Woody Species Diversity, Community Structure, and Regeneration Capacity in Central Ethiopian Urban Forest Patches
Abstract
:1. Introduction
2. Materials and Methods
2.1. Study Area
2.2. Vegetation Sampling
2.3. Regeneration Status
- Plantlet > sprout > developed tree → Worthy redevelopment
- Plantlet > or ≤ sprouts ≤ developed trees → Fair restoration
- Classes continues only in seedling, but no sprout (saplings may be ≤ adults) → Poor redevelopment
- Classes establish only in matured form → No restoration.
2.4. Data Analysis
3. Results and Discussion
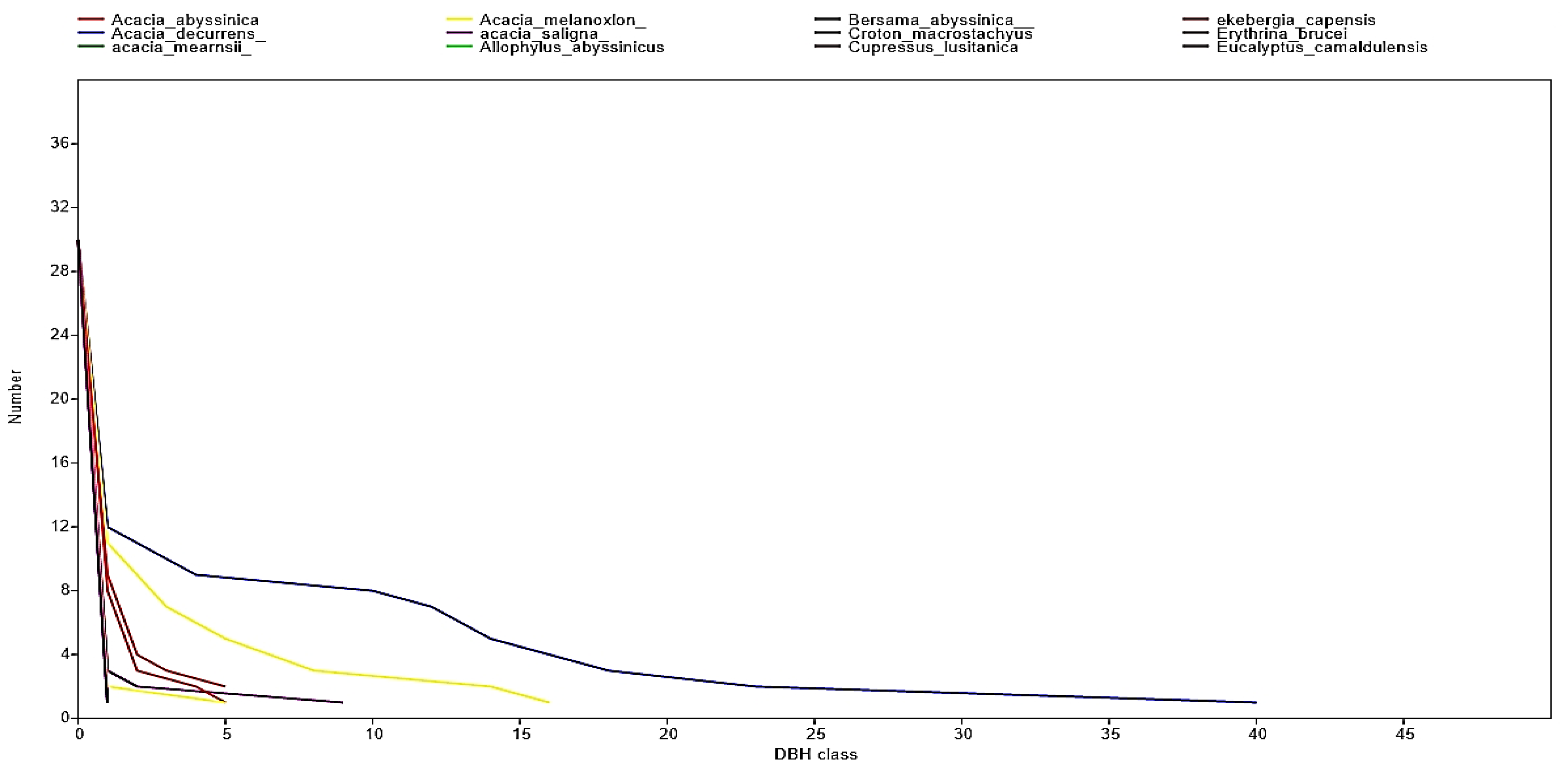
3.1. Vegetation Sampling and Regeneration Status
3.2. Communal Configuration of the Two Spots
3.3. Comparison of Seedling to Tree Ratio
3.4. Generalized Linear Growth Model (GLM) of the Sapling
4. Conclusions
Author Contributions
Funding
Institutional Review Board Statement
Informed Consent Statement
Data Availability Statement
Conflicts of Interest
References
- Schadek, U.; Strauss, B.; Biedermann, R.; Kleyer, M. Plant species richness, vegetation structure and soil resources of Urban Brownfield sites linked to successional age. Urban Ecosyst. 2009, 12, 115–126. [Google Scholar] [CrossRef]
- Margono, B.; Potapov, P.; Turubanova, S.; Stolle, F.; Hansen, M.C. Primary forest cover loss in Indonesia Over 2000–2012. Nat. Clim. Change 2014, 4, 730–735. [Google Scholar] [CrossRef]
- Liu, C.L.C.; Kuchma, O.; Krutovsky, K.V. Mixed-Species versus monocultures in plantation forestry: Development, benefits, ecosystem services and perspectives for the future. Glob. Ecol. Conserv. 2018, 15, e00419. [Google Scholar] [CrossRef]
- Senbeta, F.; Teketay, D.; Naslund, B. Native woody species regeneration in exotic tree plantations at Munessa-Shashemene Forest, Southern Ethiopia. New For. 2002, 24, 131–145. [Google Scholar] [CrossRef]
- Hansen, H. The growth of some exotic forest trees in the Munessa. Commonw. For. Rew. 1978, 57, 181–189. [Google Scholar]
- Harrison, S.R.; Herbohn, J.L. Sustainable Forest Industry Development in Tropical North Queensland. Workshop Proceeding; Cooperative Research Centre for Tropical Rainforest Ecology and Management: Cairns, Australia, 2006. [Google Scholar]
- Dwivedi, A.C.; Mayank, P.; Tripathi, S.; Tiwari, A. Biodiversity: The non-natives species versus the natives species and ecosystem functioning. J. Biodivers. Biopros. Dev. 2017, 4, 164. [Google Scholar] [CrossRef] [Green Version]
- Thompson, T.W.; Roundy, B.; McArthur, E.D.; Jessop, B.D.; Waldron, B.; Davis, J.N. Fire rehabilitation using native and introduced species: A landscape trial. Rangel. Ecol. Manag. 2006, 59, 237–248. [Google Scholar] [CrossRef]
- Chrobock, T. Introduction bias: Cultivated alien plant species germinate faster and more abundantly than native species in Switzerland. Basic Appl. Ecol. 2011, 12, 244–250. [Google Scholar] [CrossRef] [Green Version]
- Thakur, T.K.; Dutta, J.; Upadhyay, P.; Patel, D.K.; Thakur, A.; Kumar, M.; Kumar, A. Assessment of land degradation and restoration in coal mines of central India: A time series analysis. Ecol. Eng. 2022, 175, 106493. [Google Scholar] [CrossRef]
- Rawat, S.; Khanduri, V.P.; Singh, B.; Riyal, M.K.; Thakur, T.K.; Kumar, M.; Cabral-Pinto, M.M. Variation in carbon stock and soil properties in different Quercus leucotrichophora forests of Garhwal Himalaya. CATENA 2022, 213, 106210. [Google Scholar] [CrossRef]
- Temesgen, F.; Warkineh, B. Biodiversity Status & Conservation Challenges of Protected Areas of Ethiopia: Awash & Nechsar National Parks in Focus. J. Nat. Sci. Res. 2018, 8, 46–61. [Google Scholar]
- African Forest Forum (AFF). A platform for stakeholders in African forestry forest plantations and wood lots in Ethiopia, a platform for stakeholders in African forestry. Afr. For. Forum Work. Pap. Ser. 2011, 1, 1–56. [Google Scholar]
- Bishaw, B. Deforestation and land degradation on the Ethiopian highlands: A strategy for physical recovery. Northeast Afr. Stud. 2001, 8, 7–25. [Google Scholar] [CrossRef]
- Carpenter, F.L.; Nichols, J.D.; Sandi, E. Early growth of native and exotic trees planted on degraded Tropical pasture. For. Ecol. Manag. 2004, 196, 367–378. [Google Scholar] [CrossRef]
- Bekele, T. Indigenous woody species regeneration under the canopies of exotic tree plantations at Tore Forest, Gelana District, Southern Oromia, Ethiopia. Biodivers. Int. J. 2018, 2, 00034. [Google Scholar] [CrossRef] [Green Version]
- Madalcho, A.B.; Szwagrzyk, J.; Solomon, T. Woody species diversity and regeneration challenges in Ethiopia: Review article to identify research gaps. Trees For. People 2022, 2022, 100224. [Google Scholar] [CrossRef]
- Moges, Y.; Eshetu, Z.; Nune, S. Ethiopian Forest Resources: Current Status and Future Management Options in View of Access to Carbon Finances. Prepared for the Ethiopian Climate Research and Networking and the United Nations Development Programme (UNDP). Addis Ababa. October 2010. 55p. Available online: https://file:///C:/Users/user/Downloads/ETHIOPIAN_FOREST_RESOURCES_CURRENT_STATU.pdf (accessed on 21 December 2021).
- Mesfin, D.; Simane, B.; Belay, A.; Recha, J.W.; Taddese, H. Woodland Cover Change in the Central Rift Valley of Ethiopia. Forests 2020, 11, 916. [Google Scholar] [CrossRef]
- Mulatu, K. Urban Homegarden for Woody Species Conservation and Carbon Sequestration: The Case of Jimma City, Southwest Ethiopia. J. Nat. Sci. Res. 2019, 9. [Google Scholar] [CrossRef]
- Eyasu, G.; Tolera, M.; Negash, M. Woody species composition, structure, and diversity of homegarden agroforestry systems in southern Tigray, Northern Ethiopia. Heliyon 2010, 6, e05500. [Google Scholar] [CrossRef]
- Shumi, G.; Rodrigues, P.; Hanspach, J.; Hardtle, W.; Hylander, K.; Senbeta, F.; Fischer, J.; Schultner, J. Woody plant species diversity as a predictor of ecosystem services in a social–ecological system of southwestern Ethiopia. Landsc. Ecol. 2021, 36, 373–391. [Google Scholar] [CrossRef]
- Mengist, W. Challenges of Protected Area Management and Conservation Strategies in Ethiopia: A Review Paper. Adv. Environ. Stud. 2020, 4, 277–285. [Google Scholar] [CrossRef]
- Zeleke, A.; Vidal, A. Contributing to Scaling up Forest Landscape Restoration in Ethiopia. Restoration Diagnostic Applied in Sodo Guragie (SNNPR) and Meket (Amhara Region) Woredas; IUCN: Gland, Switzerland, 2020. [Google Scholar]
- Pham, V.V.; Ammer, C.; Annighöfer, P.; Heinrichs, S. Tree regeneration characteristics in limestone forests of the Cat Ba National Park, Vietnam. BMC Ecol. Evol. 2022, 22, 6. [Google Scholar] [CrossRef] [PubMed]
- Ballabha, R.; Tiwari, J.K.; Tiwari, P. Regeneration of tree species in the subtropical forest of Alaknanda Valley, Garhwal Himalaya, India. For. Sci. Pract. 2013, 15, 89–97. [Google Scholar] [CrossRef]
- Sharma, C.M.; Mishra, A.K.; Tiwari, O.P.; Krishan, R.; Rana, Y.S. Regeneration Patterns of Tree Species Along an Elevational Gradient in the Garhwal Himalaya. Mt. Res. Dev. 2018, 38, 211. [Google Scholar] [CrossRef] [Green Version]
- Annighöfer, P.; Ameztegui, A.; Ammer, C.; Balandier, P.; Bartsch, N.; Bolte, A.; Coll, L.; Collet, C.; Ewald, J.; Frischbier, N.; et al. Species-specific and generic biomass equations for seedlings and saplings of European tree species. Eur. J. For. Res. 2016, 135, 313–329. [Google Scholar] [CrossRef] [Green Version]
- Gamfeldt, L.; Snall, T.; Bagchi, R.; Jonsson, M.; Gustafsson, L.; Kjellander, P.; Ruiz-Jaen, M.C.; Froberg, M.; Stendahl, J.; Philipson, C.D.; et al. Higher levels of multiple ecosystem services are found in forests with more tree species. Nat. Commun. 2013, 4, 1340. [Google Scholar] [CrossRef]
- Ampoorter, E.; Barbaro, L.; Jactel, H.; Baeten, L.; Boberg, J.; Carnol, M.; Castagneyrol, B.; Charbonnier, Y.; Dawud, S.M.; Deconchat, M.; et al. Tree diversity is key for promoting the diversity and abundance of forest-associated taxa in Europe. Oikos 2020, 129, 133–146. [Google Scholar] [CrossRef] [Green Version]
- Grainger, A. Estimating areas of degraded tropical lands requiring replenishment of forest cover. Int. Tree Crops J. 1988, 5, 31–61. [Google Scholar] [CrossRef]
- D’Antonio, C.; Meyerson, L.A. Exotic plant species as problems and solutions in ecological restoration: A synthesis. Restor. Ecol. 2002, 10, 703–713. [Google Scholar] [CrossRef] [Green Version]
- Feyera, F.; Beck, E.; Luttge, U. Exotic trees as nurse-trees for the regeneration of natural tropical forests. Trees 2002, 16, 245–249. [Google Scholar] [CrossRef]
- Feyera, S. Native Woody Species Regeneration under the Canopies of Tree Plantations: A Munessa-Shashemene Forest Project, Southern Oromia, Ethiopia. Master’s Thesis, Swedish University of Agricultural Sciences, Uppsala, Sweden, 1998. [Google Scholar]
- Otsamo, R. Secondary Forest regeneration under fast-growing forest plantations on degraded Imperata cylindrica grasslands. New For. 2000, 19, 69–93. [Google Scholar] [CrossRef]
- Tulod, A.M.; Casas, J.V.; Marin, R.A.; Ejoc, J.A.B. Diversity of native woody regeneration in exotic tree plantations and natural forest in Southern Philippines. For. Sci. Technol. 2017, 13, 31–40. [Google Scholar] [CrossRef] [Green Version]
- Shankar, U. A case of high tree diversity in a sal (Shorea robusta)-dominated lowland forest of Eastern Himalaya: Floristic composition, regeneration and conservation. Curr. Sci. 2001, 81, 776–786. [Google Scholar]
- Khan, N.; Ahmed, M.; Shaukat, S.S.; Wahab, M.; Siddiqui, M.F. Structure, diversity, and regeneration potential of Monotheca buxifolia (Falc.) A. DC. dominated forests of Lower Dir District, Pakistan. Front. Agric. China 2011, 5, 106–121. [Google Scholar] [CrossRef]
- Bogale, T.; Datiko, D.; Belachew, S. Structure and Natural Regeneration Status of Woody Plants of Berbere Afromontane Moist Forest, Bale Zone, South East Ethiopia; Implication to Biodiversity Conservation. Open J. For. 2017, 7, 352–371. [Google Scholar] [CrossRef]
- Napit, R. Species diversity, forest community structure and regeneration in Banke National Park. Nepal J. Sci. Technol. 2016, 16, 17–30. [Google Scholar] [CrossRef] [Green Version]
- Lacasia, J.I. Regeneration Ecology of Quercus Species in the Gaurishankar Conservation Area in Nepal. Master’s Thesis, University of Copenhagen and University of Natural Resources and Life Sciences, Vienna, Austria, 2017. [Google Scholar]
- Abunie, A.A.; Dalle, G. Woody Species Diversity, Structure, and Regeneration Status of Yemrehane Kirstos Church Forest of Lasta Woreda, North Wollo Zone, Amhara Region, Ethiopia. Int. J. For. Res. 2018, 2018, 5302523. [Google Scholar] [CrossRef] [Green Version]
- Balemlay, S.; Siraj, M. Population Structure and Regeneration Status of Woody Species in Kenech Forest, Southwest Ethiopia. Int. J. For. Res. 2021, 2021, 6640285. [Google Scholar] [CrossRef]
- Hussein, A. A Brief Review on Species Diversity, Regeneration and Conservation in Ethiopia. J. Earth Sci. Clim. Change 2021, 12, 586. [Google Scholar] [CrossRef]
- Todaria, N.P.; Khalid, M.A. Regeneration and tree diversity in natural and planted forests in a Terai—Bhabhar Forest in Katarniaghat Wildlife Sanctuary, India. Trop. Ecol. 2008, 49, 53–67. [Google Scholar]
- Liu, X.; Lu, Y.; Yang, Z.; Zhou, Y. Regeneration and development of native plant species in restored mountain forests, Hainan Island, China. Mt. Res. Dev. 2014, 34, 396–404. [Google Scholar] [CrossRef]
- Tadesse, Z.; Kelbessa, E.; Bekele, T. Floristic composition and plant community analysis of vegetation in Ilu Gelan district, West Shewa zone of Oromia Region, Central Ethiopia. Trop. Plant Res. 2017, 4, 335–350. [Google Scholar] [CrossRef]
- Shono, K.; Cadaweng, E.A.; Durst, P.B. Application of assisted natural regeneration to restore degraded tropical forestlands. Restor. Ecol. 2007, 15, 620–626. [Google Scholar] [CrossRef]
- Ayalew, A.; Bekele, T.; Demissew, S. The undifferentiated afromontane forest of Denkoro in the Central highland of Ethopia: A floristic and structural analysis. SINET Ethiop. J. Sci. 2006, 29, 45–56. [Google Scholar] [CrossRef] [Green Version]
- Adamu, H.; Tamrat, B.; Gemedo, D. Floristic diversity, regeneration status, and vegetation structure of woodlands in Metema Area, Amhara National Regional State, North- Western Ethiopia. J. For. Res. 2012, 23, 391–398. [Google Scholar] [CrossRef]
- Rahman, M.H.; Khan, M.A.S.A.; Roy, B.; Fardusi, M.J. Assessment of natural regeneration status and diversity of tree species in the biodiversity conservation areas of Northeastern Bangladesh. J. For. Res. 2011, 22, 551. [Google Scholar] [CrossRef]
- Omoro, L.M.A.; Luukkanen, O. Native tree species regeneration and diversity in the mountain cloud forests of East Africa. Biodivers. Loss A Chang. Planet 2012, 11, 241–256. [Google Scholar]
- Kelbessa, E. Interfaces of regeneration, structure, diversity and uses of some plant species in Bonga forest: A reservoir for wild coffee gene pool. SINET Ethiop. J. Sci. 2008, 31, 121–134. [Google Scholar] [CrossRef]
- Brose, P.H.; Gottschalk, K.W.; Horsley, S.B.; Knopp, P.D.; Kochenderfer, J.N.; McGuinness, B.J.; Miller, G.W.; Ristau, T.E.; Stoleson, S.H.; Stout, S.L. Prescribing regeneration treatments for mixed-oak forests in the mid-atlantic region. In General Technical Report NRS-33; U.S. Forest Service: Washington, DC, USA, 2008. [Google Scholar]
- Hailu, M. Aboveground biomass models for trees and shrubs of exclosures in the drylands of Tigray, Northern Ethiopia. J. Arid Environ. 2018, 156, 9–18. [Google Scholar] [CrossRef]
- Utaile, Y.U.; Helsen, K.; Aydagnehum, S.G.; Muys, B.; Shibru, S.; Honnay, O. Typology of the woody plant communities of the Ethiopian Nech Sar National Park and an assessment of vegetation-environment relations and human disturbance impacts. Plant Ecol. Evol. 2020, 153, 33–44. [Google Scholar] [CrossRef]





| Species | Frequency | Relative Frequency | Density | Relative Density | Abundance | Relative Dominance | IVI |
|---|---|---|---|---|---|---|---|
| Acacia abyssinica Benth. | 53.33 | 14.95 | 2.7 | 12.03 | 5.06 | 2.39 | 29.38 |
| Acacia decurrens Willd. | 43.33 | 12.15 | 3.43 | 15.30 | 7.92 | 7.18 | 34.64 |
| Acacia mearnsii De Wild. | 6.66 | 1.86 | 0.06 | 0.29 | 1 | 0.01 | 2.17 |
| Acacia melanoxylon R.Br. | 6.66 | 1.86 | 2.3 | 10.25 | 34.5 | 4.82 | 16.94 |
| Acacia saligna (Labill.) Wendl. | 43.33 | 12.15 | 0.26 | 1.18 | 0.61 | 0.12 | 13.46 |
| Allophylus abyssinicus (Hochst.) Radlk. | 10 | 2.80 | 0.36 | 1.63 | 3.66 | 1.08 | 5.52 |
| Bersama abyssinica Fresen. | 3.33 | 0.93 | 0.067 | 0.29 | 2 | 0.0006 | 1.23 |
| Croton macrostachyus Hochst. ex Delile | 6.66 | 1.86 | 0.333 | 1.48 | 5 | 0.034 | 3.38 |
| Cupressus lusitanica Mill. | 10 | 2.80 | 0.36 | 1.63 | 3.66 | 0.32 | 4.76 |
| Eucalyptus camaldulensis Dehnh. | 10 | 2.80 | 0.63 | 2.82 | 2.33 | 0.03 | 3.88 |
| Ekebergia capensis Sparrm. | 10 | 2.80 | 0.23 | 1.04 | 5.06 | 2.39 | 29.38 |
| Eucalyptus globulus Labill. | 70 | 19.62 | 6.93 | 30.91 | 9.90 | 75.10 | 125.63 |
| Juniperus procera Hochst. ex Endl. | 56.66 | 15.88 | 3.5 | 15.60 | 6.17 | 8.75 | 40.24 |
| Erythrina brucei Schweinf. | 3.33 | 0.93 | 0.1 | 0.44 | 3 | 0.035 | 1.41 |
| Maesa lanceolata Forssk. | 6.66 | 1.86 | 0.46 | 2.08 | 7 | 0.002 | 3.95 |
| Olea ferruginea Wall. ex Aitch. | 10 | 2.80 | 0.33 | 1.48 | 3.33 | 0.04 | 4.33 |
| Pinus patula Schiede ex Schltdl. & Cham. | 6.66 | 1.86 | 0.33 | 1.48 | 5 | 0.01 | 3.36 |
| Species | Frequency | Relative Frequency | Density | Relative Density | Abundance | Relative Dominance | IVI |
|---|---|---|---|---|---|---|---|
| Acacia abyssinica Benth. | 30 | 15.78 | 0.66 | 6.53 | 2.22 | 0.91 | 23.24 |
| Acacia decurrens Willd. | 40 | 21.05 | 5.1 | 50 | 12.75 | 90.04 | 161.09 |
| Acacia melanoxylon R.Br. | 36.66 | 19.29 | 2 | 19.60 | 5.45 | 5.79 | 44.69 |
| Acacia saligna (Labill.) Wendl. | 10 | 5.263 | 0.4 | 3.92 | 4 | 0.30 | 9.49 |
| Allophylus abyssinicus (Hochst.) Radlk. | 3.33 | 1.75 | 0.03 | 0.32 | 1 | 0.02 | 2.10 |
| Bersama abyssinica Fresen. | 3.33 | 1.75 | 0.03 | 0.32 | 1 | 0.03 | 2.11 |
| Croton macrostachyus Hochst. ex Delile | 3.33 | 1.75 | 0.03 | 0.32 | 1 | 0.08 | 2.16 |
| Ekebergia capensis Sparrm. | 3.33 | 1.75 | 0.03 | 0.32 | 1 | 0.06 | 2.14 |
| Eucalyptus globulus Labill. | 3.33 | 1.75 | 0.16 | 1.63 | 5 | 0.31 | 3.70 |
| Juniperus procera Hochst. ex Endl. | 26.66 | 14.03 | 0.53 | 5.22 | 2 | 0.98 | 20.24 |
| Erythrina brucei Schweinf. | 3.33 | 1.75 | 0.06 | 0.65 | 2 | 0.06 | 2.46 |
| Maesa lanceolata Forssk. | 3.33 | 1.75 | 0.03 | 0.32 | 1 | 0.03 | 2.11 |
| Olea ferruginea Wall. ex Aitch. | 6.66 | 3.50 | 0.2 | 1.96 | 3 | 0.36 | 5.83 |
| Pinus patula Schiede ex Schltdl. & Cham. | 3.33 | 1.75 | 0.03 | 0.32 | 1 | 0.03 | 2.11 |
| Casuarina equisetifolia L. | 3.33 | 1.75 | 0.16 | 1.63 | 5 | 0.12 | 3.51 |
| Afrocarpus falcatus (Thunb.) C.N.Page | 10 | 5.26 | 0.7 | 6.86 | 7 | 0.81 | 12.94 |
| Species | Matured | Sapling | Seedling | Regeneration States |
|---|---|---|---|---|
| Acacia abyssinica Benth. | 81 | 20 | 32 | FR |
| Acacia decurrens Willd. | 103 | 153 | 137 | GR |
| Acacia mearnsii De Wild. | 2 | 0 | 0 | NR |
| Acacia melanoxylon R.Br. | 69 | 60 | 67 | FR |
| Acacia saligna (Labill.) Wendl. | 8 | 12 | 25 | GR |
| Allophylus abyssinicus (Hochst.) Radlk. | 11 | 1 | 4 | FR |
| Bersama abyssinica Fresen. | 2 | 1 | 5 | FR |
| Croton macrostachyus Hochst. ex Delile | 10 | 1 | 6 | FR |
| Cupressus lusitanica Mill. | 11 | 0 | 0 | NR |
| Eucalyptus camaldulensis Dehnh. | 19 | 0 | 0 | NR |
| Ekebergia capensis Sparrm. | 7 | 1 | 1 | PR |
| Eucalyptus globulus Labill. | 208 | 5 | 13 | FR |
| Juniperus procera Hochst. ex Endl. | 105 | 16 | 47 | FR |
| Erythrina brucei Schweinf. | 3 | 2 | 0 | NR |
| Maesa lanceolata Forssk. | 14 | 1 | 2 | PR |
| Millettia ferruginea (Hochst.) Baker | 0 | 0 | 1 | PR |
| Olea ferruginea Wall. ex Aitch. | 10 | 6 | 20 | FR |
| Pinus patula Schiede ex Schltdl. & Cham. | 10 | 1 | 20 | FR |
| Casuarina equisetifolia L. | 0 | 5 | 0 | PR |
| Afrocarpus falcatus (Thunb.) C.N.Page | 0 | 21 | 0 | PR |
| Species | Plantlet to Tree Ratio | Plantlet to Tree Ratio | ||
|---|---|---|---|---|
| Yeka Hill | Mil Park | Yeka Hill | Mil Park | |
| Acacia abyssinica Benth. | 0.15 | 0.26 | 0.53 | 0.36 |
| Acacia decurrens Willd. | 1.53 | 1.30 | 1.42 | 1 |
| Acacia melanoxylon R.Br. | 0.64 | 2.2 | 0.79 | 2 |
| Acacia saligna (Labill.) Wendl. | 1 | 1.57 | 4 | 3 |
| Allophylus abyssinicus (Hochst.) Radlk. | 0 | 0.09 | 0 | 0.36 |
| Bersama abyssinica Fresen. | 0 | 0.5 | 0 | 2.5 |
| Croton macrostachyus Hochst. ex Delile | 0.1 | 0 | 0.6 | 0 |
| Ekebergia capensis Sparrm. | 0.14 | 0 | 0.14 | 0 |
| Eucalyptus globulus Labill. | 0.04 | 0 | 0.09 | 0.02 |
| Juniperus procera Hochst. ex Endl. | 0.17 | 0.13 | 0.47 | 0.43 |
| Maesa lanceolata Forssk. | 0.07 | 0 | 0.14 | 0 |
| Olea ferruginea Wall. ex Aitch. | 0.2 | 1 | 1.8 | 2.2 |
| Pinus patula Schiede ex Schltdl. & Cham. | 0 | 0.1 | 0 | 1 |
| A. decurence | A. melanoxylon | J. procera | A. abyssicica | |
|---|---|---|---|---|
| Closure year | 0.00 | 0.00 | 0.00 | 0.00 |
| Mature trees in the quadrat | 0.02 | 0.00 | 0.321 | 0.02 |
| Total species | 0.12 | 0.85 | 0.63 | 0.98 |
Publisher’s Note: MDPI stays neutral with regard to jurisdictional claims in published maps and institutional affiliations. |
© 2022 by the authors. Licensee MDPI, Basel, Switzerland. This article is an open access article distributed under the terms and conditions of the Creative Commons Attribution (CC BY) license (https://creativecommons.org/licenses/by/4.0/).
Share and Cite
Semu, A.A.; Bekele, T.; Cariñanos, P.; Anwar, T.; Qureshi, H. Woody Species Diversity, Community Structure, and Regeneration Capacity in Central Ethiopian Urban Forest Patches. Sustainability 2022, 14, 5164. https://doi.org/10.3390/su14095164
Semu AA, Bekele T, Cariñanos P, Anwar T, Qureshi H. Woody Species Diversity, Community Structure, and Regeneration Capacity in Central Ethiopian Urban Forest Patches. Sustainability. 2022; 14(9):5164. https://doi.org/10.3390/su14095164
Chicago/Turabian StyleSemu, Arayaselassie Abebe, Tamrat Bekele, Paloma Cariñanos, Tauseef Anwar, and Huma Qureshi. 2022. "Woody Species Diversity, Community Structure, and Regeneration Capacity in Central Ethiopian Urban Forest Patches" Sustainability 14, no. 9: 5164. https://doi.org/10.3390/su14095164
APA StyleSemu, A. A., Bekele, T., Cariñanos, P., Anwar, T., & Qureshi, H. (2022). Woody Species Diversity, Community Structure, and Regeneration Capacity in Central Ethiopian Urban Forest Patches. Sustainability, 14(9), 5164. https://doi.org/10.3390/su14095164

