Assessing the Impact of the Farakka Barrage on Hydrological Alteration in the Padma River with Future Insight
Abstract
:1. Introduction
2. Materials and Methods
2.1. Description of the Study Area
2.2. Materials
2.3. Methods for Innovative Trend Analysis
2.4. Methods for Hydrologic Alteration Using the Range of Variability Approach
2.5. Periodicity Analysis by Using Continuous Wavelet Transforms
2.6. Proposing PSO-Based Novel Hybrid Machine Learning Algorithms for Streamflow Prediction
2.6.1. Particle Swarm Intelligence
2.6.2. Machine Learning Algorithms
Application of RF
Application of REPTree
2.6.3. Application of M5P
2.6.4. Procedure for Ensemble
2.7. Validations
3. Results and Analysis
3.1. Trend Analysis
3.2. Modeling of Hydrological Alteration

3.3. Periodicity Analysis
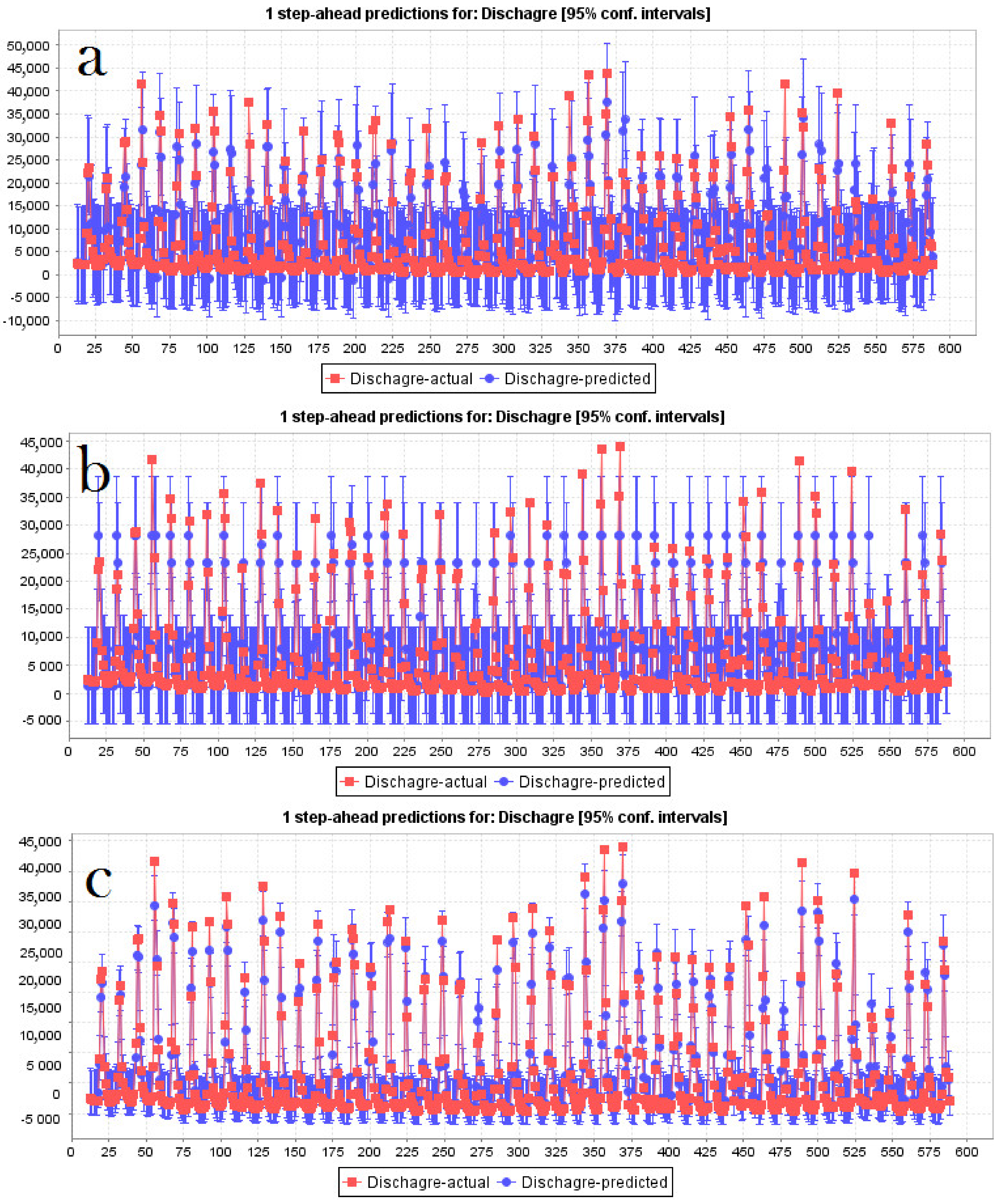
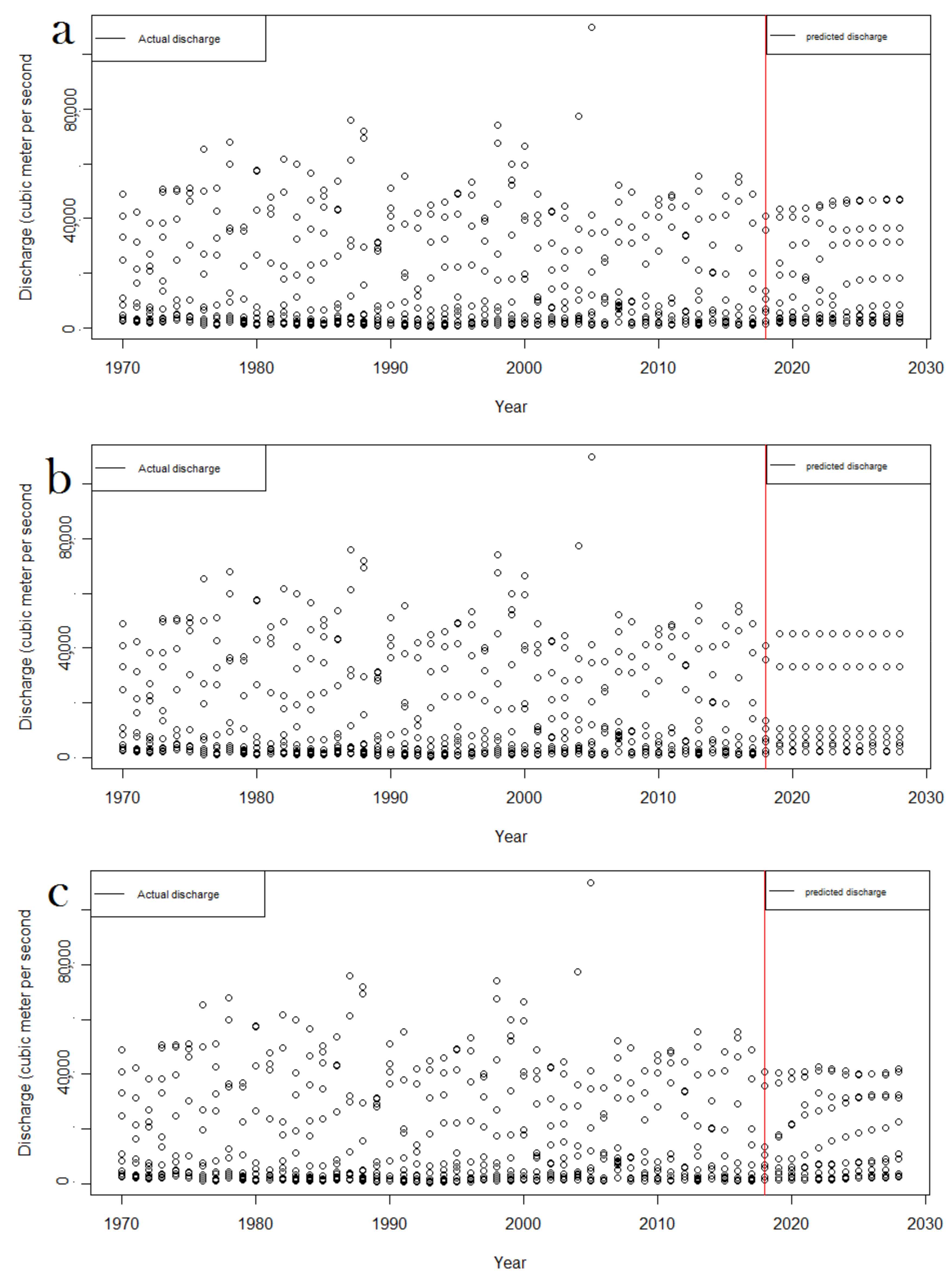
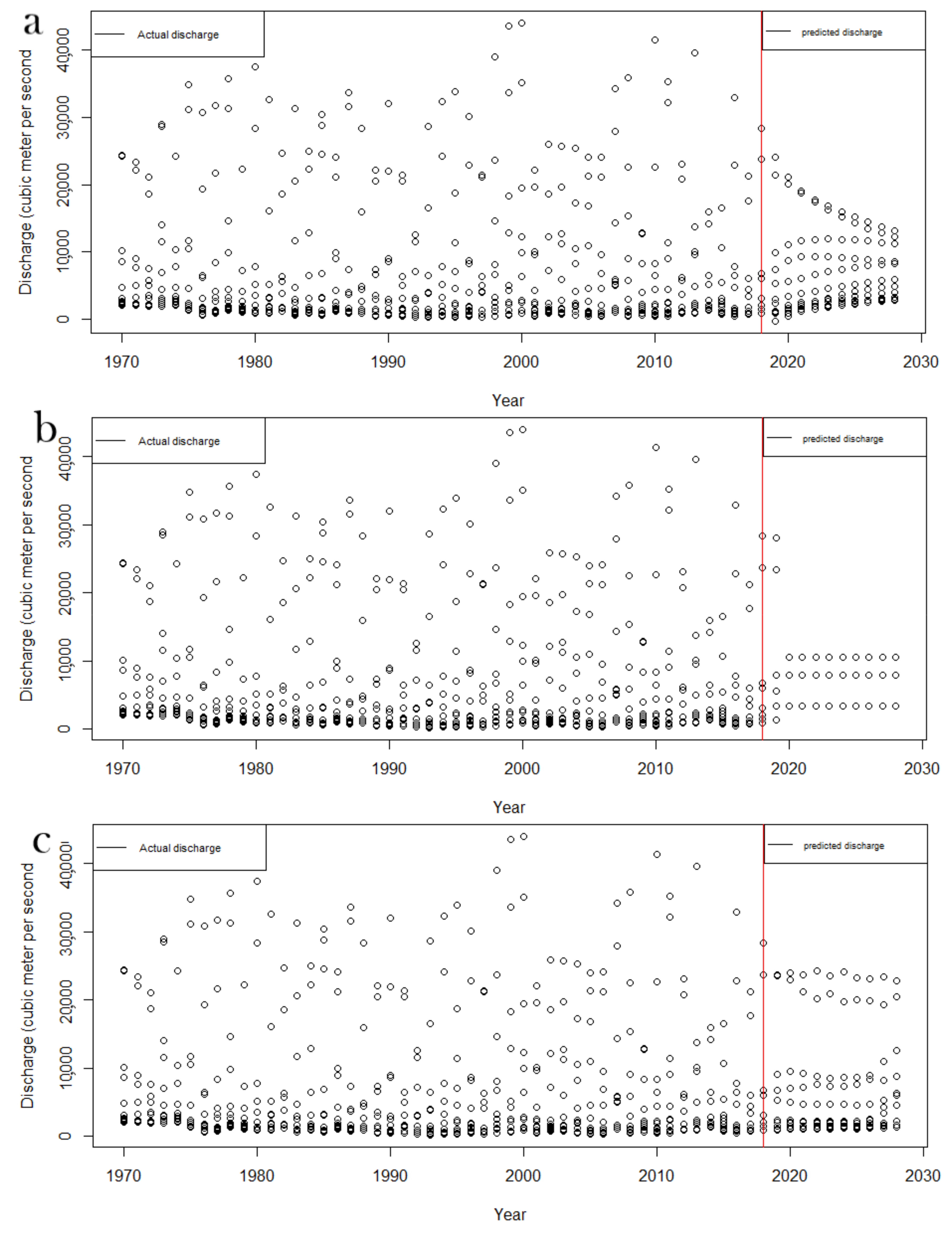
3.4. Streamflow Prediction by Proposing Novel Hybrid Machine Learning Algorithm
| PSO-RF | PSO-M5P | PSO-REPTree | ||
|---|---|---|---|---|
| RMSE | Average | 0.21 | 0.25 | 0.14 |
| Maximum | 0.3 | 0.36 | 0.41 | |
| Minimum | 0.26 | 0.18 | 0.24 | |
| MAE | Average | 0.23 | 0.27 | 0.21 |
| Maximum | 0.29 | 0.42 | 0.35 | |
| Minimum | 0.17 | 0.26 | 0.22 | |
| MAPE | Average | 0.32 | 0.36 | 0.24 |
| Maximum | 0.53 | 0.46 | 0.51 | |
| Minimum | 0.29 | 0.21 | 0.25 |
3.4.1. Average Discharge Forecasting

3.4.2. Maximum Discharge Forecasting
3.4.3. Minimum Discharge Forecasting
4. Discussion
| Authors | Publication Year | Findings | Remarks |
|---|---|---|---|
| Rahman and Rahaman [86] | 2018 | During the dry season (January–May), maximum, average and minimum discharges have been recorded to be decreased by around 23–43 and 65 percent, respectively, compared to pre-Farakka (1935–1975). | The south-western part of Bangladesh has witnessed environmental degradation for nearly 40 years because of a considerable decline in the Ganges flow at Farakka. |
| Gain and Giupponi [2] | 2014 | The Farakka Dam’s water diversion has drastically altered many threshold parameters, such as the monthly mean dry season (December–May) and annual minimum flows. | The destruction of breeding and raising sites for many Gangetic species, increased salinity in Bangladesh’s southwest coastal area, and reduced fish and agricultural variety are ecological repercussions of such hydrologic changes. |
| Mirza [66] | 1997 | The barrage has caused nonhomogeneity in the Ganges River’s yearly peak flow in Bangladesh. The dry season water supply has been drastically decreased, while siltation of the Gorai River (a Gange’s offtake) has intensified. | There are potentially wide-ranging social and environmental consequences for Bangladesh from the lower flow in the Ganges system. |
| Rahman et al. [87] | 2000 | The Ganges’ average lowest flow is 552 m3s−1, which is around 73 percent less than pre-Farakka conditions, resulting in high saline surface water and medium to high salinity groundwater. | If the current scenario persists, it will have a devastating effect on the ecosystem of the region in the long-term. |
| Gazi et al. [88] | 2020 | After the Farakka Barrage, both segments’ bar surface areas rose unnaturally. This has resulted in massive sedimentation in the Gorai-Madhumati. The river channel morphology changed dramatically, with seasonal flow and sedimentation variations. The river’s migration tendency has regularly altered from NW to NE. The total accretion exceeded the net erosion on both sides of the river. | According to discharge, bar accretion, and erosion history, the Gorai-Madhumati River will vanish if the current flow condition is persisted. |
| Samad et al. [89] | 2022 | Dolphin occupancy in deep river pools in the Ganga River (upstream of FB) remained consistent, although there was more overlap with fisheries when river flow decreased. The feeder canal saw increased dolphin colonization with consistent flows, but there was also more danger of bycatch in fishing nets. As a result, the canal, which looked like a hydrological haven, became an ‘ecological trap’. | In developing river dolphin conservation plans and trans-boundary water-sharing guidelines, ecological flow parameters and fisheries rules are incorporated to limit dolphin bycatch mortality. |
5. Conclusions
Supplementary Materials
Author Contributions
Funding
Institutional Review Board Statement
Informed Consent Statement
Data Availability Statement
Conflicts of Interest
References
- Arévalo-Mejía, R.; Leblois, E.; Tapia, H.S.; Mastachi-Loza, C.A.; Bâ, K.; Díaz-Delgado, C. A baseline assessment of hydrologic alteration degree for the Mexican catchments at gauged rivers (2016). Sci. Total Environ. 2020, 729, 139041. [Google Scholar] [CrossRef] [PubMed]
- Gain, A.K.; Giupponi, C. Impact of the Farakka Dam on Thresholds of the Hydrologic Flow Regime in the Lower Ganges River Basin (Bangladesh). Water 2014, 6, 2501–2518. [Google Scholar] [CrossRef] [Green Version]
- Poff, N.L.; Allan, J.D.; Bain, M.B.; Karr, J.R.; Prestegaard, K.L.; Brian, D.; Sparks, R.E.; Stromberg, J.C.; Richter, B.D. The natural flow regime—A paradigm for river conservation and restoration. BioScience 1997, 47, 769–784. [Google Scholar] [CrossRef]
- Mirza, M.M.Q. Diversion of the Ganges Water at Farakka and Its Effects on Salinity in Bangladesh. Environ. Manag. 1998, 22, 711–722. [Google Scholar] [CrossRef]
- Nawfee, S.M.; Dewan, A.; Rashid, T. Integrating subsurface stratigraphic records with satellite images to investi-gate channel change and bar evolution: A case study of the Padma River, Bangladesh. Environ. Earth Sci. 2018, 77, 1–14. [Google Scholar] [CrossRef]
- Pal, S. Impact of water diversion on hydrological regime of the Atreyee river of Indo-Bangladesh. Int. J. River Basin Manag. 2016, 14, 459–475. [Google Scholar] [CrossRef]
- Talukdar, S.; Pal, S. Modeling flood plain wetland transformation in consequences of flow alteration in Punarbhaba river in India and Bangladesh. J. Clean. Prod. 2020, 261, 120767. [Google Scholar] [CrossRef]
- Zeiringer, B.; Seliger, C.; Greimel, F.; Schmutz, S. River hydrology, flow alteration, and environmental flow. In Riverine Ecosystem Management; Springer: Cham, Switzerland, 2018; pp. 67–89. [Google Scholar]
- Finger, D.C.; Schmid, M.; Wüest, A. Comparing effects of oligotrophication and upstream hydropower dams on plankton and productivity in perialpine lakes. Water Resour. Res. 2007, 43, 1–21. [Google Scholar] [CrossRef] [Green Version]
- McCartney, M.P. Living with dams: Managing the environmental impacts. Water Policy 2009, 11, 121–139. [Google Scholar] [CrossRef]
- Graf, W.L. Downstream hydrologic and geomorphic effects of large dams on American rivers. Geomorphology 2006, 79, 336–360. [Google Scholar] [CrossRef]
- Brandt, S.A. Classification of geomorphological effects downstream of dams. CATENA 2000, 40, 375–401. [Google Scholar] [CrossRef]
- Bharati, L.; Lacombe, G.; Gurung, P.; Jayakody, P.; Hoanh, C.T.; Smakhtin, V. The Impacts of Water Infrastructure and Climate Change on the Hydrology of the Upper Ganges River Basin; IWMI: Colombo, Sri Lanka, 2011; Volume 142. [Google Scholar]
- Islam, A.R.M.T. Assessment of fluvial channel dynamics of padma river in northwestern Bangladesh. Univers. J. Geosci. 2016, 4, 41–49. [Google Scholar] [CrossRef]
- Talukdar, S.; Pal, S. Impact of Dam on Flow Regime and Flood Plain Modification in Punarbhaba River Basin of Indo-Bangladesh Barind Tract. Water Conserv. Sci. Eng. 2017, 3, 59–77. [Google Scholar] [CrossRef]
- Pal, S.; Talukdar, S. Modelling seasonal flow regime and environmental flow in Punarbhaba river of India and Bangladesh. J. Clean. Prod. 2019, 252, 119724. [Google Scholar] [CrossRef]
- Kapo, K.E.; McDonough, K.; Federle, T.; Dyer, S.; Vamshi, R. Mixing zone and drinking water intake dilution factor and wastewater generation distributions to enable probabilistic assessment of down-the-drain consumer product chemicals in the U.S. Sci. Total Environ. 2015, 518, 302–309. [Google Scholar] [CrossRef]
- Worland, S.C.; Steinschneider, S.; Hornberger, G.M. Drivers of Variability in Public-Supply Water Use Across the Contiguous United States. Water Resour. Res. 2018, 54, 1868–1889. [Google Scholar] [CrossRef]
- Akhter, S.; Eibek, K.U.; Islam, S.; Islam, A.R.M.T.; Chu, R.; Shuanghe, S. Predicting spatiotemporal changes of channel morphology in the reach of Teesta River, Bangladesh using GIS and ARIMA modeling. Quat. Int. 2019, 513, 80–94. [Google Scholar] [CrossRef]
- Panahi, F.; Ehteram, M.; Ahmed, A.N.; Huang, Y.F.; Mosavi, A.; El-Shafie, A. Streamflow prediction with large climate indices using several hybrid multilayer perceptrons and copula Bayesian model averaging. Ecol. Indic. 2021, 133, 108285. [Google Scholar] [CrossRef]
- Blöschl, G. Predictions in ungauged basins–where do we stand? Proc. Int. Assoc. Hydrol. Sci. 2016, 373, 57–60. [Google Scholar] [CrossRef] [Green Version]
- Worland, S.C.; Farmer, W.; Kiang, J.E. Improving predictions of hydrological low-flow indices in ungaged basins using machine learning. Environ. Model. Softw. 2018, 101, 169–182. [Google Scholar] [CrossRef]
- Seifi, A.; Ehteram, M.; Singh, V.P.; Mosavi, A. Modeling and Uncertainty Analysis of Groundwater Level Using Six Evolutionary Optimization Algorithms Hybridized with ANFIS, SVM, and ANN. Sustainability 2020, 12, 4023. [Google Scholar] [CrossRef]
- Asadi, E.; Isazadeh, M.; Samadianfard, S.; Ramli, M.F.; Mosavi, A.; Nabipour, N.; Shamshirband, S.; Hajnal, E.; Chau, K.-W. Groundwater Quality Assessment for Sustainable Drinking and Irrigation. Sustainability 2019, 12, 177. [Google Scholar] [CrossRef] [Green Version]
- Mallick, J.; Naikoo, M.W.; Talukdar, S.; Ahmed, I.A.; Rahman, A.; Islam, A.R.M.T.; Pal, S.; Ghose, B.; Shashtri, S. Developing groundwater potentiality models by coupling ensemble machine learning algorithms and statistical techniques for sustainable groundwater management. Geocarto Int. 2021, 1–27. [Google Scholar] [CrossRef]
- Rozos, E. Machine Learning, Urban Water Resources Management and Operating Policy. Resources 2019, 8, 173. [Google Scholar] [CrossRef] [Green Version]
- Yan, J.; Jia, S.; Lv, A.; Zhu, W. Water resources assessment of China’s transboundary river basins using a machine learning approach. Water Resour. Res. 2019, 55, 632–655. [Google Scholar] [CrossRef]
- Adnan, R.M.; Yuan, X.; Kisi, O.; Anam, R. Improving Accuracy of River Flow Forecasting Using LSSVR with Gravitational Search Algorithm. Adv. Meteorol. 2017, 2017, 1–23. [Google Scholar] [CrossRef]
- Ghalandari, M.; Ziamolki, A.; Mosavi, A.; Shamshirband, S.; Chau, K.-W.; Bornassi, S. Aeromechanical optimization of first row compressor test stand blades using a hybrid machine learning model of genetic algorithm, artificial neural networks and design of experiments. Eng. Appl. Comput. Fluid Mech. 2019, 13, 892–904. [Google Scholar] [CrossRef] [Green Version]
- Bemani, A.; Baghban, A.; Mosavi, A. Estimating CO2-Brine diffusivity using hybrid models of ANFIS and evolutionary algorithms. Eng. Appl. Comput. Fluid Mech. 2020, 14, 818–834. [Google Scholar] [CrossRef]
- Granata, F.; Saroli, M.; De Marinis, G.; Gargano, R. Machine Learning Models for Spring Discharge Forecasting. Geofluids 2018, 2018, 1–13. [Google Scholar] [CrossRef] [Green Version]
- Suthar, M.; Aggarwal, P. Modeling CBR Value using RF and M5P Techniques. MENDEL 2019, 25, 73–78. [Google Scholar] [CrossRef]
- Dhakate, P.P.; Patil, S.; Rajeswari, K.; Abin, D. Preprocessing and Classification in WEKA using different classifiers. Int. J. Eng. Res. Appl. 2014, 4, 91–93. [Google Scholar]
- Pham, Q.B.; Kumar, M.; Di Nunno, F.; Elbeltagi, A.; Granata, F.; Islam, A.R.M.; Talukdar, S.; Nguyen, X.C.; Ahmed, A.N.; Anh, D.T. Groundwater level prediction using machine learning algorithms in a drought-prone area. Neural Comput. Applic. 2022, 1–23. [Google Scholar] [CrossRef]
- Dewan, A.; Corner, R.; Saleem, A.; Rahman, M.M.; Haider, M.R.; Rahman, M.M.; Sarker, M.H. Assessing channel changes of the Ganges-Padma River system in Bangladesh using Landsat and hydrological data. Geomorphology 2017, 276, 257–279. [Google Scholar] [CrossRef]
- Sarker, M.H.; Thorne, C.R. Morphological Response of the Brahmaputra–Padma–Lower Meghna River System to the Assam Earthquake of 1950. Braided Rivers Process Depos. Ecol. Manag. 2006, 21, 289–310. [Google Scholar] [CrossRef] [Green Version]
- Hossain, M.Y. Morphometric relationships of length-weight and length-length of four Cyprinid small indigenous fish species from the Padma River (NW Bangladesh). Turk. J. Fish. Aquat. Sci. 2010, 10, 131–134. [Google Scholar] [CrossRef]
- Mirza, M.M.Q. (Ed.) The Ganges Water Diversion: Environmental Effects and Implications; Springer Science & Business Media: Berlin/Heidelberg, Germany, 2004; Volume 49. [Google Scholar]
- Moors, E.J.; Groot, A.; Biemans, H.; van Sceltinga, C.T.; Siderius, C.; Stoffel, M.; Huggel, C.; Wiltshire, A.; Mathison, C.; Ridley, J.; et al. Adaptation to changing water resources in the Ganges basin, northern India. Environ. Sci. Pol. 2011, 14, 758–769. [Google Scholar] [CrossRef]
- Şen, Z. Innovative trend analysis methodology. J. Hydrol. Eng. 2012, 17, 1042–1046. [Google Scholar] [CrossRef]
- Kişi, Ö.; Santos, C.; da Silva, R.M.; Zounemat-Kermani, M. Trend analysis of monthly streamflows using Şen’s innovative trend method. Geofizika 2018, 35, 53–68. [Google Scholar] [CrossRef]
- Richter, B.D.; Baumgartner, J.V.; Powell, J.; Braun, D.P. A Method for Assessing Hydrologic Alteration within Ecosystems. Conserv. Biol. 1996, 10, 1163–1174. [Google Scholar] [CrossRef] [Green Version]
- Mia, M.Y.; Hossain, M.U.; Hossain, M.S.; Farzana, S. Impact assessment of Farakka barrage on environmental issues at Bheramara Upazila, Bangladesh. Bangladesh J. Fish. Res. 2009, 13, 89–93. [Google Scholar]
- Richter, B.D.; Mathews, R.; Harrison, D.L.; Wigington, R. Ecologically sustainable water management: Managing river flows for ecological integrity. Ecol. Appl. 2003, 13, 206–224. [Google Scholar] [CrossRef]
- Kundu, S.; Pal, S.; Talukdar, S.; Mandal, I. Impact of wetland fragmentation due to damming on the linkages between water richness and ecosystem services. Environ. Sci. Pollut. Res. 2021, 28, 50266–50285. [Google Scholar] [CrossRef] [PubMed]
- Liu, W.; Cao, S.; Chen, Y. Seismic Time–Frequency Analysis via Empirical Wavelet Transform. IEEE Geosci. Remote Sens. Lett. 2015, 13, 28–32. [Google Scholar] [CrossRef]
- Goupillaud, P.; Grossmann, A.; Morlet, J. Cycle-octave and related transforms in seismic signal analysis. Geoexploration 1984, 23, 85–102. [Google Scholar] [CrossRef]
- Kennedy, J.; Eberhart, R. Particle swarm optimization. In Proceedings of the ICNN’95-International Conference on Neural Networks, Perth, WA, Australia, 27 November–1 December 1995; IEEE: Piscataway, NJ, USA, 1995; Volume 4, pp. 1942–1948. [Google Scholar]
- Roshanravan, B.; Aghajani, H.; Yousefi, M.; Kreuzer, O. Particle Swarm Optimization Algorithm for Neuro-Fuzzy Prospectivity Analysis Using Continuously Weighted Spatial Exploration Data. Nonrenew. Resour. 2018, 28, 309–325. [Google Scholar] [CrossRef]
- Gilani, S.-O.; Sattarvand, J.; Hajihassani, M.; Abdullah, S.S. A stochastic particle swarm based model for long term production planning of open pit mines considering the geological uncertainty. Resour. Policy 2020, 68, 101738. [Google Scholar] [CrossRef]
- Bui, Q.-T.; Nguyen, Q.-H.; Nguyen, X.L.; Pham, V.D.; Nguyen, H.D.; Pham, V.-M. Verification of novel integrations of swarm intelligence algorithms into deep learning neural network for flood susceptibility mapping. J. Hydrol. 2019, 581, 124379. [Google Scholar] [CrossRef]
- Sun, D.; Wen, H.; Wang, D.; Xu, J. A random forest model of landslide susceptibility mapping based on hyperparameter optimization using Bayes algorithm. Geomorphology 2020, 362, 107201. [Google Scholar] [CrossRef]
- Zhang, H.; Liang, Z.; Liu, H.; Wang, R.; Liu, Y. Ensemble framework by using nature inspired algorithms for the early-stage forest fire rescue—A case study of dynamic optimization problems. Eng. Appl. Artif. Intell. 2020, 90, 103517. [Google Scholar] [CrossRef]
- Khatun, R.; Talukdar, S.; Pal, S.; Saha, T.K.; Mahato, S.; Debanshi, S.; Mandal, I. Integrating remote sensing with swarm intelligence and artificial intelligence for modelling wetland habitat vulnerability in pursuance of damming. Ecol. Inform. 2021, 64, 101349. [Google Scholar] [CrossRef]
- Breiman, L. Random forests. Mach. Learn. 2001, 45, 5–32. [Google Scholar] [CrossRef] [Green Version]
- Youssef, A.M.; Pourghasemi, H.R.; Pourtaghi, Z.S.; Al-Katheeri, M.M. Landslide susceptibility mapping using random forest, boosted regression tree, classification and regression tree, and general linear models and comparison of their performance at Wadi Tayyah Basin, Asir Region, Saudi Arabia. Landslides 2015, 13, 839–856. [Google Scholar] [CrossRef]
- Quinlan, J. Simplifying decision trees. Int. J. Man Mach. Stud. 1987, 27, 221–234. [Google Scholar] [CrossRef] [Green Version]
- Devasena, C.L. Comparative analysis of random forest, REP tree and J48 classifiers for credit risk prediction. Int. J. Comput. Appl. 2014, 0975–8887. [Google Scholar]
- Mohamed, W.N.H.W.; Salleh, M.N.M.; Omar, A.H. A comparative study of Reduced Error Pruning method in decision tree algorithms. In Proceedings of the IEEE International Conference on Control System, Computing and Engineering, Penang, Malaysia, 23–25 November 2012; pp. 392–397. [Google Scholar] [CrossRef] [Green Version]
- Mosavi, A.; Hosseini, F.S.; Choubin, B.; Goodarzi, M.; Dineva, A.A.; Sardooi, E.R. Ensemble Boosting and Bagging Based Machine Learning Models for Groundwater Potential Prediction. Water Resour. Manag. 2020, 35, 23–37. [Google Scholar] [CrossRef]
- Kalmegh, S. Analysis of WEKA Data Mining Algorithm REPTree, SimpleCart and RandomTree for Classification of Indian News. Int. J. Innov. Sci. Eng. Technol. 2015, 2, 438–446. [Google Scholar]
- Srinivasan, D.B.; Mekala, P. Mining social networking data for classification using reptree. Int. J. Adv. Res. Comput. Sci. Manag. Stud. 2014, 2. [Google Scholar]
- Quinlan, J.R. Learning with continuous classes. In Proceedings of the AI’92, 5th Australian Joint Conference on Artificial Intelligence, Hobart, TSM, Australia, 16–18 November 1992; Adams, A., Sterling, L., Eds.; World Scientific: Singapore, 1992; pp. 343–348. [Google Scholar]
- Mallick, J.; Talukdar, S.; Alsubih, M.; Ahmed, M.; Islam, A.R.M.T.; Shahfahad Thanh, N.V. Proposing receiver operating characteristic-based sensitivity analysis with introducing swarm optimized ensemble learning algorithms for groundwater potentiality modelling in Asir region, Saudi Arabia. Geocarto Int. 2021, 1–28. [Google Scholar] [CrossRef]
- Talukdar, S.; Pal, S. Effects of damming on the hydrological regime of Punarbhaba river basin wetlands. Ecol. Eng. 2019, 135, 61–74. [Google Scholar] [CrossRef]
- Mirza, M.M.Q. Hydrological changes in the Ganges system in Bangladesh in the post-Farakka period. Hydrol. Sci. J. 1997, 42, 613–631. [Google Scholar] [CrossRef]
- Islam, A.R.M.T.; Sein, Z.M.M.; Ongoma, V.; Islam, M.S.; Alam, M.F.; Ahmed, F. Geomorphological and Land Use Mapping: A Case Study of Ishwardi Under Pabna District, Bangladesh. Adv. Res. 2015, 4, 378–387. [Google Scholar] [CrossRef]
- Pal, S.; Talukdar, S. Assessing the role of hydrological modifications on land use/land cover dynamics in Punarbhaba river basin of Indo-Bangladesh. Environ. Dev. Sustain. 2018, 22, 363–382. [Google Scholar] [CrossRef]
- Khatun, R.; Talukdar, S.; Pal, S.; Kundu, S. Measuring dam induced alteration in water richness and eco-hydrological deficit in flood plain wetland. J. Environ. Manag. 2021, 285, 112157. [Google Scholar] [CrossRef] [PubMed]
- Smakhtin, V.U.; Shilpakar, R.L.; Hughes, D.A. Hydrology-based assessment of environmental flows: An example from Nepal. Hydrol. Sci. J. 2006, 51, 207–222. [Google Scholar] [CrossRef] [Green Version]
- Sanz, D.B.; Garcίa del Jalόn, D.; Gutiérrez Teira, B.; VizcaίnoMartίnez, P. Basin influence on natural variability of rivers in semi-arid environments. Int. J. River Basin Manag. 2005, 3, 247–259. [Google Scholar] [CrossRef]
- Poff, N.L.; Richter, B.D.; Arthington, A.H.; Bunn, S.E.; Naiman, R.J.; Kendy, E.; Acreman, M.; Apse, C.; Bledsoe, B.P.; Freeman, M.C.; et al. The ecological limits of hydrologic alteration (ELOHA): A new framework for developing regional environmental flow standards. Freshw. Biol. 2010, 55, 147–170. [Google Scholar] [CrossRef] [Green Version]
- Olden, J.D.; Poff, N.L. Redundancy and the choice of hydrologic indices for characterizing streamflow regimes. River Res. Appl. 2003, 19, 101–121. [Google Scholar] [CrossRef]
- Saha, T.K.; Pal, S. Emerging conflict between agriculture extension and physical existence of wetland in post-dam period in Atreyee River basin of Indo-Bangladesh. Environ. Dev. Sustain. 2018, 21, 1485–1505. [Google Scholar] [CrossRef]
- Talukdar, S.; Pal, S. Impact of dam on inundation regime of flood plain wetland of punarbhaba river basin of barind tract of Indo-Bangladesh. Int. Soil Water Conserv. Res. 2017, 5, 109–121. [Google Scholar] [CrossRef]
- Islam, M.S.; Islam, A.R.M.T.; Rahman, F.; Ahmed, F.; Haque, M.N. Geomorphology and land use mapping of northern part of Rangpur district, Bangladesh. J. Geosci. Geomat. 2014, 2, 145–150. [Google Scholar] [CrossRef]
- Pal, S. Impact of Massanjore Dam on hydro-geomorphological modification of Mayurakshi River, Eastern India. Environ. Dev. Sustain. 2015, 18, 921–944. [Google Scholar] [CrossRef]
- Talukdar, S.; Eibek, K.U.; Akhter, S.; Ziaul, S.K.; Islam, A.R.M.T.; Mallick, J. Modeling fragmentation probability of land-use and land-cover using the bagging, random forest and random subspace in the Teesta River Basin, Bangladesh. Ecol. Indic. 2021, 126, 107612. [Google Scholar] [CrossRef]
- Poff, N.L.; Zimmerman, J.K.H. Ecological responses to altered flow regimes: A literature review to inform the science and management of environmental flows. Freshw. Biol. 2009, 55, 194–205. [Google Scholar] [CrossRef]
- Swain, A. Displacing the Conflict: Environmental Destruction in Bangladesh and Ethnic Conflict in India. J. Peace Res. 1996, 33, 189–204. [Google Scholar] [CrossRef]
- Mallick, B.; Vogt, J. Population displacement after cyclone and its consequences: Empirical evidence from coastal Bangladesh. Nat. Hazards 2013, 73, 191–212. [Google Scholar] [CrossRef]
- Akter, S.; Mallick, B. The poverty–vulnerability–resilience nexus: Evidence from Bangladesh. Ecol. Econ. 2013, 96, 114–124. [Google Scholar] [CrossRef]
- Meijer, K.S.; Van Der Krogt, W.N.M.; Van Beek, E. A New Approach to Incorporating Environmental Flow Requirements in Water Allocation Modeling. Water Resour. Manag. 2012, 26, 1271–1286. [Google Scholar] [CrossRef]
- Hossain, M.Y.; Rahman, M.M.; Abdallah, E.M.; Ohtomi, J. Biometric relationships of the pool barb Puntius sophore (Hamilton 1822) (Cyprinidae) from three major rivers of Bangladesh. Sains Malays. 2013, 22, 1571–1580. [Google Scholar]
- Abbas, N.; Subramanian, V. Erosion and sediment transport in the Ganges river basin (India). J. Hydrol. 1984, 69, 173–182. [Google Scholar] [CrossRef]
- Rahman, M.; Rahaman, M.M. Impacts of Farakka barrage on hydrological flow of Ganges river and environment in Bangladesh. Sustain. Water Resour. Manag. 2017, 4, 767–780. [Google Scholar] [CrossRef]
- Rahman, M.; Hassan, M.Q.; Islam, M.S.; Shamsad, S.Z.K.M. Environmental impact assessment on water quality deterioration caused by the decreased Ganges outflow and saline water intrusion in south-western Bangladesh. Environ. Earth Sci. 2000, 40, 31–40. [Google Scholar] [CrossRef]
- Gazi, Y.; Hossain, F.; Sadeak, S.; Uddin, M. Spatiotemporal variability of channel and bar morphodynamics in the Gorai-Madhumati River, Bangladesh using remote sensing and GIS techniques. Front. Earth Sci. 2020, 14, 828–841. [Google Scholar] [CrossRef]
- Samad, I.; Kelkar, N.; Krishnaswamy, J. Life at the borderline: Responses of Ganges river dolphins to dry-season flow regulation of river and canal habitats by the Farakka barrage. Aquat. Conserv. Mar. Freshw. Ecosyst. 2021, 32, 294–308. [Google Scholar] [CrossRef]









| Month | Slope (D) Value for Average | Slope (D) Value for Maximum | Slope (D) Value for Minimum |
|---|---|---|---|
| January | 0.878 | 1.23 | 0.237 |
| February | 0.339 | 0.92 | 0.024 |
| March | −0.190 | 0.47 | −0.780 |
| April | −0.468 | −0.083 | −1.64 |
| May | −1.174 | −0.011 | −1.475 |
| June | −1.05 | −0.137 | −0.297 |
| July | 0.612 | 1.01 | 1.71 |
| August | −0.016 | 0.041 | 0.125 |
| September | −0.643 | −0.552 | −0.178 |
| October | −0.025 | 0.340 | 0.683 |
| November | 0.344 | 0.81 | 0.420 |
| December | 1.23 | 2.28 | 0.89 |
Publisher’s Note: MDPI stays neutral with regard to jurisdictional claims in published maps and institutional affiliations. |
© 2022 by the authors. Licensee MDPI, Basel, Switzerland. This article is an open access article distributed under the terms and conditions of the Creative Commons Attribution (CC BY) license (https://creativecommons.org/licenses/by/4.0/).
Share and Cite
Islam, A.R.M.T.; Talukdar, S.; Akhter, S.; Eibek, K.U.; Rahman, M.M.; Pal, S.; Naikoo, M.W.; Rahman, A.; Mosavi, A. Assessing the Impact of the Farakka Barrage on Hydrological Alteration in the Padma River with Future Insight. Sustainability 2022, 14, 5233. https://doi.org/10.3390/su14095233
Islam ARMT, Talukdar S, Akhter S, Eibek KU, Rahman MM, Pal S, Naikoo MW, Rahman A, Mosavi A. Assessing the Impact of the Farakka Barrage on Hydrological Alteration in the Padma River with Future Insight. Sustainability. 2022; 14(9):5233. https://doi.org/10.3390/su14095233
Chicago/Turabian StyleIslam, Abu Reza Md. Towfiqul, Swapan Talukdar, Shumona Akhter, Kutub Uddin Eibek, Md. Mostafizur Rahman, Swades Pal, Mohd Waseem Naikoo, Atiqur Rahman, and Amir Mosavi. 2022. "Assessing the Impact of the Farakka Barrage on Hydrological Alteration in the Padma River with Future Insight" Sustainability 14, no. 9: 5233. https://doi.org/10.3390/su14095233
APA StyleIslam, A. R. M. T., Talukdar, S., Akhter, S., Eibek, K. U., Rahman, M. M., Pal, S., Naikoo, M. W., Rahman, A., & Mosavi, A. (2022). Assessing the Impact of the Farakka Barrage on Hydrological Alteration in the Padma River with Future Insight. Sustainability, 14(9), 5233. https://doi.org/10.3390/su14095233

