Abstract
Emergency vehicle transportation is important for responding to and transporting individuals during emergencies. This type of transportation faces several issues, such as road safety, navigation and communication, time-critical operations, resource utilisation, traffic congestion, data processing and analysis, and individual safety. Vehicle navigation and coordination is a critical aspect of emergency response that involves guiding emergency vehicles, such as ambulances, to the location of an emergency or medical centre as quickly and safely as possible. Therefore, it requires additional effort to reduce driving risks. The roadside units support emergency vehicles and infrastructure to decrease collisions and enhance optimal navigation routes. However, during the emergency vehicle’s data communication and navigation process, communication is interrupted due to vehicle outages. Therefore, this study proposes the Navigation Data Processing for Assisted Driving (NDP-AD) method to address the problem. The proposed approach assimilates infrastructure and neighbouring location information during driving. The integrated information is processed for distance and traffic during the previous displacement interval. The NDP-AD method employs a recurrent neural network learning approach to analyse opposing vehicle distance and traffic to provide accurate, independent guidance. This effective learning-based guidance process minimises false navigations and deviation in displacement. System efficiency is evaluated based on processing latency, displacement error, data utilisation, false rate, and accuracy metrics.
1. Introduction
Vehicle transportation is an important mode of transportation that provides better services and many other benefits, including convenience, speed, and cost-effectiveness than other modes. It allows for the movement of goods and people over short and long distances and is a vital part of the global transportation system. The development of vehicle transportation has significantly impacted economies and societies, facilitating trade, commerce, and communication and helping improve people’s lives. Over the past 30 years, intelligent transport systems technology has greatly transformed traditional transportation systems and services. An intelligent transportation system is a technology-driven system designed to improve transportation safety, efficiency, and sustainability. It integrates advanced communication tools, sensors, navigation systems, data analysis, vehicle detection, and emergency services to provide real-time information and services to provide better user services. The goal is to make transportation safer, more informed, and more coordinated [1]. Emergency vehicle navigation is a critical aspect of emergency response that involves guiding emergency vehicles, such as ambulances, to the location of an emergency or medical centre. Emergency vehicle navigation is a complex task in intelligent transportation systems, enhancing accuracy and providing better service to users [2]. Vehicle navigation is necessary for finding routes and destinations for users, reducing waiting and travel time. The global positioning system (GPS) is widely used in various applications such as navigation, location tracking, mapping, and surveying. It is integrated into vehicles, smartphones, and wearable devices to provide real-time location information. It is also used in agriculture, transportation, logistics, and military fields for precise navigation and tracking [3]. GPS is a satellite-based navigation system that provides location and time information in all weather conditions. It gathers information from sensors via satellites, which helps to identify the exact location and position of users and provides necessary services at the appropriate time. In emergency vehicle navigation, GPS helps to determine the vehicle’s accurate location, track its movements, and provide real-time guidance to the driver. GPS helps emergency vehicles reach their destinations quickly, safely, and efficiently, reducing response times and saving lives. GPS is cost-effective and easily accessible for various data analysis and detection processes in in-vehicle navigation systems. GPS is used in various emergency services such as healthcare services (ambulance and emergency medical services), vehicle services (roadside assistance and towing), and cab services (taxis, rideshare services) to provide accurate location information for efficient management and delivery of services to users [4,5].
Emergency vehicle driving is important for sustainable and safe road user behaviour. Emergency vehicles are responsible for responding to emergencies and providing critical medical and other services to the community [6]. Therefore, drivers need to be conscious of their safety and the safety of others when driving an emergency vehicle. It is crucial to consider the psychological and technological factors that impact road behaviour for safe and efficient emergency vehicle travel to the destination [7]. One of the technological factors that can have a significant impact on emergency vehicle driving is the use of GPS and navigation systems. These systems can provide real-time updates about traffic conditions and route emergency vehicles around congestion or other obstacles, helping to ensure that they can reach their destination as quickly and efficiently as possible [8,9]. Another important technological factor is vehicle-to-everything communication, which enables vehicles to communicate with each other and with infrastructures, such as traffic signals and parking garages. Vehicle-to-everything communication can be used to provide emergency vehicles with priority at intersections or to alert other vehicles to the presence of an emergency vehicle in the area [10]. Overall, technological factors play an important role in emergency vehicle driving and can be used to help improve safety, efficiency, and response times. By considering a range of technological and other factors, it is possible to promote sustainable and safe road user behaviour and ensure that emergency vehicles can navigate safely and efficiently.
Data analysis plays a major role in various vehicle transportation systems, providing necessary information or data for users and organisations. Data analysis predicts traffic flow and tracks other vehicles’ locations during emergency driving [11]. Emergency vehicle driving systems are most widely used during certain important or emergency periods, which are more critical compared to other services [12]. Driving behaviour such as speed, direction, position, and conditions of vehicles are identified by the data analysis process, which helps to provide accurate emergency services to the users. Both traffic and location detection processes play a vital role in providing necessary emergency services to the users, which also helps to avoid unwanted delays in providing services [2,13]. Vehicular Ad Hoc Network is also used in the data analysis, providing an accurate set of data collected from closed-circuit television cameras and previously recorded events. This Ad Hoc Network is used to fetch important and precise data for emergency vehicle driving and navigation [14]. Traffic data are captured from the traffic signal management process, which contains exact details about traffic jams and traffic flow on roads with the help of these cameras. The data analysis process ensures the safety of users by providing better emergency services [15].
Machine learning (ML) techniques are widely used in various fields to provide users with uninterrupted and better communication services. ML techniques are cost-effective, feasible, reliable, and effective for transportation systems [16]. ML techniques are used in prediction, detection, recognition, and analysis, which help provide accurate information for further processes in various fields. The traffic data analysis process is one of the complicated tasks in a transportation management system that provides a precise or actual data set for various operations and functions [17]. ML techniques are used in the traffic data analysis process, which is used here to identify the traffic flow patterns and classes based on previously recorded data and events. ML techniques increase the overall accuracy rate in the prediction and detection process, which helps to enhance the efficiency and effectiveness of the data analysis process [1,18]. The support vector machine approach is used in the traffic data analysis process, which helps to find out the actual cause and detail of traffic with the help of closed-circuit television cameras and sensors. The clustering technique is used in support vector machines to classify huge data sets and produce sequenced and detailed data for the analysis process. It also identifies the traffic flow of vehicles for an emergency vehicle navigation system which provides an actual set of data for the analysis and detection process [19,20].
In this research paper, we aim to address the challenge of providing safe and efficient navigation for emergency vehicles in the face of communication outages. To do so, we propose the Navigation Data Processing for Assisted Driving (NDP-AD) method, which involves assimilating infrastructure and neighbour location information during the driving time and using this information to process data regarding distance and traffic in the previous displacement interval. The recurrent neural network (RNN) approach is then used to analyse this data independently and provide accurate guidance to emergency vehicle drivers. Using the NDP-AD method, we can minimise false navigations and deviation-based displacements and improve the efficiency of the emergency vehicle driving process. We evaluate the system’s efficiency using processing latency, displacement error, data utilisation, false rate, and accuracy. Our results show that the NDP-AD method effectively improves the safety and efficiency of emergency vehicle driving and could be a valuable tool for supporting medical emergencies and transportation.
The structure of this research consists of six sections. Section 1 provides an overview of the topic and sets the background for the study. Section 2 analyses the related work and gives an overview of the existing literature. Section 3 describes the methodology used for the proposed NDP-AD method. Section 4 explains how emergency vehicle data is processed and false rates are classified. Section 5 discusses the study’s results, including false rate, accuracy, data utilisation, displacement error, and processing latency, and performs a comparative analysis with existing models. Finally, Section 6, Conclusion, summarises the research findings and provides insights into future work.
2. Related Works
In the literature, several approaches have been proposed for improving the navigation and guidance of emergency vehicles. Some of these approaches have focused on using real-time traffic data to provide drivers with updated information regarding traffic conditions and hazards. Others have focused on using advanced communication technologies, such as vehicle-to-everything communication, to prioritise emergency vehicles at intersections and other road segments. Finally, some approaches have focused on using machine learning techniques, such as RNN, to analyse and process traffic conditions and hazard data. These approaches can potentially improve the efficiency of emergency vehicle navigation by reducing the risk of accidents and delays.
Yang et al. [21] introduced a grid map emergency path planning (GMEPP) framework that uses a grid road network for emergency vehicle driving systems. The road-related data is divided into grids, and the edges are identified for further analysis. The GMEPP uses a grid page rank algorithm to verify the output values of grids needed for the mapping process. Experimental results showed that the proposed framework provides better performance and efficiency for the network. However, the model focuses only on a limited number of conditional factors and uses a single weight based on the speed of the road network to determine the shortest path. There are additional factors that impact it. In future research, incorporating intersection information into the acceleration algorithm can help better understand the road network and emergency path queries in specific situations. In addition, some potential issues that can be addressed include low efficiency of path planning, the possibility of space wastage, accurate vehicle position estimation, and better human–computer interaction for object recognition.
Zhao et al. [22] proposed an emergency steering evasion assistance control method based on the driving behaviour analysis process. The vision-based driving simulator is used in the proposed approach to find out the behaviours of vehicles and provide an accurate data set for further processing. First, the steering angle and yaw rate were calculated with the help of the distance adaptive driver steering model. Then, a fuzzy controller detects the vehicle with electric power steering, which plays a vital role in this method. Compared with other methods, the proposed model increases the accuracy rate in the detection process, which helps improve the network’s overall performance and feasibility. This study, however, does not consider optimising the relationship between the yaw rate and the steering torque assistance and does not delve into the relationship between driver behaviour and vehicle trajectory in detail.
Wang et al. [23] introduced a safe route determination algorithm for emergency service vehicles to plan the route and navigate around moving obstacles. The algorithm enhances the route generation process by providing a more accurate and safer route to users in emergency services. The results of the experiments showed that the proposed algorithm enhances the network’s reliability and feasibility and reduces the risk of running into moving obstacles during the route planning process. This research can be extended by integrating outdoor navigation with indoor navigation for emergencies in built environments, providing feasible routes for responders outside and inside buildings. The study can also investigate multi-modal routing in the presence of moving obstacles.
Deng et al. [24] presented a shared control framework that integrates inverse dynamics and driving intention for lane-changing systems. The Gaussian pseudo-spectral method is utilised to resolve optimisation issues in the planning process. The lane-changing start and endpoints are estimated through regression in Reproducing Kernel Hilbert spaces. The proposed framework enhances lane-changing safety and boosts the efficiency of the network compared to other methods.
Bylykbashi et al. [25] proposed an integrated fuzzy-based driving support system for risk management. The system analyses the technical condition of the vehicle, patterns of vehicles, and driver behaviour to improve the accuracy of route prediction and detection. The results showed that the fuzzy-based system reduced the latency in the identification process and enhanced user safety.
Koh et al. [26] introduced intelligent vehicle routing and navigation based on the deep learning reinforcement learning method (IVRN-DRL). This system is designed for real-time vehicle navigation and routing, which helps provide accurate routes for users. In addition, an integrated navigation framework facilitates intelligent vehicle navigation, providing the best routes to users at the right time. Compared with other methods, the proposed method improves the overall performance and efficiency of the system. The proposed framework could be optimised to achieve a more sustainable urban transportation network. To do so, more realistic features of urban traffic conditions and vehicle behaviour can be studied and integrated into the system. In addition, using real-world traffic data through collection and analyses is necessary to bridge the gap between simulation and actual data. Transfer learning and domain adaptation techniques can also be explored as potential solutions to commercialise the framework. The limitation of this study is that the model is trained based on the simulation traffic data. Thus, it is required to be fine-tuned when deployed on real traffic data.
Patel et al. [27] introduced an Artificial Intelligence (AI) based system for prioritising emergency vehicles. The proposed system aims to improve emergency services by using a visual indicator to identify traffic congestion and provide alternate vehicle routes. The experiment results showed that the proposed approach improved the accuracy of the classification and routing process, leading to enhanced efficiency and performance of the emergency vehicle priority system.
Gaikwad et al. [28] proposed an Internet of Things (IoT)-based support system for cars in emergency health care systems. The system helps users identify nearby hospitals or healthcare centres and provides better routes for drivers to reach their destinations, reducing road waiting time. The proposed framework was seen to improve the overall feasibility and performance of emergency systems compared to other methods.
Wang et al. [29] proposed a hierarchical state machine for autonomous vehicle driving. The framework determines the location and position of vehicles, identifies optimal driving behaviours through relative position patterns and features, and classifies the driving scenarios for users. The experiment results showed that the proposed decision-making framework improved the accuracy of the evaluation process, leading to reduced energy and time consumption in the prediction process. The research can expand to predict the trajectory and speed of vehicles during lane changes. It can also examine the weighting of indicators to further improve the accuracy, safety, and efficiency of the decision-making and planning framework, making it align more closely with actual driver behaviour and thought processes.
Papaioannou et al. [30] proposed a unified search planning framework using unmanned aerial vehicles for emergency systems. The proposed method is an automated planning framework that helps to identify details from 3D-based images. Unmanned aerial vehicles are used here to improve the energy efficiency and cost-effectiveness of the emergency planning system. Experimental results showed that the proposed framework improves the overall performance and efficiency of the system. This research work can investigate how to convert the generated trajectories into control inputs for the unmanned aerial vehicle’s onboard controller and integrate this into our current multi-drone task allocation platform.
Yang et al. [31] introduced a vehicle path planning system for unmanned driving using the convolution neural network approach. The proposed method provides a better path-planning process, which helps reduce the computation process’s waiting time and energy consumption rate. In addition, convolution neural network plays a vital role in prediction and detection. Experimental results showed that the proposed approach reduces the latency rate in the planning process, which helps to increase the efficiency and effectiveness of the system.
Oubbati et al. [32] proposed a software-defined network enabled approach for vehicle path planning. This approach helps to find related parameters for the planning process, which determine the actual data set for the users’ decision-making process. In addition, it improves the detection process’s overall speed, enhancing the system’s effectiveness. The proposed method was shown to be more efficient, reliable, and feasible compared to other methods and demonstrated an improvement in the overall performance of the vehicle path planning system.
Cheng et al. [33] developed an IoT-based location prediction model for assistance to medical vehicles (LPMVs). The proposed model uses a combination of long short-term memory and deep belief nets to enhance the accuracy of medical vehicle processes. This model improves the accuracy of path planning by determining the precise location of vehicles. The results of the experiments show that the IoT-based model enhances the overall performance and stability of the system. In the training process, the number of nodes in each hidden layer is limited, so the restricted Boltzmann machine network learns the compressed expression form of the actual feature vector and decreases the feature dimension.
Cui et al. [34] proposed a hierarchical framework for emergency collision avoidance systems. The framework uses finite-state machine technology to identify suitable paths and prevent collisions in the planning process. The collision avoidance detection process is important for providing emergency services to users. The proposed framework was shown to reduce the collision rate during the planning process, resulting in improved performance and feasibility compared to other methods.
Based on the literature analysis, there are several problems with existing methods in achieving less false rate, displacement error, processing latency and high accuracy, and data utilisation for varying displacement intervals such as GMEPP [21], IVRN-DRL [26], and LPMV [33] methods. Hence, this paper uses the NDP-AD method for analysing the opposite vehicle distance and traffic to provide accurate guidance independently.
4. Emergency Vehicle-Based Data Processing
In medical emergency vehicle-based data processing, the collision and navigational route operations are guided by processing assimilated data from the infrastructure and neighbours. Assisted driving or navigation processing occurs in emergency vehicles guided by artificially intelligent systems. The emergency vehicle consists of infrastructure and neighbour’s information to identify the location data changes to the emergency vehicle faces outages and displacements as in Equation (1). The probability of assimilated infrastructure data and neighbour location information in different time intervals, , without outages and displacement, is given as:
From Equation (2), the variables and represents the location data analysis of the for different time intervals, , and the actual location, respectively. In this manuscript, the assisted driving/navigation expression of is computed using . The first constraint for maximising is as the differing section; this is the location changes factor, and therefore the traffic data is performed based on the . The data utilisation of medical emergency vehicles in assists in estimating output for both guidance and navigation of and . This emergency vehicle faces outage detection and is evaluated using Equation (3).
As per Equation (3), the changes in location data of the available is identified in displacement intervals in . If this is exceeded, then traffic data analysis is required. A failure in traffic data maximises , defacing the assisted driving/navigation and location data of displacement intervals. The data processing model is illustrated in Figure 2.
Figure 2.
Emergency vehicle data processing model.
A variety of vehicular information precedes the data processing model. From the location data, position coordinates and navigation routes are extracted. The traffic data provides neighbour and infrastructure information for a brief analysis. From the extracted information, collision and outage probabilities are analysed. The RNN validates this information (based on probability) for further classification and error detection (refer to Figure 2). The emergency vehicle holds the available and positions of as post the displacement data or navigation in different intervals. The output for the false navigation in an emergency vehicle is and , therefore, the condition is guidance supported by the emergency vehicle and is fetched with the traffic data analysis of the autonomous vehicle operation mode. The outputs are accounted for as assisted diving/navigation assimilates for location and traffic data in the previous displacement. For instance, the outages are detected using the displacement process, and it depends on and for and and for the differing condition in the above Equation (1). Let and represent the displacement of or in both conditions in the above-derived equation. This refers to the collision-less and optimal navigational route output for the AI and robotics-based emergency vehicle. Therefore, the total traffic data is computed as
Hence, Equation (4) is substituted in both navigation and guidance support data for getting optimal navigational routes, respectively.
where,
In the above Equations (4), (5a), and (5b), is computed as a factor of and with to evaluate the collision-less and optimal navigational routes for medical emergencies and transportation. Therefore, depends on and , whereas depends on and . As per the constraint of and need not be 1 but also not 0, provided location and traffic data in a displacement interval can be achieved successfully. In this constraint, if , navigation and guidance support does not take place, and the differing constraint of the above Equation (1) does not communicate for further operation mode in the autonomous medical emergency vehicle. This depends on and the constraints for the displacement errors in transportation to the different navigation, . The false rate problems of are navigated for the false rate checking of , which is navigated as a different displacement interval of and , respectively. The distance and traffic in the previous displacement interval, tallied by RNN for analysing the vehicle information independently and jointly, provides precise guidance and processing latency in the location data processing as this is the vehicle displacement to navigational route instances where . At the first process of infrastructure and neighbour, data-based emergency vehicle assisted driving is estimated through based on .
The above Equation (6), the first outages of navigation and guidance support data, provides a solution of 1 as and , and . Therefore, it is considered because or until is accounted. Figure 3 presents the learning process for displacement and data classification.
Figure 3.
Learning for displacement and data classification.
In displacement detection, are extracted from and matching iterations. This output from is recurrently analysed for augmenting such that further displacement errors are identified. The analysis required for confining false rates in data analysis in the proceeding is (or) (Figure 3). In particular, the consecutive driving analysis of for the emergency vehicle is guided and navigates between , where the probabilistic emergency vehicle displacement and appropriate false navigation are explained in the following session.
False Rate Classification
The previous displacement probabilistic metrics and influence the assimilated and utilised data factors in emergency vehicle-assisted driving (or) navigation. In particular, the differing constraint of the above Equation (1) is processed in the available infrastructure and other roadside units to augment data utilisation. The probability of in the false rate classification is estimated as in Equation (7).
The displacement process for false rate classification using the guidance information process depends on RNN. It is used for false navigations and deviation-based navigations for both available infrastructure and neighbour-based transportation instances. The above constraints are processed using displacement with the vehicle travelled distance and traffic data instances. The false rate classification process depends on differing metrics for analysing the false navigation identification and deviation in navigation probabilities when the driving time of displacement error occurs. Hence, error detection constraints vary, guiding medical emergency and transportations procedure through false rate estimation. The false rate identifying classification using the learning process is presented in Figure 4.
Figure 4.
False rate classification.
The learning for false data (rate) classification is presented in Figure 4. This classification identifies requiring instances over and . If the instances are less in , then is induced, and the rest is classified as false data. In contrast, if , then a new is relied on for validation for further . The false rate estimation is prescribed for both the assimilated infrastructure and neighbour location information by estimating the available probability and displacement of data for different driving times. The false rate classification relies on maximum displacement interval and (or) as:
In this Equation (8), false rate estimation and further process computing probability, the goal of this proposed method is to balance emergency vehicle navigation and guidance data to reduce the false rate and, hence, the actual navigational route is given as
In the above Equation (9), the guidance information of emergency vehicles faces outages in data processing (as per the infrastructure and neighbour location data), and is either of (or) ; in both constraints, if , then is the maximum, and if , or . Therefore, the occurrence of is a collision-less output where the displacement time for all the guidance information (opposite direction) is given in Equation (1). This is suitable for all and in the above equation. The data utilisation in this proposed method is available in all infrastructure and neighbour-based information where location and traffic data are processed, and therefore, the displacement error is compact, as in the above Equation (1). The estimation of relies on the contrary section of Equation (1) and in the guidance information of Equation (5). In any instance of , if , then displacement error occurs, which again results in deviation-based navigation and false navigation. The guidance information is updated, and the displacement for both and is evaluated in the consecutive manner of to ensure , as in Equation (10).
From the consideration of and as an operation of and instances, the above probability of guidance information update is estimated for . Therefore, the occurrence of either of the instances for in any is processed for improving , as per the condition based on and .
In the guidance data update of , the objective is to reduce the number of displacement error instances to process the achievable result. As per the final computation of , which relies on both and , the maximising condition of data utilisation is the achievable output as required, where the previous displacement interval of is maximum and and . The process of is stored and processed in the available guidance of the emergency vehicle-assisted driving/navigation analysis that estimates the obtained sequences for distance and traffic information. The false data-identified navigation process is displayed in Figure 5.
Figure 5.
False data identified navigation.
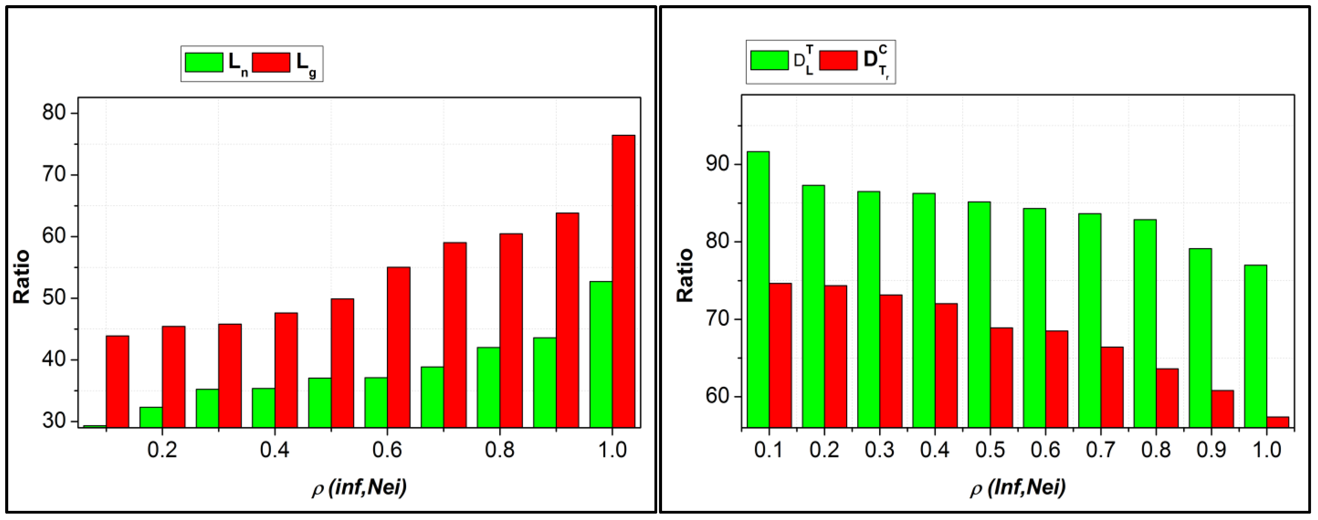
The navigation-assisted driving based on and false data is presented in Figure 5. The available neighbours and infrastructure units aid the location-based navigation. If false data is observed, then the -based neighbours are updated with the new data, with a notification to the driving person. The infrastructure and neighbour location information throughout the vehicle driving time is fetched and processed from independent and joint precise guidance for distance and traffic data analysis, and then the displacement is perceived using assisted driving. This additional processing prevents displacement error and reduces processing latency, false navigation, and deviation-based navigation. If the condition , then the displacement intervals, as in Equation (6), responsible for navigation are based on . The modified is processed to be available guidance information through in other than . This consecutive manner of processing helps to reduce the additional displacement errors in assisted driving, retaining and to maximise . The estimation of guidance information update, , for all the instances, in the false rate estimation process, differentiates the navigations based on false and deviation for from and , ensuring that the location and traffic data are available in all during the data processing. Therefore, the pre-false rate estimation based on other than , the first displacement interval of assists in processing to augment the data utilisation of navigation data processing in conditions for any medical emergency vehicle with different . The proposed method guides until an opposite variation in displacement is computed, where different is provided independently and jointly for precise guidance for emergency vehicle communication based on location and traffic data. If the infrastructure and neighbour increase, the minimum processing latency is attuned in this condition. Therefore, the location and traffic sequentially increase through false and deviation-based navigation. It identifies the outages in assisted driving and reduces the problems through false rate estimation. This AI and robotics-assisted autonomous vehicle operation mode process under RNN reduces processing latency and displacement error. In Figure 6, the and ratio analysis for different is presented.
Figure 6.
and ratio analysis.
Figure 6 presents the analysis for and ratios over the varying . As the outage increases, the data analysis for location and navigation increases to prevent false data. This is required for providing collision-less navigation for the emergency vehicle. The learning process identifies , observed for detecting and . As the processing in is comparatively high, it achieves fewer data outputs. In this variation analysis, is identified for providing surplus navigation information with less . Therefore, the outage induces further classifications over the and hence the false data is controlled. Figure 7 illustrates the outage and factor for varying (%).
Figure 7.
Outage and analysis.
The analysis for outage and for different is presented in Figure 7. The proposed method reduces outages by mitigating from and , such that is further utilised. In the analysis, the are identified as different displacement intervals. Based on , the is estimated for further classification in extracting and . This is required for reducing outages, and hence is required for achieving better accuracy. Based on the for , the is reduced, and hence -based extractions are useful in maximising accuracy and reducing error. The analysis for displacement error over varying is presented in Figure 8.
Figure 8.
Displacement error for varying .
The displacement error is confined to different classifications observed from different neighbors and infrastructure. The multi-source and are validated for , such that reduces. The and false data classification using RNN improves , from which are identified. This requirement is common for (as in Equation (6)) for improving and assessment. Therefore, gradually reduces for the recommended (refer to Figure 8).
5. Results and Discussion
This section describes the proposed method’s performance using the VanSim simulator; an open street map covering the 3000 m 8000 m region is considered in this simulation. The vehicles and infrastructure densities are 60 and 10, respectively. An emergency vehicle is an additional unit operating at 30 Kms/hour, observing information between 2 to 30 min intervals. With this information, the simulation is performed to estimate false rate, accuracy, data utilisation, displacement error, and processing latency. Finally, these metrics are compared with the existing GMEPP [21], IVRN-DRL [26], and LPMV [33] methods discussed in the related works section.
5.1. False Rate
The comparative analysis for false rate over varying Neighbours + Infrastructures and displacement interval is presented in Figure 9. The proposed method reduces the false rate by extracting in different constraints. Based on and , the first extraction is the and from which is estimated. To prevent a collision, is analysed such that the errors are suppressed in different intervals. This rectified , induced by the learning process, is influenced by and estimation in a recurrent and non-recurrent phase. The first outcome determines the required , wherein the second determines the false data mitigation. This non-recurrent phase results in identification for preventing . The variation is prevented from such that increases. The RNN outputs are handled with recommendations for further or extraction. Therefore, the recurrent iteration is prevented for in reducing false data implications. For the and its succeeding intervals, the process is pursued, and hence false data impact is reduced.
Figure 9.
False rate analysis.
5.2. Accuracy
The proposed method maximises navigation accuracy for different unit densities and displacement intervals. The RNN process distinguishes , as in Equations (4) and (6), with false rates and without false rate. The collision and outage data extraction and mitigation are performed in the first representation. This requires and and detections, wherein is analysed in the non-recurrent RNN. The requirement and recommendations are performed to improve the accuracy. In the second process, false data mitigation by identifying is performed. This validation increases from , such that increases. The classification is performed for , observing for detecting . Hence, navigation accuracy is improved by reducing , through , such that with less outage data is exploited for navigation. This unanimous support for varying densities and displacement intervals increasing accuracy is presented in Figure 10.
Figure 10.
Accuracy analysis.
5.3. Data Utilisation
The proposed method maximises data utilisation for different Vehicles + Infrastructures and displacement intervals (refer to Figure 11). The data accumulation is performed for different intervals for varying . First is observed for , such that the navigation is planned accordingly. The RNN operates on and data for providing . Based on the data allocation, is estimated, such that (as in Equation (6)) is estimated. This induces the requirement for data augmentation; hence, the deviation is performed without additional analysis. In this process, the non-recurrent analysis (RNN) detects data necessity for preventing sufficiency. Based on the recurrent process, the data requirements are improved for analysis and, hence, is detected. Therefore, during outage, less data is exploited for navigation without leveraging Distinct displacement intervals pursue this to maximise data augmentation and improve data utilisation. As the neighbours vary, the accumulation is high, inducing high . Therefore, the data utilisation for collisionless and -less navigation is high in the proposed method.
Figure 11.
Data utilisation analysis.
5.4. Displacement Error
The proposed method achieves less displacement error for different Neighbours + Infrastructures and displacement intervals. The errors are suppressed at two different instances in the proposed method. First, is mitigated for distinct and , wherein is utilised for vehicle navigation. If the RNN influences this process, then and -based is performed. This is required for identification. Before this is the data maximisation through recurrent observation. However, if is observed, a new in a different interval is required for handling -based errors. The second RNN process addresses the and problem by classification. Therefore, results in detecting maximizing accuracy. The instances classified under are identified as an error. This is addressed using in the consecutive interval. Furthermore, the neighbour information is also exploited for improving accuracy and reducing errors. This is common for the varying densities and intervals, achieving less error (refer to Figure 12).
Figure 12.
Displacement error analysis.
5.5. Processing Latency
For the varying Neighbours + Infrastructures, and displacement intervals, the proposed NDP-AD achieves less processing latency (refer to Figure 13). This is feasible by distinguishing based on and classification and validation. The process is performed using the different learning features based on as in Equations (4) and (6). In the represented in Equation (4), the first RNN is utilised for . This reduces collision probability through extreme data utilisation. Contrarily, the second learning process detects false data by preventing errors. In the succeeding intervals, is pre-performed for the allocation of data in different classifications. The processing time is shared at different intervals based on the distinct allocation. As the sharing process is performed unanimously for , the variations are mitigated and such errors are confined. Therefore, the process latency is comparatively less for the proposed method for different densities and intervals. Table 1 and Table 2 present the comparative analysis results for varying Neighbours + Infrastructures and displacement intervals.
Figure 13.
Processing latency analysis.
Table 1.
Comparative analysis results for Neighbours + Infrastructures.
Table 2.
Comparative analysis results for displacement intervals.
6. Conclusions
This article introduced navigation data processing for assisted driving for emergency vehicle routing in heterogeneous scenarios. The neighbour, infrastructure, and location information are sensed by the emergency vehicle for joint processing and navigation support at different intervals. The assimilated data are analysed for collision findings using RNN classifications. Post classification, the results are analysed for false input, which is further mitigated based on navigation probability. The RNN process is classified as recurrent and non-recurrent to prevent exceeding processing time. This prevents displacement error using the observed data, achieving better accuracy. By recommending the data requirement and neighbour information, navigation through the displacement interval is improved to avoid false rates, and hence the data utilisation is improved. Based on the experimental analysis, it is seen that the proposed method reduces the false rate by 13.42%, displacement error by 8.74%, and processing latency by 8.92% and improves accuracy by 13.49% and data utilisation by 9.48% for varying displacement intervals. The limitation of this study is that the detailed description of the driving context via vehicle sensor data is still not completely determined and needs to be developed concurrently. In future study, various factors such as rush hour, sight distance, intersection type, and information on human traffic behaviour will be introduced.
Author Contributions
Conceptualisation, M.A. and S.S.; methodology, M.A. and S.S.; software, M.A. and S.S.; validation, M.A. and S.S.; formal analysis, M.A. and S.S.; investigation, M.A. and S.S.; resources, S.S.; data curation, M.A. and S.S.; writing—original draft preparation, M.A. and S.S.; writing—review and editing, M.A. and S.S.; visualisation, M.A. and S.S. All authors have read and agreed to the published version of the manuscript.
Funding
This research was supported by the Princess Nourah bint Abdulrahman University Researchers Supporting Project number (PNURSP2023R259), Princess Nourah bint Abdulrahman University, Riyadh, Saudi Arabia.
Conflicts of Interest
The authors declare no conflict of interest.
References
- Rosayyan, P.; Subramaniam, S.; Ganesan, S.I. Decentralised Emergency Service Vehicle Pre-Emption System Using RF Communication and GNSS-Based Geo-Fencing. IEEE Trans. Intell. Transp. Syst. 2020, 22, 7726–7735. [Google Scholar] [CrossRef]
- Humagain, S.; Sinha, R.; Lai, E.; Ranjitkar, P. A systematic review of route optimisation and pre-emption methods for emergency vehicles. Transp. Rev. 2020, 40, 35–53. [Google Scholar]
- Zhao, H.T.; Zhao, X.; Jian-cheng, L.; Xin, L.Y. Cellular automata model for Urban Road traffic flow Considering Internet of Vehicles and emergency vehicles. J. Comput. Sci. 2020, 47, 101221. [Google Scholar]
- Wu, J.; Kulcsár, B.; Ahn, S.; Qu, X. Emergency vehicle lane pre-clearing: From microscopic cooperation to routing decision making. Transp. Res. Part B Methodol. 2020, 141, 223–239. [Google Scholar] [CrossRef]
- Park, J.; Kim, D.; Huh, K. Emergency collision avoidance by steering in critical situations. Int. J. Automot. Technol. 2021, 22, 173–184. [Google Scholar]
- Rahman, M.M.; Islam, M.K.; Al-Shayeb, A.; Arifuzzaman, M. Towards sustainable road safety in Saudi Arabia: Exploring traffic accident causes associated with driving behavior using a Bayesian belief network. Sustainability 2022, 14, 6315. [Google Scholar]
- Alyavina, E.; Nikitas, A.; Njoya, E.T. Mobility as a service and sustainable travel behaviour: A thematic analysis study. Transp. Res. Part F Traffic Psychol. Behav. 2020, 73, 362–381. [Google Scholar]
- Ahmed, H.U.; Huang, Y.; Lu, P.; Bridgelall, R. Technology Developments and Impacts of Connected and Autonomous Vehicles: An Overview. Smart Cities 2022, 5, 382–404. [Google Scholar]
- Parekh, D.; Poddar, N.; Rajpurkar, A.; Chahal, M.; Kumar, N.; Joshi, G.P.; Cho, W. A Review on Autonomous Vehicles: Progress, Methods and Challenges. Electronics 2022, 11, 2162. [Google Scholar]
- Farsimadan, E.; Palmieri, F.; Moradi, L.; Conte, D.; Paternoster, B. Vehicle-to-everything (V2X) communication scenarios for vehicular ad-hoc networking (VANET): An overview. In International Conference on Computational Science and Its Applications; Springer: Cham, Switzerland, 2021; pp. 15–30. [Google Scholar]
- Motienko, A. Integration of information and communication system for public health data collection and intelligent transportation system in large city. Transp. Res. Procedia 2020, 50, 466–472. [Google Scholar]
- Liu, Y.; Liu, Y. A Data Fusion Model for Millimeter-Wave Radar and Vision Sensor in Advanced Driving Assistance System. Int. J. Automot. Technol. 2021, 22, 1695–1709. [Google Scholar] [CrossRef]
- Yan, L.; Gong, Y.; Chen, Z.; Li, Z.; Guo, J. Automatic identification method for driving risk status based on multi-sensor data. Pers. Ubiquitous Comput. 2021, 1–17. [Google Scholar] [CrossRef]
- Park, K.; Kwahk, J.; Han, S.H.; Song, M.; Choi, D.G.; Jang, H.; Jeong, I.S. Modelling the intrusive feelings of advanced driver assistance systems based on vehicle activity log data: Case study for the lane keeping assistance system. Int. J. Automot. Technol. 2019, 20, 455–463. [Google Scholar]
- Wu, J.; Wang, J.; Chen, Q.; Yuan, Z.; Zhou, P.; Wang, X.; Fu, C. Resource Allocation for Delay-sensitive Vehicle-to-Multi-Edges (V2Es) Communications in Vehicular Networks: A Multi-Agent Deep Reinforcement Learning Approach. IEEE Trans. Netw. Sci. Eng. 2021, 8, 1873–1886. [Google Scholar] [CrossRef]
- Fehér, Á.; Aradi, S.; Bécsi, T. Hierarchical evasive path planning using reinforcement learning and model predictive control. IEEE Access 2020, 8, 187470–187482. [Google Scholar]
- Ahamed, N.N.; Karthikeyan, P. A Reinforcement Learning Integrated in Heuristic search method for self-driving vehicle using blockchain in supply chain management. Int. J. Intell. Netw. 2020, 1, 92–101. [Google Scholar]
- Mastalerz, M.W.; Malinowski, A.; Kwiatkowski, S.; Śniegula, A.; Wieczorek, B. Passenger BIBO detection with IoT support and machine learning techniques for intelligent transport systems. Procedia Comput. Sci. 2020, 176, 3780–3793. [Google Scholar] [CrossRef]
- Bautista-Montesano, R.; Bustamante-Bello, R.; Ramirez-Mendoza, R.A. Explainable navigation system using fuzzy reinforcement learning. Int. J. Interact. Des. Manuf. 2020, 14, 1411–1428. [Google Scholar]
- Halim, Z.; Sulaiman, M.; Waqas, M.; Aydın, D. Deep neural network-based identification of driving risk utilising driver dependent vehicle driving features: A scheme for critical infrastructure protection. J. Ambient. Intell. Humaniz. Comput. 2022, 1–19. [Google Scholar]
- Yang, B.; Ding, Z.; Yuan, L.; Yan, J.; Guo, L.; Cai, Z. A novel urban emergency path planning method based on vector grid map. IEEE Access 2020, 8, 154338–154353. [Google Scholar] [CrossRef]
- Zhao, Z.; Zhou, L.; Luo, Y.; Li, K. Emergency steering evasion assistance control based on driving behavior analysis. IEEE Trans. Intell. Transp. Syst. 2018, 20, 457–475. [Google Scholar] [CrossRef]
- Wang, Z.; Zlatanova, S. Safe route determination for first responders in the presence of moving obstacles. IEEE Trans. Intell. Transp. Syst. 2019, 21, 1044–1053. [Google Scholar]
- Deng, H.; Zhao, Y.; Feng, S.; Wang, Q.; Lin, F. Shared Control for Intelligent Vehicle Based on Handling Inverse Dynamics and Driving Intention. IEEE Trans. Veh. Technol. 2022, 71, 2706–2720. [Google Scholar] [CrossRef]
- Bylykbashi, K.; Qafzezi, E.; Ampririt, P.; Ikeda, M.; Matsuo, K.; Barolli, L. Effect of vehicle technical condition on real-time driving risk management in Internet of Vehicles: Design and performance evaluation of an integrated fuzzy-based system. Internet Things 2021, 13, 100363. [Google Scholar]
- Koh, S.; Zhou, B.; Fang, H.; Yang, P.; Yang, Z.; Yang, Q.; Ji, Z. Real-time deep reinforcement learning based vehicle navigation. Appl. Soft Comput. 2020, 96, 106694. [Google Scholar] [CrossRef]
- Patel, R.; Mange, S.; Mulik, S.; Mehendale, N. AI based emergency vehicle priority system. CCF Trans. Pervasive Comput. Interact. 2022, 4, 285–297. [Google Scholar] [CrossRef]
- Gaikwad, M.J.; Sengar, P.P.; Miglani, P.N. An IoT-Based Support System for Cars in Case of Critical Health Emergency. SN Comput. Sci. 2021, 2, 140. [Google Scholar]
- Wang, X.; Qi, X.; Wang, P.; Yang, J. Decision making framework for autonomous vehicles driving behavior in complex scenarios via hierarchical state machine. Auton. Intell. Syst. 2021, 1, 10. [Google Scholar]
- Papaioannou, S.; Kolios, P.; Theocharides, T.; Panayiotou, C.G.; Polycarpou, M.M. Towards Automated 3D Search Planning for Emergency Response Missions. J. Intell. Robot. Syst. 2021, 103, 2. [Google Scholar]
- Yang, G.; Yao, Y. Vehicle local path planning and time consistency of unmanned driving system based on convolutional neural network. Neural Comput. Appl. 2021, 34, 12385–12398. [Google Scholar]
- Oubbati, O.S.; Atiquzzaman, M.; Lorenz, P.; Baz, A.; Alhakami, H. SEARCH: An SDN-enabled approach for vehicle path-planning. IEEE Trans. Veh. Technol. 2020, 69, 14523–14536. [Google Scholar]
- Cheng, J.; Yan, H.; Zhou, A.; Liu, C.; Cheng, D.; Gao, S.; Cheng, D. Location prediction model based on the Internet of vehicles for assistance to medical vehicles. IEEE Access 2019, 8, 10754–10767. [Google Scholar]
- Cui, Q.; Ding, R.; Wei, C.; Zhou, B. A hierarchical framework of emergency collision avoidance amid surrounding vehicles in highway driving. Control. Eng. Pract. 2021, 109, 104751. [Google Scholar] [CrossRef]
Disclaimer/Publisher’s Note: The statements, opinions and data contained in all publications are solely those of the individual author(s) and contributor(s) and not of MDPI and/or the editor(s). MDPI and/or the editor(s) disclaim responsibility for any injury to people or property resulting from any ideas, methods, instructions or products referred to in the content. |
© 2023 by the authors. Licensee MDPI, Basel, Switzerland. This article is an open access article distributed under the terms and conditions of the Creative Commons Attribution (CC BY) license (https://creativecommons.org/licenses/by/4.0/).












