Multi-Sensor Remote Sensing to Estimate Biophysical Variables of Green-Onion Crop (Allium cepa L.) under Different Sources of Magnesium in Ismailia, Egypt
Abstract
:1. Introduction
2. Materials and Methods
2.1. Study Area
2.2. Experimental Design
2.3. Field Data
2.4. Field Measurements of Biophysical Variables
2.5. Biophysical Variables Data of Satellite
2.6. Vegetation Indices Measurement
2.7. Statistical Analysis
2.8. Simple Linear Regressions (SLR)
2.9. Model Validation
3. Results
3.1. Time Series of the Biophysical Variables
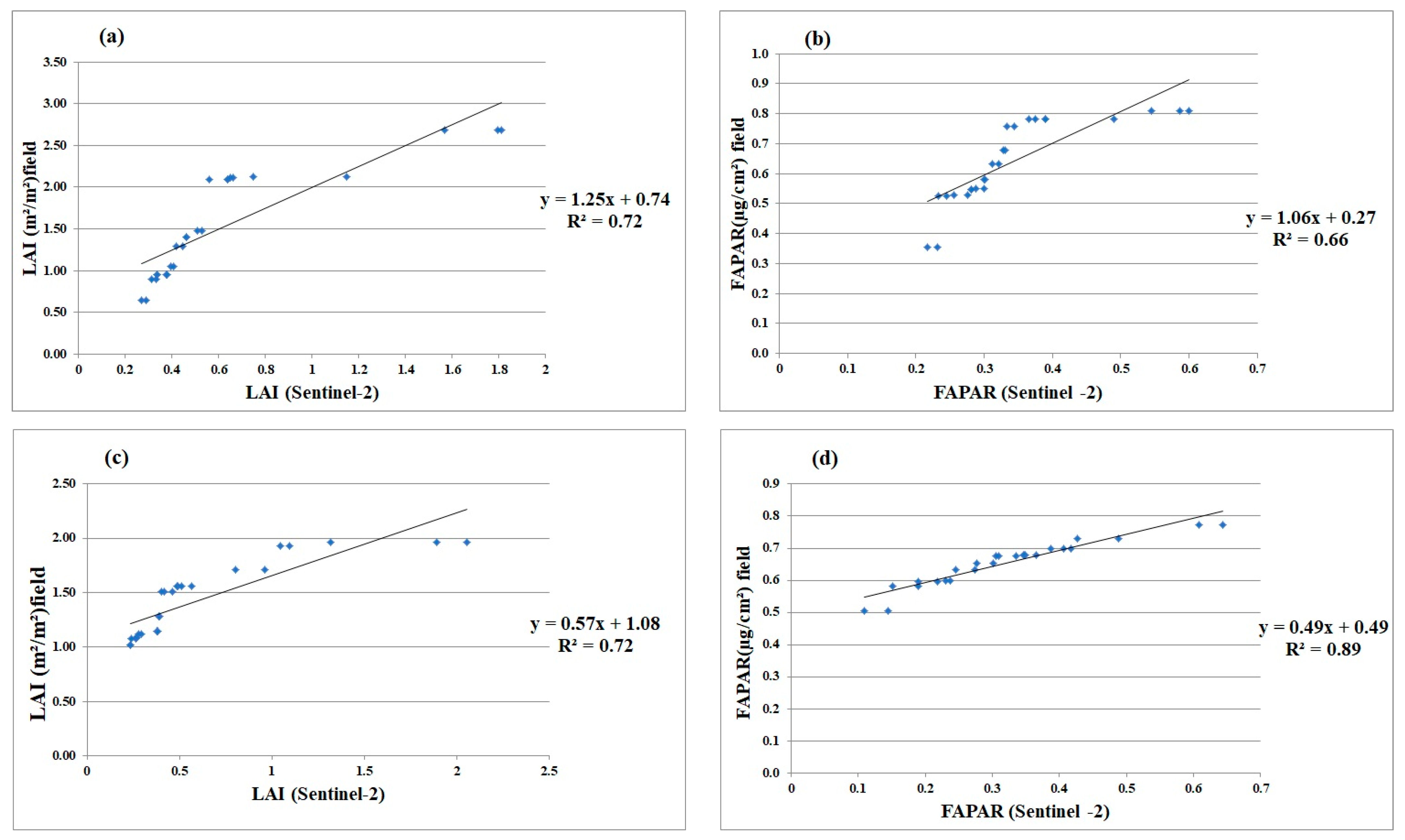
3.2. Comparison between Measurements of LAI and FAPAR in Field Data and from Sentinel-2 Data
3.3. Vegetation Indices Analysis
3.4. Relationship between Biophysical Variables and Yield
3.5. Variation of Crop Yield under Various Treatments
3.6. Model Calibration
4. Discussion
5. Conclusions
Author Contributions
Funding
Institutional Review Board Statement
Informed Consent Statement
Data Availability Statement
Acknowledgments
Conflicts of Interest
References
- El-Hamd, A.A.S.A.; Mohamed, A.A.M.; El-din, M.G.Z. Effect of some Agricultural Treatments on Productivity and Quality of Green Onion for Export (Allium cepa L.). Middle East J. Agric. Res. 2016, 5, 37–44. [Google Scholar]
- Mohamed, O.O.; Atress, A.S. Effect of Some Pre and Postharvest Treatments on Quality and Storability of Green Onion. Egypt. J. Agric. Res. 2016, 94, 689–706. [Google Scholar] [CrossRef]
- Goussous, S.J.; Mohammad, M.J. Comparative effect of two arbuscular mycorrhizae and N and P fertilizers on growth and nutrient uptake of onions. Int. J. Agric. Biol. 2009, 11, 463–467. [Google Scholar]
- Kandil, A.A.; Sharief, A.E.; Fathalla, F.H. Effect of Transplanting Dates of Some Onion Cultivars on Vegetative Growth, Bulb Yield and Its Quality. Crop Prod. 2013, 2, 73–82. [Google Scholar]
- Maathuis, F.J.M. Physiological functions of mineral macronutrients. Curr. Opin. Plant Biol. 2009, 12, 250–258. [Google Scholar] [CrossRef]
- Paulus, D.; Barbieri, L.; Becker, D. Growth and quality of chives in hydroponic system with concentrations of magnesium sulfate. Hortic. Bras. 2022, 40, 311–320. [Google Scholar] [CrossRef]
- Al-Juthery, H.W.A.; Hardan, H.M.; Al-Swedi, F.G.A.; Obaid, M.H.; Al-Shami, Q.M.N. Effect of foliar nutrition of nano-fertilizers and amino acids on growth and yield of wheat. IOP Conf. Ser. Earth Environ. Sci. 2019, 388, 012046. [Google Scholar] [CrossRef]
- Ceylan, Y.; Kutman, U.B. Magnesium applications to growth medium and foliage affect the starch distribution, increase the grain size and improve the seed germination in wheat. Plant Soil 2016, 406, 145–156. [Google Scholar] [CrossRef]
- Elkhouni, A.; Zorrig, W.; Smaoui, A. Effects of magnesium deficiency on photosynthesis and carbohydrate partitioning. Acta Physiol. Plant. 2016, 38, 145. [Google Scholar] [CrossRef]
- Wang, Z.; Hassan, M.U.; Nadeem, F.; Wu, L. Magnesium Fertilization Improves Crop Yield in Most Production Systems: A Meta-Analysis. Front. Plant Sci. 2020, 10, 1727. [Google Scholar] [CrossRef] [PubMed]
- Butt, B.Z.; Naseer, I. Nanofertilizers. In Nanoagronomy; Springer Nature: Cham, Switzerland, 2020; ISBN 9783030412753. [Google Scholar]
- Delfani, M.; Baradarn Firouzabadi, M.; Farrokhi, N.; Makarian, H. Some Physiological Responses of Black-Eyed Pea to Iron and Magnesium Nanofertilizers. Commun. Soil Sci. Plant Anal. 2014, 45, 530–540. [Google Scholar] [CrossRef]
- Salcido-Martínez, A.; Sánchez, E.; Lorena Licón-Trillo, P.; Pérez-Álvarez, S.; Palacio-Márquez, A.; Nubia Amaya-Olivas, I.; Preciado-Rangel, P. Impact of the foliar application of magnesium nanofertilizer on physiological and biochemical parameters and yield in green beans. Not. Bot. Horti Agrobot. Cluj-Napoca 2020, 48, 2167–2181. [Google Scholar] [CrossRef]
- Gautam, A.; Sharma, P.; Ashokhan, S.; Yaacob, J.S.; Kumar, V.; Guleria, P. Magnesium oxide nanoparticles improved vegetative growth and enhanced productivity, biochemical potency and storage stability of harvested mustard seeds. Environ. Res. 2023, 229, 116023. [Google Scholar] [CrossRef]
- Bhagat, V.S. Use of Remote Sensing Techniques for Robust Digital Change Detection of Land: Use of Remote Sensing Techniques for Robust Digital Change Detection of Land: A Review. Recent Patents Space Technol. 2012, 2, 123–144. [Google Scholar] [CrossRef]
- Kingra, P.K.; Majumder, D.; Banga, U.; Vishwavidyalaya, K.; Singh, S.P. Application of Remote Sensing and Gis in Agriculture and Natural Resource Management under Changing Climatic Conditions. Agric. Res. J. 2016, 53, 295–302. [Google Scholar] [CrossRef]
- Shanmugapriya, P.; Rathika, S.; Ramesh, T.; Janaki, P. Applications of Remote Sensing in Agriculture—A Review. Int. J. Curr. Microbiol. Appl. Sci. 2019, 8, 2270–2283. [Google Scholar] [CrossRef]
- Liaghat, S.; Balasundram, S.K. A Review: The Role of Remote Sensing in Precision Agriculture A Review: The Role of Remote Sensing in Precision Agriculture. Am. J. Agric. Biol. Sci. 2010, 5, 50–55. [Google Scholar] [CrossRef]
- Doraiswamy, P.C.; Sinclair, T.R.; Hollinger, S.; Akhmedov, B.; Stern, A.; Prueger, J. Application of MODIS derived parameters for regional crop yield assessment. Remote Sens. Environ. 2005, 97, 192–202. [Google Scholar] [CrossRef]
- Aboelghar, M.; Ali, A.-R.; Arafat, S. Spectral wheat yield prediction modeling using SPOT satellite imagery and leaf area index. Arab. J. Geosci. 2014, 7, 465–474. [Google Scholar] [CrossRef]
- Aboelghar, M.; Arafat, S.; Abo Yousef, M.; El-Shirbeny, M.; Naeem, S.; Massoud, A.; Saleh, N. Using SPOT data and leaf area index for rice yield estimation in Egyptian Nile delta. Egypt. J. Remote Sens. Sp. Sci. 2011, 14, 81–89. [Google Scholar] [CrossRef]
- Noureldin, N.A.; Aboelghar, M.A.; Saudy, H.S.; Ali, A.M. Rice yield forecasting models using satellite imagery in Egypt. Egypt. J. Remote Sens. Sp. Sci. 2013, 16, 125–131. [Google Scholar] [CrossRef]
- Nady, D.; Ali, A.M.; Mahmoud, A.G. The Egyptian Journal of Remote Sensing and Space Sciences Developing spatial model to assess agro-ecological zones for sustainable agriculture development in MENA region: Case study Northern Western. Egypt. J. Remote Sens. Sp. Sci. 2022, 25, 301–311. [Google Scholar] [CrossRef]
- Román, M.O.; Gatebe, C.K.; Schaaf, C.B.; Poudyal, R.; Wang, Z.; King, M.D. Variability in surface BRDF at different spatial scales (30 m–500 m) over a mixed agricultural landscape as retrieved from airborne and satellite spectral measurements. Remote Sens. Environ. 2011, 115, 2184–2203. [Google Scholar] [CrossRef]
- Weiss, M.; Baret, F.; Smith, G.J.; Jonckheere, I.; Coppin, P. Review of methods for in situ leaf area index (LAI) determination Part II. Estimation of LAI, errors and sampling. Agric. For. Meteorol. 2004, 121, 37–53. [Google Scholar] [CrossRef]
- Guangjian, Y.; Ronghai, H.; Jinghui, L.; Marie, W.; Hailan, J.; Xihan, M. Agricultural and Forest Meteorology Review of indirect optical measurements of leaf area index: Recent advances, challenges, and perspectives. Agric. For. Meteorol. 2018, 265, 390–411. [Google Scholar] [CrossRef]
- Zheng, G.; Moskal, L.M. Retrieving Leaf Area Index (LAI) Using Remote Sensing: Theories, Methods and Sensors. Sensors 2009, 9, 2719–2745. [Google Scholar] [CrossRef]
- Fang, H.; Li, W.; Wei, S.; Jiang, C. Agricultural and Forest Meteorology Seasonal variation of leaf area index (LAI) over paddy rice fields in NE China: Intercomparison of destructive sampling, LAI-2200, digital hemispherical photography (DHP), and AccuPAR methods. Agric. For. Meteorol. 2014, 198–199, 126–141. [Google Scholar] [CrossRef]
- Jonckheere, I.; Fleck, S.; Nackaerts, K.; Muys, B.; Coppin, P.; Weiss, M.; Baret, F. Review of methods for in situ leaf area index determination Part I. Theories, sensors and hemispherical photography. Agric. For. Meteorol. 2004, 121, 19–35. [Google Scholar] [CrossRef]
- Viña, A.; Gitelson, A.A.; Nguy-robertson, A.L.; Peng, Y. Remote Sensing of Environment Comparison of different vegetation indices for the remote assessment of green leaf area index of crops. Remote Sens. Environ. 2011, 115, 3468–3478. [Google Scholar] [CrossRef]
- Asner, G.P.; Braswell, B.H.; Schimel, D.S.; Wessman, C.A. Ecological Research Needs from Multiangle Remote Sensing Data. Remote Sens. Environ. 1998, 63, 155–165. [Google Scholar] [CrossRef]
- Delegido, J.; Verrelst, J.; Meza, C.M.; Rivera, J.P.; Alonso, L.; Moreno, J. A red-edge spectral index for remote sensing estimation of green LAI over agroecosystems. Eur. J. Agron. 2013, 46, 42–52. [Google Scholar] [CrossRef]
- Zeng, Y.; Chen, J.M.; Joiner, J.; Frankenberg, C. Optical vegetation indices for monitoring terrestrial ecosystems globally. Nat. Rev. Earth Environ. 2022, 3, 477–493. [Google Scholar] [CrossRef]
- Content, C. Evaluation of Sentinel-2 Red-Edge Bands for Empirical Estimation of Green LAI and Chlorophyll Content. Sensors 2011, 11, 7063–7081. [Google Scholar] [CrossRef]
- Norman, J.M.; Jarvis, P.G. Photosynthesis in Sitka Spruce (Picea sitchensis (Bong.) Carr.). III. Measurements of Canopy Structure and Interception of Radiation. J. Appl. Ecol. 1974, 11, 375–398. [Google Scholar] [CrossRef]
- Monteith, J. DigitalCommons @ University of Nebraska—Lincoln Light Interception and Radiative Exchange in Crop Stands. In Physiological Aspects of Crop Yield; American Society of Agronomy, Inc.: Madison, WI, USA, 1969. [Google Scholar]
- Bonansea, M.; Ledesma, M.; Bazán, R.; Ferral, A.; German, A.; Mill, P.O.; Rodriguez, C.; Pinotti, L. Journal of South American Earth Sciences Evaluating the feasibility of using Sentinel-2 imagery for water clarity assessment in a reservoir. J. S. Am. Earth Sci. 2019, 95, 102265. [Google Scholar] [CrossRef]
- Louis, J.; Debaecker, V.; Pflug, B.; Main-knorn, M.; Bieniarz, J. Sentinel-2 Sen2Cor: L2A Processor for Users. In Proceedings of the ESA Living Planet Symposium 2016, Prague, Czech Republic, 9–13 May 2016; Volume 2016, pp. 9–13. [Google Scholar]
- Chamorro Sevilla, H.E.; Erazo, A. Estudio multiespectral del cultivo de tuna para determinar los índices NDVI, CWSI y SAVI, a partir de imágenes SENTINEL 2A, en el cantón Guano, provincia de Chimborazo, Ecuador. Enfoque UTE 2019, 10, 55–66. [Google Scholar] [CrossRef]
- Hunt, M.L.; Blackburn, G.A.; Carrasco, L.; Redhead, J.W.; Rowland, C.S. Remote Sensing of Environment High resolution wheat yield mapping using Sentinel-2. Remote Sens. Environ. 2019, 233, 111410. [Google Scholar] [CrossRef]
- Tanre, D.; Holben, B.; Kaufman, Y. Atmospheric Correction Algorithm for NOAA-AVHRR Products: Theory and Application. IEEE Trans. Geosci. Remote Sens. 1992, 30, 231–248. [Google Scholar] [CrossRef]
- Sahoo, R.N.; Ray, S.S.; Manjunath, K.R. Hyperspectral remote sensing of agriculture. Curr. Sci. 2015, 108, 848–859. [Google Scholar]
- Sensing, R.; Sydney, T.; Huete, A.R. A soil-adjusted vegetation index (SAVI). Remote Sens. Environ. 1988, 25, 295–309. [Google Scholar] [CrossRef]
- Apan, A.; Held, A.; Phinn, S.; Markley, J. Formulation and assessment of narrow-band vegetation indices from EO-1 Hyperion imagery for discriminating sugarcane disease. In Proceedings of the Spatial Sciences Institute Biennial Conference (SSC 2003): Spatial Knowledge without Boundaries, Canberra, Australia, 22–26 September 2003; pp. 1–13. [Google Scholar]
- Daughtry, C.S.T.; Walthall, C.L.; Kim, M.S.; De Colstoun, E.B. Estimating Corn Leaf Chlorophyll Concentration from Leaf and Canopy Reflectance. Remote Sens. Environ. 2000, 74, 229–239. [Google Scholar] [CrossRef]
- Li, J.; Chen, X.; Tian, L.; Huang, J.; Feng, L. Improved capabilities of the Chinese high-resolution remote sensing satellite GF-1 for monitoring suspended particulate matter (SPM) in inland waters: Radiometric and spatial considerations. ISPRS J. Photogramm. Remote Sens. 2015, 106, 145–156. [Google Scholar] [CrossRef]
- Blackburn, G.A. Spectral indices for estimating photosynthetic pigment concentrations: A test using senescent tree leaves. Int. J. Remote Sens. 1998, 19, 657–676. [Google Scholar] [CrossRef]
- Hassler, S.C.; Baysal-Gurel, F. Unmanned aircraft system (UAS) technology and applications in agriculture. Agronomy 2019, 9, 618. [Google Scholar] [CrossRef]
- Casella, A.; Orden, L.; Pezzola, N.A.; Bellaccomo, C.; Winschel, C.I.; Caballero, G.R.; Manuel, L.; Gracia, N.; Verrelst, J. Analysis of Biophysical Variables in an Onion Crop (Allium cepa L.) with Nitrogen Fertilization by Sentinel-2 Observations. Agronomy 2022, 12, 1884. [Google Scholar] [CrossRef] [PubMed]
- Palacios, F.; Diago, M.P.; Melo-Pinto, P.; Tardaguila, J. Early yield prediction in different grapevine varieties using computer vision and machine learning. Precis. Agric. 2023, 24, 407–435. [Google Scholar] [CrossRef]
- Jean-Simon, L.; Mont-Gerard, J.B.; Sander, J.J. Effect of Early Season Weed Competition Duration on Onion Yield. Proc. Fla. State Hort. Soc. 2012, 125, 226–228. [Google Scholar]
- Teshika, J.D.; Zakariyyah, A.M.; Zaynab, T.; Zengin, G.; Rengasamy, K.R.R.; Pandian, S.K.; Fawzi, M.M. Traditional and modern uses of onion bulb (Allium cepa L.): A systematic review. Crit. Rev. Food Sci. Nutr. 2019, 59, S39–S70. [Google Scholar] [CrossRef]
- Kanjana, D. Foliar application of magnesium oxide nanoparticles on nutrient element concentrations, growth, physiological, and yield parameters of cotton. J. Plant Nutr. 2020, 43, 3035–3049. [Google Scholar] [CrossRef]
- Abdulridha, J.; Ampatzidis, Y.; Roberts, P. ScienceDirect Detecting powdery mildew disease in squash at different stages using UAV-based hyperspectral imaging and artificial intelligence. Biosyst. Eng. 2020, 197, 135–148. [Google Scholar] [CrossRef]
- Djamai, N.; Fernandes, R.; Weiss, M.; Mcnairn, H.; Goïta, K.; Centre, C.; Canada, N.R.; Street, R.; Ka, O. Remote Sensing of Environment Validation of the Sentinel Simplified Level 2 Product Prototype Processor (SL2P) for mapping cropland biophysical variables using Sentinel-2/MSI and Landsat-8/OLI data. Remote Sens. Environ. 2019, 225, 416–430. [Google Scholar] [CrossRef]
- Xie, Q.; Dash, J.; Huete, A.; Jiang, A.; Yin, G.; Ding, Y.; Peng, D.; Hall, C.C.; Brown, L.; Shi, Y.; et al. Retrieval of crop biophysical parameters from Sentinel-2 remote sensing imagery. Int. J. Appl. Earth Obs. Geoinf. 2019, 80, 187–195. [Google Scholar] [CrossRef]
- Psomiadis, E.; Dercas, N.; Dalezios, N.R. Evaluation and cross-comparison of vegetation indices for crop monitoring from sentinel-2 and worldview-2 images. In Proceedings of the Remote Sensing for Agriculture, Ecosystems, and Hydrology XIX, Warsaw, Poland, 12–14 September 2017. [Google Scholar] [CrossRef]
- Rahman, M.M.; Lamb, D.W.; Stanley, J.N. Agricultural and Forest Meteorology The impact of solar illumination angle when using active optical sensing of NDVI to infer fAPAR in a pasture canopy. Agric. For. Meteorol. 2015, 202, 39–43. [Google Scholar] [CrossRef]
- Azzaza, S.; El-Hilo, M.; Narayanan, S.; Judith Vijaya, J.; Mamouni, N.; Benyoussef, A.; El Kenz, A.; Bououdina, M. Structural, optical and magnetic characterizations of Mn-doped MgO nanoparticles. Mater. Chem. Phys. 2014, 143, 1500–1507. [Google Scholar] [CrossRef]
- Abdel-Hakim, S.G.; Shehata, A.S.A.; Moghannem, S.A.; Qadri, M.; El-Ghany, M.F.A.; Abdeldaym, E.A.; Darwish, O.S. Nanoparticulate Fertilizers Increase Nutrient Absorption Efficiency and Agro-Physiological Properties of Lettuce Plant. Agronomy 2023, 13, 691. [Google Scholar] [CrossRef]
- Lemoine, R.; La Camera, S.; Atanassova, R.; Dédaldéchamp, F.; Allario, T.; Pourtau, N.; Bonnemain, J.-L.; Laloi, M.; Coutos-Thévenot, P.; Maurousset, L.; et al. Source-to-sink transport of sugar and regulation by environmental factors. Front. Plant Sci. 2013, 4, 272. [Google Scholar] [CrossRef] [PubMed]
- Mahmoud, A.W.M.; Rashad, H.M.; Esmail, S.E.A.; Alsamadany, H.; Abdeldaym, E.A. Application of Silicon, Zinc, and Zeolite Nanoparticles—A Tool to Enhance Drought Stress Tolerance in Coriander Plants for Better Growth Performance and Productivity. Plants 2023, 12, 2838. [Google Scholar] [CrossRef]
- Laing, W.; Greer, D.; Sun, O.; Beets, P.; Lowe, A.; Payn, T. Physiological impacts of Mg deficiency in Pinus radiata: Growth and photosynthesis. New Phytol. 2000, 146, 47–57. [Google Scholar] [CrossRef]
- Aklilu Tesfaye, A.; Gessesse Awoke, B. Evaluation of the saturation property of vegetation indices derived from sentinel-2 in mixed crop-forest ecosystem. Spat. Inf. Res. 2021, 29, 109–121. [Google Scholar] [CrossRef]










| Sampling | Date Field | Phonological Stage | |
|---|---|---|---|
| Season 1 | Season 2 | ||
| 1 | 12 July 2021 | 14 November 2021 | Sowing |
| 2 | 22 July 2021 | 24 December 2021 | Vegetative growth |
| 3 | 21 August 2021 | 29 December 2021 | Vegetative growth |
| 4 | 30 September 2021 | 27 February 2022 | Green onion at small bulb |
| 5 | 10 October 2021 | 9 March 2022 | Harvest |
| Field-Work Date | Year | Sentinel-2 Image Code |
|---|---|---|
| 7 | 2021 | S2A_MSIL2A_20210712T082611_N0301_R021_T36RVU_20210712T105153. S2A_MSIL2A_20210722T082611_N0301_R021_T36RVU_20210722T115007. |
| 8 | S2A_MSIL2A_20210821T082601_N0301_R021_T36RVU_20210821T115536. | |
| 9 | S2A_MSIL2A_20210930T082741_N0301_R021_T36RVU_20210930T114832. | |
| 10 | S2A_MSIL2A_20211010T082851_N0301_R021_T36RVU_20211010T103901. | |
| 11 | S2B_MSIL2A_20211114T083119_N0301_R021_T36RVU_20211114T104809. S2B_MSIL2A_20211124T083159_N0301_R021_T36RVU_20211124T105643. | |
| 12 | S2A_MSIL2A_20211229T083351_N0301_R021_T36RVU_20211229T120109. | |
| 2 | 2022 | S2A_MSIL2A_20220227T082911_N0400_R021_T36RVU_20220227T095921. |
| 3 | S2A_MSIL2A_20220309T082801_N0400_R021_T36RVU_20220309T120842. |
| Sentinel-2 Bands | Sentinel-2A | Sentinel-2B | Spatial Resolution (m) | ||
|---|---|---|---|---|---|
| Central Wavelength (nm) | Band Width (nm) | Central Wavelength (nm) | Band Width (nm) | ||
| Band 1 (Coastal aerosol) | 442.7 | 21 | 442.2 | 21 | 60 |
| Band 2 (Blue) | 492.4 | 66 | 492.1 | 66 | 10 |
| Band 3 (Green) | 559.8 | 36 | 559.0 | 36 | 10 |
| Band 4 (Red) | 664.6 | 31 | 664.9 | 31 | 10 |
| Band 5 (Vegetation red edge) | 704.1 | 15 | 703.8 | 16 | 20 |
| Band 6 (Vegetation red edge) | 740.5 | 15 | 739.1 | 15 | 20 |
| Band 7 (Vegetation red edge) | 782.8 | 20 | 779.7 | 20 | 20 |
| Band 8 (NIR) | 832.8 | 106 | 832.9 | 106 | 10 |
| Band 8A (Narrow NIR) | 864.7 | 21 | 864.0 | 22 | 20 |
| Band 9 (Water vapor) | 945.1 | 20 | 943.2 | 21 | 60 |
| Band 10 (SWIR–Cirrus) | 1373.5 | 31 | 1376.9 | 30 | 60 |
| Band 11 (SWIR) | 1613.7 | 91 | 1610.4 | 94 | 20 |
| Band 12 (SWIR) | 2202.4 | 175 | 2185.7 | 185 | 20 |
| Abbreviation | Name | Formula | References |
|---|---|---|---|
| ARVI | Atmospherically Resistant Vegetation Index | [50] | |
| NDVI | Normalized Difference Vegetation Index | [51] | |
| SAVI | Soil Adjusted Vegetation Index | [52] | |
| DSWI | Disease-Water Stress Index | [53] | |
| MCARI | Modified Chlorophyll Absorption Ratio Index | [54] | |
| REIP | Red-Edge Inflection Point Index | [55] | |
| PSSRa | Pigment-Specific Simple Ratio (chlorophyll index) | [56] |
| Index | Model | R2 | LAI (m2 m−2) F-Anova | Model | R2 | FAPAR (µg cm−2) F-Anova |
|---|---|---|---|---|---|---|
| First Season | ||||||
| ARVI | y = 2.37x − 0.05 | 0.75 | 73.56 | y = 0.6x + 0.16 | 0.87 | 171.8 |
| DSWI | y = 2.7x − 1.7 | 0.72 | 63.06 | y = 0.71x − 0.27 | 0.86 | 152.2 |
| MCARI | y = 17.9x − 0.32 | 0.68 | 53.03 | y = 4.68x + 0.09 | 0.84 | 126.68 |
| NDVI | y = 3.06x − 0.71 | 0.78 | 85.98 | y = 0.77x + 0.0023 | 0.89 | 204.18 |
| PSSRa | y = 0.38x − 0.45 | 0.90 | 234.33 | y = 0.09x + 0.08 | 0.94 | 428.07 |
| REIP | y = 0.07x − 53.1 | 0.60 | 37.35 | y = 0.019x − 13.9 | 0.77 | 80.64 |
| SAVI | y = 3.32x − 0.29 | 0.66 | 46.62 | y = 0.87x + 0.09 | 0.82 | 110.95 |
| Index | LAI Model | R2 | LAI (m2 m−2) F-Anova | FAPAR Model | R2 | FAPAR (µg cm−2) F-Anova |
|---|---|---|---|---|---|---|
| Second Season | ||||||
| ARVI | y = 2.9x − 0.12 | 0.77 | 83.77 | y = 0.85x + 0.1 | 0.96 | 599.37 |
| DSWI | y = 3.6x − 2.45 | 0.8 | 100.38 | y = 1.05x − 0.56 | 0.91 | 248.36 |
| MCARI | y = 15.5x − 0.2 | 0.9 | 227.02 | y = 4.19x + 0.09 | 0.94 | 410.95 |
| NDVI | y = 3.3x − 0.75 | 0.82 | 101.85 | y = 0.95x − 0.07 | 0.96 | 746.73 |
| PSSRa | y = 0.44x − 0.56 | 0.91 | 271.76 | y = 0.12x + 0.01 | 0.97 | 793.96 |
| REIP | y = 0.04x − 27.6 | 0.38 | 14.74 | y = 0.01x − 9.57 | 0.67 | 49.32 |
| SAVI | y = 3.6x − 0.36 | 0.68 | 53.24 | y = 1.12x + 0.02 | 0.91 | 263.97 |
| Sentinel-2 | Field | |||
|---|---|---|---|---|
| First season | ||||
| LAI | FAPAR | LAI | FAPAR | |
| R2 | 0.76 | 0.89 | 0.88 | 0.82 |
| Model | y = 44.136x + 20.073 | y = 202.606x − 21.397 | y = 32.34x − 1.77 | y = 148.27x − 46.855 |
| F-anova | 78.81 | 210.5 | 184.25 | 112.1 |
| Second season | ||||
| LAI | FAPAR | LAI | FAPAR | |
| R2 | 0.57 | 0.78 | 0.78 | 0.89 |
| Model | y = 28.052x + 40.762 | y = 124.32x + 18.434 | y = 48.354x − 11.433 | y = 252.49x − 106.7 |
| F-anova | 33.04 | 89.91 | 85.57 | 210.05 |
| Index | First Season | Second Season | ||||
|---|---|---|---|---|---|---|
| Model | R2 | F Value | Model | R2 | F Value | |
| ARVI | y = 133.66x + 9.456 | 0.94 | 385.71 | y = 108.87x + 30.606 | 0.79 | 91.73 |
| DSWI | y = 156.48x − 88.16 | 0.91 | 270.81 | y = 138.19x − 57.897 | 0.84 | 104.43 |
| MCARI | y = 1055.1x − 8.228 | 0.93 | 339.66 | y = 490.23x + 32.033 | 0.66 | 46.58 |
| NDVI | y = 169.67x − 26.767 | 0.94 | 410.36 | y = 122.09x + 7.384 | 0.84 | 132.91 |
| PSSRa | y = 18.916x − 5.593 | 0.86 | 154.64 | y = 13.291x + 22.485 | 0.61 | 38.53 |
| REIP | y = 4.523 x − 3208.7 | 0.87 | 175.38 | y = 2.054x − 1418.1 | 0.76 | 78.25 |
| SAVI | y = 198.62x − 7.11 | 0.92 | 297.73 | y = 147.87x + 18.424 | 0.82 | 111.81 |
| Parameter | R2 | RMSE | NRMSE |
|---|---|---|---|
| LAI (Sentinel-2) | 0.41 | 22.5 | 0.41 |
| FAPAR (Sentinel-2) | 0.83 | 21.72 | 0.39 |
| LAI (Field) | 0.89 | 16.5 | 0.30 |
| FAPAR (Field) | 0.90 | 12.48 | 0.22 |
| Parameter | R2 | RMSE | NRMSE |
|---|---|---|---|
| ARVI | 0.91 | 25.39 | 0.46 |
| DSWI | 0.88 | 19.23 | 0.34 |
| MCARI | 0.91 | 14.95 | 0.27 |
| NDVI | 0.80 | 24.69 | 0.44 |
| PSSRa | 0.71 | 24.5 | 0.44 |
| REIP | 0.92 | 23.14 | 0.42 |
| SAVI | 0.87 | 16.46 | 0.29 |
Disclaimer/Publisher’s Note: The statements, opinions and data contained in all publications are solely those of the individual author(s) and contributor(s) and not of MDPI and/or the editor(s). MDPI and/or the editor(s) disclaim responsibility for any injury to people or property resulting from any ideas, methods, instructions or products referred to in the content. |
© 2023 by the authors. Licensee MDPI, Basel, Switzerland. This article is an open access article distributed under the terms and conditions of the Creative Commons Attribution (CC BY) license (https://creativecommons.org/licenses/by/4.0/).
Share and Cite
Hassan, H.A.; Abdeldaym, E.A.; Aboelghar, M.; Morsy, N.; Kucher, D.E.; Rebouh, N.Y.; Ali, A.M. Multi-Sensor Remote Sensing to Estimate Biophysical Variables of Green-Onion Crop (Allium cepa L.) under Different Sources of Magnesium in Ismailia, Egypt. Sustainability 2023, 15, 16048. https://doi.org/10.3390/su152216048
Hassan HA, Abdeldaym EA, Aboelghar M, Morsy N, Kucher DE, Rebouh NY, Ali AM. Multi-Sensor Remote Sensing to Estimate Biophysical Variables of Green-Onion Crop (Allium cepa L.) under Different Sources of Magnesium in Ismailia, Egypt. Sustainability. 2023; 15(22):16048. https://doi.org/10.3390/su152216048
Chicago/Turabian StyleHassan, Hassan A., Emad A. Abdeldaym, Mohamed Aboelghar, Noha Morsy, Dmitry E. Kucher, Nazih Y. Rebouh, and Abdelraouf M. Ali. 2023. "Multi-Sensor Remote Sensing to Estimate Biophysical Variables of Green-Onion Crop (Allium cepa L.) under Different Sources of Magnesium in Ismailia, Egypt" Sustainability 15, no. 22: 16048. https://doi.org/10.3390/su152216048
APA StyleHassan, H. A., Abdeldaym, E. A., Aboelghar, M., Morsy, N., Kucher, D. E., Rebouh, N. Y., & Ali, A. M. (2023). Multi-Sensor Remote Sensing to Estimate Biophysical Variables of Green-Onion Crop (Allium cepa L.) under Different Sources of Magnesium in Ismailia, Egypt. Sustainability, 15(22), 16048. https://doi.org/10.3390/su152216048

