Using PLE-SEM to Quantify the Impacts of Natural and Human Factors on Vegetation Change: A Case Study of the Jialing River Basin
Abstract
:1. Introduction
2. Study Area and Methods
2.1. Overview of the Study Area
2.2. Data Source and Processing
2.3. Research Method
2.3.1. Trend Analysis
2.3.2. Barycentric Model
2.3.3. PLS-SEM for NDVI Changes
3. Results
3.1. Spatiotemporal Variation Characteristics of the NDVI in the Jialing River Basin
3.1.1. Temporal Variation Trend of the NDVI at Different Scales
3.1.2. The Spatial Characteristics of Annual Average NDVI
3.1.3. Transformation of Vegetation Grade Area from 2000 to 2020
3.2. NDVI Barycentric Distribution and Migration
3.3. Changes in the Driving Effects of Various Factors on NDVI
3.4. The Driving Effects of Various Factors on Different Levels of NDVI
4. Discussion
4.1. Analysis of Spatiotemporal Changes in Vegetation Index
4.2. Main Control Factors of Vegetation Index
4.3. Possible Future Work
5. Conclusions
- (1)
- From 2000 to 2020, the NDVI in the Jialing River Basin improved. It mainly increased significantly, accounting for 74.08% of the total basin area. The areas of high vegetation coverage increased significantly, mainly due to transformation of the lower and higher vegetation coverage areas. Due to the increase in construction land area, the low vegetation coverage area showed an increasing trend.
- (2)
- From 2000 to 2020, the overall center of the NDVI shifted northwards. The longitude of the center of gravity was between 105°44′56″ and 105°46′52″, and the latitude was between 32°6′13″ and 32°16′41″. During the study period, growth of the NDVI in the north of the Jialing River Basin was better than that in the south.
- (3)
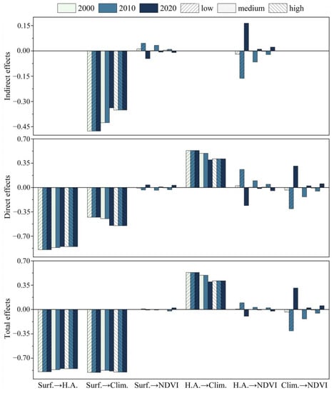
- The impact of surface factors on the NDVI was mainly direct and positive. Among its observable variables, the factor load of the DEM was the highest, and the impact of human activity factors on the NDVI was mainly direct and negative. Population density had the highest impact on human activities. The impact of climate factors on the NDVI was mainly positive. The average factor load value of annual precipitation was 0.098, and its influence on the latent and observable climate factors was far lower than that of temperature factors.
- (4)
- Different latent and observable variables had different effects on different levels of NDVI. The driving mechanisms of low and medium NDVI were relatively similar but tended to be opposite to those of high NDVI. Medium and high NDVI values were more influenced by observable variables.
Author Contributions
Funding
Institutional Review Board Statement
Informed Consent Statement
Data Availability Statement
Conflicts of Interest
References
- Mao, J.; Shi, X.; Thornton, P.E.; Hoffman, F.M.; Zhu, Z.; Myneni, R.B. Global Latitudinal-Asymmetric Vegetation Growth Trends and Their Driving Mechanisms: 1982–2009. Remote Sens. 2013, 5, 1484–1497. [Google Scholar] [CrossRef]
- Xu, G.; Cheng, Y.; Zhao, C.; Mao, J.; Li, Z.; Jia, L.; Zhang, Y.; Wang, B. Effects of Driving Factors at Multi-Spatial Scales on Seasonal Runoff and Sediment Changes. CATENA 2023, 222, 106867. [Google Scholar] [CrossRef]
- Dong, Y.; Yin, D.; Li, Y.; Yan, T.; Wang, H. Spatio-temporal patterns of vegetation change and driving forces in the Loess Plateau. J. China Agric. Univ. 2020, 25, 120–131. [Google Scholar] [CrossRef]
- Gao, L.; Wang, X.; Johnson, B.A.; Tian, Q.; Wang, Y.; Verrelst, J.; Mu, X.; Gu, X. Remote Sensing Algorithms for Estimation of Fractional Vegetation Cover Using Pure Vegetation Index Values: A Review. ISPRS J. Photogramm. Remote Sens. 2020, 159, 364–377. [Google Scholar] [CrossRef]
- Hu, Y.; Duan, W.; Chen, Y.; Zou, S.; Kayumba, P.M.; Qin, J. Exploring the changes and driving forces of water footprint in Central Asia: A global trade assessment. J. Clean. Prod. 2022, 375, 134062. [Google Scholar] [CrossRef]
- Lin, L.; Wei, X.; Luo, P.; Wang, S.; Kong, D.; Yang, J. Ecological Security Patterns at Different Spatial Scales on the Loess Plateau. Remote Sens. 2023, 15, 1011. [Google Scholar] [CrossRef]
- Luo, P.; Luo, M.; Li, F.; Qi, X.; Huo, A.; Wang, Z.; He, B.; Takara, K.; Nover, D.; Wang, Y. Urban flood numerical simulation: Research, methods and future perspectives. Environ. Model. Softw. 2022, 156, 105478. [Google Scholar] [CrossRef]
- Guo, L.; Zuo, L.; Gao, J.; Jiang, Y.; Zhang, Y.; Ma, S.; Zou, Y.; Wu, S. Revealing the Fingerprint of Climate Change in Interannual NDVI Variability among Biomes in Inner Mongolia, China. Remote Sens. 2020, 12, 1332. [Google Scholar] [CrossRef]
- Zhang, H.; Ma, J.; Chen, C.; Tian, X. NDVI-Net: A fusion network for generating high-resolution normalized difference vegetation index in remote sensing. ISPRS J. Photogramm. Remote Sens. 2020, 168, 182–196. [Google Scholar] [CrossRef]
- Bagherzadeh, A.; Hoseini, A.V.; Totmaj, L.H. The effects of climate change on normalized difference vegetation index (NDVI) in the Northeast of Iran. Model. Earth Syst. Environ. 2020, 6, 671–683. [Google Scholar] [CrossRef]
- Shan, Y.; Wala, D.; Xiang, Z.; Ying, H.; Yang, L.; Mei, H.; Siyu, C. Spatiotemporal Changes in NDVI and Its Driving Factors in the Kherlen River Basin. Chin. Geogr. Sci. 2023, 33, 377–392. [Google Scholar]
- Zhong, X.; Li, J.; Wang, J.; Zhang, J.; Liu, L.; Ma, J. Linear and Nonlinear Characteristics of Long-Term NDVI Using Trend Analysis: A Case Study of Lancang-Mekong River Basin. Remote Sens. 2022, 14, 6271. [Google Scholar] [CrossRef]
- Fan, X.; Gao, P.; Tian, B.; Wu, C.; Mu, X. Spatio-Temporal Patterns of NDVI and Its Influencing Factors Based on the ESTARFM in the Loess Plateau of China. Remote Sens. 2023, 15, 2553. [Google Scholar] [CrossRef]
- Jia, J.; Niu, J.; Lin, X.; Zhu, Z.; Wu, S. Temporal and spatial variations of NDVI and its driving factors in the Yanghe Watershed of northern China. J. Beijing For. Univ. 2019, 41, 106–115. [Google Scholar] [CrossRef]
- Chen, H.; Ou, Y.; Lv, F.; Song, Y.; Hao, R. Variation of Vegetation Cover and Its Correlation of Topographic Factors in Guandu River Basin. Res. Soil Water Conserv. 2019, 26, 135–140+147. [Google Scholar] [CrossRef]
- Dong, Y.; Yin, D.; Li, X.; Huang, J.; Su, W.; Li, X.; Wang, H. Spatial–Temporal Evolution of Vegetation NDVI in Association with Climatic, Environmental and Anthropogenic Factors in the Loess Plateau, China during 2000–2015: Quantitative Analysis Based on Geographical Detector Model. Remote Sens. 2021, 13, 4380. [Google Scholar] [CrossRef]
- Xiong, Y.; Wang, H. Spatial relationships between NDVI and topographic factors at multiple scales in a watershed of the Minjiang River, China. Ecol. Inform. 2022, 69, 101617. [Google Scholar] [CrossRef]
- Ding, H.; Xingming, H. Spatiotemporal Change and Drivers Analysis of Desertification in the Arid Region of Northwest China Based on Geographic Detector. Environ. Chall. 2021, 4, 100082. [Google Scholar] [CrossRef]
- Qiu, K.; Zhang, Y.; Wang, T. Analysis on the dynamics of the vegetation coverage and the drivers in Taihu Basin via NDVI. Sci. Soil Water Conserv. 2019, 17, 119–125. [Google Scholar] [CrossRef]
- Yang, C.; Deng, K.; Peng, D.; Jiang, L.; Zhao, M.; Liu, J.; Qiu, X. Spatiotemporal Characteristics and Heterogeneity of Vegetation Phenology in the Yangtze River Delta. Remote Sens. 2022, 14, 2984. [Google Scholar] [CrossRef]
- Hao, J.; Xu, G.; Luo, L.; Zhang, Z.; Yang, H.; Li, H. Quantifying the relative contribution of natural and human factors to vegetation coverage variation in coastal wetlands in China. CATENA 2020, 188, 104429. [Google Scholar] [CrossRef]
- Chen, C.; Li, T.; Sivakumar, B.; Li, J.; Wang, G. Attribution of Growing Season Vegetation Activity to Climate Change and Human Activities in the Three-River Headwaters Region, China. J. Hydroinform. 2020, 22, 186–204. [Google Scholar] [CrossRef]
- Zhang, S.; Nie, Y.; Zhang, H.; Li, Y.; Han, Y.; Liu, X.; Wang, B. Spatiotemporal Variation of Vegetation NDVI and its Driving Forces in Mongolia Based on Geodetector. Acta Agrestia Sin. 2020, 28, 1460–1472. [Google Scholar] [CrossRef]
- Wang, D.; Tian, Y.; Zhang, Y.; Huang, L.; Zhang, Q.; Tao, J.; Yang, Y.; Lin, J. Spatiotemporal evolution and attribution of vegetation coverage in the peak-cluster depression basins. China Environ. Sci. 2022, 42, 4274–4284. [Google Scholar] [CrossRef]
- Xu, Y.; Zheng, Z.; Guo, Z.; Dou, S.; Huang, W. Dynamic Variation in Vegetation Cover and Its Influencing Factor Detection in the Yangtze River Basin from 2000 to 2020. Environ. Sci. 2022, 43, 3730–3740. [Google Scholar] [CrossRef]
- Revadekar, J.V.; Tiwari, Y.K.; Kumar, K.R. Impact of climate variability on NDVI over the Indian region during 1981-2010. Int. J. Remote Sens. 2012, 33, 7132–7150. [Google Scholar] [CrossRef]
- Allen, T.L.; Curtis, S.; Gamble, D.W. The Midsummer Dry Spell’s Impact on Vegetation in Jamaica. J. Appl. Meteorol. Climatol. 2010, 49, 1590–1595. [Google Scholar] [CrossRef]
- Liu, S.; Zhang, P.; Miao, W.; Wang, Z.; Li, D. Study on sediment transport law of flood event in different areas of the Jialingjiang River basin. Adv. Water Sci. 2022, 33, 38–47. [Google Scholar] [CrossRef]
- Cleland, E.; Chuine, I.; Menzel, A.; Mooney, H.; Schwartz, M. Shifting plant phenology in response to global change. Trends Ecol. Evol. 2007, 22, 357–365. [Google Scholar] [CrossRef]
- Chen, H.; Ren, Z. Response of Vegetation Coverage to Changes of Precipitation and Temperature in Chinese Mainland. Bull. Soil Water Conserv. 2013, 33, 78–82+4. [Google Scholar] [CrossRef]
- Chu, H.; Venevsky, S.; Wu, C.; Wang, M. NDVI-based vegetation dynamics and its response to climate changes at Amur-Heilongjiang River Basin from 1982 to 2015. Sci. Total Environ. 2019, 650, 2051–2062. [Google Scholar] [CrossRef]
- Zhang, T.; Zhang, X.; Xia, D.; Liu, Y. An Analysis of Land Use Change Dynamics and Its Impacts on Hydrological Processes in the Jialing River Basin. Water 2014, 6, 3758–3782. [Google Scholar] [CrossRef]
- Zeng, X.; Zhao, N.; Sun, H.; Ye, L.; Zhai, J. Changes and Relationships of Climatic and Hydrological Droughts in the Jialing River Basin, China. PLoS ONE 2015, 10, e0141648. [Google Scholar] [CrossRef] [PubMed]
- Zhou, Y.; Li, D.; Lu, J.; Yao, S.; Yan, X.; Jin, Z.; Liu, L.; Lu, X.X. Distinguishing the Multiple Controls on the Decreased Sediment Flux in the Jialing River Basin of the Yangtze River, Southwestern China. CATENA 2020, 193, 104593. [Google Scholar] [CrossRef]
- Gu, Z.; Duan, X.; Shi, Y.; Li, Y.; Pan, X. Spatiotemporal variation in vegetation coverage and its response to climatic factors in the Red River Basin, China. Ecol. Indic. 2018, 93, 54–64. [Google Scholar] [CrossRef]
- Lu, C.; Hou, M.; Liu, Z.; Li, H.; Lu, C. Variation Characteristic of NDVI and its Response to Climate Change in the Middle and Upper Reaches of Yellow River Basin, China. IEEE J. Sel. Top. Appl. Earth Obs. Remote Sens. 2021, 14, 8484–8496. [Google Scholar] [CrossRef]
- Florinsky, I.V.; Kuryakova, G.A. Influence of topography on some vegetation cover properties. CATENA 1996, 27, 123–141. [Google Scholar] [CrossRef]
- Lin, M.; Hou, L.; Qi, Z.; Wan, L. Impacts of climate change and human activities on vegetation NDVI in China’s Mu Us Sandy Land during 2000–2019. Ecol. Indic. 2022, 142, 109164. [Google Scholar] [CrossRef]
- Lie, Q.; Hu, Z.; Wang, J.; Zhang, Y.; Wu, G. Spatiotemporal dynamics of NDVI in China from 1985 to 2015: Ecosystem variation, regional differences, and response to climatic factors. Acta Ecol. Sin. 2023, 43, 6378–6391. [Google Scholar] [CrossRef]
- Hu, T.; Wu, J.; Li, W. Assessing Relationships of Ecosystem Services on Multi-Scale: A Case Study of Soil Erosion Control and Water Yield in the Pearl River Delta. Ecol. Indic. 2019, 99, 193–202. [Google Scholar] [CrossRef]
- Yu, S.; Wang, L.; Zhao, J.; Shi, Z. Using Structural Equation Modelling to Identify Regional Socio-Economic Driving Forces of Soil Erosion: A Case Study of Jiangxi Province, Southern China. J. Environ. Manag. 2021, 279, 111616. [Google Scholar] [CrossRef] [PubMed]
- Zhu, W.; Zha, X.; Luo, P.; Wang, S.; Cao, Z.; Lyu, J.; Zhou, M.; He, B.; Nover, D. A quantitative analysis of research trends in flood hazard assessment. Stoch. Environ. Res. Risk Assess. 2023, 37, 413–428. [Google Scholar] [CrossRef]
- Luo, P.; Liu, L.; Wang, S.; Ren, B.; He, B.; Nover, D. Influence assessment of new Inner Tube Porous Brick with absorbent concrete on urban floods control. Case Stud. Constr. Mater. 2022, 17, e01236. [Google Scholar] [CrossRef]
- Duan, W.; Zou, S.; Christidis, N.; Schaller, N.; Chen, Y.; Sahu, N.; Li, Z.; Fang, G.; Zhou, B. Changes in temporal inequality of precipitation extremes over China due to anthropogenic forcings. npj Clim. Atmos. Sci. 2022, 5, 33. [Google Scholar] [CrossRef]
- Luo, P.; Mu, Y.; Wang, S.; Zhu, W.; Mishra, B.K.; Huo, A.; Zhou, M.; Lyu, J.; Hu, M.; Duan, W.; et al. Exploring Sustainable Solutions for the Water Environment in Chinese and Southeast Asian Cities. Ambio 2022, 51, 1199–1218. [Google Scholar] [CrossRef] [PubMed]
- Wang, G.; Zhang, H.; Liu, Y.; Xia, D. Annual and seasonal variation characteristics of NDVI and its relationship with meteorological factors in Jialing River Basin. J. Hohai Univ. (Nat. Sci.) 2013, 41, 21–25. [Google Scholar] [CrossRef]
- Hu, M.; Yu, H.; Kong, B.; Xiong, Z.; Xu, T. Spatial-temporal variations of fractional vegetation coverage in Jialing River Basin from 2001 to 2020. Yangtze River 2022, 53, 82–89+96. [Google Scholar] [CrossRef]
- Jiang, M.; Tian, P.; Mu, X.; Zhao, G. Spatiotemporal Variation and Attribution Analysis of Sediment Load in Jialing River Basin. Res. Soil Water Conserv. 2023, 30, 116–121+128. [Google Scholar] [CrossRef]
- Zha, X.; Luo, P.; Zhu, W.; Wang, S.; Lyu, J.; Zhou, M.; Huo, A.; Wang, Z. A bibliometric analysis of the research on Sponge City: Current situation and future development direction. Ecohydrology 2021, 14, e2328. [Google Scholar] [CrossRef]
- Zhang, T.; Xue, D.; Duan, J.; Yang, L. Spatio-temporal Variation Characteristics and Climate Response Analysis of Vegetation Coverage in Jialing River Basin from 2000 to 2019. Resour. Environ. Yangtze Basin 2021, 30, 1110–1120. [Google Scholar] [CrossRef]
- Zhang, S.; Li, W.; An, W.; Hou, J.; Hou, X.; Tang, C.; Gan, Z. Temporal and spatial evolutionary trends of regional extreme precipitation under different emission scenarios: Case study of the Jialing River Basin, China. J. Hydrol. 2023, 617, 129156. [Google Scholar] [CrossRef]
- Liu, M.; Zhao, R.; Shao, P.; Jiao, J.; Li, L.; Che, Y. Temporal and spatial variation of vegetation coverage and its driving forces in the Loess Plateau from 2001 to 2015. Arid. Land Geogr. 2018, 41, 99–108. [Google Scholar] [CrossRef]
- Zhu, Y.; Luo, P.; Zhang, S.; Sun, B. Spatiotemporal Analysis of Hydrological Variations and Their Impacts on Vegetation in Semiarid Areas from Multiple Satellite Data. Remote Sens. 2020, 12, 4177. [Google Scholar] [CrossRef]
- Barbier, E.B.; Burgess, J.C.; Grainger, A. The Forest Transition: Towards a More Comprehensive Theoretical Framework. Land Use Policy 2010, 27, 98–107. [Google Scholar] [CrossRef]
- Tang, C.; Sun, W. Comprehensive Evaluation of Land Spatial Development Suitability of the Yangtze River Basin. Acta Geogr. Sin. 2012, 67, 1587–1598. [Google Scholar]
- Wang, S.; Luo, P.; Xu, C.; Zhu, W.; Cao, Z.; Ly, S. Reconstruction of Historical Land Use and Urban Flood Simulation in Xi’an, Shannxi, China. Remote Sens. 2022, 14, 6067. [Google Scholar] [CrossRef]
- Han, J.; Zhang, X.; Wang, J.; Zhai, J. Geographic Exploration of the Driving Forces of the NDVI Spatial Differentiation in the Upper Yellow River Basin from 2000 to 2020. Sustainability 2023, 15, 1922. [Google Scholar] [CrossRef]
- Luo, P.; Zheng, Y.; Wang, Y.; Zhang, S.; Yu, W.; Zhu, X.; Huo, A.; Wang, Z.; He, B.; Nover, D. Comparative Assessment of Sponge City Constructing in Public Awareness, Xi’an, China. Sustainability 2022, 14, 11653. [Google Scholar] [CrossRef]
- Hu, Z.; Song, X.; Qin, L.; Liu, H.; Wen, W. Spatio-temporal Variation Characteristics and Its Driving Factors of NDVI at County Scale for an Inland Arid Grassland During 2001–2020. Bull. Soil Water Conserv. 2022, 42, 213–221. [Google Scholar] [CrossRef]
- Tu, Y.; Jiang, L.; Liu, R.; Xiao, Z.; Min, J. Spatiotemporal changes of vegetation NDVI and its driving forces in China during 1982–2015. Trans. Chin. Soc. Agric. Eng. 2021, 37, 75–84. [Google Scholar] [CrossRef]
- Growing-season vegetation coverage patterns and driving factors in the China-Myanmar Economic Corridor based on Google Earth Engine and geographic detector. Ecol. Indic. 2022, 136, 108620. [CrossRef]
- Piao, S.; Yin, G.; Tan, J.; Cheng, L.; Huang, M.; Li, Y.; Liu, R.; Mao, J.; Myneni, R.B.; Peng, S. Detection and attribution of vegetation greening trend in China over the last 30 years. Glob. Chang. Biol. 2015, 21, 1601–1609. [Google Scholar] [CrossRef] [PubMed]
- Luo, P.; Xu, C.; Kang, S.; Huo, A.; Lyu, J.; Zhou, M.; Nover, D. Heavy metals in water and surface sediments of the Fenghe River Basin, China: Assessment and source analysis. Water Sci. Technol. 2021, 84, 3072–3090. [Google Scholar] [CrossRef] [PubMed]










| Change Type | Change Type | ||||
|---|---|---|---|---|---|
| >0 | ≥2.58 | Very significant improvement | <0 | <1.96 | Insignificant degradation |
| ≥1.96 | Significant improvement | ≥1.96 | Significant degradation | ||
| <1.96 | Insignificant improvement | ≥2.58 | Very significant degradation |
| Classification | Number of Valid Samples | SRMR | d_ULS | d_G | |
|---|---|---|---|---|---|
| Low NDVI | 2000 | 9896 | 0.073 | 0.552 | 0.905 |
| 2010 | 9903 | 0.072 | 0.544 | 0.837 | |
| 2020 | 9890 | 0.078 | 0.644 | 0.631 | |
| Medium NDVI | 2000 | 9896 | 0.073 | 0.557 | 0.909 |
| 2010 | 9903 | 0.072 | 0.546 | 0.837 | |
| 2020 | 9890 | 0.078 | 0.645 | 0.631 | |
| High NDVI | 2000 | 9896 | 0.073 | 0.557 | 0.909 |
| 2010 | 9903 | 0.072 | 0.546 | 0.837 | |
| 2020 | 9890 | 0.078 | 0.645 | 0.631 | |
Disclaimer/Publisher’s Note: The statements, opinions and data contained in all publications are solely those of the individual author(s) and contributor(s) and not of MDPI and/or the editor(s). MDPI and/or the editor(s) disclaim responsibility for any injury to people or property resulting from any ideas, methods, instructions or products referred to in the content. |
© 2023 by the authors. Licensee MDPI, Basel, Switzerland. This article is an open access article distributed under the terms and conditions of the Creative Commons Attribution (CC BY) license (https://creativecommons.org/licenses/by/4.0/).
Share and Cite
Guo, X.; Wang, T.; Li, Z.; Cheng, S.; Li, P.; Li, H.; Zhang, N.; Liu, X.; Miao, Z. Using PLE-SEM to Quantify the Impacts of Natural and Human Factors on Vegetation Change: A Case Study of the Jialing River Basin. Sustainability 2023, 15, 13089. https://doi.org/10.3390/su151713089
Guo X, Wang T, Li Z, Cheng S, Li P, Li H, Zhang N, Liu X, Miao Z. Using PLE-SEM to Quantify the Impacts of Natural and Human Factors on Vegetation Change: A Case Study of the Jialing River Basin. Sustainability. 2023; 15(17):13089. https://doi.org/10.3390/su151713089
Chicago/Turabian StyleGuo, Xingyue, Tian Wang, Zhanbin Li, Shengdong Cheng, Peng Li, Hongtao Li, Naichang Zhang, Xiaoping Liu, and Ziyao Miao. 2023. "Using PLE-SEM to Quantify the Impacts of Natural and Human Factors on Vegetation Change: A Case Study of the Jialing River Basin" Sustainability 15, no. 17: 13089. https://doi.org/10.3390/su151713089
APA StyleGuo, X., Wang, T., Li, Z., Cheng, S., Li, P., Li, H., Zhang, N., Liu, X., & Miao, Z. (2023). Using PLE-SEM to Quantify the Impacts of Natural and Human Factors on Vegetation Change: A Case Study of the Jialing River Basin. Sustainability, 15(17), 13089. https://doi.org/10.3390/su151713089

