Abstract
The iron and steel industry in China is characterized by high energy consumption, high air pollutant emissions and high greenhouse gas (GHG) emissions, and it is imperative to reduce air pollutants and control GHG emissions in the present and future. Quantifying the synergistic effects of air pollutants and GHG emissions reduction in the ISI is helpful for controlling the emissions of both jointly. Taking a typical integrated iron and steel works as a case study, the synergistic effect between the environmental impacts (EIs) of air pollutants and GHGs under different scenarios was quantified through a life cycle assessment (LCA). The total environmental impact of the business-as-usual scenario, ultra-low emissions scenario, carbon peak scenario and comprehensive emission reduction scenario were 1.629 × 10−10, 1.670 × 10−10, 1.322 × 10−10 and 1.341 × 10−10, respectively. Based on the analysis of synergistic effects, the comprehensive emission reduction scenario combined the other two to better coordinate the emissions of air pollutants and greenhouse gases.
1. Introduction
The energy structure of China’s iron and steel industry (ISI), which is dominated by coal, and the extensive use of carbon-containing raw materials and fuels, make it the third-largest greenhouse gas (GHG) emissions industry after the thermal power and cement industries [1]. The production process of the ISI also generates a large amount of exhaust gas and wastewater, including harmful substances such as SO2, NOx, particulate matter and heavy metals. The emission of these pollutants has adverse effects on the air and water quality, posing potential threats to the environment and human health. Therefore, it is a key industry that needs emissions control. In the past decade, with a series of structural adjustments and output control, the annual output of crude steel in China’s ISI has stabilized at about 800 million tons, accounting for nearly 50% of the world’s total output [2]. According to the China Statistical Yearbook [3], the total energy consumption of the ISI in 2018 was 623 million tons of standard coal, accounting for 13.20% of the total national energy consumption and 24.08% of the total energy consumption of the manufacturing industry. In terms of GHG emissions, the CO2 emissions related to energy consumption in China’s steel industry in 2017 were 1.677 billion tons, accounting for 17.96% of the total CO2 emissions related to energy consumption nationwide [4]. Therefore, the ISI is a high-energy-consuming, high-carbon- and high-atmospheric-pollution-emitting industry.
Local industrial air pollutants, including particulate matter (PM), SO2 and NOx, and most GHG emissions are mainly generated by burning fossil fuels. Therefore, there is a synergy between reducing air pollutants and controlling GHG emissions [5]. Due to the homology of the generation of air pollutants and GHGs, the application of emissions reduction measures to abate air pollutants or GHGs can affect the discharge amount of both at the same time. According to the purpose of emissions reduction measures, research on the synergistic effects can be divided into two categories. The first is the research on the impact of GHG emissions reduction measures on atmospheric pollutant emissions. For example, Liang et al. and Murata et al. used a GAMS model to conduct scenario analysis, taking into account the impact of a clean development mechanism and CO2 capture and storage technology on air pollutant emissions [6]. The second is to study the impact of air pollutant reduction measures on GHG emissions. Usually, GHG reduction is shown as a positive synergy of air pollutant control measures. Many studies pointed out that reduction can be achieved through energy conservation by adjusting the industrial structure and energy structure; improving energy utilization; and reducing the proportion of heavy-polluting industries, such as the heavy chemical industry [7,8,9]. In addition, there are measures aimed at reducing energy consumption and cleaner production, which also affect the emission of GHGs and atmospheric pollutants. For example, Kuramochi et al. and Xuan et al. believed that the use of purchased steel scrap can simultaneously reduce CO2, SO2 and PM generated by the ISI [10,11]. Chun et al. and Griffin et al. studied the synergistic emissions reduction effect of SO2, NOx, PM and CO2 brought about by energy-saving technology in the steel industry [12,13]. On the other hand, negative synergistic effects also exist [14]. For instance, some studies indicated that while the terminal treatment technology can effectively control the emission of air pollutants, the CO2 emissions would increase due to the growth of energy consumption [15]. Thus, changes in the use of external energy under energy-saving measures and changes in the bill of materials under emissions reduction measures would vary energy flows, logistics and pollutant emissions. It is necessary to have in-depth consideration and quantification of the possible synergistic effects of various emissions reduction policies.
From the perspective of life cycle assessment (LCA), the environmental impact (EI) of products would be affected by the adjustment of used energy and resources. Using LCA to study the environmental characteristics of products has become one of the most popular type of studies in the ISI. It is defined by International Organization of Standardization (ISO14040) that LCA refers to the whole process of considering resources, energy consumption and environmental emissions in a product system and evaluating their related environmental impacts [16,17]. It is an environmental management and analysis tool based on the whole life cycle of products. LCA quantifies the resource consumption and environmental emissions from the whole process of the life cycle of products, and evaluates the impact of the consumption and emissions on resources, the ecological environment and human health. Also, using LCA can avoid possible repeated calculations caused by complex internal distribution, such as pollution transfer, energy flow and recycling [18,19] to accurately find the key processes and factors in each process of product production to reduce resource and energy consumption and environmental impact, reflecting the sustainability of the whole process of the product [20].
In the ISI, the combination of scenario analysis and LCA can also be used to improve the auxiliary decision-making of the production technology route. According to changes in economic and social indicators and policy requirements, scenario analysis can predict the future energy structure and use, and further forecast the GHG emissions of a certain industry, which can also estimate the air pollutants and GHG emissions reductions of various industries in the future, and combined with LCA, a full life cycle environmental impact assessment can be conducted [21,22,23,24]. For instance, Olmez et al. analyzed the enterprise’s EIs based on LCA under different production schemes of iron and steel enterprises and put forward suggestions for the sustainable development of enterprises [25]. Also, Chen et al. analyzed the four recovery strategies of converter slag by using LCA to assess the EIs and the reduction of resource consumption under each scenario [19]. Griffin et al. analyzed the environmental benefits of replacing natural gas with gas generated in the production process of the steel industry by setting different scenarios for the consumption ratio of by-product gas and natural gas [12].
Taking a typical Chinese long-process steel company as an example, this study evaluated the environmental impact of producing one ton of continuous-casting steel billet from cradle to gate using LCA. The CML-IA model was selected to characterize the results of the life cycle inventory using SimaPro software, and then key processes and factors were identified in the iron and steel production. Afterward, a sensitivity analysis was conducted on the results. Based on this, four scenarios were set by sorting out the emissions reduction policies related to ultra-low emissions and carbon peaking in the ISI industry. A combination of life cycle assessment and scenario analysis was used to evaluate the environmental impact of iron and steel production. Finally, environmental impact indicators related to atmospheric pollutants and GHGs were filtered, and we quantitatively evaluated the synergistic effects brought about by upstream power structure adjustment, transportation mode change, improvement of production technology and end-of-life governance technology application by analyzing the impact of emissions reduction policies on these indicators.
2. Methods
2.1. Life Cycle Assessment
According to different boundary definitions of the product system, LCA can be divided into ‘cradle to grave’, which ranges from raw material acquisition, transportation process, production, manufacturing and use process of products and energy to final waste disposal [26], and ‘cradle to gate’ life cycle assessment with product production as the end point [27].
2.1.1. Goals and Scope
Continuous-casting steel is the most commonly used method for pouring molten steel in China [28]. Since all the molten steel produced by the steel-making department of the iron and steel complex is continuously cast into continuous-casting steel billets, the functional unit for quantifying the input and output of each basic flow in the studied product system was defined as one ton of continuous-casting steel billet.
The system boundary was the life cycle of continuous-casting steel billet production from ‘cradle to gate’, as shown in Figure 1, which includes the exploitation and transportation of raw materials and fuels upstream, the production process of purchased electricity and heat, and the production process within the enterprise. The water supply of each department mainly came from circulating water, and a small part came from river water. Except for the sewage discharged from the coking department and self-owned power plant, the sewage generated by other sectors was recycled after treatment in the enterprise. For the power part, it was assumed that all purchased electricity and steam generation using waste heat utilization devices were attributed to the self-owned power plant. After distribution, the power generated by the self-owned power plant was transmitted to each power consumption sector. The steel rolling sector belonged to the downstream process of continuous-casting steel billet production. The consumption of raw materials and fuels in auxiliary production departments, such as the sewage treatment plant, oxygen station and air compression station, were low, and the data were difficult to obtain, and thus, they were not included in the system boundary.
Figure 1.
Life cycle assessment scope of continuous-casting steel billet.
The procurement sources of various raw and auxiliary materials in the enterprise were complex, and the transportation distance and mode were difficult to determine due to the limitation of data sources [29]. Therefore, this study only considered the transportation process of iron ore and coal into the system boundary to determine the EIs of the transportation. The iron ore studied mainly came from Brazil and Australia. It was transported to Zhoushan port by sea and transported to the enterprise’s special wharf by small-tonnage ships. Most of the coal came from China. It was transported to coastal ports by railway and then transported to the enterprise’s special wharf by sea, and a small part was transported by sea from abroad. The manufacturing, operation and maintenance processes of machinery and equipment were not included in the system boundary [25].
2.1.2. Life Cycle Inventory Analysis
According to the principles and framework of LCA in Environmental Management—Life Cycle Assessment—Principles and Framework [16,17], taking one-ton continuous-casting steel billet as the functional unit, the life cycle inventory was prepared for the basic flow input and output, covering the input of raw and auxiliary materials and energy, the output of products and by-products and the emission of pollutants [26]. In order to better clarify the impact of the upstream processes on the main production sectors, the six sectors of sintering, iron-making, steel-making, coking, lime roasting and the self-owned power plant were analyzed with the main products of the section as the functional unit. The preparation of the section list was also based on the following assumptions: when all the by-products produced by a section are put into use in the section, this part was not included in the list. When some of them were put into use in the section and some were sent to other sections, the input was directly deducted from the generated amount.
This study combed the input and output data of six sectors, constructed the life cycle inventory of each ton of continuous-casting steel billet produced by the studied iron and steel complex (Table A1), and imported it into SimaPro software as a process. Each material flow or energy flow in the list was called a basic flow. Each process and its upstream process formed a plan, which was connected through a basic flow, and the LCA project of continuous-casting steel billet production was constructed. The project could be used to calculate the environmental impact level of the whole enterprise and its upstream sections.
2.1.3. LCA Model
According to the life cycle impact assessment (LCIA) model, the results of a life cycle inventory can be divided into different impact types. Multiplying the characteristic factors in the model with the basic flow in the life cycle list can unify and accumulate the list results of the same impact type, and finally unify the EIs into several representative indicators so that decision makers can compare and select different schemes. According to the introduction of Environmental Management—Life Cycle Assessment—Principles and Framework, this process is also called characterization [17]. This study adopted the CML-IA model as the basis for the characterization and standardization of EIs [30]. The selection of EI indicators needs to be based on the principles of scientific effectiveness, environmental relevance, reproducibility and transparency, and in line with the emission characteristics of iron and steel enterprises [31]. In this study, 10 mid-point environmental impact indicators, including global warming potential (GWP), acidification potential (AP), eutrophication potential (EP), abiotic depletion potential (ADP), abiotic depletion (fossil fuels) potential (ADP fossil), photo-oxidant production potential (POCP), human toxicity potential (HTP), freshwater aquatic ecotoxicity potential (FAETP), marine aquatic ecotoxicity potential (MAETP), and terrestrial ecotoxicity potential (TETP) were selected for calculation and the results are explained [32]. The characterization and standardization methods are presented in Appendix B.
The version of the CML-IA model used in this study was 4.8. The model provides characterization factors for 1961 processes and standardization factors for various environmental impact indicators. The update times of the characterization factors and standardization factors were August 2016 and January 2016, respectively. The midpoint environmental impact indicators, standardized factors and weights used in this study are shown in Table A2. The results of previous research show that the ozone layer depletion potential of the steel industry is low [31], and thus, this study did not calculate and analyze the ozone layer depletion potential.
2.2. Emission Reduction Scenarios
From the perspective of the LCA, the policy adjustment has a great impact on the steel enterprises and the upstream industries, which are multi-industry and trans-department. Therefore, parameters can be adjusted according to relevant policies and development planning of enterprises, and several scenarios were set accordingly to analyze the changes in the EIs of iron and steel enterprises in the future under different policy scenarios. Taking the ultra-low emission transformation of China’s ISI and the policies related to China’s 2030 carbon peak goal as a reference, assumptions about the changes in the ISI and its upstream processes were made. Scenarios were designed by adjusting the energy structure, transportation and technical parameters in the life cycle, including the business-as-usual scenario (BAUS), ultra-low emissions scenario (ULES), carbon peak scenario (CPS) and comprehensive emissions reduction scenario (CERS). The specific definition and setting basis of each scenario are shown in Table 1. Also, Table 2 shows the main parameter settings for each scenario. Its impact on the LCA model mainly involved the following aspects: upstream power structure, transportation process, internal power structure, improvement of production technology and emission of air pollutants.
Table 1.
Definition and setting basis of each scenario.
Table 2.
Parameter settings in each scenario. The data of upstream power structure were calculated from the China Energy Outlook 2030. The data of other indicators came from the Second National Pollution Source Survey, the Emission Coefficient Manual and the Technical Code for the Treatment of Ultra-low Emission Flue Gas from Coal-fired Power Plants (HJ 2053-2018).
2.3. Synergistic Effect Analysis
The synergistic effect between the environmental impacts of air pollutants and GHGs under different emissions reduction scenarios helped to analyze the changes in the EIs of ISI in the future. According to the characterization method in CML-IA, SO2 and NOx were characterization factors in terms of HTP, AP and POCP, which means that they would cause environmental impacts in terms of human toxicity, acidification and photo-oxidant generation. PM has the characteristic factor of HTP, which means that it has an impact on human health. CO2 and other GHGs were characterized as GWP, which can be used to reflect the impact of continuous-casting steel billet production on GHG emissions and global climate change. From the perspective of LCA, the synergy of emissions reduction policies could also be reflected in the changes in the above indicators. Thus, four indicators of AP, HTP, POCP and GWP were selected to assess the synergistic effect of air pollutants and GHG emission reduction on the environment under various emission reduction scenarios. The EI of air pollutants could be obtained by standardizing, weighting and adding the three environmental impact index values of AP, HTP and POCP. The calculation methods for EIs and synergistic effects are shown in Appendix C.
3. Results and Discussion
3.1. Life Cycle Assessment
The CML-IA model was used in SimaPro software to characterize the results of the LCI, and the environmental impacts of each process were summed up to obtain the LCA results of each ton of continuous-casted steel billet produced by the iron and steel complex. After that, 10 mid-point environmental impact indicators were standardized and a weighted average was calculated using the standardized factors, weights and formulas. The characterization results and standardization results of the LCA are shown in Table 3.
Table 3.
Life cycle assessment results of one-ton continuous-casting steel billet produced by the studied iron and steel complex.
It is apparent from the table that the EIs of iron and steel enterprises were mainly concentrated in four categories: global warming potential, abiotic depletion potential (fossil fuels), acidification potential and marine aquatic ecotoxicity potential, with other indicators accounting for a relatively low proportion. After the weighted average, the total EI for each ton of continuous-casting billet produced was 1.97 × 10−10.
Each category represented the EIs caused by certain pollutants. Table 3 shows that GWP (6.52 × 10−11) had the greatest impact in the life cycle of the iron and steel production among the ten environmental impact categories, representing 33.04% of the total EI, mainly because of CO2 and CH4 emissions by fuel consumption, followed by ADP fossil fuels (6.00 × 10−11) > AP (3.20 × 10−11) > MAETP (2.87 × 10−11) > EP (8.09 × 10−12) > POCP (2.11 × 10−12) > HTP (6.46 × 10−13) > ADP (3.13 × 10−13) > FAETP (1.91 × 10−13) > TETP (1.90 × 10−13). ADP fossil, AP and MAETP were the second, third and fourth most influential categories, accounting for 30.36%, 16.21% and 14.54% of the total, respectively. ADP and ADP (fossil fuels) mean the depletion of natural resources and fossil fuels. SO2 was the main contributing factor for AP. Electricity generated from thermal power, which exhausts a large amount of pollution, had a great impact on HTP, MAEP, and TETP values. Wastewater was the main factor for EP and FAEP. The high POCP value was mainly because of the large amount of hydrocarbon and NOx generated. Thus, the EIs of GHGs, SO2 and the electricity production process in the production of continuous-casting steel billet were very serious. Zhang chose eight environmental impact categories to analyze the EIs of the ISI industry [26]. The results also show that the most significant environmental impact category was GWP, and the major contributor was fuel consumption. Therefore, reducing fuel consumption is the most effective way to improve the environmental performance of the ISI in China.
3.2. Key Process and Key Factor Analysis
The LCIA identified the key processes and factors that have a greater impact on the environmental indicators from two aspects: internal production processes and the upstream processes. The six internal production processes included coking, iron-making, steel-making, sintering, lime roasting and the self-owned power plant. The five upstream processes included iron ore mining and production, coal mining and production, iron ore and coal transportation, upstream power production, and production of other raw and auxiliary materials. Through the analysis of these two aspects, identifying the processes with high EIs will help to develop more targeted emissions reduction plans.
After the data were standardized and the weighted average was calculated, the calculation results of various environmental impact indicators were comparable. Table 4 shows the relative level of various environmental impacts caused by pollutant emissions in six production processes in the iron and steel enterprise. In the internal production process, GWP and ADP fossil had the highest EIs, accounting for 39.63% and 33.24%, respectively. The pollutants discharged by the enterprise had a relatively small impact on TETP, ADP elements and HTP. Among the six internal production processes, the self-owned power plant contributed the most to the overall EI, and it accounted for large proportions of GWP and AP.
Table 4.
Proportion of environmental impact in the internal production process of iron and steel complex investigated in this study (%). The six internal production processes included coking, iron-making, steel-making, sintering, lime roasting and the self-owned power plant.
The EI of GWP of the self-owned power plant, sintering, coking and iron-making sectors was also relatively high, indicating that the production activities of these four sectors would have a significant impact on the global greenhouse effect. The coking sector also contributed the most to ADP fossil, accounting for 16.07% because of the raw materials used in the coking process. The self-owned power plant had the highest contribution to AP, indicating that the emissions of SO2 were high in this department. In general, the total EIs of steel-making and lime roasting were generally low, and the impacts only accounted for 0.33% and 0.18%, respectively. The EI of the steel-making process was mainly manifested in GWP, while the EI of the lime roasting sector was mainly reflected in ADP (fossil).
Overall, the environmental impact within the boundary was mainly reflected in the ADP (fossil), GWP and AP. The EIs of the self-owned power plant, iron-making and coking departments accounted for a relatively high proportion.
Table 5 shows the proportion of EI of continuous-casting steel billet production processes and upstream processes within the scope. The proportion of EI of the internal steel production process for GWP reached 20.59%, indicating that all internal production processes of the iron and steel enterprise would have a significant impact on global warming. You et al. indicated that the component production stage is the main contributor to carbon emissions, accounting for 60% to 73% of carbon emissions of the whole life cycle [33]. Furthermore, the coal production process also had high EI in terms of ADP fossil, MAETP, and GWP, accounting for 24.73%, 18.21% and 5.39% of the total EI, respectively. In general, the purchased electric power would bring certain environmental impacts in terms of MAETP, with an EI proportion of 12.19%. Except for this, the proportions of the iron ore production process and transportation process were relatively low, and thus, the EIs they contributed were also low.
Table 5.
Proportion of environmental impact of steel production process and upstream processes in the iron and steel complex. The four upstream processes included iron ore mining and production, coal mining and production, iron ore and coal transportation, and upstream power production.
From Table 5, the processes of steel production, coal production, and purchased power production had a high proportion of EI on various environmental impact indicators, and their environmental impact proportions were 31.67%, 52.18%, and 15.13%, respectively, identified as key processes. Thus, the coal and power provided for the steel production process were identified as key factors. Ding et al. showed that during the processing phase, the main contributors to environmental impacts were the use of coal for power generation and steam production [34]. Further combining this with the analysis in Table 4, it can be seen that the environmental impacts mainly came from self-owned power plants, coking, and iron-making departments, and were mainly reflected in GWP, ADP (fossil), AP, and EP. The EIs accounted for 39.63%, 16.33%, and 33.24%, respectively. These indicators were closely related to the emissions of air pollutants and GHGs. Therefore, CO2, SO2, NOx, and PM emitted during steel production are listed as key factors.
3.3. Sensitivity Analysis
A sensitivity analysis identified several opportunities to make the supply chain more environmentally friendly in iron and steel production [34]. Through the sensitivity analysis, the impact of key processes and factors on the results could be determined, and propose more efficient improvement direction. Song analyzed that 84.94% of carbon dioxide is emitted during the production and manufacturing stages in the ISI by using a sensitivity analysis [35]. Based on the analysis of the environmental impact of each process in Section 3.2, it was identified that its key processes were the purchased power production process, coal mining process and steel production process, and the key factors were the purchased electricity; coal consumption; and SO2, NOx, PM and CO2 emitted during steel production. After declining the use or emissions of the six key factors by 5%, the LCA was conducted again and the results were standardized and a weighted average was calculated. Compared with the original assessment results, the change range of each EI is shown in Table 6. If the value in the table is zero, this means that this indicator was not affected by the reduction of resource input or the change in pollutant emissions. A negative value means that with the reduction of resource input or the reduction in pollutant emissions, the corresponding environmental impact shows a downward trend. A large change means the total EI was highly sensitive to the use of this raw material or the emission of this pollutant.
Table 6.
Sensitivity analysis results of key factors.
It can be seen that the ADP fossil, FAETP and POCP were the most sensitive to coal consumption. When the coal consumption decreased by 5%, these three indicators decreased by 5.06%, 4.24 and 4.37%, respectively. Previous studies also indicate that the key to carbon emissions in the ISI is fossil fuels [36,37]. Ding et al. established a scenario that used natural gas instead of coal for power production, and the result could decrease GWP to 13.79% [34]. A 5% reduction in the use of purchased power could reduce the MAETP by 7.19%, and thus, the high proportion of MAETP in the total environmental impact was caused by the purchase of electricity. In addition, other environmental impact indicators were also reduced to varying degrees. In the process of steel production, GWP was the most sensitive to CO2 emissions, and EP, POCP, AP and HTP were highly sensitive to SO2, PM and NOx emissions. In general, the sensitivity of coal was higher than that of purchased power, which means that decreasing the coal consumption could more effectively decrease the EI. The sensitivities of SO2 and CO2 were greater than that of NOx and PM, and thus, the reduction in SO2 and CO2 in the production process can bring higher environmental benefits.
3.4. Analysis of the Environmental Impact Assessment of Scenario Simulations
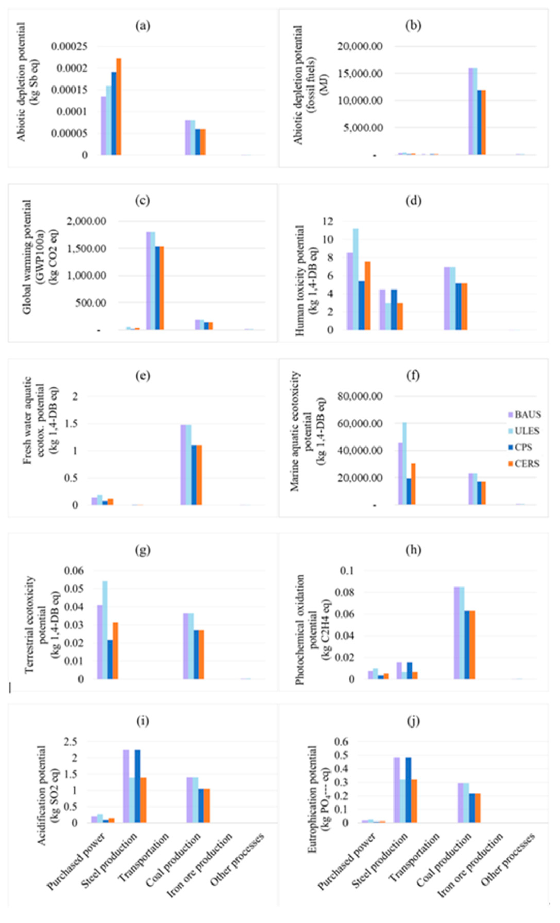
After adjusting the life cycle inventory, the CML-IA model was used to characterize the environmental impact, and the ten environmental impact indicators under four scenarios were calculated. The results are shown in Figure 2.
Figure 2.
Characteristic results of LCA under different emission reduction scenarios. (a–j) represent the upstream environmental impacts of four scenarios on each indicator.
Whether it was to carry out the ultra-low emission transformation of the air pollutant terminal treatment facilities or to reduce the power generation capacity of the self-owned power plants, it would lead to the increase of the purchased electricity, which would greatly increase the EI of the purchased electricity production process under the three emission reduction scenarios. The implementation of the ultra-low emission policy in the ISI greatly improved indicators such as AP, EP and POCP in the production process. Compared with the baseline scenario, the AP, EP and POCP of the ULES in the production process decreased by 20.05%, 19.45% and 4.96%, respectively. This was mainly because the implementation of ultra-low emissions significantly reduced the emissions of air pollutants. On the other hand, due to the increase in purchased electricity, the GWP per ton of steel billet produced increased from 2050 t CO2-eq to 2060 t CO2-eq, indicating that the ULES would have a negative synergy on the emissions of GHGs while significantly reducing the emissions of air pollutants and environmental impact during the steel production process.
The CPS would have a more significant impact on all links in the life cycle of steel production than the ULES. First, under the requirements of the CPS, the EIs of the upstream processes of the ISI included changes in the upstream power structure, the improvement in the electrification degree of raw material transportation, etc. Second, there would be significant changes in the production process within the steel enterprise, including the application of energy-saving technologies, such as waste heat recovery, the reduction of power generation from self-owned power plants and the improvement of steel production processes. This means a reduction in the use of fossil energy in the life cycle of steel production and a decrease in the use of raw materials and pollutant emissions resulting from the reduction in sintering and iron production within the steel enterprise.
According to Figure 2a, the abiotic depletion potential of purchased power grew in all scenarios, while the other EI indicators decreased. Photovoltaic power generation includes light sources, generates light pollution and affects animal migration. Photovoltaic panels block and alter solar thermal conditions, wind speed, etc., affecting the ecological environment of plant growth and greatly reducing the exposure to sunlight. In addition, after the completion of the photovoltaic power generation project, human activities in the area increased, affecting the original ecological environment of the project area and reducing the number of animals [38]. The EIs of other power generation methods were lower than thermal power generation in various environmental impact indicators. Under CPS, the external power consumption increased by 270.85% compared with the BAUS, and all environmental indicators except for ADP either remained stable or decreased. Therefore, it can be concluded that except for ADP, the adjustment of the upstream electricity structure can alleviate various environmental impacts caused by the increase in electricity consumption. In addition, compared with the BAUS, the various EIs of the other processes in the CPS decreased to varying degrees. It can be seen that the CPS can comprehensively affect steel production and its upstream process, as well as reduce various environmental impacts while reducing GHGs.
Under the CERS, the emissions reduction benefits of air pollutants and GHGs were the most obvious in the steel production process. Compared with the BAUS, the EIs of steel production of AP, EP, GWP and HTP decreased by 25.96%, 28.43%, 8.29% and 8.41%, respectively. However, under the comprehensive effect of the increase in power consumption of the end treatment facilities, the coal reduction and transformation of the self-owned power plant and the improvement of the energy-saving power generation technology, the outsourcing power of the enterprise increased by 283.72%, and the growth of the ADP was 165.38%. The change ranges of the EI index values of the other upstream processes were similar to those of the CPS. In general, under the CERS, the EIs of steel production process and transportation, coal production, iron ore production and other upstream processes were reduced, while the EI related to purchased power increased.
After standardization and the weighted average was calculated, the total EIs of BAUS, ULES, CPS and CERS were 1.629 × 10−10, 1.670 × 10−10, 1.322 × 10−10 and 1.341 × 10−10, respectively. Compared with the BAUS, although the ULES can decrease the EI of the steel production process, due to the significant increase in purchased power, resulting in a significant growth in upstream process emissions, namely, a 2.52% increase in the total EI. Under the CPS, the total EI of upstream processes would be reduced by 18.85% due to the reduction in the EI of the steel production process. The total EI of the CERS was 17.68% lower than that of the BAUS.
According to the above results, both the ULES and CPS would lead to enterprises consuming more purchased power. Zhang et al. also used LCA to evaluate the environmental performances of the selected cleaner production schemes in the ISI, and the result of the scheme of ‘the use of recycled water’ presents worse environmental impacts than the baseline scheme because of the added power consumption [26]. Thus, the EI of the electricity production process is very serious. It can be seen that although the application of two scenarios would lead to a growth in the total EI, the negative impact can be reduced when the steel enterprises and their upstream-related industries simultaneously carry out carbon emissions reduction and achieve low-carbon development. Although China has not yet conducted end-of-pipe control on CO2 emissions, some studies showed that various carbon capture and storage technologies can reduce CO2 emissions and GWP while increasing other environmental impacts [39]. Thus, we need to pay attention to the control of atmospheric pollutants or GHGs while reducing the other side to avoid the rise of the overall environmental impact. The implementation of both carbon peak policies and ultra-low emission policies would lead to an increase in the amount of electricity purchased by enterprises and an increase in the environmental impact. In order to decline the environmental impact of iron and steel production, it is necessary to decrease various environmental impacts of regional grid power generation on the basis of reducing electricity consumption.
3.5. The Synergistic Effect of Air Pollutant and GHG Emissions
Table 7 shows the incremental ratio of the environmental impact of each process in the life cycle of continuous-casting steel billet production under each emission reduction scenario to the EIs of each process in the baseline scenario. It can be seen from the table that taking into account the additional EIs caused by the increase in upstream power consumption, the ULES may cause a slight increase in the EIs related to GHGs while significantly reducing the EIs related to air pollutants. Overall, considering the additional EIs caused by the increased use of upstream electricity, the ULES led to a significant reduction in atmospheric pollutant-related EI, while slightly increasing GHG-related environmental impacts. Under the CPS and CERS, except for the production process of purchased electricity, which would significantly increase the EIs of atmospheric pollutants and GHGs, the EIs of other processes decreased to varying degrees. In general, these two scenarios would reduce the EIs related to air pollutants and GHGs in the life cycle of producing one ton of continuous-casting steel billet.
Table 7.
Change proportion of environmental impact of each process in the life cycle under each emissions reduction scenario.
Table 8 presents the cross-elasticity coefficient based on the environmental impact under each emissions reduction scenario, which is the synergy value. The synergistic effect between different emissions reduction policies can be further compared and evaluated through the SEC/A and SEA/C values in the table. It shows that the SEC/A and SEA/C values of purchased electricity were all positive under each scenario. According to Table 7, the environmental impact caused by air pollutants and GHGs in this process had a positive synergistic effect, and the two grew in synergy. This was because the ULES led to the growth of purchased electricity, resulting in the simultaneous increase in air pollutants and GHGs in the production process of purchased electricity. Under the ULES, the SEC/A of purchased power was 0.475, while under the CERS, the SEC/A of purchased power was 0.467, which means that the synergistic effect of the ULES was slightly stronger than that of the CERS. Due to the cross-elasticity coefficients based on atmospheric pollutant environmental impacts being less than 1 for ULES and CERS, it indicates that in both of the aforementioned scenarios, the environmental impact caused by GHGs resulting from increased purchased electricity was lower than the environmental impact caused by atmospheric pollutant emissions. Similarly, under the CPS, the SEA/C of purchased power was 2.36, while under the CERS, the SEA/C of purchased power was 2.14. Thus, compared with the CPS, while the EIs related to GHGs increased, the increased rate of related air pollutant emissions was relatively small under the CERS. In the CPS and CERS, the EIs caused by atmospheric pollutant emissions resulting from increased purchased electricity were greater than the EIs caused by GHG emissions. In general, the CERS had a slightly better effect on the coordinated control of the environmental impact related to air pollutants and GHG emissions during the purchased power production process.
Table 8.
The synergy value of each process under the emission reduction scenario.
For the steel production process, the ULES ignored the small amount of GHG emissions caused by chemical reactions in the end treatment facilities, i.e., ΔEIGHG was zero, and thus, its SEC/A was zero. The ULES did not affect the amount of GHG produced in the steel production process and had no synergistic effect on the EIs related to GHGs and air pollutants. In addition, the ΔEIGHG and ΔEIAPE of CPS and CERS were negative and both SEA/C were positive, which means that both scenarios could simultaneously reduce the environmental impact related to air pollutants and GHGs. Also, the SEA/C under the CPS was less than that under the CERS. If the EIs related to the reduction in GHGs were taken as the target, the improvement in the EIs related to the emission of air pollutants under the CERS was more significant.
The SE values of transportation and other upstream processes were all positive, which means that all scenarios reduced the EIs of air pollutants and GHGs at the same time. The SEA/C of the CERS was less than 1, which signifies that the synergistic effect of the GHG emissions reduction policy on the emission of air pollutants was low. Both SEA/C and SEC/A in the coal mining process and iron ore mining process were 1, which means the change rates in the EIs related to air pollutants and GHGs were the same under the CPS and CERS.
Considering the total synergistic effect of each scenario, it can be seen from Table 8 that the SEC/A under the ULES was −0.01. This was because although the EIs related to GHGs increased, the EIs on the emission reduction of air pollutants were far greater than the impact of GHG emissions. The SEA/C under the CPS was 0.37, which means that it can mitigate a certain amount of the EIs related to air pollutant emissions while lowering the EIs related to GHGs. For the CERS, the SEA/C was 1.66 and the SEC/A was 0.6, which implies that when the ULES and CPS are both applied to the studied iron and steel complex, the EIs caused by the emissions of GHGs and air pollutants can be diminished at the same time to better realize the coordinated control of air pollutants and GHGs. Also, the policy effect of the environmental impact related to the emissions reduction of air pollutants was greater than for GHGs.
Overall, due to the increase in electricity consumption caused by terminal treatment in the ULES, the ULES significantly reduced the EIs caused by air pollutants while slightly increasing the GWP, while the CPS decreased the EIs related to GHGs while slightly reducing the EIs related to air pollutants. According to the research results, both the ultra-low emission policies and carbon peaking policies led to enterprises consuming more purchased electricity. Therefore, the environmental impact of the outsourced power production process was closely related to the total environmental impact within the life cycle of iron and steel production. The CERS can reduce the EIs of air pollutants and GHGs at the same time, and the reduction of the environmental performance of air pollutants was obvious. This considered both the impact of the ultra-low emission transformation of air pollutants and the impact of the carbon peak policy on upstream and production processes. The CERS decreased emissions through the combined effects of upstream power structure adjustment, electrification of transportation methods, internal production technology improvement and end treatment technology improvement. In addition, although China has not yet implemented end-of-life control measures for CO2 emissions, studies showed that various carbon capture and storage technologies can reduce CO2 emissions and global warming potential while increasing other environmental impacts. Thus, it is necessary to reduce both atmospheric pollutants and greenhouse gases simultaneously in order to avoid an increase in the overall environmental impact load.
4. Conclusions
With the improvement in China’s industrialization and urbanization level, the annual emissions of GHGs and air pollutants remain high. As air pollutants and GHGs have the same origin, their reduction measures have synergistic effects. As a key industry in air pollutant and GHG emissions, the ISI would be affected by both the carbon-peaking policy and the ultra-low emissions policy for the steel industry in the future. Therefore, quantifying the synergistic effects of air pollutants and GHG emissions reduction in the ISI is helpful for controlling the emissions of both air pollutants and GHGs jointly.
This study took the ISI as the research object, selected a typical steel joint enterprise as a case study, set the scope of the study as the ‘cradle-to-gate’ life cycle from raw material production to steel product manufacturing, selected one ton of continuous-casting steel billet as the functional unit, and used SimaPro software and the CML-IA life cycle impact assessment model to evaluate the life cycle of the steel joint enterprise. Based on the ultra-low emissions policy in the ISI and the 2030 carbon peak policy in China, this study set up four scenarios, including one baseline scenario and three emissions reduction scenarios. It quantitatively calculated the environmental impact of these two types of policies on the life cycle of the ISI and analyzed the synergistic effects of air pollutants and GHG emissions reduction from the perspective of life cycle EIs under the three emissions reduction scenarios.
The results show that the EIs of continuous-casting steel billet production was mainly concentrated in four categories: global warming potential, fossil fuel resource depletion potential, acidification potential and marine aquatic ecotoxicity potential. After calculating the weighted average, the total environmental per ton of continuous-casting billet production was 1.97 × 10−10. The atmospheric pollutants and GHG emissions generated during the internal steel production process within the company’s boundary had a significant impact on GWP, ADP (fossil fuels) and AP. In the upstream processes, the EI mainly came from coal and purchased electricity production. Thus, the key processes within the scope were these two aspects, indicating that reducing emissions from these upstream processes can significantly reduce the EIs of the ISI company. The key factors were the use of purchased coal; the use of purchased power; and the emission of CO2, SO2, NOx and PM during steel production. The results of the sensitivity analysis show that the total EIs could be reduced by 2.05% and 1.31% by reducing the use of purchased power or coal by 5%, respectively. Compared with reducing 5% of air pollutants, reducing 5% of CO2 can significantly reduce the total environmental impact.
The results of the life cycle environmental impact assessment and scenario analysis of the business-as-usual scenario, ultra-low emissions scenario, carbon peak scenario and comprehensive emissions reduction scenario show that implementing ULES can significantly reduce atmospheric pollutant emissions in the steel production process, leading to a significant decrease in EI in terms of AP, EP, HTP and POCP. However, it may increase the EIs of upstream purchased electricity production, due to the growth of purchased electricity consumption. Compared with the baseline scenario, its overall EI increased by 2.52%. The CPS increased the use of purchased electricity in the ISI and affected related upstream environmental impacts, but the EIs generated by the steel production process and other upstream processes were significantly reduced due to the reduction in fossil fuel consumption and raw material consumption during the production process. Compared with the BAUS, its total EI decreased by 18.85%. In the CERS, the EIs caused by upstream purchased electricity production were higher than those in the CPS, but at the same time, the EIs of steel production and other upstream processes were significantly reduced. Its total EI was 17.68% lower than that of the baseline scenario. The total EIs of BAUS, ULES, CPS and CERS were 1.629 × 10−10, 1.670 × 10−10, 1.322 × 10−10 and 1.341 × 10−10, respectively.
The AP, HTP and POCP caused by atmospheric pollutant emissions can be standardized and weighted to obtain the EIs related to atmospheric pollutant emissions, and GWP can be used to represent the EIs related to GHG emissions. The synergistic effect of reducing atmospheric pollutants and GHG emissions from a life cycle perspective can be obtained by analyzing changes in the EIs caused by atmospheric pollutants and GHG emissions under different emissions reduction scenarios. The results show that the ULES can significantly lessen the EIs caused by atmospheric pollutant emissions while slightly increasing the EIs caused by GHG emissions. The CPS and CERS can both synergistically diminish the EIs caused by both atmospheric pollutants and GHG emissions. Furthermore, as the CPS can reduce the negative impact of ULES on GHG emissions, the CERS that combines the two is more in line with the requirements of coordinated control of atmospheric pollutants and GHG emissions.
Author Contributions
Conceptualization, Y.C. and H.T.; methodology, Y.C., H.T. and X.L.; software, Y.C. and X.L.; validation, W.M., H.T. and W.T.; formal analysis, Y.C.; investigation, Y.C.; resources, H.T.; data curation, X.L.; writing—original draft preparation, Y.C. and H.T.; writing—review and editing, Y.C., X.L. and W.M.; visualization, W.M.; supervision, W.M. All authors have read and agreed to the published version of the manuscript.
Funding
This research was supported by the National Natural Science Foundation of China (72243008).
Data Availability Statement
All data generated during this study are included in the manuscript.
Conflicts of Interest
The authors declare no conflict of interest.
Appendix A
Table A1.
The life cycle inventory of a one-ton continuous-casting steel billet produced by the iron and steel complex investigated in this study.
Table A1.
The life cycle inventory of a one-ton continuous-casting steel billet produced by the iron and steel complex investigated in this study.
| Inputs and Outputs | Category | Quantity | Unit | |
|---|---|---|---|---|
| Inputs | Iron ore | Material | 1.166 | t |
| Pellet | Material | 0.213 | t | |
| Coke | Material | 0.008 | t | |
| Coal | Material | 0.796 | t | |
| Heavy oil | Material | 0.0001 | t | |
| Diesel | Material | 0.0001 | t | |
| Natural gas | Material | 0.012 | GJ | |
| Soft asphalt | Material | 0.002 | t | |
| Dolomite | Material | 0.056 | t | |
| Limestone | Material | 0.165 | t | |
| Ferroalloy | Material | 0.018 | t | |
| Water | Material | 3.273 | t | |
| Transportation distance | Transportation | 0.112 | t km | |
| Purchased power | Energy | 0.095 | MWh | |
| Outputs | Continuous-casting steel billet | Product | 1.000 | t |
| Internal power | By-product | 0.054 | MWh | |
| Quicklime | By-product | 0.021 | t | |
| Coke | By-product | 0.015 | t | |
| SO2 | Air Pollutant | 0.325 | kg | |
| NOx | Air Pollutant | 13.621 | kg | |
| PM | Air Pollutant | 0.411 | kg | |
| CO2 | Greenhouse Gas | 1.953 | t | |
| CODer | Water Pollutant | 0.747 | g | |
| Petroleum hydrocarbon | Water Pollutant | 0.546 | g | |
| Ammonia nitrogen | Water Pollutant | 0.17 | g | |
| Cyanide | Water Pollutant | 0.099 | g | |
| Volatile phenol | Water Pollutant | 0.003 | g | |
| Steel scrap | Solid waste | 0.71 | kg | |
| Desulfurized gypsum | Solid waste | 0.001 | t | |
Appendix B
After characterizing the preparation results of the life cycle inventory as environmental impact indicators, the standardized method can be used to eliminate the dimensional difference between midpoint indicators by using the environmental impact baseline of a region or country as the standardized factor so that the relative level of environmental impact among indicators can be compared. Then, the weight of each environmental impact indicator is determined according to expert evaluation or literature research, and the weighted average method is used to sum all the indicators to obtain the final overall environmental loading value of the product. See the following formula for the calculation method:
where subscript c denotes the environmental impact types (10 categories in total, corresponding to 10 midpoint indicators), EItotaldenotes the total environmental impact, EI denotes the environmental impact of an indicator, IR denotes the values of environmental impact indicators after characterization, NF denotes the standardization factor and W denotes the weight of this indicator.
Table A2.
Standardization factor and weight of environmental impact midpoint indicators.
Table A2.
Standardization factor and weight of environmental impact midpoint indicators.
| Environmental Impact Indicator | Unit | Abbreviation | Standardization Factor | Weight |
|---|---|---|---|---|
| Abiotic depletion | kg Sb eq | ADP | 1.18 × 10−8 | 0.15 |
| Abiotic depletion (fossil fuels) | MJ | ADP fossil | 3.18 × 10−14 | 0.1 |
| Global warming (GWP100a) | kg CO2 eq | GWP | 1.99 × 10−13 | 0.15 |
| Human toxicity | kg 1,4-DB eq | HTP | 1.29 × 10−13 | 0.15 |
| Freshwater aquatic ecotox. | kg 1,4-DB eq | FAETP | 1.93 × 10−12 | 0.05 |
| Marine aquatic ecotoxicity | kg 1,4-DB eq | MAETP | 8.57 × 10−15 | 0.05 |
| Terrestrial ecotoxicity | kg 1,4-DB eq | TETP | 2.06 × 10−11 | 0.05 |
| Photochemical oxidation | kg C2H4 eq | POCP | 1.18 × 10−10 | 0.15 |
| Acidification | kg SO2 eq | AP | 3.55 × 10−11 | 0.1 |
| Eutrophication | kg PO4---eq | EP | 7.58 × 10−11 | 0.05 |
The standardized factors in the table were derived from the 2016 global environmental impact benchmark values provided in CML-IA and the weights were derived from literature research [22].
Appendix C
The environmental impact and synergistic effect were calculated using the following equation:
where the subscript i denotes the production process, including purchased power, steel production process, transportation, coal mining, iron ore mining and other upstream processes; subscript c denotes environmental impact indicators, including AP, HTP and POCP; EIAPE denotes environmental impact related to air pollutant emission; IR denotes the value of a single indicator after characterization (see Table A2 for the units); NF and W denote standardization factors and weights respectively (see Table A2 for the values).
The following equations refer to the idea of the cross-elasticity coefficient method and show the synergistic effect between the environmental impact related to the emission of atmospheric pollutants and GHGs during the production of continuous-casting steel billets:
where the subscript i denotes the production process, including purchased power, steel production process, transportation, coal mining, iron ore mining and other upstream processes; the subscript BAU denotes the business as usual scenario; the subscript S denotes the emissions reduction scenarios, including ULES, CPS and CERS; the subscript total denotes the sum of all processes within the life cycle; SEC/A denotes the cross-elasticity coefficient of the environmental impact of air pollutant emissions reduction and GHG emissions change compared with the BAU, reflecting the synergistic effect of air pollutant emission reduction and GHG emission; SEA/C denotes the cross elasticity coefficient of the environmental impact of GHG emissions reduction and air pollutant emissions change compared with the BAU, reflecting the synergistic effect of GHG emissions reduction and air pollutant emissions; ΔEIAPE and ΔEIGHG denote the change range of the environmental impact of air pollutants and GHGs compared with the BAU (%); EIAPE denotes the environmental impact value related to the emission of air pollutants; EIGHG denotes the environmental impact value related to GHG emissions, which is the normalized and weighted average value of GWP.
If , it means that the reduction (or increase) in an EI caused by the emission reduction (or increase) of air pollutants is also accompanied by the reduction (or increase) in GHG emissions and the corresponding reduction (or increase) of the EI with positive synergy. If , it means that the reduction in an EI caused by the emission reduction of air pollutants is also accompanied by the increase of GHG emissions and the corresponding increase of the EI, with negative synergy.
If , it means that the reduction (or increase) in an EI caused by the emission reduction (or increase) of GHGs is also accompanied by the reduction (or increase) in air pollutant emissions and the corresponding reduction (or increase) in the EI with positive synergy. If , it means that the reduction in an EI caused by the emission reduction of GHGs is also accompanied by the increase of air pollutants emissions and the corresponding increase in the EI with negative synergy.
If SE = 0, it means that the change in emissions reduction or increase in one side and its corresponding EI would not affect the other side, that is, there is no synergy effect. When |SEC/A| = 1 or |SEC/A| = 1, it means that under this scenario, the change rate in the EI value related to air pollutant emissions is the same as that of the EI value related to GHG emissions, where both have the same effect, and vice versa. For the GHG emissions reduction policy, |SEA/C| > 1 means that after the implementation of the policy, the change rate of the EI value related to CO2 emissions is less than the change rate of the EI value related to air pollutant emissions, that is, the policy would change the EI related to air pollutant emissions to a greater extent while changing the EI related to GHG emissions. In the same way, |SEC/A| > 1 means that after the implementation of the air pollutant emission reduction policy, it would change the EI related to the emission of air pollutants and at the same time, it would change the EI related to GHGs to a greater extent. When |SEA/C| < 1 or |SEC/A| < 1, it means that for a certain emissions reduction policy, the change rate of the EI related to the emission reduction target is greater than the change rate of the EI related to the other side, and the synergy effect of the relevant policy on the other side is relatively weak.
References
- Zeng, S.; Lan, Y.; Huang, J. Mitigation paths for Chinese iron and steel industry to tackle global climate change. Int. J. Greenh. Gas Control 2009, 3, 675–682. [Google Scholar] [CrossRef]
- World Steel Association. Steel-Statistical-Yearbook-2018; World Steel Association: Brussels, Belgium, 2018. [Google Scholar]
- National Bureau of Statistics. China Statistical Yearbook 2020; China National Bureau of Statistics: Beijing, China, 2020. Available online: http://www.stats.gov.cn/tjsj/ndsj/2020/indexeh.htm (accessed on 30 January 2023).
- Yuli, S.; Qi, H.; Dabo, G.; Klaus, H. China CO2 emission accounts 2016–2017. Sci. Data 2020, 7, 54. [Google Scholar]
- Niu, T. Research on Collaborative Emission Reduction of Industrial Air Pollutants and Carbon Dioxide in China. Ph.D. Thesis, Taiyuan University of Technology, Taiyuan, China, 2019. [Google Scholar]
- Liang, J.; Murata, A. Analysis of the CCS Considering Environment Co-benefit of Air Pollutants in China. Energy Procedia 2013, 37, 7545–7556. [Google Scholar] [CrossRef]
- IPCC. Climate Change 2007: Mitigation of Climate Change [EB/OL]; IPCC: Geneva, Switzerland, 2007; Available online: https://www.ipcc.ch/report/ar4/wg3 (accessed on 30 January 2023).
- Zhang, X.; Wang, X.-Y.; Bai, Z.-P.; Han, B. Co-Benefits of Integrating PM10 and CO2 Reduction in an Electricity Industry in Tianjin, China. Aerosol Air Qual. Res. 2013, 13, 756–770. [Google Scholar] [CrossRef]
- Liu, S.; Mao, X.; Hu, T.; Zeng, A.; Xing, Y.; Tian, C.; Li, L. Research on the Collaborative Control Path of Air Pollution and Greenhouse Gas in China’s Steel Industry. Environ. Sci. Technol. 2012, 35, 168–174. [Google Scholar]
- Kuramochi, T. Assessment of midterm CO2 emissions reduction potential in the iron and steel industry: A case of Japan. J. Clean. Prod. 2016, 132, 81–97. [Google Scholar] [CrossRef]
- Xuan, Y.; Yue, Q. Scenario analysis on resource and environmental benefits of imported steel scrap for China’s steel industry. Resour. Conserv. Recycl. 2017, 120, 186–198. [Google Scholar] [CrossRef]
- Griffin, P.W.; Hammond, G.P. Industrial energy use and carbon emissions reduction in the iron and steel sector: A UK perspective. Appl. Energy 2019, 249, 109–125. [Google Scholar] [CrossRef]
- Chun, T.; Long, H.; Di, Z.; Zhang, X.; Wu, X.; Qian, L. Novel technology of reducing SO2 emission in the iron ore sintering. Process Saf. Environ. Prot. 2017, 105, 297–302. [Google Scholar] [CrossRef]
- IPCC. Climate Change 2014: Mitigation of Climate Change [EB/OL]; IPCC: Geneva, Switzerland, 2014; Available online: https://www.ipcc.ch/report/ar5/wg3 (accessed on 30 January 2023).
- Gu, A.; Teng, F.; Feng, X. Analysis and evaluation of the synergistic effect of greenhouse gas control policies in major departments. China Popul. Resour. Environ. 2016, 26, 10–17. [Google Scholar]
- ISO 14040:2006; Environmental Management—Life Cycle Assessment—Principles and Framework. ISO: Geneva, Switzerland, 2006. Available online: https://www.iso.org/standard/37456.html (accessed on 25 November 2022).
- Environmental Management—Life Cycle Assessment—Principles and Framework; The International Standards Organization: Geneva, Switzerland; ISO: Geneva, Switzerland, 2006; Volume 2006.
- Yilmaz, O.; Anctil, A.; Karanfil, T. LCA as a decision support tool for evaluation of best available techniques (BATs) for cleaner production of iron casting. J. Clean. Prod. 2015, 105, 337–347. [Google Scholar] [CrossRef]
- Chen, B.; Yang, J.-X.; Ouyang, Z.-Y. Life Cycle Assessment of Internal Recycling Options of Steel Slag in Chinese Iron and Steel Industry. J. Iron Steel Res. Int. 2011, 18, 33–40. [Google Scholar] [CrossRef]
- Liu, T.; Liu, Y. Current Status and Significance of Research on Life Cycle Assessment of Steel Products. Metall. Econ. Manag. 2009, 5, 25–28. [Google Scholar]
- Zhang, L. Power Industry CO Based on LCA_ Emission Prediction and Case Analysis of Coal-Fired Power Plants. Ph.D. Thesis, Zhejiang University, Hangzhou, China, 2017. [Google Scholar]
- Wang, Q.; Wang, L.; Cang, D. LCA analyzing with GaBi software for pelletizing process in steel industry. Energy Metall. Ind. 2017, 36, 3–6+32. [Google Scholar]
- Peng, W.; Yang, J.; Lu, X.; Mauzerall, D.L. Potential co-benefits of electrification for air quality, health, and CO2 mitigation in 2030 China. Appl. Energy 2018, 218, 511–519. [Google Scholar] [CrossRef]
- China Energy Outlook 2030; Economic Management Publishing House: Beijing, China, 2016.
- Olmez, G.M.; Dilek, F.B.; Karanfil, T.; Yetis, U. The environmental impacts of iron and steel industry: A life cycle assessment study. J. Clean. Prod. 2016, 130, 195–201. [Google Scholar] [CrossRef]
- Zhang, Y.; Liang, K.; Li, J.; Zhao, C.; Qu, D. LCA as a decision support tool for evaluating cleaner production schemes in iron making industry. Environ. Prog. Sustain. Energy 2016, 35, 195–203. [Google Scholar] [CrossRef]
- Chen, Y.; Ding, Z.; Liu, J. Life Cycle Assessment of Environmental Emissions and Scenario Simulation of an Automotive Power Seat Considering Scrap Recycling. Environ. Eng. Sci. 2019, 36, 1349–1363. [Google Scholar] [CrossRef]
- Ministry of Ecology and Environment of the People’s Republic of China. The Second National Pollution Source Survey and the Emission Coefficient Manual; China Environmental Science Press: Beijing, China, 2020.
- Yellishetty, M.; Ranjith, P.G.; Tharumarajah, A. Iron ore and steel production trends and material flows in the world: Is this really sustainable? Resour. Conserv. Recycl. 2010, 54, 1084–1094. [Google Scholar] [CrossRef]
- Shi, W. Life Cycle Assessment of Different Flue Gas Desulfurization Processes in Coal-Fired Power Plants. Master’s Thesis, Shandong University, Jinan, China, 2016. [Google Scholar]
- Dreyer, L.C.; Niemann, A.L.; Hauschild, M.Z. Comparison of Three Different LCIA Methods: EDIP97, CML2001 and Eco-indicator 99. Int. J. Life Cycle Assess. 2003, 8, 191–200. [Google Scholar] [CrossRef]
- Gao, C.; Chen, S.; Chen, S.; Wang, S. Applying LCA to Analyze the Environmental Load of Typical Steel Enterprises in China. J. Harbin Inst. Technol. 2016, 48, 177–181. [Google Scholar]
- You, J.; Xu, X.; Wang, Y.; Xiang, X.; Luo, Y. Life cycle carbon emission assessment of large-span steel structures: A case study. Structures 2023, 52, 842–853. [Google Scholar] [CrossRef]
- Ding, J.; Li, Y.; Liu, J.; Qi, G.; Liu, Q.; Dong, L. Life cycle assessment of environmental impacts of cold and hot break tomato paste packaged in steel drums and exported from Xinjiang, China. Environ. Impact Assess. Rev. 2023, 98, 106939. [Google Scholar] [CrossRef]
- Song, X.; Du, S.; Deng, C.; Shen, P.; Xie, M.; Zhao, C.; Chen, C.; Liu, X. Carbon emissions in China’s steel industry from a life cycle perspective: Carbon footprint insights. J. Environ. Sci. 2023; in press. [Google Scholar] [CrossRef]
- Zhang, X.; Jiao, K.; Zhang, J.; Guo, Z. A review on low carbon emissions projects of steel industry in the World. J. Clean. Prod. 2021, 306, 127259. [Google Scholar] [CrossRef]
- Chisalita, D.-A.; Petrescu, L.; Cobden, P.; van Dijk, H.A.J.; Cormos, A.-M.; Cormos, C.-C. Assessing the environmental impact of an integrated steel mill with post-combustion CO2 capture and storage using the LCA methodology. J. Clean. Prod. 2019, 211, 1015–1025. [Google Scholar] [CrossRef]
- Li, B. Environmental Impact Assessment and Pollution Prevention Measures for Photovoltaic Projects. 2023. Available online: https://kns.cnki.net/kcms2/article/abstract?v=6Zsqnb4eDBUcl9Rcxg_rngkD7-er4nILlAsDnhM0RmmNdwfu_DXDuQ1jcViTBn6Z3B9NTRqhnIpNftTm5NlJgBbWye33xA9xKCEUUya-pm5Oc_CpR2-Li5d8CwLOesyU9t0JPj3Z_NfXlJO38MapuQ==&uniplatform=NZKPT&language=CHS (accessed on 30 January 2023).
- Petrescu, L.; Chisalita, D.-A.; Cormos, C.-C.; Manzolini, G.; Cobden, P.; van Dijk, H. Life Cycle Assessment of SEWGS Technology Applied to Integrated Steel Plants. Sustainability 2019, 11, 1825. [Google Scholar] [CrossRef]
Disclaimer/Publisher’s Note: The statements, opinions and data contained in all publications are solely those of the individual author(s) and contributor(s) and not of MDPI and/or the editor(s). MDPI and/or the editor(s) disclaim responsibility for any injury to people or property resulting from any ideas, methods, instructions or products referred to in the content. |
© 2023 by the authors. Licensee MDPI, Basel, Switzerland. This article is an open access article distributed under the terms and conditions of the Creative Commons Attribution (CC BY) license (https://creativecommons.org/licenses/by/4.0/).

