Composted Rabbit Manure as Organic Matrix for Manufacturing Horticultural Growing Media: Composting Process and Seedling Effects
Abstract
:1. Introduction
2. Materials and Methods
2.1. Rabbit Manure
2.2. Rabbit Manure Composting
2.2.1. Composting Preparation
2.2.2. Analytical Methods
2.3. Growing Media Preparation
2.4. Seedling Assay
3. Results and Discussion
3.1. Properties of Raw Rabbit Manure
3.2. Rabbit Manure Composting and Air-Drying
3.2.1. Temperature and Moisture Content
3.2.2. pH Value and EC
3.2.3. The E4/E6 and C/N Ratios
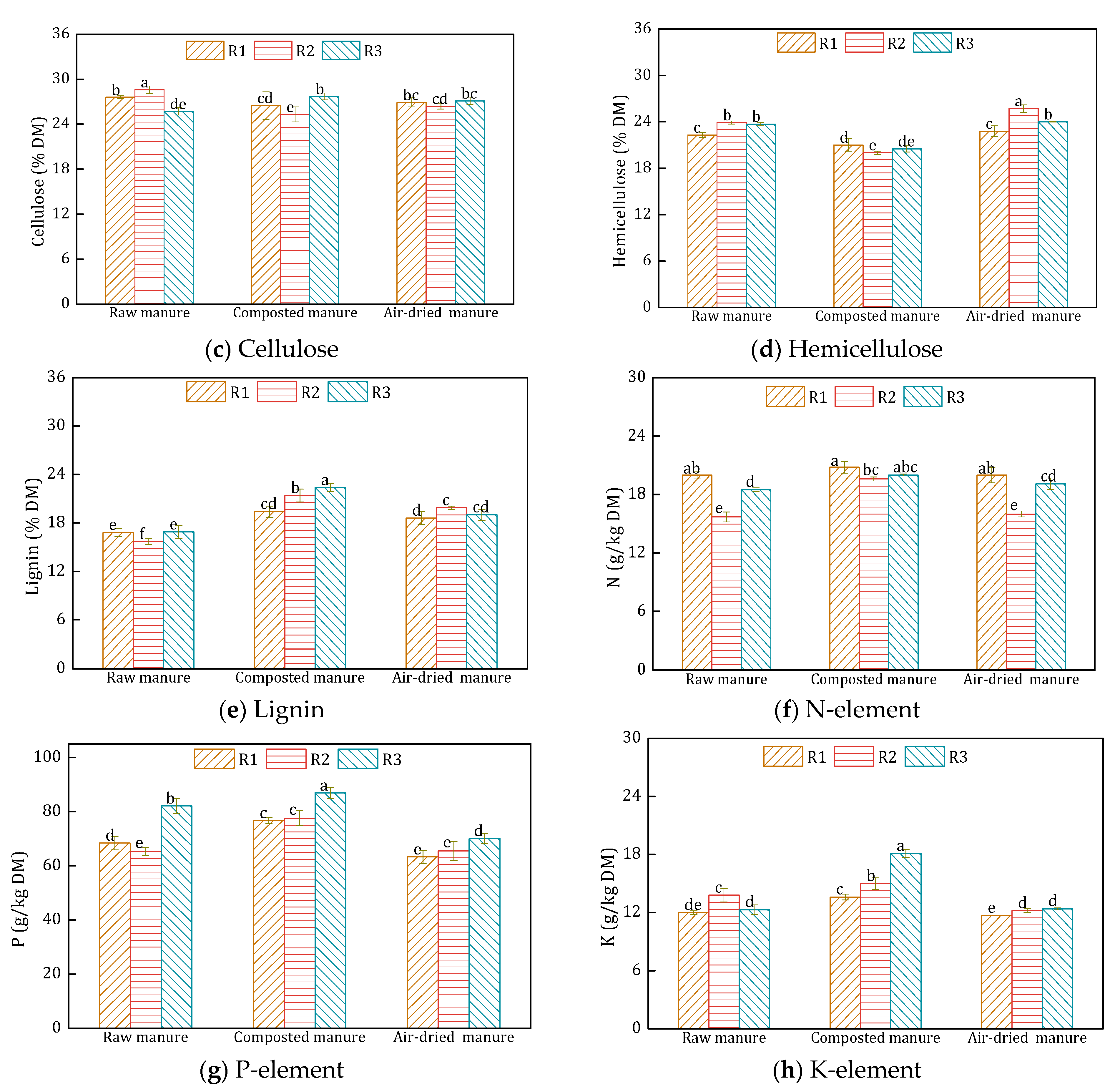
3.2.4. Lignocellulose
3.2.5. N-, P-, K-Elements
3.2.6. Safety Evaluation
3.3. Properties of Growing Media
3.4. Seedling Qualities
4. Conclusions
Author Contributions
Funding
Institutional Review Board Statement
Informed Consent Statement
Data Availability Statement
Acknowledgments
Conflicts of Interest
Appendix A
| Rabbit Feed Label | Product Ingredients (%) | ||||||||
|---|---|---|---|---|---|---|---|---|---|
| Crude Protein | Crude Fiber | Ash | Calcium | Total Phosphorus | Sodium Chloride | Lysine | Methionine | Moisture Content | |
| Jinyu 573 | ≥17.0 | ≤20.0 | ≤12.0 | 0.60–1.80 | ≥0.55 | 0.30–1.20 | ≥0.65 | / | ≤14.0 |
| Jinyu 518 | ≥14.5 | ≤20.0 | ≤12.0 | 0.60–1.80 | ≥0.50 | 0.30–1.20 | / | 0.3–0.9 | ≤14.0 |
| Jinyu 572 | ≥16.0 | ≤20.0 | ≤12.0 | 0.60–1.80 | ≥0.55 | 0.30–1.20 | ≥0.65 | / | ≤14.0 |
| Mortality of Ascarid Egg (%) | Fecal Coliforms (Pcs/g) | |
|---|---|---|
| R1 | 100 | <3.0 |
| R2 | 100 | <3.0 |
| R3 | 100 | >1.1 × 1000 |
| Threshold values 2 | ≥95 | ≤100 |
References
- Lukefahr, S.D.; Oseni, S.O. Vertical rabbit farming integrative systems for cities: Models and opportunities—A bibliographic review. In Proceedings of the 12th World Rabbit Congress, Nantes, France, 3–5 November 2021. [Google Scholar]
- Bao, W.; Yang, Y.; Fu, T.; Xie, G.H. Estimation of livestock excrement and its biogas production potential in China. J. Clean. Prod. 2019, 229, 1158–1166. [Google Scholar] [CrossRef]
- Islas-Valdez, S.; Lucho-Constantino, C.A.; Beltrán-Hernández, R.I.; Gómez-Mercado, R.; Vázquez-Rodríguez, G.A.; Herrera, J.M.; Jiménez-González, A. Effectiveness of rabbit manure biofertilizer in barley crop yield. Environ. Sci. Pollut. Res. 2017, 24, 25731–25740. [Google Scholar] [CrossRef] [PubMed]
- Yunus, A.; Samanhudi; Brahmanto, N.; Widyastuti, Y. Artemisia annua respon to various types of organic fertilizer and dose in lowland. IOP Conf. Ser. Earth Environ. Sci. 2018, 142, 012021. [Google Scholar] [CrossRef]
- De Corato, U. Agricultural waste recycling in horticultural intensive farming systems by on-farm composting and compost-based tea application improves soil quality and plant health: A review under the perspective of a circular economy. Sci. Total Environ. 2020, 738, 139840. [Google Scholar] [CrossRef]
- Pandit, N.R.; Schmidt, H.P.; Mulder, J.; Hale, S.E.; Cornelissen, G.; Raj, N.; Schmidt, H.P.; Mulder, J.; Hale, S.E. Nutrient effect of various composting methods with and without biochar on soil fertility and maize growth. Arch. Agron. Soil Sci. 2020, 66, 250–265. [Google Scholar] [CrossRef] [Green Version]
- Pêgo, R.G.; Antunes, L.F.D.S.; Silva, A.R.C. Vigor of zinnia seedlings produced in alternative substrate in trays with different cell size. Ornam. Hortic. 2019, 25, 417–424. [Google Scholar] [CrossRef] [Green Version]
- Kazemi, F.; Rabbani, M.; Jozay, M. Investigating the plant and air-quality performances of an internal green wall system under hydroponic conditions. J. Environ. Manag. 2020, 275, 111230. [Google Scholar] [CrossRef]
- Food and Agriculture Organization (FAO). Adoption of the Paris Agreement; Food and Agriculture Organization: Rome, Italy, 2015. [Google Scholar]
- Adekiya, A.O.; Ejue, W.S.; Olayanju, A.; Dunsin, O.; Aboyeji, C.M.; Aremu, C.; Adegbite, K.; Akinpelu, O. Different organic manure sources and NPK fertilizer on soil chemical properties, growth, yield and quality of okra. Sci. Rep. 2020, 10, 16083. [Google Scholar] [CrossRef]
- Mahmoud, A.M.A.; Afifi, M.M.I.; El-Helaly, M.A. Production of organic tomato transplants by using compost as alternative substrate for peat-moss. Am. J. Agric. Environ. Sci. 2014, 14, 1095–1104. [Google Scholar]
- Pereira, C.D.S.; Antunes, L.D.S.; de Aquino, A.M.; Leal, M.D.A. Substrato À Base De Esterco De Coelho Na Produção De Mudas De Alface. Nativa 2020, 8, 58. [Google Scholar] [CrossRef]
- Cabanillas, C.; Stobbia, D.; Ledesma, A. Production and income of basil in and out of season with vermicomposts from rabbit manure and bovine ruminal contents alternatives to urea. J. Clean. Prod. 2013, 47, 77–84. [Google Scholar] [CrossRef]
- Da Silva-Matos, R.R.S.; da Silva, G.B.; de Souza Marques, A.; Monteiro, M.L.; Cavalcante, Í.H.L.; Osajima, J.A. New organic substrates and boron fertilizing for production of yellow passion fruit seedlings. Arch. Agron. Soil Sci. 2016, 62, 445–455. [Google Scholar] [CrossRef]
- Kononova, M.M. Materia Orgánica del Suelo; Oikos-Tau, S.A., Ed.; Ediciones: Barcelona, Spain, 1982; Available online: https://www.amazon.co.uk/Materia-Organica-del-Suelo-Kononova/dp/8428104964 (accessed on 14 March 2022).
- Zhong, X.Z.; Sun, Z.Y.; Wang, S.P.; Tang, Y.Q.; Kida, K.; Tanaka, A. Minimizing ammonia emissions from dairy manure composting by biofiltration using a pre-composted material as the packing media. Waste Manag. 2020, 102, 569–578. [Google Scholar] [CrossRef] [PubMed]
- Haug, R. The Practical Handbook of Compost Engineering; Lewis Publishers: Boca Raton, FL, USA, 1993. [Google Scholar]
- Kimberly, A.E.; Roberts, M.G. A method for the direct determination of organic nitrogen by the Kjeldahl process. Public Health Pap. Rep. 1905, 31, 109–122. [Google Scholar] [CrossRef] [Green Version]
- Van Soest, P.J.; Robertson, J.B.; Lewis, B.A. Methods for Dietary Fiber Neutral Detergent Fiber, and Nonstarch Polysaccharides in Relation to Animal Nutrition. J. Dairy Sci. 1991, 74, 3583–3597. [Google Scholar] [CrossRef]
- GB/T 19524.2-2004; Determination of Mortality of Ascarid Egg in Fertilizers. Standards Press of China: Beijing, China, 2004.
- GB/T 19524.1-2004; Determination of Fecal Coliforms in Fertilizers. Standards Press of China: Beijing, China, 2004.
- Zhang, L.; Sun, X.; Tian, Y.; Gong, X. Composted Green Waste as a Substitute for Peat in Growth Media: Effects on Growth and Nutrition of Calathea insignis. PLoS ONE 2013, 8, e78121. [Google Scholar] [CrossRef] [Green Version]
- Shu, Z.; Zhang, X.; Chen, J.; Chen, G.; Xu, D. The simplification of chlorophyll content measurement. Plant Physiol. Commun. 2010, 46, 399–402. (In Chinese) [Google Scholar]
- Meng, X.; Liu, B.; Zhang, H.; Wu, J.; Yuan, X.; Cui, Z. Co-composting of the biogas residues and spent mushroom substrate: Physicochemical properties and maturity assessment. Bioresour. Technol. 2019, 276, 281–287. [Google Scholar] [CrossRef]
- Dinuccio, E.; Biagini, D.; Rosato, R.; Balsari, P.; Lazzaroni, C. Organic matter and nitrogen balance in rabbit fattening and gaseous emissions during manure storage and simulated land application. Agric. Ecosyst. Environ. 2019, 269, 30–38. [Google Scholar] [CrossRef]
- Liang, C.; Das, K.C.; McClendon, R.W. The influence of temperature and moisture contents regimes on the aerobic microbial activity of a biosolids composting blend. Bioresour. Technol. 2003, 86, 131–137. [Google Scholar] [CrossRef]
- GB/T 36195-2018; Technical Specification for Sanitation Treatment of Livestock and Poultry Manure. Standards Press of China: Beijing, China, 2018.
- Zhan, Y.; Wei, Y.; Zhang, Z.; Zhang, A.-K.; Li, Y.; Li, J. Effects of different C/N ratios on the maturity and microbial quantity of composting with sesame meal and rice straw biochar. Biochar 2021, 3, 557–564. [Google Scholar] [CrossRef]
- Qiao, C.; Ryan Penton, C.; Liu, C.; Shen, Z.; Ou, Y.; Liu, Z.; Xu, X.; Li, R.; Shen, Q. Key extracellular enzymes triggered high-efficiency composting associated with bacterial community succession. Bioresour. Technol. 2019, 288, 121576. [Google Scholar] [CrossRef] [PubMed]
- Talib, A.T.; Mokhtar, M.N.; Baharuddin, A.S.; Sulaiman, A. Effects of aeration rate on degradation process of oil palm empty fruit bunch with kinetic-dynamic modeling. Bioresour. Technol. 2014, 169, 428–438. [Google Scholar] [CrossRef] [PubMed]
- Wei, Y.; Zhao, Y.; Xi, B.; Wei, Z.; Li, X.; Cao, Z. Changes in phosphorus fractions during organic wastes composting from different sources. Bioresour. Technol. 2015, 189, 349–356. [Google Scholar] [CrossRef] [PubMed]
- Haouas, A.; El Modafar, C.; Douira, A.; Ibnsouda-Koraichi, S.; Filali-Maltouf, A.; Moukhli, A.; Amir, S. Evaluation of the nutrients cycle, humification process, and agronomic efficiency of organic wastes composting enriched with phosphate sludge. J. Clean. Prod. 2021, 302, 127051. [Google Scholar] [CrossRef]
- Zulfiqar, F.; Wei, X.; Shaukat, N.; Chen, J.; Raza, A.; Younis, A.; Nafees, M.; Abideen, Z.; Zaid, A.; Latif, N.; et al. Effects of biochar and biochar–compost mix on growth, performance and physiological responses of potted alpinia zerumbet. Sustainability 2021, 13, 11226. [Google Scholar] [CrossRef]
- Schnitzer, M.; Dinel, H.; Mathur, S.P.; Schulten, H.R.; Owen, G. Determination of compost biomaturity. III. Evaluation of a colorimetric test by13C-NMR spectroscopy and pyrolysis-field ionization mass spectrometry. Biol. Agric. Hortic. 1993, 10, 109–123. [Google Scholar] [CrossRef]
- Jindo, K.; Sonoki, T.; Matsumoto, K.; Canellas, L.; Roig, A.; Sanchez-Monedero, M.A. Influence of biochar addition on the humic substances of composting manures. Waste Manag. 2016, 49, 545–552. [Google Scholar] [CrossRef]
- Biyada, S.; Merzouki, M.; Demčenko, T.; Vasiliauskiene, D.; Urbonavičius, J.; Marčiulaitiene, E.; Vasarevičius, S.; Benlemlih, M. Evolution of microbial composition and enzymatic activities during the composting of textile waste. Appl. Sci. 2020, 10, 3758. [Google Scholar] [CrossRef]
- Chan, M.T.; Selvam, A.; Wong, J.W.C. Reducing nitrogen loss and salinity during “struvite” food waste composting by zeolite amendment. Bioresour. Technol. 2016, 200, 838–844. [Google Scholar] [CrossRef]
- Sayara, T.; Basheer-Salimia, R.; Hawamde, F.; Sánchez, A. Recycling of Organic Wastes through Composting: Process Performance and Compost Application in Agriculture. Agronomy 2020, 10, 1838. [Google Scholar] [CrossRef]
- Liu, W.-R.; Zeng, D.; She, L.; Su, W.-X.; He, D.-C.; Wu, G.-Y.; Ma, X.-R.; Jiang, S.; Jiang, C.-H.; Ying, G.-G. Comparisons of pollution characteristics, emission situations, and mass loads for heavy metals in the manures of different livestock and poultry in China. Sci. Total Environ. 2020, 734, 139023. [Google Scholar] [CrossRef] [PubMed]
- LY/T2700-2016; Growing Medium for Flowering Trees and Shrubs. Standards Press of China: Beijing, China, 2016.
- GB/T33891-2017; Organic Media for Greening. Standards Press of China: Beijing, China, 2017.
- Duan, B.; Feng, Q. Comparison of the potential ecological and human health risks of heavy metals from sewage sludge and livestock manure for agricultural use. Toxics 2021, 9, 145. [Google Scholar] [CrossRef] [PubMed]
- Zhang, F.; Li, Y.; Yang, M.; Li, W. Content of heavy metals in animal feeds and manures from farms of different scales in Northeast China. Int. J. Environ. Res. Public Health 2012, 9, 2658–2668. [Google Scholar] [CrossRef] [Green Version]
- Wang, H.; Dong, Y.; Yang, Y.; Toor, G.S.; Zhang, X. Changes in heavy metal contents in animal feeds and manures in an intensive animal production region of China. J. Environ. Sci. 2013, 25, 2435–2442. [Google Scholar] [CrossRef]
- NY 525-2021; Organic Fertilizer. China Agricultural Press: Beijing, China, 2021.
- Noguera, P.; Abad, M.; Puchades, R.; Maquieira, A.; Noguera, V. Influence of particle size on physical and chemical properties of coconut coir dust as container medium. Commun. Soil Sci. Plant Anal. 2011, 34, 593–605. [Google Scholar] [CrossRef]
- Chemetova, C.; Mota, D.; Fabião, A.; Gominho, J.; Ribeiro, H. Low-temperature hydrothermally treated Eucalyptus globulus bark: From by-product to horticultural fiber-based growing media viability. J. Clean. Prod. 2021, 319, 128805. [Google Scholar] [CrossRef]
- Feng, J.; Zhi, Y.; Zhang, D.; Chi, C.P.; Chu, S.; Hayat, K.; Zhou, P. Rice straw as renewable components of horticultural growing media for purple cabbage. Sci. Total Environ. 2020, 747, 141274. [Google Scholar] [CrossRef]
- Greco, C.; Comparetti, A.; Fascella, G.; Febo, P.; La Placa, G.; Saiano, F.; Mammano, M.M.; Orlando, S.; Laudicina, V.A. Effects of Vermicompost, Compost and Digestate as Commercial Alternative Peat-Based Substrates on Qualitative Parameters of Salvia officinalis. Agronomy 2021, 11, 98. [Google Scholar] [CrossRef]
- Ceccarini, C.; Antognoni, F.; Biondi, S.; Fraternale, A.; Verardo, G.; Gorassini, A.; Scoccianti, V.; Biomolecolari, S.; Carlo, U. Plant Physiology and Biochemistry Polyphenol-enriched spelt husk extracts improve growth and stress-related biochemical parameters under moderate salt stress in maize plants. Plant Physiol. Biochem. 2019, 141, 95–104. [Google Scholar] [CrossRef]
- Paredes, C.; Pérez-Murcia, M.D.; Bustamante, M.A.; Pérez-Espinosa, A.; Agulló, E.; Moreno-Caselles, J. Valorization of Mediterranean Livestock Manures: Composting of Rabbit and Goat Manure and Quality Assessment of the Compost Obtained. Commun. Soil Sci. Plant Anal. 2015, 46, 248–255. [Google Scholar] [CrossRef]
- Manca, A.; da Silva, M.R.; Guerrini, I.A.; Fernandes, D.M.; Villas Bôas, R.L.; da Silva, L.C.; da Fonseca, A.C.; Ruggiu, M.C.; Cruz, C.V.; Lozano Sivisaca, D.C.; et al. Composted sewage sludge with sugarcane bagasse as a commercial substrate for Eucalyptus urograndis seedling production. J. Clean. Prod. 2020, 269, 122145. [Google Scholar] [CrossRef]
- Pan, C.; Zhao, Y.; Zhao, L.; Wu, J.; Zhang, X.; Xie, X.; Kang, K.; Jia, L. Modified montmorillonite and illite adjusted the preference of biotic and abiotic pathways of humus formation during chicken manure composting. Bioresour. Technol. 2021, 319, 124121. [Google Scholar] [CrossRef] [PubMed]
- Zhao, B.; Wang, Y.; Chen, X.; Xu, Z. Effect of phosphogypsum and gypsum as conditioners on rice husk and oil cake composting process and evaluation of their physicochemical character as a substrate. J. Agro-Environ. Sci. 2020, 39, 2481–2488. (In Chinese) [Google Scholar]
- Naderi, D.; Fallahzade, J. Investigation of the potential use of recycling spent mushroom compost as Marigold (Calendula officinalis) bedding medium. J. Plant Nutr. 2017, 40, 2662–2668. [Google Scholar] [CrossRef]





| R1 2 | R2 | R3 | Significance 3 | |
|---|---|---|---|---|
| Rabbit feed label 1 | Jinyu 573 | Jinyu 518 | Jinyu 572 | / |
| pH Value 4 | 8.8 ± 0.0 c 5 | 8.9 ± 0.0 b | 9.0 ± 0.0 a | *** |
| Dry matter (DM, %) | 41.0 ± 2.6 a | 38.7 ± 3.0 a | 39.7 ± 1.7 a | n.s. |
| Organic matter (% DM) | 84.9 ± 0.3 a | 84.0 ± 0.1 c | 84.4 ± 0.1 b | ** |
| Carbon/nitrogen ratio | 23.2 ± 0.1 c | 30.3 ± 0.0 a | 25.4 ± 0.3 b | *** |
| N (% DM) | 2.0 ± 0.0 a | 1.6 ± 0.0 c | 1.9 ± 0.0 b | *** |
| P (% DM) | 6.8 ± 0.3 b | 6.5 ± 0.1 b | 8.2 ± 0.3 a | *** |
| K (% DM) | 1.2 ± 0.0 b | 1.4 ± 1.0 a | 1.2 ± 0.1 b | ** |
| Hemicellulose (% DM) | 22.3 ± 0.3 b | 23.9 ± 0.2 a | 23.7 ± 0.2 a | ** |
| Cellulose (% DM) | 27.3 ± 0.2 a | 28.3 ± 0.5 a | 25.7 ± 0.5 b | ** |
| Lignin (% DM) | 16.8 ± 0.5 a | 15.7 ± 0.4 a | 16.9 ± 0.8 a | n.s. |
| Cr | As | Cd | Hg | Pb | Reference | |
|---|---|---|---|---|---|---|
| mg/kg of Dry Matter | ||||||
| Raw manure | 7.1–9.5 | 4.0–6.0 | 0.4–0.4 | <0.1 | 12.0–19.6 | This study |
| Composted manure | 7.1–8.2 | 4.0–5.0 | 0.4–0.4 | <0.1 | 12.6–14.5 | |
| Air-dried manure | 5.3–10.2 | 4.9–8.0 | 0.3–0.4 | <0.1 | 13.8–18.0 | |
| Chicken manure | 153.7 ± 177.0 | 2.7 ± 2.3 | 0.3 ± 0.1 | / | 6.4 ± 4.4 | Duan B. and Feng Q., 2021 |
| Broiler manure | 1.9–140.2 | N–38.1 | 0.1–14.2 | 0.1–83.9 | 0.5–57.2 | Wang et al., 2013 |
| Swine manure | 1.0–802.4 | N–73.9 | N–15.3 | 0.1–505.0 | / | |
| Layer manure | 1.1–1601.7 | 0.0–41.2 | 0.1–8.9 | 0.0–81.3 | 1.2–13.5 | |
| Dairy cattle manure | 2.9–678.7 | N–8.3 | 0.1–5.2 | 0.1–77.3 | 2.4–14.7 | |
| Cattle manure | N–3.6 | 0.5–19.4 | N–10.5 | / | 0.5–5.5 | Zhang et al., 2012 |
| Growing medium for flowering trees and shrubs | ≤400 | ≤40 | ≤2 | ≤2 | ≤500 | National Forestry and Grassland Administration, 2016 |
| Organic media for greening | ≤70 | ≤10 | ≤1.5 | ≤1 | ≤120 | General Administration of Quality Supervision, Inspection and Quarantine of the People’s Republic of China, 2017 |
| T0 | T15 | T30 | T45 | T60 | |
|---|---|---|---|---|---|
| Composition of growing media (based on dry weight) | |||||
| Composted rabbit manure 2 | 0% | 15% | 30% | 45% | 60% |
| Peat | 60% | 45% | 30% | 15% | 0% |
| Perlite | 20% | 20% | 20% | 20% | 20% |
| Vermiculite | 20% | 20% | 20% | 20% | 20% |
| Characteristics of the growing media (n = 3) | |||||
| Bulk density (g/cm3) | 0.14 ± 0.01 a 3 | 0.12 ± 0.00 a | 0.12 ± 0.01 a | 0.12 ± 0.01 a | 0.13 ± 0.00 a |
| Air space (%) | 15.7 ± 0.4 c | 24.5 ± 0.8 b | 28.7 ± 0.2 a | 23.5 ± 1.7 b | 24.7 ± 0.9 b |
| Total porosity (%) | 69.2 ± 1.4 a | 68.9 ± 0.9 a | 68.8 ± 0.2 ab | 66.8 ± 0.4 c | 67.2 ± 0.9 bc |
| pH value 4 | 6.2 ± 0.1 e | 6.7 ± 0.2 d | 7.2 ± 0.1 c | 7.6 ± 0.1 b | 8.1 ± 0.1 a |
| EC (mS/cm) | 0.2 ± 0.0 e | 0.8 ± 0.0 d | 1.4 ± 0.0 c | 1.9 ± 0.0 b | 2.6 ± 0.0 a |
| Unit | T0 | T15 | T30 | T45 | T60 | |
|---|---|---|---|---|---|---|
| Stem diameter | mm | 1.2 ± 0.1 a | 1.2 ± 0.1 a | 1.3 ± 0.1 a | 1.2 ± 0.1 a | 0.9 ± 0.0 b |
| Stem length | mm | 75.3 ± 2.7 a | 75.7 ± 7.5 a | 77.0 ± 2.1 a | 69.5 ± 2.0 b | 55.6 ± 2.4 c |
| Root length | mm | 65.0 ± 11.6 b | 62.6 ± 14.9 b | 114.3 ± 57.2 a | 62.7 ± 15.8 b | 45.9 ± 12.9 b |
| Seedling Height | mm | 70.3 ± 5.8 b | 84.5 ± 6.7 a | 74.6 ± 2.9 b | 70.5 ± 2.9 b | 54.8 ± 8.1 c |
| Aboveground fresh weight | g | 0.410 ± 0.071 ab | 0.445 ± 0.063 a | 0.454 ± 0.058 a | 0.372 ± 0.033 b | 0.301 ± 0.025 c |
| Belowground fresh weight | g | 0.019 ± 0.011 ab | 0.017 ± 0.005 b | 0.021 ± 0.007 ab | 0.028 ± 0.008 a | 0.020 ± 0.003 ab |
| Aboveground dry weigh | g | 0.019 ± 0.004 ab | 0.019 ± 0.003 ab | 0.022 ± 0.003 a | 0.018 ± 0.002 b | 0.016 ± 0.001 b |
| Belowground dry weight | g | 0.002 ± 0.001 a | 0.002 ± 0.001 a | 0.002 ± 0.000 a | 0.002 ± 0.001 a | 0.002 ± 0.000 a |
| Chlorophyll | mg/dm2 | 0.53 ± 0.03 b | 0.96 ± 0.06 ab | 0.92 ± 0.20 ab | 1.15 ± 0.30 a | 0.99 ± 0.16 ab |
| Root–shoot ratio | / | 0.10 ± 0.03 ab | 0.08 ± 0.03 b | 0.10 ± 0.02 ab | 0.13 ± 0.03 a | 0.10 ± 0.01 ab |
| Seedling vigor index | / | 0.003 ± 0.001 a | 0.002 ± 0.001 a | 0.003 ± 0.001 a | 0.003 ± 0.001 a | 0.002 ± 0.000 a |
| Comprehensive score | / | 0.52 | 0.58 | 0.85 | 0.67 | 0.14 |
Publisher’s Note: MDPI stays neutral with regard to jurisdictional claims in published maps and institutional affiliations. |
© 2022 by the authors. Licensee MDPI, Basel, Switzerland. This article is an open access article distributed under the terms and conditions of the Creative Commons Attribution (CC BY) license (https://creativecommons.org/licenses/by/4.0/).
Share and Cite
Li, R.; Hao, H.; Sun, H.; Wang, L.; Wang, H. Composted Rabbit Manure as Organic Matrix for Manufacturing Horticultural Growing Media: Composting Process and Seedling Effects. Sustainability 2022, 14, 5146. https://doi.org/10.3390/su14095146
Li R, Hao H, Sun H, Wang L, Wang H. Composted Rabbit Manure as Organic Matrix for Manufacturing Horticultural Growing Media: Composting Process and Seedling Effects. Sustainability. 2022; 14(9):5146. https://doi.org/10.3390/su14095146
Chicago/Turabian StyleLi, Rangling, Hongyun Hao, Hui Sun, Liangju Wang, and Hongying Wang. 2022. "Composted Rabbit Manure as Organic Matrix for Manufacturing Horticultural Growing Media: Composting Process and Seedling Effects" Sustainability 14, no. 9: 5146. https://doi.org/10.3390/su14095146
APA StyleLi, R., Hao, H., Sun, H., Wang, L., & Wang, H. (2022). Composted Rabbit Manure as Organic Matrix for Manufacturing Horticultural Growing Media: Composting Process and Seedling Effects. Sustainability, 14(9), 5146. https://doi.org/10.3390/su14095146

