Effects of Biochar and Biochar–Compost Mix on Growth, Performance and Physiological Responses of Potted Alpinia zerumbet
Abstract
:1. Introduction
2. Materials and Methods
2.1. Growing Media Components
2.2. Preparation of Growing Media
2.3. Physicochemical Characteristics of Growing Media
2.4. Plant Growth Experiment
2.5. Photosynthetic Pigments and Leaf Gas Exchange
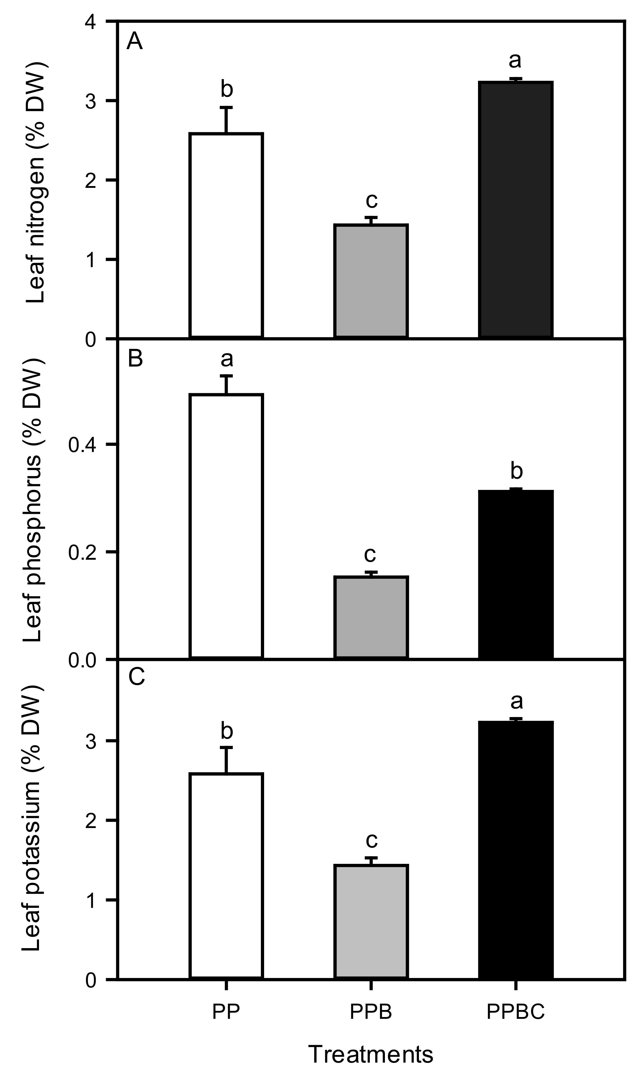
2.6. Leaf Mineral Contents
2.7. Visual Quality Grading
2.8. Statistical Analysis
3. Results and Discussion
3.1. Physicohemical Properties of Growing Media
3.2. Plant Physiological Parameters
3.3. Growth of A. zerumbet in the Three Growing Media
3.4. Visual Quality
3.5. Principal Component Analysis
4. Conclusions
Author Contributions
Funding
Institutional Review Board Statement
Informed Consent Statement
Data Availability Statement
Conflicts of Interest
References
- Chen, J.; McConnell, D.B.; Henny, R.J.; Norman, D.J. The foliage plant industry. Hortic. Rev. 2004, 31, 45–110. [Google Scholar] [CrossRef]
- Arora, S.; Jung, J.; Liu, M.; Li, X.; Goel, A.; Chen, J.; Song, S.; Anderson, C.; Chen, D.; Leong, K.; et al. Gasification biochar from horticultural waste: An exemplar of the circular economy in Singapore. Sci. Total Environ. 2021, 781, 146573. [Google Scholar] [CrossRef]
- Vandecasteele, B.; Blindeman, L.; Amery, F.; Pieters, C.; Ommeslag, S.; Van Loo, K.; De Tender, C.; Debode, J. Grow—Store—Steam—Re-peat: Reuse of spent growing media for circular cultivation of Chrysanthemum. J. Clean. Prod. 2020, 276, 124128. [Google Scholar] [CrossRef]
- Chen, J.; Wei, X. Controlled-released fertilizers as a means to reduce nitrogen leaching and runoff in container-grown plant production. In Nitrogen in Agriculture—Updates; Khan, A., Fahad, S., Eds.; IntechOpen: London, UK, 2018; pp. 33–52. [Google Scholar]
- Zawadzińska, A.; Salachna, P.; Nowak, J.; Kowalczyk, W. Response of interspecific geraniums to waste wood fiber substrates and additional fertilization. Agriculture 2021, 11, 119. [Google Scholar] [CrossRef]
- Li, X.; Xia, H.; Wang, J.; Chen, Q. Nutrient uptake and assimilation in fragrant rosewood (Dalbergia odorifera T.C. Chen) seedlings in growing media with un-composted spent mushroom residue. PLoS ONE 2021, 16, e0249534. [Google Scholar] [CrossRef]
- Zulfiqar, F.; Allaire, S.E.; Akram, N.A.; Méndez, A.; Younis, A.; Peerzada, A.M.; Shaukat, N.; Wright, S.R. Challenges in organic component selection and biochar as an opportunity in potting substrates: A review. J. Plant Nutr. 2019, 42, 1386–1401. [Google Scholar] [CrossRef]
- Zulfiqar, F.; Younis, A.; Asif, M.; Abideen, Z.; Allaire, S.E.; Shao, Q. Evaluation of container substrates containing compost and biochar for ornamental plant Dracaena deremensis. Pak. J. Agric. Sci. 2019, 56, 613–621. [Google Scholar]
- Zulfiqar, F.; Younis, A.; Chen, J. Biochar or biochar-compost amendment to a peat-based substrate improves growth of Syngonium podophyllum. Agronomy 2019, 9, 460. [Google Scholar] [CrossRef] [Green Version]
- Nobile, C.; Denier, J.; Houben, D. Linking biochar properties to biomass of basil, lettuce and pansy cultivated in growing media. Sci. Hortic. 2020, 261, 109001. [Google Scholar] [CrossRef] [Green Version]
- Huang, L.; Gu, M.; Yu, P.; Zhou, C.; Liu, X. Biochar and vermicompost amendments affect substrate properties and plant growth of basil and tomato. Agronomy 2020, 10, 224. [Google Scholar] [CrossRef] [Green Version]
- Amery, F.; Debode, J.; Ommeslag, S.; Visser, R.; De Tender, C.; Vandecasteele, B. Biochar for circular horticulture: Feedstock related effects in soilless cultivation. Agronomy 2021, 11, 629. [Google Scholar] [CrossRef]
- Gvero, P.M.; Papuga, S.; Mujanic, I.; Vaskovic, S. Pyrolysis as a key process in biomass combustion and thermochemical conversion. Therm. Sci. 2016, 20, 1209–1222. [Google Scholar] [CrossRef]
- Yan, J.; Yu, P.; Liu, C.; Li, Q.; Gu, M. Replacing peat moss with mixed hardwood biochar as container substrates to produce five types of mint (Mentha spp.). Ind. Crop. Prod. 2020, 155, 112820. [Google Scholar] [CrossRef]
- Yu, P.; Huang, L.; Li, Q.; Lima, I.M.; White, P.M.; Gu, M. Effects of mixed hardwood and sugarcane biochar as bark-based substrate substitutes on container plants production and nutrient leaching. Agronomy 2020, 10, 156. [Google Scholar] [CrossRef] [Green Version]
- Vaughn, S.F.; Eller, F.J.; Evangelista, R.L.; Moser, B.R.; Lee, E.; Wagner, R.E.; Peterson, S.C. Evaluation of biochar-anaerobic potato digestate mixtures as renewable components of horticultural potting media. Ind. Crop. Prod. 2015, 65, 467–471. [Google Scholar] [CrossRef]
- Huang, L.; Gu, M. Effects of biochar on container substrate properties and growth of plants—A review. Horticulturae 2019, 5, 14. [Google Scholar] [CrossRef] [Green Version]
- Fascella, G.; Mammano, M.M.; D’Angiolillo, F.; Rouphael, Y. Effects of conifer wood biochar as a substrate component on ornamental performance, photosynthetic activity, and mineral composition of potted Rosa rugosa. J. Hortic. Sci. Biotechnol. 2017, 93, 519–528. [Google Scholar] [CrossRef]
- Gu, M.; Li, Q.; Steele, P.H.; Niu, G.; Yu, F. Growth of ‘fireworks’ gomphrena grown in substrates amended with biochar. J. Food Agric. Environ. 2013, 11, 819–821. [Google Scholar]
- Dispenza, V.; De Pasquale, C.; Fascella, G.; Mammano, M.M.; Alonzo, G. Use of biochar as peat substitute for growing substrates of Euphorbia × lomi potted plants. Span. J. Agric. Res. 2016, 14, e0908. [Google Scholar] [CrossRef] [Green Version]
- Guo, Y.; Niu, G.; Starman, T.; Gu, M. Growth and development of Easter lily in response to container substrate with biochar. J. Hortic. Sci. Biotechnol. 2018, 94, 80–86. [Google Scholar] [CrossRef]
- Alvarez, J.; Pasian, C.; Lal, R.; Lapez, R.; Fernandez, M. Vermicompost and biochar as substitutes of growing media in ornamental-plant production. J. Appl. Hortic. 2017, 19, 205–214. [Google Scholar] [CrossRef]
- Huang, L.; Niu, G.; Feagley, S.E.; Gu, M. Evaluation of a hardwood biochar and two composts mixes as replacements for a peat-based commercial substrate. Ind. Crop. Prod. 2019, 129, 549–560. [Google Scholar] [CrossRef]
- Bustamante, M.; Gomis, M.; Pérez-Murcia, M.; Gangi, D.; Ceglie, F.; Paredes, C.; Pérez-Espinosa, A.; Bernal, M.; Moral, R. Use of livestock waste composts as nursery growing media: Effect of a washing pre-treatment. Sci. Hortic. 2021, 281, 109954. [Google Scholar] [CrossRef]
- Liu, R.; Gu, M.; Huang, L.; Yu, F.; Jung, S.-K.; Choi, H.-S. Effect of pine wood biochar mixed with two types of compost on growth of bell pepper (Capsicum annuum L.). Hortic. Environ. Biotechnol. 2019, 60, 313–319. [Google Scholar] [CrossRef]
- Yu, H.; Zou, W.; Chen, J.; Chen, H.; Yu, Z.; Huang, J.; Tang, H.; Wei, X.; Gao, B. Biochar amendment improves crop production in problem soils: A review. J. Environ. Manag. 2019, 232, 8–21. [Google Scholar] [CrossRef]
- Chen, J.; Stamps, R.H. Cutting propagation of foliage plants. In Cutting Propagatio: A Guide to Propagating and Producing Floriculture Crops; Dole, J.M., Gibson, J.L., Eds.; Ball Publishing: Batavia, IL, USA, 2006; pp. 203–228. [Google Scholar]
- Tian, Y.; Sun, X.; Li, S.; Wang, H.; Wang, L.; Cao, J.; Zhang, L. Biochar made from green waste as peat substitute in growth media for Calathea rotundifola cv. Fasciata. Sci. Hortic. 2012, 143, 15–18. [Google Scholar] [CrossRef]
- Méndez, A.; Paz-Ferreiro, J.; Gil, E.; Gascó, G. The effect of paper sludge and biochar addition on brown peat and coir based growing media properties. Sci. Hortic. 2015, 193, 225–230. [Google Scholar] [CrossRef]
- Nieto, A.; Gascó, G.; Paz-Ferreiro, J.; Fernández, J.; Plaza, C.; Méndez, A. The effect of pruning waste and biochar addition on brown peat based growing media properties. Sci. Hortic. 2016, 199, 142–148. [Google Scholar] [CrossRef]
- Rhoades, J.D. Salinity: Electrical conductivity and total dissolved solids. In Methods of Soil Analysis, Part 3, Chemical Methods; Sparks, D.L., Page, A.L., Helmke, P.A., Loeppert, R.H., Soltanpour, P.N., Tabatabai, M.A., Johnston, C.T., Sumner, M.E., Eds.; Soil Science Society of America: Madison, WI, USA, 1996; Volume 5, pp. 417–435. [Google Scholar]
- Thomas, G.W. Soil pH and Soil Acidity. Micronutr. Agric. 2018, 3, 475–490. [Google Scholar] [CrossRef] [Green Version]
- Arnon, D.I. Copper enzyme in isolated chloroplast: Polyphenol oxidase in Beta vulgaris. Plant Physiol. 1949, 24, 1–15. [Google Scholar] [CrossRef] [PubMed] [Green Version]
- Jackson, M.L. Soil Chemical Analysis; Constable and Co. Ltd.: London, UK, 1962. [Google Scholar]
- Chapman, H.D.; Pratt, P.F. Methods of Analysis for Soils, Plants and Water; University of California, Division of Agriculture Science Riverside: Riverside, CA, USA, 1961. [Google Scholar]
- Bilderback, T.E.; Warren, S.L.; Owen, J.S., Jr.; Albano, J.P. Healthy substrates need physicals too! Hort. Technol. 2005, 15, 747–751. [Google Scholar] [CrossRef] [Green Version]
- Chen, J.; McConnell, D.B.; Robinson, C.A.; Caldwell, R.D.; Huang, Y. Production and interior performances of tropical ornamental foliage plants grown in container substrates amended with composts. Compos. Sci. Util. 2002, 10, 217–225. [Google Scholar] [CrossRef]
- Abad, M.; Fornes, F.; Carrión, C.; Noguera, V.; Noguera, P.; Maquieira, A.; Puchades, R. Physical properties of various coconut coir dusts compared to peat. HortScience 2005, 40, 2138–2144. [Google Scholar] [CrossRef] [Green Version]
- Dumroese, R.K.; Heiskanen, J.; Englund, K.; Tervahauta, A. Pelleted biochar: Chemical and physical properties show potential use as a substrate in container nurseries. Biomass Bioenergy 2011, 35, 2018–2027. [Google Scholar] [CrossRef]
- Fonteno, W.; Hardin, C.; Brewster, J. Procedures for Determining Physical Properties of Horticultural Substrates Using the NCSU Porometer. Horticultural Substrates Laboratory, North Carolina State University. 1995. Available online: https://projects.ncsu.edu/project/hortsublab/pdf/porometer_manual.pdf (accessed on 3 October 2021).
- Gruda, N.; Schnitzler, W. Suitability of wood fiber substrate for production of vegetable transplants. Sci. Hortic. 2004, 100, 309–322. [Google Scholar] [CrossRef]
- Xing, J.; Gruda, N.; Xiong, J.; Liu, W. Influence of organic substrates on nutrient accumulation and proteome changes in tomato-roots. Sci. Hortic. 2019, 252, 192–200. [Google Scholar] [CrossRef]
- Hicklenton, P.R.; Rodd, V.; Warman, P.R. The effectiveness and consistency of source-separated municipal solid waste and bark composts as components of container growing media. Sci. Hortic. 2001, 91, 365–378. [Google Scholar] [CrossRef]
- Zhang, L.; Sun, X.-Y.; Tian, Y.; Gong, X.-Q. Biochar and humic acid amendments improve the quality of composted green waste as a growth medium for the ornamental plant Calathea insignis. Sci. Hortic. 2014, 176, 70–78. [Google Scholar] [CrossRef]
- Méndez, A.; Cárdenas-Aguiar, E.; Paz-Ferreiro, J.; Plaza, C.; Gascó, G. The effect of sewage sludge biochar on peat-based growing media. Biol. Agric. Hortic. 2017, 33, 40–51. [Google Scholar] [CrossRef]
- Maroušek, J.; Vochozka, M.; Plachý, J.; Žák, J. Glory and misery of biochar. Clean Technol. Environ. Policy 2017, 19, 311–317. [Google Scholar] [CrossRef]
- Margenot, A.J.; Griffin, D.; Alves, B.S.; Rippner, D.A.; Li, C.; Parikh, S.J. Substitution of peat moss with softwood biochar for soil-free marigold growth. Ind. Crop. Prod. 2018, 112, 160–169. [Google Scholar] [CrossRef] [Green Version]
- Altland, J.E.; Locke, J.C. Biochar affects macronutrient leaching from a soilless substrate. HortScience 2012, 47, 1136–1140. [Google Scholar] [CrossRef]
- Fidel, R.B.; Laird, D.A.; Spokas, K.A. Sorption of ammonium and nitrate to biochars is electrostatic and pH-dependent. Sci. Rep. 2018, 8, 17627. [Google Scholar] [CrossRef]
- Bryson, G.M.; Mills, H.A.; Sasseville, D.N.; Jones, J.B.; Barker, A.V. Plant Analysis Handbook III: A Guide to Sampling, Preparation, Analysis, Interpretation and Use of Results of Agronomic and Horticultural Crop Plant Tissue; Micro-Macro Publishing: Athens, GA, USA, 2014. [Google Scholar]
- Kim, H.S.; Kim, K.R.; Yang, J.-E.; Ok, Y.S.; Kim, W.I.; Kunhikrishnan, A.; Kim, K.-H. Amelioration of horticultural growing media properties through rice hull biochar incorporation. Waste Biomass Valoriz. 2017, 8, 483–492. [Google Scholar] [CrossRef]
- Guo, Y.; Niu, G.; Starman, T.; Volder, A.; Gu, M. Poinsettia growth and development response to container root substrate with biochar. Horticulturae 2018, 4, 1. [Google Scholar] [CrossRef] [Green Version]
- Leiber-Sauheitl, K.; Bohne, H.; Böttcher, J. First steps toward a test procedure to identify peat substitutes for growing media by means of chemical, physical, and biological material characteristics. Horticulturae 2021, 7, 164. [Google Scholar] [CrossRef]
- Housley, C.; Kachenko, A.G.; Singh, B. Effects of Eucalyptus saligna biochar-amended media on the growth of Acmena smithii, Viola var. hybrida, and Viola × wittrockiana. J. Hortic. Sci. Biotechnol. 2015, 90, 187–194. [Google Scholar] [CrossRef]
- Wang, Q.; Chen, J.; Stamps, R.H.; Li, Y. Correlation of visual quality grading and SPAD reading of green-leaved foliage plants. J. Plant Nutr. 2005, 28, 1215–1225. [Google Scholar] [CrossRef]




| Medium | pH | Air Space (%) | Bulk Density (g cm−3) | Total Porosity (%) | Container Capacity (%) |
|---|---|---|---|---|---|
| PP | 5.75b | 9.2b | 0.11b | 73.51a | 63.20a |
| PPB | 7.57a | 14.64a | 0.19a | 74.12a | 65.74a |
| PPBC | 7.68a | 14.18a | 0.17a | 68.66b | 53.43b |
| Medium | Number of Side Shoots | Number of Leaves per Plant | Leaf Area (cm2) | Shoot Diameter (mm) | Leaf Thickness (mm) | Shoot Dry Mass (g) | Root Dry Mass (g) | Visual Quality |
|---|---|---|---|---|---|---|---|---|
| PP | 4.0a | 10.83a | 36.68a | 11.95a | 0.17a | 2.00a | 8.56a | 4.0a |
| PPB | 3.5a | 8.33a | 29.83a | 11.08a | 0.19a | 1.01b | 6.68a | 3.3b |
| PPBC | 4.3a | 9.16a | 27.31a | 9.96a | 0.19a | 1.71a | 9.70a | 4.0a |
Publisher’s Note: MDPI stays neutral with regard to jurisdictional claims in published maps and institutional affiliations. |
© 2021 by the authors. Licensee MDPI, Basel, Switzerland. This article is an open access article distributed under the terms and conditions of the Creative Commons Attribution (CC BY) license (https://creativecommons.org/licenses/by/4.0/).
Share and Cite
Zulfiqar, F.; Wei, X.; Shaukat, N.; Chen, J.; Raza, A.; Younis, A.; Nafees, M.; Abideen, Z.; Zaid, A.; Latif, N.; et al. Effects of Biochar and Biochar–Compost Mix on Growth, Performance and Physiological Responses of Potted Alpinia zerumbet. Sustainability 2021, 13, 11226. https://doi.org/10.3390/su132011226
Zulfiqar F, Wei X, Shaukat N, Chen J, Raza A, Younis A, Nafees M, Abideen Z, Zaid A, Latif N, et al. Effects of Biochar and Biochar–Compost Mix on Growth, Performance and Physiological Responses of Potted Alpinia zerumbet. Sustainability. 2021; 13(20):11226. https://doi.org/10.3390/su132011226
Chicago/Turabian StyleZulfiqar, Faisal, Xiangying Wei, Narmeen Shaukat, Jianjun Chen, Ali Raza, Adnan Younis, Muhammad Nafees, Zainul Abideen, Abbu Zaid, Nadeem Latif, and et al. 2021. "Effects of Biochar and Biochar–Compost Mix on Growth, Performance and Physiological Responses of Potted Alpinia zerumbet" Sustainability 13, no. 20: 11226. https://doi.org/10.3390/su132011226
APA StyleZulfiqar, F., Wei, X., Shaukat, N., Chen, J., Raza, A., Younis, A., Nafees, M., Abideen, Z., Zaid, A., Latif, N., Naveed, M., & Siddique, K. H. M. (2021). Effects of Biochar and Biochar–Compost Mix on Growth, Performance and Physiological Responses of Potted Alpinia zerumbet. Sustainability, 13(20), 11226. https://doi.org/10.3390/su132011226

