Sustainable Management Strategy for Solidification/Stabilization of Zinc Plant Residues (ZPR) by Fly Ash/Clay-Based Geopolymers
Abstract
:1. Introduction
2. Materials and Methods
2.1. Acid Wastes
2.2. Geopolymer Precursors and Activators
2.3. Geopolimeric Matrices Preparation
2.4. Flexural Strength and Leaching Test
2.5. Mathematical Modelling and Experimental Design
3. Results and Discussion
3.1. Feasibility of the Solidification/Stabilization (S/S) Process
3.1.1. Technical Behavior of S/S Products
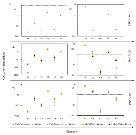
3.1.2. Environmental Behavior of S/S Products
3.1.3. Accomplishment of Landfill Requirements
3.2. Optimization and Mathematical Modelling of the S/S Process
3.2.1. Optimization of S/S Formulations
3.2.2. Mathematical Modelling of the S/S Process
4. Conclusions
Author Contributions
Funding
Institutional Review Board Statement
Informed Consent Statement
Data Availability Statement
Acknowledgments
Conflicts of Interest
References
- Martínez-Sánchez, M.; Solan-Marín, A.; Hidalgo, A.; Pérez-Sirvent, C. Characterization and mobilization of toxic metals from electrolytic zinc waste. Chemosphere 2019, 233, 414–421. [Google Scholar] [CrossRef] [PubMed]
- Mohr, S.; Giurco, D.; Retamal, M.; Mason, L.; Mudd, G. Global Projection of Lead-Zinc Supply from Known Resources. Resources 2018, 7, 17. [Google Scholar] [CrossRef] [Green Version]
- Zhang, C.-M.; Shi, Y.; Jiang, L.-H.; Hu, Y.-Y.; Li, Q.; Li, H.-Q. Analysis of lead pollution control in anode slime micromorphology evolution induced by Mn2+ ions for cleaner production of zinc electrolysis. J. Clean. Prod. 2021, 297, 126700. [Google Scholar] [CrossRef]
- Wang, R.; Yan, Q.; Su, P.; Shu, J.; Chen, M.; Xiao, Z.; Han, Y.; Cheng, Z. Metal mobility and toxicity of zinc hydrometallurgical residues. Process Saf. Environ. Prot. 2020, 144, 366–371. [Google Scholar] [CrossRef]
- Hu, J.-L.; Yang, X.-S.; Liu, T.; Shao, L.-N.; Zhang, W. Adsorption characteristic of As(III) on goethite waste generated from hydrometallurgy of zinc. Water Sci. Technol. 2017, 75, 2747–2754. [Google Scholar] [CrossRef]
- Grudinsky, P.; Pankratov, D.; Kovalev, D.; Grigoreva, D.; Dyubanov, V. Comprehensive Study on the Mechanism of Sulfating Roasting of Zinc Plant Residue with Iron Sulfates. Materials 2021, 14, 5020. [Google Scholar] [CrossRef]
- Ayala, J.; Fernández, B. Reuse of Anode Slime Generated by the Zinc Industry to Obtain a Liquor for Manufacturing Electrolytic Manganese. JOM 2013, 65, 1007–1014. [Google Scholar] [CrossRef]
- Aparajith, B.; Kumar, A.; Hodder, D.; Gupta, M. Recovery of cadmium from hydrometallurgical zinc smelter by selective leaching. Hydrometallurgy 2010, 102, 31–36. [Google Scholar] [CrossRef]
- Li, B.; Wang, X.; Wei, Y.; Wang, H.; Barati, M. Extraction of copper from copper and cadmium residues of zinc hydrometallurgy by oxidation acid leaching and cyclone electrowinning. Miner. Eng. 2018, 128, 247–253. [Google Scholar] [CrossRef]
- Chandra, N.; Amritphale, S.; Pal, D. Manganese recovery from secondary resources: A green process for carbothermal reduction and leaching of manganese bearing hazardous waste. J. Hazard. Mater. 2011, 186, 293–299. [Google Scholar] [CrossRef]
- Mahon, M.; Alfantazi, A. Manganese consumption during zinc electrowinning using a dynamic process simulation. Hydrometallurgy 2014, 150, 184–191. [Google Scholar] [CrossRef]
- Jaimes, R.; Miranda-Hernández, M.; Lartundo-Rojas, L.; González, I. Characterization of anodic deposits formed on Pb–Ag electrodes during electrolysis in mimic zinc electrowinning solutions with different concentrations of Mn(II). Hydrometallurgy 2015, 156, 53–62. [Google Scholar] [CrossRef]
- Huang, T.; Zhou, L.; Chen, L.; Liu, W.; Zhang, S.; Liu, L. Mechanism exploration on the aluminum supplementation coupling the electrokinetics-activating geopolymerization that reinforces the solidification of the municipal solid waste incineration fly ashes. Waste Manag. 2020, 103, 361–369. [Google Scholar] [CrossRef] [PubMed]
- Zhang, P.; Muhammad, F.; Yu, L.; Xia, M.; Lin, H.; Huang, X.; Jiao, B.; Shiau, Y.; Li, D. Self-cementation solidification of heavy metals in lead-zinc smelting slag through alkali-activated materials. Constr. Build. Mater. 2020, 249, 118756. [Google Scholar] [CrossRef]
- Hoang, J.; Reuter, M.; Matusewicz, R.; Hughes, S.; Piret, N. Top submerged lance direct zinc smelting. Miner. Eng. 2009, 22, 742–751. [Google Scholar] [CrossRef]
- De Barros, F.C.; Abreu, C.S.; de Lemos, L.R. Separation of Cd(II), Cu(II) and zinc sulfate from waste produced in zinc hydrometallurgy cementation. Sep. Sci. Technol. 2021, 56, 1360–1369. [Google Scholar] [CrossRef]
- Moradkhani, D.; Rasouli, M.; Behnian, D.; Arjmandfar, H.; Ashtari, P. Selective zinc alkaline leaching optimization and cadmium sponge recovery by electrowinning from cold filter cake (CFC) residue. Hydrometallurgy 2012, 115–116, 84–92. [Google Scholar] [CrossRef]
- Gharabaghi, M.; Irannajad, M.; Azadmehr, A.R. Leaching behavior of cadmium from hazardous waste. Sep. Purif. Technol. 2012, 86, 9–18. [Google Scholar] [CrossRef]
- Xing, W.D.; Sohn, S.H.; Lee, M.S. A Review on the Recovery of Noble Metals from Anode Slimes. Miner. Process. Extr. Met. Rev. 2020, 41, 130–143. [Google Scholar] [CrossRef]
- Dreisinger, D.; Glück, T.; Lu, J.; Xie, F.; Marte, K.; Parada, F. New Developments in the Recovery of Copper, Cobalt, Zinc and Manganese in the Boleo Process. In Proceedings of the 2012 SME Annual Meeting and Exhibit 2012, SME 2012, Meeting Preprints, Seattle, WA, USA, 19–22 February 2012; pp. 191–201. [Google Scholar]
- Niu, M.; Li, G.; Wang, Y.; Li, Q.; Han, L.; Song, Z. Comparative study of immobilization and mechanical properties of sulfoaluminate cement and ordinary Portland cement with different heavy metals. Constr. Build. Mater. 2018, 193, 332–343. [Google Scholar] [CrossRef]
- Shi, C.; Fernández-Jiménez, A.M. Stabilization/solidification of hazardous and radioactive wastes with alkali-activated cements. J. Hazard. Mater. 2006, 137, 1656–1663. [Google Scholar] [CrossRef] [PubMed]
- Paz-Gómez, D.C.; Vilarinho, I.S.; Pérez-Moreno, S.M.; Carvalheiras, J.; Guerrero, J.L.; Novais, R.M.; Seabra, M.P.; Ríos, G.; Bolívar, J.P.; Labrincha, J.A. Immobilization of Hazardous Wastes on One-Part Blast Furnace Slag-Based Geopolymers. Sustainability 2021, 13, 13455. [Google Scholar] [CrossRef]
- Vu, T.H.; Gowripalan, N. Mechanisms of Heavy Metal Immobilisation using Geopolymerisation Techniques—A review. J. Adv. Concr. Technol. 2018, 16, 124–135. [Google Scholar] [CrossRef] [Green Version]
- Nguyen, T.A.; Guo, X.; You, F.; Saha, N.; Wu, S.; Scheuermann, A.; Ren, C.; Huang, L. Co-solidification of bauxite residue and coal ash into indurated monolith via ambient geopolymerisation for in situ environmental application. J. Hazard. Mater. 2021, 422, 126925. [Google Scholar] [CrossRef] [PubMed]
- Maldonado-Alameda, À.; Giro-Paloma, J.; Alfocea-Roig, A.; Formosa, J.; Chimenos, J.M. Municipal Solid Waste Incineration Bottom Ash as Sole Precursor in the Alkali-Activated Binder Formulation. Appl. Sci. 2020, 10, 4129. [Google Scholar] [CrossRef]
- Palomo, A.; Fuente, J.L.D.; Palomo, A.; Fuente, J.L.D. Alkali-activated cementitous materials: Alternative matrices for the immobilisation of hazardous wastes: Part I. Stabilisation of boron. Cem. Concr. Res. 2003, 33, 281–288. [Google Scholar] [CrossRef]
- Harja, M.; Buema, G.; Bulgariu, L.; Bulgariu, D.; Sutiman, D.M.; Ciobanu, G. Removal of cadmium(II) from aqueous solution by adsorption onto modified algae and ash. Korean J. Chem. Eng. 2015, 32, 1804–1811. [Google Scholar] [CrossRef]
- Cifrian, E.; Dacuba, J.; Llano, T.; Díaz-Fernández, M.D.C.; Andrés, A. Coal Fly Ash–Clay Based Geopolymer-Incorporating Electric Arc Furnace Dust (EAFD): Leaching Behavior and Geochemical Modeling. Appl. Sci. 2021, 11, 810. [Google Scholar] [CrossRef]
- Pereira, C.F.; Luna, Y.; Querol, X.; Antenucci, D.; Vale, J. Waste stabilization/solidification of an electric arc furnace dust using fly ash-based geopolymers. Fuel 2009, 88, 1185–1193. [Google Scholar] [CrossRef]
- Nikolić, I.; Đurović, D.; Marković, S.; Veselinović, L.; Janković-Častvan, I.; Radmilović, V.V.; Radmilović, V.R. Alkali activated slag cement doped with Zn-rich electric arc furnace dust. J. Mater. Res. Technol. 2020, 9, 12783–12794. [Google Scholar] [CrossRef]
- Ogundiran, M.B.; Nugteren, H.W.; Witkamp, G.J. Immobilisation of lead smelting slag within spent aluminate—Fly ash based geopolymers. J. Hazard. Mater. 2013, 248–249, 29–36. [Google Scholar] [CrossRef] [PubMed]
- Mao, Y.; Muhammad, F.; Yu, L.; Xia, M.; Huang, X.; Jiao, B.; Shiau, Y.; Li, D. The Solidification of Lead-Zinc Smelting Slag through Bentonite Supported Alkali-Activated Slag Cementitious Material. Int. J. Environ. Res. Public Health 2019, 16, 1121. [Google Scholar] [CrossRef] [PubMed] [Green Version]
- Li, S.; Huang, X.; Muhammad, F.; Yu, L.; Xia, M.; Zhao, J.; Jiao, B.; Shiau, Y.; Li, D. Waste solidification/stabilization of lead–zinc slag by utilizing fly ash based geopolymers. RSC Adv. 2018, 8, 32956–32965. [Google Scholar] [CrossRef] [Green Version]
- Huang, X.; Zhuang, R.; Muhammad, F.; Yu, L.; Shiau, Y.; Li, D. Solidification/stabilization of chromite ore processing residue using alkali-activated composite cementitious materials. Chemosphere 2017, 168, 300–308. [Google Scholar] [CrossRef]
- Yu, L.; Fang, L.; Zhang, P.; Zhao, S.; Jiao, B.; Li, D. The Utilization of Alkali-Activated Lead–Zinc Smelting Slag for Chromite Ore Processing Residue Solidification/Stabilization. Int. J. Environ. Res. Public Health 2021, 18, 9960. [Google Scholar] [CrossRef] [PubMed]
- Nikolić, V.; Komljenović, M.; Džunuzović, N.; Ivanović, T.; Miladinović, Z. Immobilization of hexavalent chromium by fly ash-based geopolymers. Compos. Part B Eng. 2017, 112, 213–223. [Google Scholar] [CrossRef]
- Zhang, M.; Yang, C.; Zhao, M.; Yang, K.; Shen, R.; Zheng, Y. Immobilization potential of Cr(VI) in sodium hydroxide activated slag pastes. J. Hazard. Mater. 2016, 321, 281–289. [Google Scholar] [CrossRef]
- Barreto, L.S.S.; Ghisi, E.; Godoi, C.; Oliveira, F.J.S. Reuse of ornamental rock solid waste for stabilization and solidification of galvanic solid waste: Optimization for sustainable waste management strategy. J. Clean. Prod. 2020, 275, 122996. [Google Scholar] [CrossRef]
- Galiano, Y.L.; Pereira, C.F.; Vale, J. Stabilization/solidification of a municipal solid waste incineration residue using fly ash-based geopolymers. J. Hazard. Mater. 2011, 185, 373–381. [Google Scholar] [CrossRef]
- El-Eswed, B.I. Chemical evaluation of immobilization of wastes containing Pb, Cd, Cu and Zn in alkali-activated materials: A critical review. J. Environ. Chem. Eng. 2020, 8, 104194. [Google Scholar] [CrossRef]
- Bakhshi, M.; Mohammad, S.; Hosseini, R.; Rahimi, M. Cadmium Filter Cake of a Hydrometallurgical Zinc Smelter as a New Source for the Biological Synthesis of CdS Quantum Dots Using AASX (Air-assisted solvent extraction) for dilute solution View project. Int. J. Biotechnol. Bioeng. 2017, 11, 148–152. [Google Scholar]
- Shi, C.; Jimenez, A.F.; Palomo, A. New cements for the 21st century: The pursuit of an alternative to Portland cement. Cem. Concr. Res. 2011, 41, 750–763. [Google Scholar] [CrossRef]
- Izquierdo, M.; Querol, X.; Phillipart, C.; Antenucci, D.; Towler, M. The role of open and closed curing conditions on the leaching properties of fly ash-slag-based geopolymers. J. Hazard. Mater. 2010, 176, 623–628. [Google Scholar] [CrossRef] [PubMed]
- Yılmaz, H. Characterization and comparison of leaching behaviors of fly ash samples from three different power plants in Turkey. Fuel Process. Technol. 2015, 137, 240–249. [Google Scholar] [CrossRef]
- Komonweeraket, K.; Cetin, B.; Aydilek, A.H.; Benson, C.H.; Edil, T.B. Effects of pH on the leaching mechanisms of elements from fly ash mixed soils. Fuel 2015, 140, 788–802. [Google Scholar] [CrossRef]
- Loncnar, M.; van der Sloot, H.A.; Mladenovič, A.; Zupančič, M.; Kobal, L.; Bukovec, P. Study of the leaching behaviour of ladle slags by means of leaching tests combined with geochemical modelling and mineralogical investigations. J. Hazard. Mater. 2016, 317, 147–157. [Google Scholar] [CrossRef]
- Wan, Q.; Rao, F.; Song, S.; Zhang, Y. Immobilization forms of ZnO in the solidification/stabilization (S/S) of a zinc mine tailing through geopolymerization. J. Mater. Res. Technol. 2019, 8, 5728–5735. [Google Scholar] [CrossRef]
- Provis, J.L.; van Deventer, J.S.J. Alkali Materials Activated RILEM-State-of-the-Art Report; Springer: Dordrecht, The Netherlands, 2014; Volume 13. [Google Scholar]
- Álvarez-Ayuso, E.; Querol, X.; Plana, F.; Alastuey, A.; Moreno, N.; Izquierdo, M.; Font, O.; Moreno, T.; Díez, S.; Vázquez, E.; et al. Environmental, physical and structural characterisation of geopolymer matrixes synthesised from coal (co-)combustion fly ashes. J. Hazard. Mater. 2008, 154, 175–183. [Google Scholar] [CrossRef]
- Chen, Y.; Chen, F.; Zhou, F.; Lu, M.; Hou, H.; Li, J.; Liu, D.; Wang, T. Early solidification/stabilization mechanism of heavy metals (Pb, Cr and Zn) in Shell coal gasification fly ash based geopolymer. Sci. Total Environ. 2022, 802, 149905. [Google Scholar] [CrossRef]
- Provis, J.L.; van Deventer, J.S.J. Geopolymers: Structures, Processing, Properties and Industrial Applications; Woodhead Publishing: Waltham, MA, USA, 2009. [Google Scholar]
- Panias, D.; Giannopoulou, I.P.; Perraki, T. Effect of synthesis parameters on the mechanical properties of fly ash-based geopolymers. Colloids Surf. A Physicochem. Eng. Asp. 2007, 301, 246–254. [Google Scholar] [CrossRef]
- Rickard, W.D.; Williams, R.; Temuujin, J.; van Riessen, A. Assessing the suitability of three Australian fly ashes as an aluminosilicate source for geopolymers in high temperature applications. Mater. Sci. Eng. A 2011, 528, 3390–3397. [Google Scholar] [CrossRef]
- Izquierdo, M.; Querol, X.; Davidovits, J.; Antenucci, D.; Nugteren, H.; Pereira, C.F. Coal fly ash-slag-based geopolymers: Microstructure and metal leaching. J. Hazard. Mater. 2009, 166, 561–566. [Google Scholar] [CrossRef] [PubMed]









| Trace Elements (mg/kg) | Range of Values—CS | CS | Range of Values—AM | AM | Landfill Disposal Limits * | |
|---|---|---|---|---|---|---|
| HW | NHW | |||||
| pH | 3.92–7.70 | 4.2 | <2 | <2 | - | - |
| As | 0.01–0.42 | 0.41 | 0.05–0.16 | 0.16 | 25 | 2 |
| Ba | 0.05–6.48 | 0.025 | 0.05–0.35 | 0.06 | 300 | 100 |
| Cd | 300–4800 | 2790 | 15–11,700 | 461 | 5 | 1 |
| Cr | 0.05–0.80 | 0.78 | 0.05–1.08 | 0.58 | 70 | 10 |
| Cu | 0.05–24.47 | 0.66 | 0.01–1440 | 8 | 100 | 50 |
| Hg | <0.01 | 0.01 | <0.01 | <0.01 | 2 | 0.2 |
| Mo | 0.05–0.85 | 0.1 | 0.05–0.42 | 0.1 | 30 | 10 |
| Ni | 0.05–14.72 | 4.5 | 0.05–18.45 | 0.88 | 40 | 10 |
| Pb | 0.05–6.75 | 6.7 | 0.05–6.50 | 6.3 | 50 | 10 |
| Se | 0.05–0.5 | 0.5 | 0.05–20.9 | 0.35 | 7 | 0.5 |
| Sb | 0.1–0.5 | 0.5 | 0.05–0.56 | 0.56 | 5 | 0.5 |
| Zn | 33–6970 | 6690 | 1010–20,900 | 5720 | 200 | 50 |
| Raw Materials | FA | Clay |
|---|---|---|
| Composition (wt%) | ||
| SiO2 | 52.38 | 64.22 |
| Al2O3 | 21.32 | 16.93 |
| Fe2O3 | 6.88 | 5.94 |
| K2O | 2.50 | 3.03 |
| CaO | 6.23 | 0.52 |
| MgO | 2.48 | 0.89 |
| Na2O | 2.02 | 0.58 |
| TiO2 | 0.92 | 0.86 |
| MnO | 0.07 | 0.06 |
| P2O5 | 0.82 | 0.08 |
| LOI | 5.39 | 5.78 |
| Composition (mg/kg) | ||
| As | 44 | 30 |
| Ba | 2662.25 | 483 |
| Cd | 1.10 | 0.50 |
| Cr | 76.25 | 46 |
| Cu | 85.75 | 27 |
| Hg | n.d. | n.d. |
| Mo | 18 | 2 |
| Ni | 129 | 29 |
| Pb | 52.50 | 28 |
| Sb | 7.80 | 2.5 |
| Se | 0.55 | 0.02 |
| Zn | 291.25 | 139 |
| Activator | Sample Name | Acid Waste (g) | Fly Ash (g) | Clay (g) | NaOH (g) | Na2SiO3 (g) | Na2CO3 (g) | Acid Waste/ Geopolymer Ratio | L/S | [NaOH] |
|---|---|---|---|---|---|---|---|---|---|---|
| Commercial | C0 | 0 | 205.9 | 294.1 | 17.45 | 35.30 | 0 | 0 | 6M | |
| C50 | 500 | 0.5 | 0.21 | |||||||
| C70 | 1167 | 0.7 | 0.22 | |||||||
| Alternative | A0 | 0 | 205.9 | 294.1 | 17.45 | 24.71 | 10.59 | 0 | 6M | |
| A50 | 500 | 0.5 | 0.21 | |||||||
| A70 | 1167 | 0.7 | 0.22 |
| Sample | % Acid Waste | Compressive Strength 1 (MPa) | Density kg/m3 |
|---|---|---|---|
| C0 | 0 | 11.72 ± 1.83 | 2021 ± 19 |
| CS-C50 CS-C70 | 50 | 6.61 ± 0.70 | 1995 ± 15 |
| 70 | 5.67 ± 1.31 | 1922 ± 32 | |
| AM-C50 AM-C70 | 50 | 4.57 ± 0.58 | 1500 ± 35 |
| 70 | 4.20 ± 0.55 | 1465 ± 21 | |
| A0 | 0 | 7.85 ± 0.64 | 2021 ± 19 |
| CS-A50 CS-A70 | 50 | 4.48 ± 0.80 | 1934 ± 25 |
| 70 | 4.65 ± 1.01 | 1901 ± 12 | |
| AM-A50 AM-A70 | 50 | 3.83 ± 0.48 | 1363 ± 17 |
| 70 | 3.08 ± 0.59 | 1337 ± 14 |
| Type of Processing | Immobilization Rate | CS | CS-C50 | CS-A50 | CS-C70 | CS-A70 |
|---|---|---|---|---|---|---|
| As received/Molded | [Cd] (mg/kg) | 2790 | 0.22 ± 0.08 | 0.8 ± 0.02 | 1.49 ± 0.76 | 2.00 ± 0.64 |
| [Zn] (mg/kg) | 6690 | 1.3 ± 0.36 | 4.1 ± 0.84 | 0.5 ± 0.21 | 1.1 ± 0.56 | |
| Cd (%) | - | 99.99 | 99.97 | 99.94 | 99.92 | |
| Zn (%) | - | 99.98 | 99.94 | 99.99 | 99.98 | |
| Dried/Pressed | [Cd] (mg/kg) | 2790 | 1.54 ± 0.05 | 1.7 ± 0.22 | 1.18 ± 0.18 | 1.3 ± 0.35 |
| [Zn] (mg/kg) | 6690 | 2.27 ± 0.58 | 2.5 ± 0.93 | 2.19 ± 0.42 | 1.4 ± 0.36 | |
| Cd (%) | - | 99.93 | 99.93 | 99.94 | 99.95 | |
| Zn (%) | - | 99.97 | 99.96 | 99.97 | 99.98 |
| Type of Processing | Immobilization Rate | AM | AM-C50 | AM-A50 | AM-C70 | AM-A70 |
|---|---|---|---|---|---|---|
| As received/Molded | [Cd] (mg/kg) | 461 | 1.3 ± 0.91 | 1.7 ± 0.37 | 2.77 ± 0.29 | 1.71 ± 0.35 |
| [Zn] (mg/kg) | 5720 | 0.7 ± 0.01 | 2.5 ± 0.93 | 4.3 ± 0.54 | 4.7 ± 0.26 | |
| Cd (%) | - | 99.72 | 99.63 | 99.40 | 99.62 | |
| Zn (%) | - | 99.98 | 99.95 | 99.60 | 99.57 | |
| Dried/Pressed | [Cd] (mg/kg) | 461 | 0.68 ± 0.02 | 0.8 ± 0.05 | 2.28 ± 0.41 | 2.5 ± 0.35 |
| [Zn] (mg/kg) | 5720 | 2.34 ± 0.54 | 2.5 ± 0.62 | 4.98 ± 0.74 | 4.17 ± 0.39 | |
| Cd (%) | - | 99.85 | 99.82 | 99.50 | 99.46 | |
| Zn (%) | - | 99.95 | 99.95 | 99.57 | 99.57 |
| Variables | Levels | ||
|---|---|---|---|
| (−1) | (0) | (+1) | |
| X1: acid waste/geopolymer ratio | 0.5 | 0.6 | 0.7 |
| X2: liquid/solid ratio | 0.4 | 0.5 | 0.6 |
| X3: [NaOH] molar | 6 | 8 | 10 |
| Sample | X1 | X2 | X3 |
| P1 | 0.5 | 0.4 | 6 |
| P2 | 0.5 | 0.4 | 10 |
| P3 | 0.5 | 0.6 | 6 |
| P4 | 0.5 | 0.6 | 10 |
| P5 | 0.7 | 0.4 | 6 |
| P6 | 0.7 | 0.4 | 10 |
| P7 | 0.7 | 0.6 | 6 |
| P8 | 0.7 | 0.6 | 10 |
| P9 | 0.6 | 0.5 | 8 |
| P10 | 0.6 | 0.5 | 8 |
| P11 | 0.6 | 0.5 | 8 |
| Sample | pH | Density (kg/m3) | As (mg/kg) | Cd (mg/kg) | Zn (mg/kg) |
|---|---|---|---|---|---|
| P1 CS | 11.30 | 1906.90 | <0.1 | <0.3 | 11.6 |
| P2 CS | 12.09 | 1535.20 | <0.1 | 0.6 | 74.8 |
| P3 CS | 11.40 | 1924.90 | 0.2 | 0.3 | 2.40 |
| P4 CS | 12.06 | 1469.90 | 7.3 | 0.7 | 8.70 |
| P5 CS | 11.20 | 1465.10 | <0.1 | 0.3 | 6.10 |
| P6 CS | 11.67 | 1607.30 | 1.8 | <0.3 | 9.40 |
| P7 CS | 11.15 | 1991.60 | <0.1 | <0.3 | 17.8 |
| P8 CS | 11.94 | 1493.20 | 4.0 | 0.6 | 16.7 |
| P9 CS | 11.53 | 1997.00 | 4.5 | <0.3 | 3.30 |
| P10 CS | 11.60 | 1713.50 | 4.7 | <0.3 | 5.00 |
| P11 CS | 11.52 | 1733.40 | 1.7 | <0.3 | 4.44 |
| P1 AM | 11.40 | 1389.48 | <0.1 | <0.3 | 4.48 |
| P2 AM | 11.56 | 1337.23 | <0.1 | <0.3 | 3.90 |
| P3 AM | 11.64 | 1348.82 | <0.1 | <0.3 | 14.3 |
| P4 AM | 11.70 | 1310.23 | <0.1 | <0.3 | 13.7 |
| P5 AM | 10.20 | 1343.84 | <0.1 | <0.3 | 4.90 |
| P6 AM | 10.51 | 1519.47 | <0.1 | <0.3 | 4.45 |
| P7 AM | 10.92 | 1384.54 | <0.1 | <0.3 | 0.60 |
| P8 AM | 11.12 | 1562.23 | <0.1 | <0.3 | 0.41 |
| P9 AM | 11.35 | 1351.28 | <0.1 | <0.3 | 5.20 |
| P10 AM | 11.38 | 1358.74 | <0.1 | <0.3 | 5.10 |
| P11 AM | 11.41 | 1350.19 | <0.1 | <0.3 | 5.30 |
| Cadmium Sponge (CS) | Regression Coefficient |
| pH = 10.23 + 0.252·X3 − 0.138·X1·X3 | R2 = 0.951 |
| Zn = −206.14 + 58.92·X3 + 616.19·X1·X2 − 45.71·X1·X3 − 54.0·X2·X3 | R2 = 0.735 |
| Anode Mud (AM) | Regression Coefficient |
| pH = 13.86 − 6.33·X1 + 3.79·X1·X2 | R2 = 0.880 |
| Density = 2269 − 1690.43·X1 − 150.16·X3 + 277.60·X1·X3 | R2 = 0.880 |
| Zn = −86.79 + 142.43·X1 + 223.97·X2 − 349.75·X1·X2 | R2 = 0.993 |
Publisher’s Note: MDPI stays neutral with regard to jurisdictional claims in published maps and institutional affiliations. |
© 2022 by the authors. Licensee MDPI, Basel, Switzerland. This article is an open access article distributed under the terms and conditions of the Creative Commons Attribution (CC BY) license (https://creativecommons.org/licenses/by/4.0/).
Share and Cite
Dacuba, J.; Llano, T.; Cifrian, E.; Andrés, A. Sustainable Management Strategy for Solidification/Stabilization of Zinc Plant Residues (ZPR) by Fly Ash/Clay-Based Geopolymers. Sustainability 2022, 14, 4438. https://doi.org/10.3390/su14084438
Dacuba J, Llano T, Cifrian E, Andrés A. Sustainable Management Strategy for Solidification/Stabilization of Zinc Plant Residues (ZPR) by Fly Ash/Clay-Based Geopolymers. Sustainability. 2022; 14(8):4438. https://doi.org/10.3390/su14084438
Chicago/Turabian StyleDacuba, Juan, Tamara Llano, Eva Cifrian, and Ana Andrés. 2022. "Sustainable Management Strategy for Solidification/Stabilization of Zinc Plant Residues (ZPR) by Fly Ash/Clay-Based Geopolymers" Sustainability 14, no. 8: 4438. https://doi.org/10.3390/su14084438
APA StyleDacuba, J., Llano, T., Cifrian, E., & Andrés, A. (2022). Sustainable Management Strategy for Solidification/Stabilization of Zinc Plant Residues (ZPR) by Fly Ash/Clay-Based Geopolymers. Sustainability, 14(8), 4438. https://doi.org/10.3390/su14084438

