 2017; Atlantis Press: Paris, France, 2017; pp. 139–146. [Google Scholar]
- Braza, M.; Perrin, R.; Hoarau, Y. Turbulence properties in the cylinder wake at high Reynolds numbers. J. Fluids Struct. 2006, 22, 757–771. [Google Scholar] [CrossRef]
- Nazvanova, A.; Yin, G.; Ong, M.C. Numerical Investigation of Flow around Two Tandem Cylinders in the Upper Transition Reynolds Number Regime Using Modal Analysis. J. Mar. Sci. Eng. 2022, 10, 1501. [Google Scholar] [CrossRef]
- Krishnan, V.; Squires, K.; Forsythe, J. Prediction of the flow around a circular cylinder at high Reynolds number. In Proceedings of the 44th AIAA Aerospace Sciences Meeting and Exhibit, Reno, Nevada, 9–12 January 2006; p. 901. [Google Scholar]
- Ma, H.; Li, B. CFD-CGDEM coupling model for scour process simulation of submarine pipelines. Ocean Eng. 2023, 271, 113789. [Google Scholar]
- Shi, H. Vortex-Induced Vibration and Fatigue Analysis of Marine Riser. Master’s Thesis, Harbin Engineering University, Harbin, China, 2009. (In Chinese). [Google Scholar]
- Bearman, P.W. Vortex shedding from oscillating bluff bodies. Annu. Rev. Fluids Mech. 2012, 16, 195–222. [Google Scholar] [CrossRef]
- Viré, A.; Derksen, A.; Folkersma, M.; Sarwar, K. Two-dimensional numerical simulations of vortex-induced vibrations for a cylinder in conditions representative of wind turbine towers. Wind. Energy Sci. 2020, 5, 793–806. [Google Scholar]
- Cai, J.; Wang, D.; Fu, P.; Huang, Y. Analysis of Selection for Tower Damping Ratio in Simulations of Wind Turbine. Wind Energy 2013, 118–119. (In Chinese) [Google Scholar] [CrossRef]


















| Vibration Pattern | Period | Frequency | Participating Mass Ratio | ||
|---|---|---|---|---|---|
| UX | UY | UZ | |||
| 1 | 6.590 | 0.1518 | 0.04 | 0.96 | 0 |
| 2 | 6.434 | 0.1554 | 0.96 | 0.04 | 0 |
| 3 | 3.349 | 0.2986 | 0 | 0.01 | 0.99 |
| 4 | 1.715 | 0.5831 | 0 | 1 | 0 |
| 5 | 1.549 | 0.6457 | 1 | 0 | 0 |
| 6 | 1.263 | 0.7915 | 0 | 0.09 | 0.91 |
| 7 | 0.934 | 1.0710 | 0 | 0.29 | 0.71 |
| 8 | 0.819 | 1.2209 | 0.01 | 0.78 | 0.21 |
| 9 | 0.753 | 1.3286 | 0.99 | 0.01 | 0.01 |
| 10 | 0.692 | 1.4455 | 1 | 0 | 0 |
| 11 | 0.631 | 1.5848 | 0.01 | 0.11 | 0.88 |
| 12 | 0.607 | 1.6472 | 0.76 | 0.15 | 0.08 |
| 13 | 0.567 | 1.7624 | 0.12 | 0.82 | 0.06 |
| Basic Wind Pressure (kN/m2) | Direction | Overturning Moment (N·m) | Wind Direction (°) | Description |
|---|---|---|---|---|
| 0.75 | Mx | 3.78 × 109 | 190 | Most unfavorable wind direction |
| My | 3.58 × 109 | 310 | Most unfavorable wind direction | |
| Mx | 2.52 × 109 | 340 | Measured wind direction | |
| My | 1.50 × 109 | 340 | Measured wind direction |
| Operating Conditions | Direction | Acceleration (Milligal) | Wind Direction (°) | Description |
|---|---|---|---|---|
| With perimeter buildings | X | 132.0 | 310 | Most unfavorable wind direction |
| Y | 139.0 | 310 | Most unfavorable wind direction | |
| X | 70.5 | 340 | Measured wind direction | |
| Y | 84.8 | 340 | Measured wind direction | |
| No perimeter building | X | 105.0 | 310 | Most unfavorable wind direction |
| Y | 128.0 | 310 | Most unfavorable wind direction | |
| X | 71.7 | 340 | Measured wind direction | |
| Y | 75.8 | 340 | Measured wind direction |
| Operating Conditions | Angular Acceleration (Milligal) | |||||||
|---|---|---|---|---|---|---|---|---|
| 1 | 2 | 3 | 4 | 5 | 6 | 7 | 8 | |
| With perimeter buildings | 85.83 | 85.82 | 86.16 | 86.16 | 85.81 | 85.83 | 86.21 | 86.21 |
| No perimeter building | 76.11 | 76.09 | 76.34 | 76.35 | 76.10 | 76.10 | 76.39 | 76.40 |
| Frequency Change | Participating Mass Ratio | 1 Mode | 2 Mode | 3 Mode | 4 Mode | 1 Mode/Measured (%) |
|---|---|---|---|---|---|---|
| 5% | UX | 0.1632 | 0.6779 | 1.3950 | 1.5178 | 7.7 |
| UY | 0.1593 | 0.6122 | 1.2819 | 1.8505 | 7.5 | |
| UZ | 0.3136 | 14.8 | ||||
| −5% | UX | 0.1477 | 0.6134 | 1.2621 | 1.3732 | 7.0 |
| UY | 0.1442 | 0.5539 | 1.1598 | 1.6743 | 6.8 | |
| UZ | 0.2837 | 13.4 |
Disclaimer/Publisher’s Note: The statements, opinions and data contained in all publications are solely those of the individual author(s) and contributor(s) and not of MDPI and/or the editor(s). MDPI and/or the editor(s) disclaim responsibility for any injury to people or property resulting from any ideas, methods, instructions or products referred to in the content. |
© 2023 by the authors. Licensee MDPI, Basel, Switzerland. This article is an open access article distributed under the terms and conditions of the Creative Commons Attribution (CC BY) license (https://creativecommons.org/licenses/by/4.0/).
Share and Cite
Xu, W.; Li, R.; Qiu, J.; Li, Q.; Yu, Z. Study on Wind-Induced Human Comfort of the SEG Plaza under Local Excitation Based on Wind Tunnel Test. Sustainability 2023, 15, 3067. https://doi.org/10.3390/su15043067
Xu W, Li R, Qiu J, Li Q, Yu Z. Study on Wind-Induced Human Comfort of the SEG Plaza under Local Excitation Based on Wind Tunnel Test. Sustainability. 2023; 15(4):3067. https://doi.org/10.3390/su15043067
Chicago/Turabian StyleXu, Wei, Renjie Li, Jianlei Qiu, Qingxiang Li, and Zhiwei Yu. 2023. "Study on Wind-Induced Human Comfort of the SEG Plaza under Local Excitation Based on Wind Tunnel Test" Sustainability 15, no. 4: 3067. https://doi.org/10.3390/su15043067
APA StyleXu, W., Li, R., Qiu, J., Li, Q., & Yu, Z. (2023). Study on Wind-Induced Human Comfort of the SEG Plaza under Local Excitation Based on Wind Tunnel Test. Sustainability, 15(4), 3067. https://doi.org/10.3390/su15043067

