CO2Flux Model Assessment and Comparison between an Airborne Hyperspectral Sensor and Orbital Multispectral Imagery in Southern Amazonia
Abstract
:1. Introduction
2. Materials and Methods
2.1. Study Site
2.2. Data Procurement and Image Pre-Processing
2.2.1. Hyperspectral Image
2.2.2. Orbital Data
2.3. Data Processing
2.4. Statistical Approach
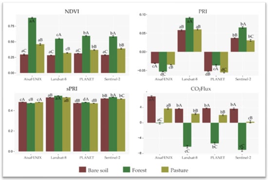
3. Results
3.1. CO2Flux
3.2. Statistical Approach
4. Discussion
5. Conclusions
Author Contributions
Funding
Institutional Review Board Statement
Informed Consent Statement
Data Availability Statement
Acknowledgments
Conflicts of Interest
References
- Noon, M.L.; Goldstein, A.; Ledezma, J.C.; Roehrdanz, P.R.; Cook-Patton, S.C.; Spawn-Lee, S.A.; Wright, T.M.; Gonzalez-Roglich, M.; Hole, D.G.; Rockström, J.; et al. Mapping the irrecoverable carbon in Earth’s ecosystems. Nat. Sustain. 2021, 5, 37–46. [Google Scholar] [CrossRef]
- Liu, J.; Huang, R.; Yu, K.; Zou, B. How lime-sand islands in the South China Sea have responded to global warming over the last 30 years: Evidence from satellite remote sensing images. Geomorphology 2020, 371, 107423. [Google Scholar] [CrossRef]
- Wang, L.; Chen, L. Spatiotemporal dataset on Chinese population distribution and its driving factors from 1949 to 2013. Sci. Data 2016, 3, 160047. [Google Scholar] [CrossRef] [PubMed]
- Gambo, J.; Ahmed Yusuf, Y.; Zulhaidi bin Mohd Shafri, H.; Salihu Lay, U.; Ahmed, A. A Three Decades Urban Growth Monitoring in Hadejia, Nigeria Using Remote Sensing and Geospatial Techniques. IOP Conf. Ser. Earth Environ. Sci. 2021, 620, 12012. [Google Scholar] [CrossRef]
- Ma, A.; Chen, D.; Zhong, Y.; Zheng, Z.; Zhang, L. National-scale greenhouse mapping for high spatial resolution remote sensing imagery using a dense object dual-task deep learning framework: A case study of China. ISPRS J. Photogramm. Remote Sens. 2021, 181, 279–294. [Google Scholar] [CrossRef]
- Zhang, Q.; Yuan, Q.; Zeng, C.; Li, X.; Wei, Y. Missing Data Reconstruction in Remote Sensing Image With a Unified Spatial–Temporal–Spectral Deep Convolutional Neural Network. IEEE Trans. Geosci. Remote Sens. 2018, 56, 4274–4288. [Google Scholar] [CrossRef] [Green Version]
- Gerber, F.; de Jong, R.; Schaepman, M.E.; Schaepman-Strub, G.; Furrer, R. Predicting Missing Values in Spatio-Temporal Remote Sensing Data. IEEE Trans. Geosci. Remote Sens. 2018, 56, 2841–2853. [Google Scholar] [CrossRef] [Green Version]
- Ponzoni, F.J.; Shimabukuro, Y.E. Sensoriamento Remoto no Estudo da Vegetação; Parêntese Editora: São José dos Campos, Brazil, 2009; ISBN 978-85-60507-02-3. [Google Scholar]
- Ohyama, H.; Shiomi, K.; Kikuchi, N.; Morino, I.; Matsunaga, T. Quantifying CO2 emissions from a thermal power plant based on CO2 column measurements by portable Fourier transform spectrometers. Remote Sens. Environ. 2021, 267, 112714. [Google Scholar] [CrossRef]
- Nassar, R.; Mastrogiacomo, J.-P.; Bateman-Hemphill, W.; McCracken, C.; MacDonald, C.G.; Hill, T.; O’Dell, C.W.; Kiel, M.; Crisp, D. Advances in quantifying power plant CO2 emissions with OCO-2. Remote Sens. Environ. 2021, 264, 112579. [Google Scholar] [CrossRef]
- Lei, R.; Feng, S.; Danjou, A.; Broquet, G.; Wu, D.; Lin, J.C.; O’Dell, C.W.; Lauvaux, T. Fossil fuel CO2 emissions over metropolitan areas from space: A multi-model analysis of OCO-2 data over Lahore, Pakistan. Remote Sens. Environ. 2021, 264, 112625. [Google Scholar] [CrossRef]
- Guo, M.; Li, J.; Xu, J.; Wang, X.; He, H.; Wu, L. CO2 emissions from the 2010 Russian wildfires using GOSAT data. Environ. Pollut. 2017, 226, 60–68. [Google Scholar] [CrossRef] [PubMed]
- Du, S.; Liu, L.; Liu, X.; Zhang, X.; Zhang, X.; Bi, Y.; Zhang, L. Retrieval of global terrestrial solar-induced chlorophyll fluorescence from TanSat satellite. Sci. Bull. 2018, 63, 1502–1512. [Google Scholar] [CrossRef] [Green Version]
- Li, S.; Gao, M.; Li, Z.-L.; Duan, S.; Leng, P. Uncertainty analysis of SVD-based spaceborne far–red sun-induced chlorophyll fluorescence retrieval using TanSat satellite data. Int. J. Appl. Earth Obs. Geoinf. 2021, 103, 102517. [Google Scholar] [CrossRef]
- Fernandez, H.M.; Granja-Martins, F.M.; Pedras, C.M.G.; Fernandes, P.; Isidoro, J.M.G.P. An Assessment of Forest Fires and CO2 Gross Primary Production from 1991 to 2019 in Mação (Portugal). Sustainability 2021, 13, 5816. [Google Scholar] [CrossRef]
- Souza, A.P.D.; Teodoro, P.E.; Teodoro, L.P.R.; Taveira, A.C.; de Oliveira-Júnior, J.F.; Della-Silva, J.L.; Baio, F.H.R.; Lima, M.; da Silva Junior, C.A. Application of remote sensing in environmental impact assessment: A case study of dam rupture in Brumadinho, Minas Gerais, Brazil. Environ. Monit. Assess. 2021, 193, 606. [Google Scholar] [CrossRef] [PubMed]
- Chen, Y.; Guerschman, J.P.; Cheng, Z.; Guo, L. Remote sensing for vegetation monitoring in carbon capture storage regions: A review. Appl. Energy 2019, 240, 312–326. [Google Scholar] [CrossRef]
- Lees, K.J.; Quaife, T.; Artz, R.R.E.; Khomik, M.; Clark, J.M. Potential for using remote sensing to estimate carbon fluxes across northern peatlands—A review. Sci. Total Environ. 2018, 615, 857–874. [Google Scholar] [CrossRef]
- Xiao, J.; Chevallier, F.; Gomez, C.; Guanter, L.; Hicke, J.A.; Huete, A.R.; Ichii, K.; Ni, W.; Pang, Y.; Rahman, A.F.; et al. Remote sensing of the terrestrial carbon cycle: A review of advances over 50 years. Remote Sens. Environ. 2019, 233, 111383. [Google Scholar] [CrossRef]
- Angelopoulou, T.; Tziolas, N.; Balafoutis, A.; Zalidis, G.; Bochtis, D. Remote Sensing Techniques for Soil Organic Carbon Estimation: A Review. Remote Sens. 2019, 11, 676. [Google Scholar] [CrossRef] [Green Version]
- McClelland, M.P.; van Aardt, J.; Hale, D. Manned aircraft versus small unmanned aerial system—forestry remote sensing comparison utilizing lidar and structure-from-motion for forest carbon modeling and disturbance detection. J. Appl. Remote Sens. 2019, 14, 022202. [Google Scholar] [CrossRef]
- Fernández-Guisuraga, J.M.; Suárez-Seoane, S.; Fernandes, P.M.; Fernández-García, V.; Fernández-Manso, A.; Quintano, C.; Calvo, L. Pre-fire aboveground biomass, estimated from LiDAR, spectral and field inventory data, as a major driver of burn severity in maritime pine (Pinus pinaster) ecosystems. For. Ecosyst. 2022, 9, 100022. [Google Scholar] [CrossRef]
- De Almeida, C.T.; Galvão, L.S.; de Oliveira Cruz e Aragão, L.E.; Ometto, J.P.H.B.; Jacon, A.D.; de SouzaPereira, F.R.; Sato, L.Y.; Lopes, A.P.; Lima de Alencastro Graça, P.M.; de Jesus Silva, C.V.; et al. Combining LiDAR and hyperspectral data for aboveground biomass modeling in the Brazilian Amazon using different regression algorithms. Remote Sens. Environ. 2019, 232, 111323. [Google Scholar] [CrossRef]
- Rahman, A.F.; Gamon, J.A.; Fuentes, D.A.; Roberts, D.A.; Prentiss, D. Modeling spatially distributed ecosystem flux of boreal forest using hyperspectral indices from AVIRIS imagery. J. Geophys. Res. Atmos. 2001, 106, 33579–33591. [Google Scholar] [CrossRef]
- Garbulsky, M.F.; Peñuelas, J.; Gamon, J.; Inoue, Y.; Filella, I. The photochemical reflectance index (PRI) and the remote sensing of leaf, canopy and ecosystem radiation use efficiencies: A review and meta-analysis. Remote Sens. Environ. 2011, 115, 281–297. [Google Scholar] [CrossRef]
- Peñuelas, J.; Inoue, Y. Reflectance assessment of canopy CO2 uptake. Int. J. Remote Sens. 2000, 21, 3353–3356. [Google Scholar] [CrossRef]
- Migliavacca, M.; Galvagno, M.; Cremonese, E.; Rossini, M.; Meroni, M.; Sonnentag, O.; Cogliati, S.; Manca, G.; Diotri, F.; Busetto, L.; et al. Using digital repeat photography and eddy covariance data to model grassland phenology and photosynthetic CO2 uptake. Agric. For. Meteorol. 2011, 151, 1325–1337. [Google Scholar] [CrossRef]
- Rouse, J.W., Jr.; Haas, R.H.; Schell, J.A.; Deering, D.W. Monitoring Vegetation Systems in the Great Plains with ERTS. In Proceedings of the ERTS-1 Symposium, Washington, DC, USA, 10–14 December 1973; Volume 351, p. 309. [Google Scholar]
- Gamon, J.; Serrano, L.; Surfus, J.S. The Photochemical Reflectance Index: An Optical Indicator of Photosynthetic Radiation Use Efficiency across Species, Functional Types, and Nutrient Levels. Oecologia 1997, 112, 492–501. [Google Scholar] [CrossRef]
- Gamon, J.A.; Peñuelas, J.; Field, C.B. A narrow-waveband spectral index that tracks diurnal changes in photosynthetic efficiency. Remote Sens. Environ. 1992, 41, 35–44. [Google Scholar] [CrossRef]
- Drolet, G.G.; Huemmrich, K.F.; Hall, F.G.; Middleton, E.M.; Black, T.A.; Barr, A.G.; Margolis, H.A. A MODIS-derived photochemical reflectance index to detect inter-annual variations in the photosynthetic light-use efficiency of a boreal deciduous forest. Remote Sens. Environ. 2005, 98, 212–224. [Google Scholar] [CrossRef]
- SPECIM AisaFENIX—Specim. Available online: https://www.specim.fi/products/aisafenix/ (accessed on 29 March 2021).
- Barnes, M.L.; Farella, M.M.; Scott, R.L.; Moore, D.J.P.; Ponce-Campos, G.E.; Biederman, J.A.; MacBean, N.; Litvak, M.E.; Breshears, D.D. Improved dryland carbon flux predictions with explicit consideration of water-carbon coupling. Commun. Earth Environ. 2021, 2, 248. [Google Scholar] [CrossRef]
- Da Silva Junior, C.A.; de MedeirosCosta, G.; Saragosa Rossi, F.; Evangelista doVale, J.C.; Bruto de Lima, R.B.; Lima, M.; de Oliveira-Junior, J.F.; Teodoro, P.E.; Santos, R.C. Remote sensing for updating the boundaries between the brazilian Cerrado-Amazonia biomes. Environ. Sci. Policy 2019, 101, 383–392. [Google Scholar] [CrossRef]
- Polonio, V.D. Índices de Vegetação na Mensuração do Estoque de Carbono em Áreas com Cana-de-Açúcar; UNESP: São Paulo, Brazil, 2015. [Google Scholar]
- Do Nascimento Lopes, E.R.; de Sousa, J.A.P.; de Souza, J.C.; Filho, J.L.A.; Lourenço, R.W. Spatial dynamics of Atlantic Forest fragments in a river basin. Floresta 2019, 50, 1053. [Google Scholar] [CrossRef] [Green Version]
- Fernandez, H.M.; Gomes, C.P.; Granja-Martins, F.M. Monitorização por satélite da desflorestação da floresta do Maiombe em Cabinda, Angola nos últimos 33 anos. Rev. GEAMA—Ciências Ambient. Biotecnol. 2020, 6, 81–91. [Google Scholar]
- Correia Filho, W.L.F.; de Barros Santiago, D.; de Oliveira-Júnior, J.F.; da Silva Junior, C.A.; da Silva Oliveira, S.R.; da Silva, E.B.; Teodoro, P.E. Analysis of environmental degradation in Maceió-Alagoas, Brazil via orbital sensors: A proposal for landscape intervention based on urban afforestation. Remote Sens. Appl. Soc. Environ. 2021, 24, 100621. [Google Scholar] [CrossRef]
- Rossi, F.S.; de Araújo Santos, G.A.; de Souza Maria, L.; Lourençoni, T.; Pelissari, T.D.; Della-Silva, J.L.; Júnior, J.W.O.; de Avila e Silva, A.; Lima, M.; Teodoro, P.E.; et al. Carbon dioxide spatial variability and dynamics for contrasting land uses in central Brazil agricultural frontier from remote sensing data. J. South Am. Earth Sci. 2022, 116, 103809. [Google Scholar] [CrossRef]
- Dos Santos, C.V.B. Modelagem Espectral para Determinação de Fluxo de CO2 em Áreas de Caatinga Preservada e em Regeneração Cloves. Master’s Thesis, Universidade Estadual de Feira de Santana, Novo Horizonte, Brazil, 2017. [Google Scholar]
- Inoue, Y.; Peñuelas, J.; Miyata, A.; Mano, M. Normalized difference spectral indices for estimating photosynthetic efficiency and capacity at a canopy scale derived from hyperspectral and CO2 flux measurements in rice. Remote Sens. Environ. 2008, 112, 156–172. [Google Scholar] [CrossRef]
- Ostle, N.J.; Levy, P.E.; Evans, C.D.; Smith, P. UK land use and soil carbon sequestration. Land Use Policy 2009, 26, S274–S283. [Google Scholar] [CrossRef]
- Hölbling, D.; Eisank, C.; Albrecht, F.; Vecchiotti, F.; Friedl, B.; Weinke, E.; Kociu, A. Comparing Manual and Semi-Automated Landslide Mapping Based on Optical Satellite Images from Different Sensors. Geosciences 2017, 7, 37. [Google Scholar] [CrossRef] [Green Version]
- Landsat 8. U.S. Geological Survey. Available online: https://www.usgs.gov/landsat-missions/landsat-8 (accessed on 3 January 2022).
- MSI Instrument—Sentinel-2 MSI Technical Guide—Sentinel Online—Sentinel. Available online: https://sentinels.copernicus.eu/web/sentinel/technical-guides/sentinel-2-msi/msi-instrument (accessed on 3 January 2022).
- Zhang, C.; Brodylo, D.; Sirianni, M.J.; Li, T.; Comas, X.; Douglas, T.A.; Starr, G. Mapping CO2 fluxes of cypress swamp and marshes in the Greater Everglades using eddy covariance measurements and Landsat data. Remote Sens. Environ. 2021, 262, 112523. [Google Scholar] [CrossRef]
- Zhang, H.K.; Roy, D.P.; Yan, L.; Li, Z.; Huang, H.; Vermote, E.; Skakun, S.; Roger, J.-C. Characterization of Sentinel-2A and Landsat-8 top of atmosphere, surface, and nadir BRDF adjusted reflectance and NDVI differences. Remote Sens. Environ. 2018, 215, 482–494. [Google Scholar] [CrossRef]
- Hwang, T.; Gholizadeh, H.; Sims, D.A.; Novick, K.A.; Brzostek, E.R.; Phillips, R.P.; Roman, D.T.; Robeson, S.M.; Rahman, A.F. Capturing species-level drought responses in a temperate deciduous forest using ratios of photochemical reflectance indices between sunlit and shaded canopies. Remote Sens. Environ. 2017, 199, 350–359. [Google Scholar] [CrossRef]
- Asner, G.P.; Brodrick, P.G.; Anderson, C.B.; Vaughn, N.; Knapp, D.E.; Martin, R.E. Progressive forest canopy water loss during the 2012–2015 California drought. Proc. Natl. Acad. Sci. USA 2016, 113, E249–E255. [Google Scholar] [CrossRef] [PubMed] [Green Version]
- Baloloy, A.B.; Blanco, A.C.; Candido, C.G.; Argamosa, R.J.L.; Dumalag, J.B.L.C.; Dimapilis, L.L.C.; Paringit, E.C. Estimation of mangrove forest aboveground biomass using multispectral bands, vegetation indices and biophysical variables derived from optical satellite imageries: RapidEye, PlanetScope and Sentinel-2. In Proceedings of the ISPRS Annals of the Photogrammetry, Remote Sensing and Spatial Information Sciences, Beijing, China, 7–10 May 2018. [Google Scholar]
- Menefee, D.; Rajan, N.; Cui, S.; Bagavathiannan, M.; Schnell, R.; West, J. Carbon exchange of a dryland cotton field and its relationship with PlanetScope remote sensing data. Agric. For. Meteorol. 2020, 294, 108130. [Google Scholar] [CrossRef]
- Cheng, Y.; Vrieling, A.; Fava, F.; Meroni, M.; Marshall, M.; Gachoki, S. Phenology of short vegetation cycles in a Kenyan rangeland from PlanetScope and Sentinel-2. Remote Sens. Environ. 2020, 248, 112004. [Google Scholar] [CrossRef]
- Asner, G.P.; Nepstad, D.; Cardinot, G.; Ray, D. Drought stress and carbon uptake in an Amazon forest measured with spaceborne imaging spectroscopy. Proc. Natl. Acad. Sci. USA 2004, 101, 6039–6044. [Google Scholar] [CrossRef] [Green Version]














| VNIR 1 | SWIR 2 | |
|---|---|---|
| Spectral range | 380~970 nm | 970~2500 nm |
| Spectral bands | 344 | 275 |
| Detector | Complementary metal-oxide-semiconductor (CMOS) | Mercury Cadmium Telluride (MCT) cooled detector |
| Spectral resolution | 3.5 nm | 12 nm |
| Field of View | 32.3° | |
| Focal aperture | F/2.4 | |
| Radiometric resolution | 16 bits | |
| Imaging speed | 130 frames per second | |
| Spatial resolution | 0.65 m (at 600 m of altitude) | |
| Band Name | Description | Spectral Range (nm) |
|---|---|---|
| B1 | Coastal/Aerosol | 433~453 |
| B2 | Blue | 450~515 |
| B3 | Green | 525~600 |
| B4 | Red | 630~680 |
| B5 | Near Infrared | 845~885 |
| B6 | SWIR 1 | 1560~1660 |
| B7 | SWIR 2 | 2100~2300 |
| B8 | Panchromatic | 500~680 |
| B9 | Cirrus | 1360~1390 |
| Band Name | Description | Spectral Range (nm) |
|---|---|---|
| B01 | Aerosols | 421.7~463.7 |
| B02 | Blue | 426.4~558.4 |
| B03 | Green | 523.8~595.8 |
| B04 | Red | 633.6~695.6 |
| B05 | Red edge 1 | 689.1~719.1 |
| B06 | Red edge 2 | 725.5~755.5 |
| B07 | Red edge 3 | 762.8~802.8 |
| B08 | Near infrared | 726.8~938.8 |
| B08a | Red edge 4 | 843.7~885.7 |
| B09 | Water vapor | 925.1~965.1 |
| B10 | Cirrus | 1342.5~1404.5 |
| B11 | SWIR 1 | 1522.7~1704.7 |
| B12 | SWIR 2 | 2027.4~2377.4 |
| Band Name | Spectral Range |
|---|---|
| Blue | 464~517 |
| Green | 547~585 |
| Red | 650~682 |
| NIR 1 | 846~888 |
| Imagery | Scene |
|---|---|
| OLI/Landsat-8 | LANDSAT/LC08/C01/T1_RT_TOA/LC08_227067_20171006 1 |
| MSI/Sentinel | 20171014T140051_20171014T140051_T21LWK 1 |
| 20171014T140051_20171014T140051_T21LXK 1 | |
| PlanetScope | Acquisition through PlanetScope requisition |
Publisher’s Note: MDPI stays neutral with regard to jurisdictional claims in published maps and institutional affiliations. |
© 2022 by the authors. Licensee MDPI, Basel, Switzerland. This article is an open access article distributed under the terms and conditions of the Creative Commons Attribution (CC BY) license (https://creativecommons.org/licenses/by/4.0/).
Share and Cite
Della-Silva, J.L.; da Silva Junior, C.A.; Lima, M.; Teodoro, P.E.; Nanni, M.R.; Shiratsuchi, L.S.; Teodoro, L.P.R.; Capristo-Silva, G.F.; Baio, F.H.R.; de Oliveira, G.; et al. CO2Flux Model Assessment and Comparison between an Airborne Hyperspectral Sensor and Orbital Multispectral Imagery in Southern Amazonia. Sustainability 2022, 14, 5458. https://doi.org/10.3390/su14095458
Della-Silva JL, da Silva Junior CA, Lima M, Teodoro PE, Nanni MR, Shiratsuchi LS, Teodoro LPR, Capristo-Silva GF, Baio FHR, de Oliveira G, et al. CO2Flux Model Assessment and Comparison between an Airborne Hyperspectral Sensor and Orbital Multispectral Imagery in Southern Amazonia. Sustainability. 2022; 14(9):5458. https://doi.org/10.3390/su14095458
Chicago/Turabian StyleDella-Silva, João Lucas, Carlos Antonio da Silva Junior, Mendelson Lima, Paulo Eduardo Teodoro, Marcos Rafael Nanni, Luciano Shozo Shiratsuchi, Larissa Pereira Ribeiro Teodoro, Guilherme Fernando Capristo-Silva, Fabio Henrique Rojo Baio, Gabriel de Oliveira, and et al. 2022. "CO2Flux Model Assessment and Comparison between an Airborne Hyperspectral Sensor and Orbital Multispectral Imagery in Southern Amazonia" Sustainability 14, no. 9: 5458. https://doi.org/10.3390/su14095458
APA StyleDella-Silva, J. L., da Silva Junior, C. A., Lima, M., Teodoro, P. E., Nanni, M. R., Shiratsuchi, L. S., Teodoro, L. P. R., Capristo-Silva, G. F., Baio, F. H. R., de Oliveira, G., de Oliveira-Júnior, J. F., & Rossi, F. S. (2022). CO2Flux Model Assessment and Comparison between an Airborne Hyperspectral Sensor and Orbital Multispectral Imagery in Southern Amazonia. Sustainability, 14(9), 5458. https://doi.org/10.3390/su14095458

