Effect of Irrigation Schedule and Organic Fertilizer on Wheat Yield, Nutrient Uptake, and Soil Moisture in Northwest India
Abstract
1. Introduction
2. Materials and Methods
2.1. Description of Study
2.2. Treatments and Design of Experiment
2.3. Crop Management
2.4. Soil Moisture Sampling and Studies
- W1 = Weight of moist sample (in grams);
- W2 = Weight of dried sample (in grams).
2.5. Moisture Depletion
2.6. Plant Sampling and Nutrient Uptake
2.7. Statistical Investigation
3. Results
3.1. Yield of Grains and Moisture Content
3.2. Amount of NPK in Grain and Straw Yield
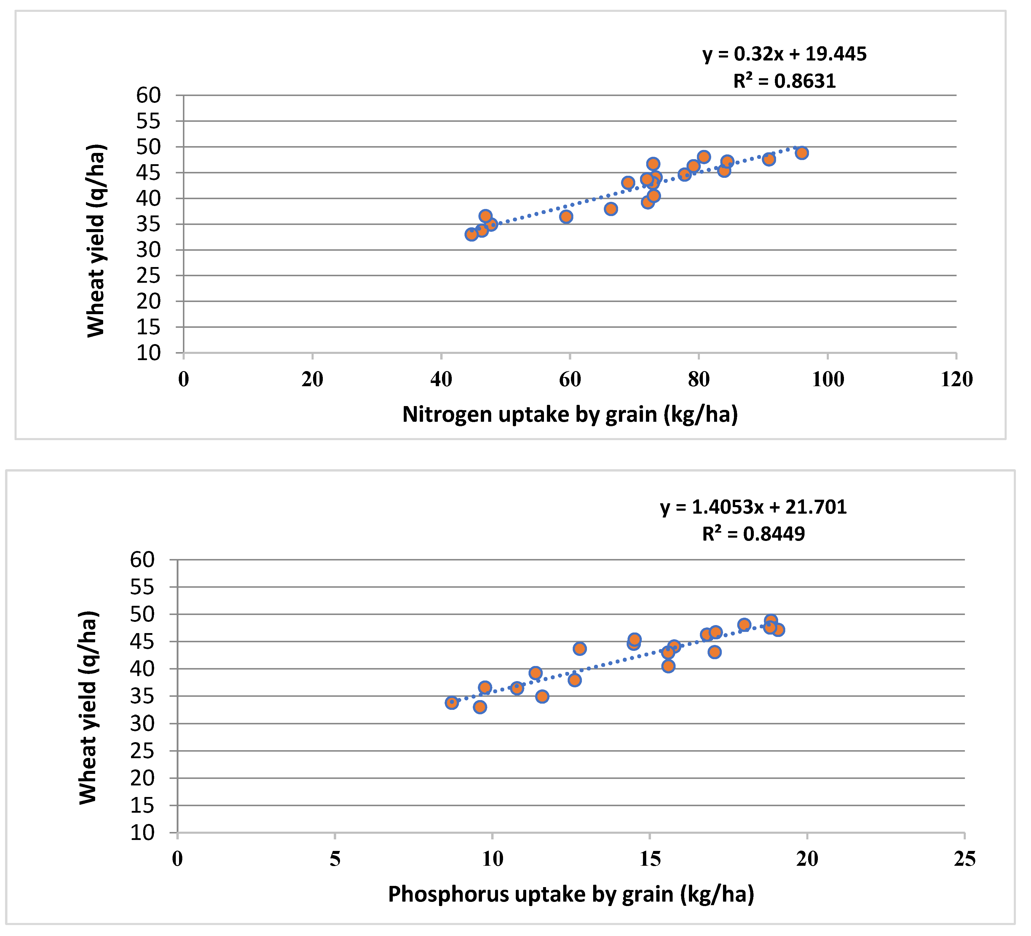
3.3. Intake of NPK in Grains and Straw
3.4. Utilization of All NPK by Grain and Straw
3.5. Soil Moisture Depletion Pattern
4. Discussion
4.1. Yield of Grains and Moisture Content
4.2. Amount of NPK in Grain and Straw
4.3. Intake of NPK from Grain and Straw
4.4. Total Amount of NPK Uptake by Grain and Straw
4.5. Soil Moisture Depletion Pattern
5. Conclusions
Author Contributions
Funding
Institutional Review Board Statement
Informed Consent Statement
Data Availability Statement
Acknowledgments
Conflicts of Interest
References
- Kizilgeci, F.; Yildirim, M.; Islam, M.S.; Ratnasekera, D.; Iqbal, M.A.; Sabagh, A.E.L. Normalized difference vegetation index and chlorophyll content for precision nitrogen management in durum wheat cultivars under Semi-Arid conditions. Sustainability 2021, 13, 3725. [Google Scholar] [CrossRef]
- Kumar, P.; Yadav, R.K.; Gollen, B.; Kumar, S.; Verma, R.K.; Yadav, S. Nutritional contents and medical properties of wheat: A review. Life Sci. Med. Res. 2011, 47, 145–149. [Google Scholar]
- Zhang, M.; Wang, H.; Yi, Y.; Ding, J.; Zhu, M.; Li, C.; Guo, W.; Feng, C.; Zhu, X. Effect of nitrogen concentration and nitrogen ratios on lodging resistance and yield potential of winter wheat (Triticum aestivum L.). PLoS ONE 2017, 12, e0187543. [Google Scholar]
- Deng, X.P.; Shan, L.; Zhang, H.; Turner, N.C. Improving agriculture water use efficiency in China arid and semiarid regions. Agric. Water Manag. 2006, 80, 23–40. [Google Scholar] [CrossRef]
- Aggarwal, P.K. Application of System Simulation for Understanding and Improving the Yield Potential of Wheat and Rice. Ph.D. Thesis, University of Wageningen, Wageningen, The Netherlands, 2000. [Google Scholar]
- Schulthess, U.; Ahmed, Z.U.; Aravindakshan, S.; Rokon, G.M.; Kurishi, A.S.M.A.; Krupnik, T.J. Farming on the fringe: Shallow groundwater dynamics and wheat and maize irrigation planning in the coastal delta of Bangladesh’s coastal. Field Crop. Res. 2019, 239, 135–148. [Google Scholar] [CrossRef]
- Kumawat, A.; Sepat, S.; Kumar, D.; Singh, S.; Jinger, D.; Bamboriya, S.D.; Verma, A.K. Impact of Irrigation Scheduling and Nitrogen Application on Yield, Grain Quality and Soil Microbial Activity in Direct–Seeded Rice. Int. J. Curr. Microbiol. Appl. Sci. 2016, 6, 2854–2860. [Google Scholar]
- Datta, D.; Chandra, S.; Nath, C.P.; Kar, G.; Ghosh, S.; Chaturvedi, S.; Bhatnagar, A.; Singh, G.; Singh, V. Soil-plant water dynamics, yield, quality and profitability of spring sweet corn under various irrigation schedules, crop establishment and moisture conservation techniques. Field Crop. Res. 2022, 279, 108450. [Google Scholar] [CrossRef]
- Kaur, A.; Brar, A.S. Influence of mulching and irrigation timing on productivity and water use of turmeric (Curcuma longa L.) in north-western India. Irrig. Sci. 2016, 34, 261–269. [Google Scholar] [CrossRef]
- Bhanwaria, R.; Singh, B.; Musarella, C.M. Effect of Organic Manure and Moisture Regimes on Soil Physiochemical Properties, Microbial Biomass Cmic: Nmic: Pmic Turnover and Yield of Mustard Grains in Arid Climate. Plants 2022, 11, 722. [Google Scholar] [CrossRef]
- Gupta, S.C.; Yaduvanshi, N.P.S.; Chaudhari, S.K.; Sharma, D.R.; Sharma, D.K.; Nayak, D.C.; Singh, S.K. Effect of nutrient management on soil organic carbon sequestration, in semi-reclaimed sodic soils of North India when rice and wheat are grown together. Environ. Monit. Assess. 2018, 190, 117. [Google Scholar] [CrossRef]
- Swarup, A. Integrated plant nutrient supply and management strategies for enhancing soil quality, input use efficiency and crop productivity. J. Indian Soc. Soil Sci. 2010, 58, 25–31. [Google Scholar]
- Fisher, R.A.; Yates, S. Statistical Tables; Oliver and Boyd: Edinburgh/London, UK, 1963. [Google Scholar]
- Dastane, N.G. A Practical Manual for Water Use Research in Agriculture; Navbharat Prakashan: Ahmedabad, India, 1972. [Google Scholar]
- Lindner, R.C. Rapid analytical methods for some of the more common inorganic constituents of plant tissue. Plant Physiol. 1944, 19, 76–89. [Google Scholar] [CrossRef] [PubMed]
- Koenig, R.A.; Johnson, C.R. Colorimetric determination of P in biological materials. Ind. Eng. Chem. Anal. 1944, 14, 155–156. [Google Scholar] [CrossRef]
- Gomez, K.A.; Gomez, A.A. Statistical Procedures for Agricultural Research, 2nd ed.; John Wiley and Sons: Singapore, 1984. [Google Scholar]
- Bhunia, S.R.; Chauhan, R.P.S.; Yadav, B.S.; Bhati, A.S. Effect of phosphorus, irrigation and rhizobium on productivity, water use and nutrient uptake in fenugreek (Trigonella foenum-graecum L). Indian J. Agron. 2006, 51, 239–241. [Google Scholar]
- Sharma, K.D.; Pannu, R.K. Physiological response of wheat (Triticum aestivum L.) to limited irrigation. J. Agrometeorol. 2008, 10, 113–117. [Google Scholar] [CrossRef]
- Sarwar, N.; Mawqsood, M.; Mubeen, K.; Shehzad, M.; Bhullar, M.S.; Qamar, R.; Akbar, N. Effect of different levels of irrigation on yield and yield components of wheat cultivars. Pak. J. Agric. Sci. 2010, 47, 371–374. [Google Scholar]
- Kumar, B.; Dhar, S.; Vyas, A.K.; Paramesh, V. Wheat (Triticum aestivum) varieties’ growth, yield, and root characteristics are affected by irrigation schedules and nutrient management. Indian J. Agron. 2015, 60, 87–91. [Google Scholar]
- Mishra, G.; Kushwaha, H.S. Winter wheat yield and soil physical properties responses to different tillage and irrigation. Eur. J. Biol. Res. 2016, 56, 530–537. [Google Scholar]
- Saren, B.K.; Jana, P.K. Effect of depth of irrigation level and time of nitrogen application on growth, yield and nutrient uptake by wheat (Triticum aestivum L.). Indian J. Agron. 2001, 46, 227–232. [Google Scholar]
- Bandyopadhyay, P.K.; Mallick, S. Actual evapo-transpiration and crop coefficient of wheat (Triticum aestivum L.) under varying moisture levels of humid tropical canal command area. Agric. Water Manag. 2003, 49, 33–47. [Google Scholar] [CrossRef]
- Parihar, S.S.; Tiwari, R.B. Effect of irrigation and nitrogen level on yield, nutrient uptake and water use of late sown wheat (Triticum aestivum L.). Indian J. Agron. 2003, 48, 103–107. [Google Scholar]
- Verma, R.; Ram, S.; Sharma, B. Effect of soil moisture regimes and fertility levels on growth, yield and water use efficiency of wheat (Triticum aestivum L.). Progress. Agric. 2011, 11, 73–78. [Google Scholar]
- Narolia, R.S.; Meena, H.; Singh, P.; Meena, B.S.; Ram, B. Effect of irrigation scheduling and nutrient management on productivity, profitability and nutrient uptake of wheat (Triticum aestivum) grown under zero-tilled condition in south-eastern Rajasthan. Indian J. Agron. 2016, 61, 53–58. [Google Scholar]
- Meena, R. Response of Mustard (Brassica juncea L.) to Irrigation and Potash Fertilization. Master’s Thesis, Anand Agricultural University, Anand, India, 2011. [Google Scholar]
- Sreenivas, C.H.; Murlidhar, S.; Rao, M.S. Vermicompost: A viable component of IPNSS in nitrogen nutrient of ridge guard. Ann. Agric. Res. 2000, 21, 108–113. [Google Scholar]
- Sharma, S.C.; Vyas, A.K. Residual effect of phosphorus fertilization and farm yard manure on productivity of succeeding wheat (Triticum aestivum) after soybean (Glycine max). Indian J. Agron. 2001, 46, 416–420. [Google Scholar]
- Singh, S.; Mehta, A.K.; Thakral, S.K. Yield attributes and yield of wheat (Triticum aestivum L.) as affected by vermicompost and inorganic fertilizers. Extended summaries. In Proceedings of the National Symposium on Resource Conservation and Agricultural Productivity, PAU, Ludhiana, India, 22–25 November 2004; pp. 22–25. [Google Scholar]
- Singh, V.; Singh, S.P.; Singh, S.; Shivay, Y.S. Growth, yield and nutrient uptake by wheat (Triticum aestivum) as affected by biofertilizers, FYM and nitrogen. Indian J. Agric. Sci. 2013, 83, 331–334. [Google Scholar]
- Mandal, K.G.; Hati, K.M.; Misra, A.K.; Bandyopadhyay, K.K. Assessment of irrigation and nutrient effects on growth, yield and water use efficiency of Indian mustard in central India. Agric. Water Manag. 2006, 85, 279–286. [Google Scholar] [CrossRef]
- Kader, A.E.; Shaaban, S.M.; Abd, E.; Fatah, M.S. Effect of irrigation levels and organic compost on okra plants grown in sandy calcareous soil. Agric. Biol. J. N. Am. 2010, 1, 225–231. [Google Scholar] [CrossRef]
- Yadav, B.S. Effect of organic manure and inorganic fertilizers on yield of wheat. In Proceedings of the International Conference on Natural Farming and Ecological Balance, CCSHAU, Hisar, India, 7–10 March 2001; p. 132. [Google Scholar]
- Kumawat, P.D. Response of Barley to Organic Manure and Nitrogen Fertilization. Ph.D. Thesis, Rajasthan Agricultural University, Bikaner, India, 2003. [Google Scholar]
- Singh, S.K.; Singh, K.P. Effect of long term use of fertilizers, lime and FYM on yield and nutrient uptake by wheat and soil properties. J. Res. 2003, 15, 85–87. [Google Scholar]
- Kumar, S.; Dhindwal, A.S.; Arya, R.K. Dry matter and straw yield in wheat as influenced by preceding crops, planting methods and irrigation levels. Forage Res. 2013, 39, 88–92. [Google Scholar]
- Ram, M.; Davari, M.R.; Sharma, S.N. Direct, residual and cumulative effects of organic manures and biofertilizers on yields, NPK uptake, grain quality and economics of wheat (Triticum aestivum L.) under organic farming of rice-wheat cropping system. J. Org. Syst. 2014, 9, 16–30. [Google Scholar]
- Jana, P.K.; Bandyopadhyay, P.; Ray, D.; Bhowmick, M.K. Response of wheat to irrigation regimes in new alluvial Zone of West Bengal. Ann. Agric. Res. 2001, 22, 498–502. [Google Scholar]
- Kibe, A.M.; Singh, S. Influence of irrigation, nitrogen and zinc on productivity and water use of late sown wheat (Triticum aestivum L.). Indian J. Agron. 2003, 48, 186–191. [Google Scholar]
- Zaman, A.; Nath, R.; Chaudhary, S.K. Evapotranspiration, water use efficiency, moisture extraction pattern and seed yield of wheat as influenced by irrigation and nitrogen under limited moisture supply condition. Indian J. Agric. Sci. 2006, 51, 19–23. [Google Scholar]






| Treatments | Symbol |
|---|---|
| A. Irrigation Scheduling | |
| 1. Irrigation at critical stages | I1 |
| 2. 0.9 IW/CPE ratio | I2 |
| 3. 0.6 IW/CPE ratio at vegetative + 0.8 IW/CPE ratio at reproductive phase | I3 |
| 4. 0.6 IW/CPE ratio at vegetative + 1.0 IW/CPE ratio at reproductive phase | I4 |
| 5. 0.8 IW/CPE ratio at vegetative + 1.0 IW/CPE ratio at reproductive phase | I5 |
| B. Organic Manures | |
| 1. Control | M0 |
| 2. FYM at 15 Mg ha−1 * | M1 |
| 3. Vermicompost at 6 Mg ha−1 * | M2 |
| 4. FYM at 7.5 Mg ha−1 * + vermicompost at 3 Mg ha−1 * | M3 |
| Treatments | Grain Yield (Mg ha−1) | Moisture Prior to Irrigation (%) | At 1/3 Bar Moisture Content (%) |
|---|---|---|---|
| Irrigation Scheduling | |||
| I1 | 4.24 bc | 5.60 ab | 15.83 ab |
| I2 | 4.45 a | 6.06 a | 17.07 a |
| I3 | 3.78 d | 4.77 d | 14.14 d |
| I4 | 4.14 b | 5.21 c | 15.00 c |
| I5 | 4.37 a | 5.78 a | 16.43 a |
| SEm± | 0.071 | 0.110 | 0.241 |
| CD (p = 0.05) | 0.203 | 0.322 | 0.714 |
| Organic Manures | |||
| M0 | 3.48 c | 3.91 c | 13.54 c |
| M1 | 4.29 ab | 6.01 a | 16.34 a |
| M2 | 4.43 a | 5.90 ab | 16.14 ab |
| M3 | 4.57 a | 6.11 a | 16.76 a |
| SEm± | 0.060 | 0.072 | 0.154 |
| CD (p = 0.05) | 0.181 | 0.191 | 0.423 |
| Treatments | Amount of Nutrients in Grain (%) | Amount of Nutrients in Straw (%) | ||||
|---|---|---|---|---|---|---|
| N | P2O5 | K2O | N | P2O5 | K2O | |
| Irrigation Scheduling | ||||||
| I1 | 1.65 | 0.342 | 0.464 | 0.473 | 0.118 | 1.546 |
| I2 | 1.64 | 0.367 | 0.484 | 0.497 | 0.126 | 1.694 |
| I3 | 1.69 | 0.318 | 0.437 | 0.463 | 0.117 | 1.499 |
| I4 | 1.66 | 0.325 | 0.452 | 0.461 | 0.121 | 1.571 |
| I5 | 1.66 | 0.340 | 0.455 | 0.481 | 0.123 | 1.613 |
| SEm± | 0.04 | 0.009 | 0.008 | 0.009 | 0.003 | 0.051 |
| CD (p = 0.05) | NS | NS | NS | NS | NS | NS |
| Organic Manures | ||||||
| M0 | 1.40 d | 0.288 c | 0.427 d | 0.429 d | 0.111 c | 1.354 d |
| M1 | 1.67 bc | 0.339 ab | 0.455 c | 0.475 c | 0.122 ab | 1.550 c |
| M2 | 1.73 b | 0.357 a | 0.467 b | 0.492 b | 0.124 a | 1.660 b |
| M3 | 1.83 a | 0.370 a | 0.482 a | 0.503 a | 0.126 a | 1.774 a |
| SEm± | 0.03 | 0.007 | 0.006 | 0.008 | 0.001 | 0.038 |
| CD (p = 0.05) | 0.09 | 0.021 | 0.018 | 0.022 | 0.003 | 0.107 |
| Treatments | Nutrients Uptake by Grain (kg/ha) | Nutrients Uptake by Straw (kg/ha) | ||||
|---|---|---|---|---|---|---|
| N | P | K | N | P | K | |
| Irrigation Scheduling | ||||||
| I1 | 70.01 ab | 14.54 ab | 19.71 ab | 28.70 ab | 7.15 bc | 93.77 ab |
| I2 | 74.41 a | 16.35 a | 21.61 a | 31.49 a | 7.98 a | 107.50 a |
| I3 | 64.10 d | 12.02 d | 16.53 d | 26.70 d | 6.74 d | 83.48 c |
| I4 | 69.03 c | 13.46 bc | 18.74 abc | 27.91 bc | 7.31 ab | 95.12 ab |
| I5 | 72.53 a | 15.14 a | 19.91 a | 30.06 a | 7.68 a | 100.81 a |
| SEm± | 1.38 | 0.44 | 0.56 | 0.66 | 0.15 | 3.40 |
| CD (p = 0.05) | 4.04 | 1.34 | 1.72 | 1.99 | 0.44 | 10.23 |
| Organic Manures | ||||||
| M0 | 48.87 d | 10.06 c | 14.92 c | 22.01 c | 5.68 c | 69.46 c |
| M1 | 71.91 c | 14.60 ab | 19.68 ab | 29.79 ab | 7.64 ab | 97.27 ab |
| M2 | 76.79 b | 15.86 a | 20.82 a | 31.63 a | 7.96 a | 106.74 a |
| M3 | 84.04 a | 16.89 a | 22.01 a | 33.01 a | 8.25 a | 116.29 a |
| SEm± | 1.12 | 0.42 | 0.52 | 0.62 | 0.12 | 3.24 |
| CD (p = 0.05) | 3.14 | 1.26 | 1.58 | 1.88 | 0.38 | 9.76 |
| Treatments | Total Nutrients Uptake in Seed and Straw (kg/ha) | ||
|---|---|---|---|
| N | P | K | |
| Irrigation Scheduling | |||
| I1 | 98.71 ab | 21.69 ab | 114.48 ab |
| I2 | 105.86 a | 24.34 a | 129.11 a |
| I3 | 89.90 d | 18.77 d | 100.01 c |
| I4 | 96.84 bc | 20.78 bc | 112.86 ab |
| I5 | 103.64 a | 22.83 a | 120.72 a |
| Sem± | 2.17 | 0.57 | 3.36 |
| CD (p = 0.05) | 6.54 | 1.73 | 10.12 |
| Organic Manures | |||
| M0 | 70.88 c | 15.75 c | 82.38 c |
| M1 | 102.70 b | 22.25 ab | 118.95 ab |
| M2 | 110.62 a | 23.83 a | 128.56 a |
| M3 | 114.85 a | 25.15 a | 137.03 a |
| Sem± | 1.48 | 0.52 | 3.28 |
| CD (p = 0.05) | 4.49 | 1.59 | 9.87 |
| Treatments | Different Soil Depth | |||
|---|---|---|---|---|
| 0–15 cm | 15–30 cm | 30–45 cm | 45–60 cm | |
| Irrigation Scheduling | ||||
| I1 | 37.09 c | 29.47 c | 20.72 c | 13.04 c |
| I2 | 37.31 a | 29.59 a | 20.79 a | 13.12 a |
| I3 | 36.90 e | 29.32 e | 20.58 e | 12.88 e |
| I4 | 36.97 d | 29.37 d | 20.66 d | 12.96 d |
| I5 | 37.24 b | 29.54 b | 20.75 b | 13.08 b |
| Organic Manures | ||||
| M0 | 37.28 a | 29.60 a | 20.79 a | 13.22 a |
| M1 | 36.73 d | 29.32 d | 20.61 d | 12.69 d |
| M2 | 36.79 c | 29.40 c | 20.67 c | 13.06 c |
| M3 | 37.03 b | 29.51 b | 20.74 b | 13.09 b |
Disclaimer/Publisher’s Note: The statements, opinions and data contained in all publications are solely those of the individual author(s) and contributor(s) and not of MDPI and/or the editor(s). MDPI and/or the editor(s) disclaim responsibility for any injury to people or property resulting from any ideas, methods, instructions or products referred to in the content. |
© 2023 by the authors. Licensee MDPI, Basel, Switzerland. This article is an open access article distributed under the terms and conditions of the Creative Commons Attribution (CC BY) license (https://creativecommons.org/licenses/by/4.0/).
Share and Cite
Verma, H.P.; Sharma, O.P.; Shivran, A.C.; Yadav, L.R.; Yadav, R.K.; Yadav, M.R.; Meena, S.N.; Jatav, H.S.; Lal, M.K.; Rajput, V.D.; et al. Effect of Irrigation Schedule and Organic Fertilizer on Wheat Yield, Nutrient Uptake, and Soil Moisture in Northwest India. Sustainability 2023, 15, 10204. https://doi.org/10.3390/su151310204
Verma HP, Sharma OP, Shivran AC, Yadav LR, Yadav RK, Yadav MR, Meena SN, Jatav HS, Lal MK, Rajput VD, et al. Effect of Irrigation Schedule and Organic Fertilizer on Wheat Yield, Nutrient Uptake, and Soil Moisture in Northwest India. Sustainability. 2023; 15(13):10204. https://doi.org/10.3390/su151310204
Chicago/Turabian StyleVerma, Hanuman Prasad, Om Prakash Sharma, Amar Chand Shivran, Lala Ram Yadav, Rajendra Kumar Yadav, Malu Ram Yadav, Satya Narayan Meena, Hanuman Singh Jatav, Milan Kumar Lal, Vishnu D. Rajput, and et al. 2023. "Effect of Irrigation Schedule and Organic Fertilizer on Wheat Yield, Nutrient Uptake, and Soil Moisture in Northwest India" Sustainability 15, no. 13: 10204. https://doi.org/10.3390/su151310204
APA StyleVerma, H. P., Sharma, O. P., Shivran, A. C., Yadav, L. R., Yadav, R. K., Yadav, M. R., Meena, S. N., Jatav, H. S., Lal, M. K., Rajput, V. D., & Minkina, T. (2023). Effect of Irrigation Schedule and Organic Fertilizer on Wheat Yield, Nutrient Uptake, and Soil Moisture in Northwest India. Sustainability, 15(13), 10204. https://doi.org/10.3390/su151310204

