The Aerodynamic Performance of Horizontal Axis Wind Turbines under Rotation Condition
Abstract
:1. Introduction
2. Methodology
2.1. Governing Equations
2.1.1. Fluid Governing Equations
2.1.2. Structure Governing Equations
2.1.3. Basic Conservation Equation of Fluid-Structure Interaction
2.2. Turbulence Modeling
3. Numerical Procedures
3.1. Geometric Model
3.2. Computational Domain Configuration
3.2.1. CFD Mesh and Boundary Conditions
3.2.2. Structural Model Setup
4. Results and Discussion
4.1. Aerodynamics Distribution
4.2. Structural Response
4.3. Torque and Output Power
5. Conclusions
- (1)
- The fluid-structure interaction wind field model of the wind turbine is established and verified in light of the complexity of the aerodynamic environment. Under the influence of inflow wind and rotation in the flow field, the airflow disturbance closest to the wind turbine is the most important. Under the interference of the tower shadow effect, the wind speed in the near wake zone and the far wake zone decreases to varying degrees along the incoming wind direction.
- (2)
- While the centrifugal force of the normal force that drives the pressure around the wind turbine has a greater impact and the pressure around the wind turbine changes primarily along the radial direction with the weakening of the airflow disturbance, the windward side of the blade first experiences the action of airflow, and the pressure changes in a wide range. The maximum stress in the structural reaction of the tower is eight times greater at its top than it is at its bottom. The peak blade stress reaches 5.92 MPa.
- (3)
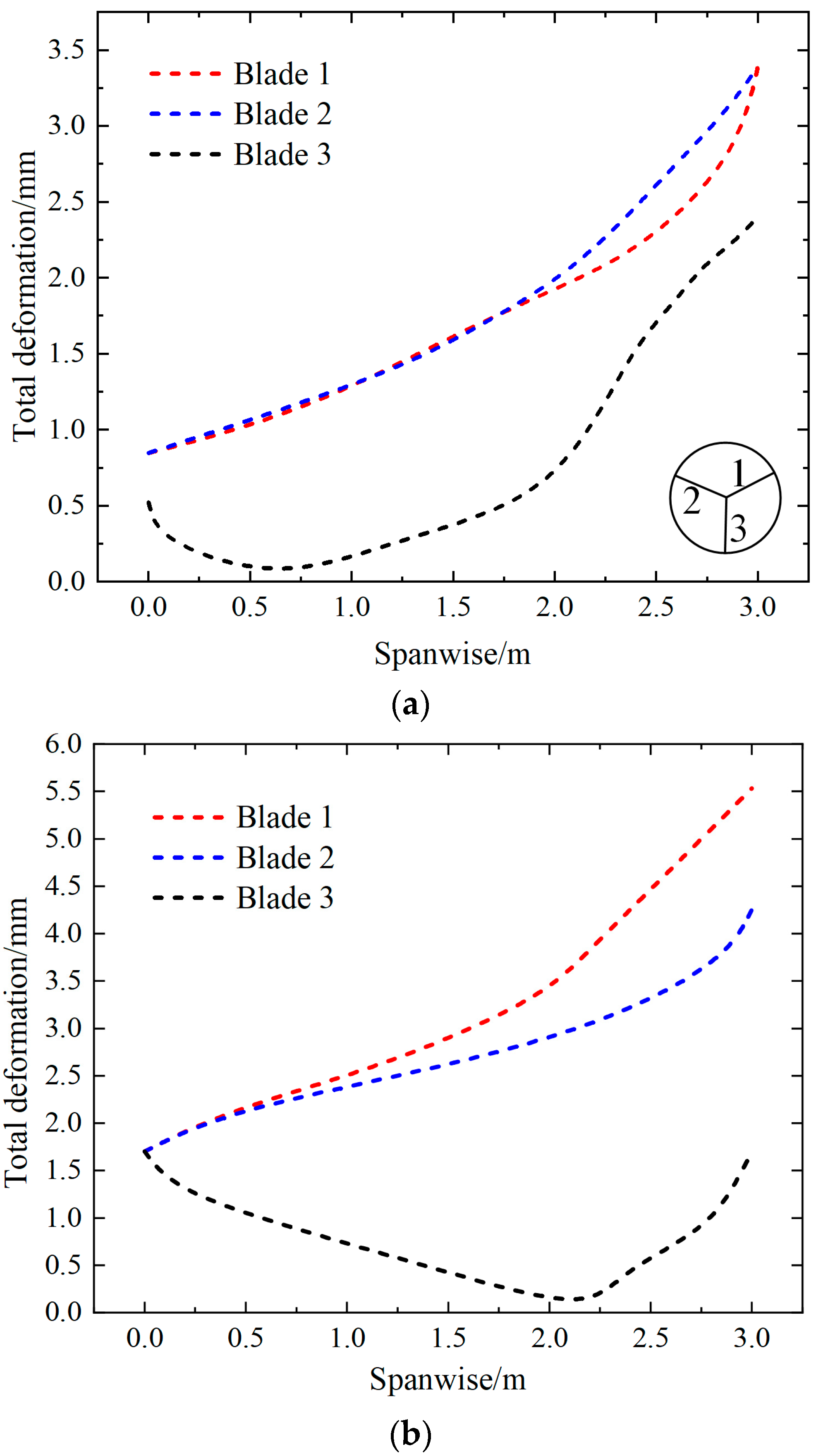
- The change in wind turbine blade displacement in the upwind direction under standard (12 m/s and 200 rpm) and shutdown conditions is the same and grows exponentially. Under the action of rotation, the transverse deformation of blade 3 occurred in 73%, and the transverse deformation of downwind blade 3 was almost unchanged at 20%. With the increase of wind turbine speed, the abrupt deformation point of the blade in the downwind area moves towards the blade tip.
- (4)
- The aerodynamic impact of the wind turbine is improved by increasing the entering wind speed, catching more wind energy, producing a considerable bending moment and power, and increasing output power by a net 20 kW.
Author Contributions
Funding
Institutional Review Board Statement
Informed Consent Statement
Data Availability Statement
Conflicts of Interest
References
- Global Wind Energy Council. GWEC Global Wind Report; Global Wind Energy Council: Brussels, Belgium, 2021. [Google Scholar]
- Dai, K.; Bergot, A.; Liang, C.; Xiang, W.N.; Huang, Z. Environmental issues associated with wind energy—A review. Renew. Energy 2015, 75, 911–921. [Google Scholar] [CrossRef]
- Fridleifsson, I.B. Geothermal energy for the benefit of the people. Renew. Sustain. Energy Rev. 2001, 5, 299–312. [Google Scholar] [CrossRef]
- Gebhardt, C.G.; Preidikman, S.; Massa, J.C. Numerical simulations of the aerodynamic behavior of large horizontal-axis wind turbines. Int. J. Hydrog. Energy 2010, 35, 6005–6011. [Google Scholar] [CrossRef]
- Cai, X.; Gu, R.; Pan, P.; Zhu, J. Unsteady aerodynamics simulation of a full-scale horizontal axis wind turbine using CFD methodology. Energy Convers. Manag. 2016, 112, 146–156. [Google Scholar] [CrossRef]
- AbdelSalam, A.M.; Ramalingam, V. Wake prediction of horizontal-axis wind turbine using full-rotor modeling. J. Wind Eng. Ind. Aerodyn. 2014, 124, 7–19. [Google Scholar] [CrossRef]
- Almohammadi, K.M.; Ingham, D.B.; Ma, L.; Pourkashan, M. Computational fluid dynamics (CFD) mesh independency techniques for a straight blade vertical axis wind turbine. Energy 2013, 58, 483–493. [Google Scholar] [CrossRef]
- Danao, L.A.; Edwards, J.; Eboibi, O.; Howell, R. A numerical investigation into the influence of unsteady wind on the performance and aerodynamics of a vertical axis wind turbine. Appl. Energy 2014, 116, 111–124. [Google Scholar] [CrossRef]
- Leishman, J.G. Challenges in modelling the unsteady aerodynamics of wind turbines. Wind Energy 2002, 5, 85–132. [Google Scholar] [CrossRef]
- Li, Y.; Guo, X.; Li, R.; Li, D.; Dong, Y.; Zhao, L. Unsteady characteristics of pressure on wind turbine blade surface in the field. Mod. Phys. Lett. B 2021, 35, 2150281. [Google Scholar] [CrossRef]
- Liu, P.; Yu, G.; Zhu, X.; Du, Z. Unsteady aerodynamic prediction for dynamic stall of wind turbine airfoils with the reduced order modeling. Renew. Energy 2014, 69, 402–409. [Google Scholar] [CrossRef]
- Schepers, J.G.; Boorsma, K.; Cho, T.; Gomez-Iradi, S.; Schaffarczyk, P.; Jeromin, A.; Shen, W.Z.; Lutz, T.; Meister, K.; Stoevesandt, B.; et al. Analysis of Mexico Wind Tunnel Measurements: Final Report of IEA Task 29, Mexnext (Phase 1). 2012, Energy Research Centre of The Netherlands (ECN). ECN-E No. 12-004. Available online: https://orbit.dtu.dk/en/publications/analysis-of-mexico-wind-tunnel-measurements-final-report-of-iea-t (accessed on 13 July 2023).
- Zhang, L.; Li, X.; Li, S.; Bai, J.; Xu, J. Unstable aerodynamic performance of a very thick wind turbine airfoil CAS-W1-450. Renew. Energy 2019, 132, 1112–1120. [Google Scholar] [CrossRef]
- Bai, C.J.; Wang, W.C. Review of computational and experimental approaches to analysis of aerodynamic performance in horizontal-axis wind turbines (HAWTs). Renew. Sustain. Energy Rev. 2016, 63, 506–519. [Google Scholar] [CrossRef]
- Cao, L.; Sun, W.; Zhou, J.; Cui, Q. Dynamic performance analysis for wind turbine in complex conditions. J. Vibroeng. 2020, 22, 209–224. [Google Scholar] [CrossRef]
- Lee, Y.J.; Jhan, Y.T.; Chung, C.H. Fluid-structure interaction of FRP wind turbine blades under aerodynamic effect. Compos. Part B Eng. 2012, 43, 2180–2191. [Google Scholar] [CrossRef]
- Li, Y.; Castro, A.M.; Sinokrot, T.; Prescott, W.; Carrica, P.M. Coupled multi-body dynamics and CFD for wind turbine simulation including explicit wind turbulence. Renew. Energy 2015, 76, 338–361. [Google Scholar] [CrossRef]
- Wang, Y.; Li, G.; Shen, S.; Huang, D.; Zheng, Z. Investigation on aerodynamic performance of horizontal axis wind turbine by setting micro-cylinder in front of the blade leading edge. Energy 2018, 143, 1107–1124. [Google Scholar] [CrossRef]
- Regodeseves, P.G.; Morros, C.S. Unsteady numerical investigation of the full geometry of a horizontal axis wind turbine: Flow through the rotor and wake. Energy 2020, 202, 117674. [Google Scholar] [CrossRef]
- Vaz, J.R.P.; Pinho, J.T.; Mesquita, A.L.A. An extension of BEM method applied to horizontal-axis wind turbine design. Renew. Energy 2011, 36, 1734–1740. [Google Scholar] [CrossRef]
- Kim, Y.; Bangga, G.; Delgado, A. Investigations of HAWT Airfoil Shape Characteristics and 3D Rotational Augmentation Sensitivity toward the Aerodynamic Performance Improvement. Sustainability 2020, 12, 7957. [Google Scholar] [CrossRef]
- Mdouki, R. Parametric study of magnus wind turbine with spiral fins using BEM approach. J. Appl. Fluid Mech. 2021, 14, 887–895. [Google Scholar]
- Dumitrescu, H.; Cardos, V. Wind Turbine Aerodynamic Performance by Lifting Line Method. Int. J. Rotating Mach. 1998, 4, 141–149. [Google Scholar] [CrossRef]
- Coton, F.N.; Wang, T. The prediction of horizontal axis wind turbine performance in yawed flow using an unsteady prescribed wake model. Proc. Inst. Mech. Eng. Part A J. Power Energy 1999, 213, 33–43. [Google Scholar] [CrossRef]
- Moon, H.G.; Park, S.; Ha, K.; Jeong, J.H. CFD-based in-depth investigation of the effects of the shape and layout of a vortex generator on the aerodynamic performance of a multi-MW wind turbine. Appl. Sci. 2021, 11, 10764. [Google Scholar] [CrossRef]
- Wang, Y.; Wang, L.; Duan, C.; Zheng, J.; Liu, Z.; Ma, G. CFD simulation on wind turbine blades with leading edge erosion. J. Theor. Appl. Mech. 2021, 59, 579–593. [Google Scholar] [CrossRef]
- Khan, S.; Li, M.S. A modeling study focused on improving the aerodynamic performance of a small horizontal-axis wind turbine. Sustainability 2023, 15, 5506. [Google Scholar] [CrossRef]
- Oliveira, H.A.; de Matos, J.G.; Ribeiro, L.A.D.S.; Saavedra, O.R.; Vaz, J.R.P. Assessment of Correction Methods Applied to BEMT for Predicting Performance of Horizontal-Axis Wind Turbines. Sustainability 2023, 15, 7021. [Google Scholar] [CrossRef]
- Madsen, H.A.; Riziotis, V.; Zahle, F.; Hansen, M.; Snel, H.; Grasso, F.; Larsen, T.; Politis, E.; Rasmussen, F. Blade element momentum modeling of inflow with shear in comparison with advanced model results. Wind Energy 2012, 15, 63–81. [Google Scholar] [CrossRef]
- Sang, S.; Wen, H.; Cao, A.X.; Du, X.R.; Zhu, X.; Shi, Q.; Qiu, C.H. Dynamic modification method for BEM of wind turbine considering the joint action of installation angle and structural pendulum motion. Ocean Eng. 2020, 215, 107528. [Google Scholar] [CrossRef]
- Dong, J.; Viré, A.; Ferreira, C.S.; Li, Z.; Van Bussel, G. A modified free wake vortex ring method for horizontal-axis wind turbines. Energies 2019, 12, 3900. [Google Scholar] [CrossRef]
- Shaler, K.; Kecskemety, K.M.; McNamara, J.J. Benchmarking of a free vortex wake model for prediction of wake interactions. Renew. Energy 2019, 136, 607–620. [Google Scholar] [CrossRef]
- Andreopoulos, W.Y. Density and compressibility effects in turbulent subsonic jets part 1: Mean velocity field. Exp. Fluids 2010, 48, 327–343. [Google Scholar]
- Menter, F.R. Two-equation eddy-viscosity turbulence models for engineering applications. AIAA J. 1994, 32, 1598–1605. [Google Scholar] [CrossRef]
- Wilcox, D.C. Formulation of the k-omega turbulence model revisited. AIAA J. 2008, 46, 2823–2838. [Google Scholar] [CrossRef]
- Jones, W.P.; Launder, B.E. The prediction of laminarization with a two-equation model of turbulence. Int. J. Heat Mass Transf. 1972, 15, 301–314. [Google Scholar] [CrossRef]
- Johansen, J.; Sørensen, N.N.; Michelsen, J.A.; Schreck, S. Detached-eddy simulation of flow around the NREL Phase-VI rotor. Wind Energy 2002, 5, 185–197. [Google Scholar] [CrossRef]
- Mo, J.O.; Lee, Y.H. CFD Investigation on the aerodynamic characteristics of a small-sized wind turbine of NREL PHASE VI operating with a stall-regulated method. J. Mech. Sci. Technol. 2012, 26, 81–92. [Google Scholar] [CrossRef]
- Bourdin, P.; Wilson, J.D. Windbreak aerodynamics: Is computational fluid dynamics reliable? Bound. Layer Meteorol. 2008, 126, 181–208. [Google Scholar] [CrossRef]
- Wang, L.; Quant, R.; Kolios, A. Fluid structure interaction modelling of horizontal-axis wind turbine blades based on CFD and FEA. J. Wind Eng. Ind. Aerodyn. 2016, 158, 11–25. [Google Scholar] [CrossRef]
- Liu, Z.Y.; Wang, X.D.; Kang, S. Stochastic performance evaluation of horizontal axis wind turbine blades using non-deterministic CFD simulations. Energy 2014, 73, 126–136. [Google Scholar] [CrossRef]












| Element | Power (kW) | ||
|---|---|---|---|
| Mesh1 | Fine | 1,346,994 | 72.428 |
| Mesh2 | Medium | 1,084,680 | 71.431 |
| Mesh3 | Coarse | 718,140 | 68.469 |
| Number | Name | Material | Density (kg/m3) | Young’s Modulus (GPa) | Poisson’s Ratio | Bulk Modulus (GPa) | Shear Modulus (GPa) |
|---|---|---|---|---|---|---|---|
| 1 | Blade | Aluminum alloy | 2713 | 69.04 | 0.33 | 67.686 | 25.955 |
| 2 | Tower | Structure steel | 7850 | 200 | 0.3 | 166.67 | 76.923 |
| Literature Source | Geometric Parameter | Turbulence Model | Incoming Velocity (m/s) | R2 |
|---|---|---|---|---|
| Wang et al. [26] | 100 m × 82 m × 50 m | k–ω SST | 7.0–20.0 | 0.98736 |
| Mo et al. [38] | 90.6 m × 45.3 m × 90.6 m | k–ω SST | 7.0–25.1 | 0.95218 |
| Liu et al. [41] | 24.4 m × 36.6 m | one−equation SpalarteAllmaras | 7.0–20.0 | 0.96923 |
Disclaimer/Publisher’s Note: The statements, opinions and data contained in all publications are solely those of the individual author(s) and contributor(s) and not of MDPI and/or the editor(s). MDPI and/or the editor(s) disclaim responsibility for any injury to people or property resulting from any ideas, methods, instructions or products referred to in the content. |
© 2023 by the authors. Licensee MDPI, Basel, Switzerland. This article is an open access article distributed under the terms and conditions of the Creative Commons Attribution (CC BY) license (https://creativecommons.org/licenses/by/4.0/).
Share and Cite
Li, W.; Xiong, Y.; Su, G.; Ye, Z.; Wang, G.; Chen, Z. The Aerodynamic Performance of Horizontal Axis Wind Turbines under Rotation Condition. Sustainability 2023, 15, 12553. https://doi.org/10.3390/su151612553
Li W, Xiong Y, Su G, Ye Z, Wang G, Chen Z. The Aerodynamic Performance of Horizontal Axis Wind Turbines under Rotation Condition. Sustainability. 2023; 15(16):12553. https://doi.org/10.3390/su151612553
Chicago/Turabian StyleLi, Wenyan, Yuxuan Xiong, Guoliang Su, Zuyang Ye, Guowu Wang, and Zhao Chen. 2023. "The Aerodynamic Performance of Horizontal Axis Wind Turbines under Rotation Condition" Sustainability 15, no. 16: 12553. https://doi.org/10.3390/su151612553
APA StyleLi, W., Xiong, Y., Su, G., Ye, Z., Wang, G., & Chen, Z. (2023). The Aerodynamic Performance of Horizontal Axis Wind Turbines under Rotation Condition. Sustainability, 15(16), 12553. https://doi.org/10.3390/su151612553

