The Effect of CSR Environmental Initiatives on Purchase Decisions—A Cross-Regional Study in Poland and Ukraine
Abstract
:1. Introduction
2. Literature Review
2.1. Corporate Social Responsibility
2.2. CSR, Stakeholders, Consumer
2.3. Environmental CSR in Central Europe
3. Hypotheses Development
4. Materials and Methods
- (1)
- Reduction in CO2 emissions;
- (2)
- Selective waste collection and reduction in the amount of generated waste;
- (3)
- Implementation of energy-efficient technologies (e.g., LED lighting, environmentally friendly air conditioning, energy-efficient production lines) and investment in renewable energy (e.g., solar panels, wind power plants);
- (4)
- Environmentally friendly transport (electric and hybrid cars, railways, coaches, and other mass transport);
- (5)
- Infrastructure for cyclists (shelters, racks, changing rooms);
- (6)
- Offering environmentally friendly products and ecolabelling (the company meets higher environmental standards than legally required).
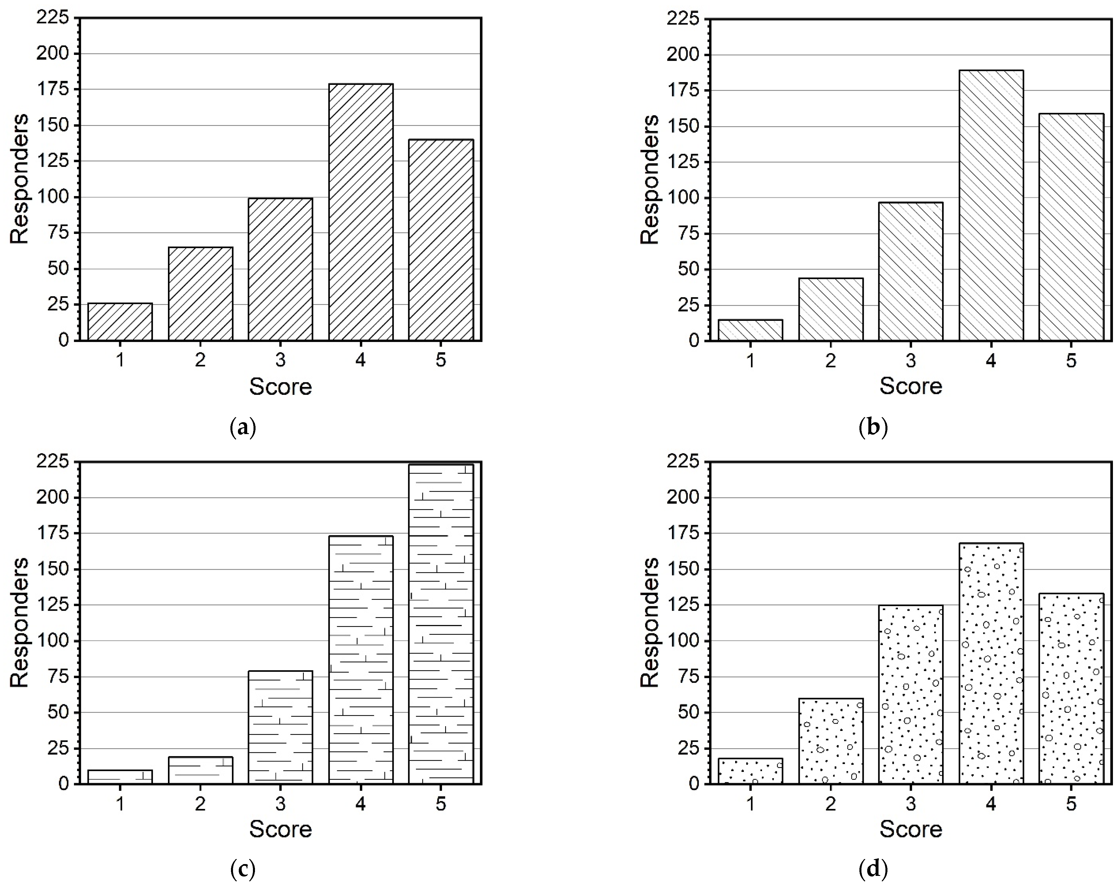
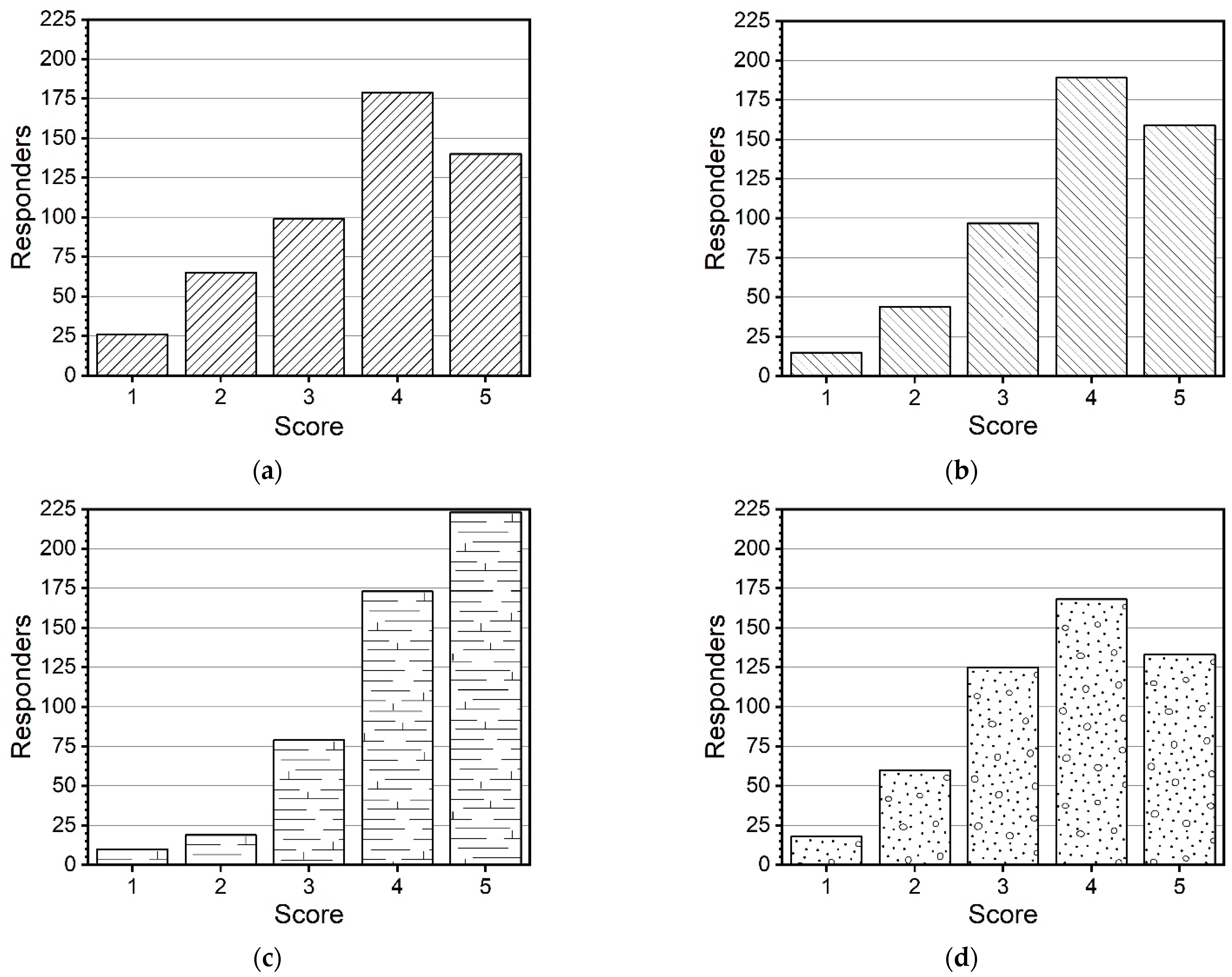
5. Results and Discussion
6. Conclusions
Author Contributions
Funding
Institutional Review Board Statement
Informed Consent Statement
Data Availability Statement
Conflicts of Interest
References
- Nan, X.; Heo, K. Consumer responses to corporate social responsibility (CSR) initiatives: Examining the role of brand-cause fit in cause-related marketing. J. Advert. 2007, 36, 63–74. [Google Scholar] [CrossRef] [Green Version]
- Sen, S.; Bhattacharya, C.B. Does doing good always lead to doing better? Consumer reactions to corporate social responsibility. J. Mark. Res. 2001, 38, 225–243. [Google Scholar] [CrossRef]
- Dowell, G.W.S.; Muthulingam, S. Will firms go green if it pays? The impact of disruption, cost, and external factors on the adoption of environmental initiatives. Strateg. Manag. J. 2017, 38, 1287–1304. [Google Scholar] [CrossRef]
- Brulhart, F.; Gherra, S.; Quelin, B.V. Do stakeholder orientation and environmental proactivity impact firm profitability? J. Bus. Ethics 2019, 158, 25–46. [Google Scholar] [CrossRef]
- Leonidou, C.N.; Katsikeas, C.S.; Morgan, N.A. “Greening” the marketing mix: Do firms do it and does it pay off? J. Acad. Mark. Sci. 2013, 41, 151–170. [Google Scholar] [CrossRef]
- Menguc, B.; Ozanne, L.K. Challenges of the “green imperative”: A natural resource-based approach to the environmental orientation-business performance relationship. J. Bus. Res. 2005, 58, 430–438. [Google Scholar] [CrossRef]
- KPMG Report: The Road Ahead. The KPMG Survey of Corporate Responsibility Reporting. 2017. Available online: https://home.kpmg/pl/pl/home/insights/2018/02/raport-the-road-ahead-the-kpmg-survey-of-corporate-responsibility-reporting-2017.html (accessed on 11 October 2020).
- Schons, L.; Steinmeier, M. Walk the talk? How symbolic and substantive CSR actions affect firm performance depending on stakeholder proximity. Corp. Soc. Responsib. Environ. Manag. 2016, 23, 358–372. [Google Scholar] [CrossRef]
- Kramer, M.R.; Agarwal, R.; Srinivas, A. Business as Usual Will Not Save the Planet. Available online: https://hbr.org/2019/06/business-as-usual-will-not-save-the-planet (accessed on 13 February 2021).
- Parguel, B.; Benoît-Moreau, F.; Larceneux, F. How sustainability ratings might deter ‘Greenwashing’: A closer look at ethical corporate communication. J. Bus. Ethics 2011, 102, 15. [Google Scholar] [CrossRef]
- Ariker, Ç.; Toksoy, A. Generation Z and CSR: Antecedents of purchasing intention of university students. Kafkas Üniversitesi İktisadi Ve İdari Bilim. Fakültesi Derg. 2017, 8, 483–502. [Google Scholar] [CrossRef]
- Chen, T.B.; Chai, L.T. Attitude towards the environment and green products: Consumer’s perspective. Manag. Sci. Eng. 2010, 4, 27–39. [Google Scholar] [CrossRef]
- Joshi, Y.; Rahman, Z. Factors affecting green purchase behaviour and future research directions. Int. Strateg. Manag. Rev. 2015, 3, 128–143. [Google Scholar] [CrossRef] [Green Version]
- Mohammed, A.; Homaid, A.; Alaswadi, W. Factors influencing green purchase behaviour among young consumers in Saudi Arabia. Transnatl. Mark. J. 2020, 8, 51–73. [Google Scholar] [CrossRef]
- Rahman, F.; Norman, R.T. The effect of firm scale and CSR geographical scope of impact on consumers’ response. J. Retail. Consum. Serv. 2016, 28, 189–198. [Google Scholar] [CrossRef]
- Dang, V.T.; Nguyen, N.; Pervan, S. Retailer corporate social responsibility and consumer citizenship behavior: The mediating roles of perceived consumer effectiveness and consumer trust. J. Retail. Consum. Serv. 2020, 55, 102082. [Google Scholar] [CrossRef]
- Cerkasov, J.; Huml, J.; Vokacova, L.; Margarisová, K. Consumer’s attitudes to corporate social responsibility and green marketing. Acta Univ. Agric. Silvic. Mendelianae Brun. 2017, 65, 1865–1872. [Google Scholar] [CrossRef] [Green Version]
- Hommerová, D.; Šrédl, K.; Vrbková, L.; Svoboda, R. The perception of CSR activities in a selected segment of McDonald’s customers in the Czech Republic and its effect on their purchasing behavior—A case study. Sustainability 2020, 12, 8627. [Google Scholar] [CrossRef]
- Spodarczyk, E. An attempt to determine the determinants of an effective impact of corporate social responsibility on consumer behaviour. A pilot study report. Management 2019, 23, 64–79. [Google Scholar] [CrossRef] [Green Version]
- Stávková, J.; Stejskal, L.; Toufarová, Z. Factors influencing consumer behaviour. Agric. Econ. 2008, 54, 276–284. [Google Scholar] [CrossRef] [Green Version]
- WCED Report of the World Commission on Environment and Development: Our Common Future. Available online: https://digitallibrary.un.org/record/139811#record-files-collapse-header (accessed on 15 May 2021).
- Dahlsrud, A. How corporate social responsibility is defined: An analysis of 37 definitions. Corp. Soc. Responsib. Environ. Manag. 2008, 15, 1–13. [Google Scholar] [CrossRef]
- European Commission. A Renewed EU strategy 2011-14 for Corporate Social Responsibility. COM 681. 2011. Available online: https://www.eurocommerce.eu/media/7237/position-csr-renewed_csr_strategy_2011-14-07.03.2012.pdf (accessed on 12 September 2021).
- Amores-Salvadó, J.; Castro, G.M.; Navas-López, J.E. Green corporate image: Moderating the connection between environmental product innovation and firm performance. J. Clean. Prod. 2014, 83, 356–365. [Google Scholar] [CrossRef]
- Ben Youssef, K.; Leicht, T.; Pellicelli, M.; Kitchen, P.J. The importance of corporate social responsibility (CSR) for branding and business success in small and medium-sized enterprises (SME) in a business-to-distributor (B2D) context. J. Strateg. Mark. 2018, 26, 723–739. [Google Scholar] [CrossRef]
- Freeman, R.E. Strategic Management: A Stakeholder Approach; Pitman Publishing: Boston, MA, USA, 1984; ISBN 0273019139. [Google Scholar]
- Parmar, B.L.; Freeman, R.E.; Harrison, J.S.; Wicks, A.C.; Purnell, L.; de Colle, S. Stakeholder theory: The state of the art. Acad. Manag. Ann. 2010, 4, 403–445. [Google Scholar] [CrossRef]
- Fifka, M.; Loza Adaui, C. Managing Stakeholders for the Sake of Business and Society. In New Perspectives on Corporate Social Responsibility; O’Riordan, L., Zmuda, P., Heinemann, S., Eds.; Springer Gabler: Wiesbaden, Germany, 2015; pp. 71–87. ISBN 978-3-658-06794-6. [Google Scholar]
- Donaldson, T.; Preston, L.E. The Stakeholder Theory of the corporation: Concepts, evidence, and implications. Acad. Manag. Rev. 1995, 20, 65–91. [Google Scholar] [CrossRef]
- Nellis, J.; Parker, D. Principles of Business Economics; Prentice Hall: London, UK, 2006. [Google Scholar]
- Turker, D. Measuring corporate social responsibility: A scale development study. J. Bus. Ethics 2009, 85, 411–427. [Google Scholar] [CrossRef]
- Dawkins, C. Agonistic pluralism and stakeholder engagement. Bus. Ethics Q. 2015, 25, 1–28. [Google Scholar] [CrossRef] [Green Version]
- Bhattacharya, C.B.; Sen, S. Consumer–company identification: A framework for understanding consumers relationships with companies. J. Mark. 2003, 67, 76–88. [Google Scholar] [CrossRef]
- Bhattacharya, C.B.; Korschun, D.; Sen, S. Strengthening stakeholder–company relationships through mutually beneficial corporate social responsibility initiatives. J. Bus. Ethics 2008, 85, 257–272. [Google Scholar] [CrossRef]
- Du, S.; Bhattacharya, C.B.; Sen, S. Reaping relational rewards from corporate social responsibility: The role of competitive positioning. Int. J. Res. Mark. 2007, 24, 224–241. [Google Scholar] [CrossRef]
- Klein, J.; Dawar, N. Corporate social responsibility and consumers’ attributions and brand evaluations in a product-harm crisis. Int. J. Res. Mark. 2004, 21, 203–217. [Google Scholar] [CrossRef]
- PwC Report: CSR Trends. 2010. Available online: http://www.rendircuentas.org/wp-content/uploads/2010/12/csr-trends-2010-09.pdf (accessed on 6 December 2021).
- KPMG Report: The Tima Has Come. The KPMG Survey of Sustainability Reporting. 2020. Available online: https://assets.kpmg/content/dam/kpmg/be/pdf/2020/12/The_Time_Has_Come_KPMG_Survey_of_Sustainability_Reporting_2020.pdf (accessed on 6 December 2021).
- KPMG Report: Społeczna Odpowiedzialność Biznesu, Fakty a Opinie. CSR Oczami Dużych i Średnich Firm w Polsce. Available online: https://assets.kpmg/content/dam/kpmg/pdf/2016/03/Raport-Spoleczna-odpowiedzialnosc-biznesu-fakty-a-opinie-KPMG-FOB-2014.pdf (accessed on 6 December 2021).
- EFL Report: CSR w MŚP pod Lupą. Available online: https://efl.pl/wp-content/uploads/2019/10/Raport-EFL-o-CSR-2019-1.pdf (accessed on 6 December 2021).
- Bansal, P. Evolving sustainably: A longitudinal study of corporate sustainable development. Strateg. Manag. J. 2005, 26, 197–218. [Google Scholar] [CrossRef]
- Berrone, P.; Gomez-Mejia, L.R. Environmental performance and executive compensation: An integrated agency-institutional perspective. Acad. Manag. J. 2009, 52, 103–126. [Google Scholar] [CrossRef]
- Bartikowski, B.; Walsh, G. Investigating mediators between corporate reputation and customer citizenship behaviors. J. Bus. Res. 2011, 64, 39–44. [Google Scholar] [CrossRef]
- Cho, C.H.; Guidry, R.P.; Hageman, A.M.; Patten, D.M. Do actions speak louder than words? An empirical investigation of corporate environmental reputation. Account. Organ. Soc. 2012, 37, 14–25. [Google Scholar] [CrossRef]
- Dangelico, R.M. Improving firm environmental performance and reputation: The role of employee green teams. Bus. Strateg. Environ. 2015, 24, 735–749. [Google Scholar] [CrossRef]
- Okumus, F.; Kuyucak Sengur, F.; Koseoglu, M.A.; Sengur, Y. What do companies report for their corporate social responsibility practices on their corporate websites? Evidence from a global airline company. J. Hosp. Tour. Technol. 2020, 11, 385–405. [Google Scholar] [CrossRef]
- Sahay, A. Environmental reporting by Indian corporations. Corp. Soc. Responsib. Environ. Manag. 2004, 11, 12–22. [Google Scholar] [CrossRef]
- Boztepe, A. Green marketing and its impact on consumer buying behavior. Eur. J. Econ. Polit. Stud. 2012, 5, 5–21. [Google Scholar]
- Haws, K.L.; Winterich, K.P.; Naylor, R.W. Seeing the world through GREEN-tinted glasses: Green consumption values and responses to environmentally friendly products. J. Consum. Psychol. 2014, 24, 336–354. [Google Scholar] [CrossRef]
- Mandliya, A.; Varyani, V.; Hassan, Y.; Akhouri, A.; Pandey, J. What influences intention to purchase sustainable products? impact of advertising and materialism. Int. J. Product. Perform. Manag. 2020, 69, 1647–1669. [Google Scholar] [CrossRef]
- Han, H.; Al-Ansi, A.; Chi, X.; Baek, H.; Lee, K.S. Impact of environmental CSR, service quality, emotional attachment, and price perception on word-of-mouth for full-service airlines. Sustainability 2020, 12, 3974. [Google Scholar] [CrossRef]
- Sun, H.; Rabbani, M.R.; Ahmad, N.; Sial, M.S.; Guping, C.; Zia-Ud-din, M.; Fu, Q. CSR, Co-creation and green consumer loyalty: Are green banking initiatives important? A moderated mediation approach from an emerging economy. Sustainability 2020, 12, 10688. [Google Scholar] [CrossRef]
- Kantar Polska Report: Ziemianie Atakują! Available online: https://odpowiedzialnybiznes.pl/wp-content/uploads/2019/09/ziemianie-atakuja.pdf (accessed on 6 December 2021).
- Zhang, X.; Dong, F. Why do consumers make green purchase decisions? Insights from a systematic review. Int. J. Environ. Res. Public Health 2020, 17, 6607. [Google Scholar] [CrossRef] [PubMed]
- Bohdanowicz, P. Environmental awareness and initiatives in the Swedish and Polish hotel industries-survey results. Int. J. Hosp. Manag. 2006, 25, 662–682. [Google Scholar] [CrossRef]
- Lynes, J.K.; Dredge, D. Going green: Motivations for environmental commitment in the airline industry. A case study of Scandinavian Airlines. J. Sustain. Tour. 2006, 14, 116–138. [Google Scholar] [CrossRef] [Green Version]
- Kooskora, M. Building capacity for CSR through supportive initiatives in Estonia. In Key Initiatives in Corporate Social Responsibility. CSR, Sustainability, Ethics & Governance; Idowu, S., Ed.; Springer: Cham, Switzerland, 2016; pp. 243–260. ISBN 978-3-319-21640-9. [Google Scholar]
- Radecki, W. Ochrona Środowiska w Polskim, Czeskim i Słowackim Prawie Karnym. Studium Prawnoporównawcze; Wolters Kluwer Polska SA: Warszawa, Poland, 2013; ISBN 978-83-264-4261-2. [Google Scholar]
- Zębek, E.; Kulbacka-Burakiewicz, N. Odpowiedzialność karna za przestępstwo zanieczyszczenia środowiska—Wybrane aspekty. Stud. Prawnoustr. 2019, 381–391. [Google Scholar] [CrossRef]
- Mobile Institute Green Generation. Wspólnie na Rzecz Ziemi. Available online: https://eizba.pl/raport-green-generation-2020-green-e-commerce/ (accessed on 10 January 2021).
- CCIFP Raport z 4. Edycji Badania “CSR w Praktyce—Barometr Francusko-Polskiej Izby Gospodarczej”. Available online: https://www.ccifp.pl/komunikacja/publikacje/p/publication/barometr-csr-2019.html (accessed on 10 January 2021).
- Doś, A. “Leading by Example”—Are state-owned enterprises leaders of corporate social responsibility? Evidence from Poland. In Global Versus Local Perspectives on Finance and Accounting. ACFA 2018; Prochazka, D., Ed.; Springer International Publishing: New York, NY, USA, 2019; pp. 319–328. ISBN 978-3-030-11851-8. [Google Scholar]
- Panchenko, Y.; Kiriakova, M. Practices of Corporate Social Responsibility in Ukraine. Nierówności Społeczne a Wzrost Gospod. 2016, 48, 197–208. [Google Scholar] [CrossRef]
- Rivera, J.J.; Bigne, E.; Curras-Perez, R. Efectos de la responsabilidad social corporativa sobre la satisfacción del consumidor con la marca. Spanish J. Mark. ESIC 2016, 20, 104–114. [Google Scholar] [CrossRef] [Green Version]
- Becker-Olsen, K.L.; Cudmore, B.A.; Hill, R.P. The impact of perceived corporate social responsibility on consumer behavior. J. Bus. Res. 2006, 59, 46–53. [Google Scholar] [CrossRef] [Green Version]
- Vlachos, P.A.; Tsamakos, A.; Vrechopoulos, A.P.; Avramidis, P.K. Corporate social responsibility: Attributions, loyalty, and the mediating role of trust. J. Acad. Mark. Sci. 2009, 37, 170–180. [Google Scholar] [CrossRef]
- Chan, T.J.; Saad, S. Predictors of consumers purchase intention through triple bottom line corporate social responsibility practices: A study of the branded coffee retailing industry. J. Arts Soc. Sci. 2019, 3, 47–59. [Google Scholar]
- Öberseder, M.; Schlegelmilch, B.B.; Murphy, P.E. CSR practices and consumer perceptions. J. Bus. Res. 2013, 66, 1839–1851. [Google Scholar] [CrossRef] [Green Version]
- Lu, L.; Bock, D.; Joseph, M. Green marketing: What the millennials buy. J. Bus. Strategy 2013, 34, 3–10. [Google Scholar] [CrossRef]
- D’Souza, C.; Taghian, M.; Lamb, P. An empirical study on the influence of environmental labels on consumers. Corp. Commun. An. Int. J. 2006, 11, 162–173. [Google Scholar] [CrossRef] [Green Version]
- Young, W.; Hwang, K.; McDonald, S.; Oates, C.J. Sustainable consumption: Green consumer behaviour when purchasing products. Sustain. Dev. 2010, 18, 20–31. [Google Scholar] [CrossRef]
- Liu, X.; Pan, Y. A study of carbon emissions during a tour: A case study of a four-day guided tour in Guilin, China. J. Hosp. Tour. Manag. 2016, 29, 80–87. [Google Scholar] [CrossRef]
- Bang, H.-K.; Ellinger, A.E.; Hadjimarcou, J.; Traichal, P.A. Consumer concern, knowledge, belief, and attitude toward renewable energy: An application of the reasoned action theory. Psychol. Mark. 2000, 17, 449–468. [Google Scholar] [CrossRef]
- Policarpo, M.C.; Aguiar, E.C. How self-expressive benefits relate to buying a hybrid car as a green product. J. Clean. Prod. 2020, 252, 119859. [Google Scholar] [CrossRef]
- FOB Raport Forum Odpowiedzialnego Biznesu: Odpowiedzialny Biznes w Polsce. Dobre Praktyki. 2019. Available online: https://www.forbes.pl/biznes/produkcja-i-sprzedaz-rowerow-w-polsce/1lxh481 (accessed on 21 October 2020).
- McCright, A.M.; Xiao, C. Gender and environmental concern: Insights from recent work and for future research. Soc. Nat. Resour. 2014, 27, 1109–1113. [Google Scholar] [CrossRef]
- Öberseder, M.; Schlegelmilch, B.B.; Gruber, V. “Why don’t consumers care about CSR?”: A qualitative study exploring the Role of CSR in consumption decisions. J. Bus. Ethics 2011, 104, 449–460. [Google Scholar] [CrossRef] [Green Version]
- Okros, A. Generational theory and cohort analysis BT. In Harnessing the Potential of Digital Post-Millennials in the Future Workplace; Okros, A., Ed.; Springer International Publishing: Cham, Switzerland, 2020; pp. 33–51. ISBN 978-3-030-25726-2. [Google Scholar]
- Al-Aomar, R.; Hussain, M. An assessment of adopting lean techniques in the construct of hotel supply chain. Tour. Manag. 2018, 69, 553–565. [Google Scholar] [CrossRef]
- Rhein, S.; Schmid, M. Consumers awareness of plastic packaging: More than just environmental concerns. Resour. Conserv. Recycl. 2020, 162, 105063. [Google Scholar] [CrossRef]
- Topić, M.; Bridge, G.; Tench, R. Mirroring the zeitgeist: An analysis of CSR policies in the UK’s food, soft drink and packaging industries. J. Glob. Responsib. 2020. ahead of print. [Google Scholar] [CrossRef]
- Berthiaume, D. Survey: Generations Differ on Importance of Sustainability|Chain Store Age. Available online: https://chainstoreage.com/survey-generations-differ-importance-sustainability (accessed on 6 February 2021).
- Tapper, J. Move Over, Millennials. Boomers are UK’s Greenest Generation|Environment|The Guardian. Available online: https://www.theguardian.com/environment/2020/nov/22/move-over-millennials-boomers-are-uks-greenest-generation (accessed on 6 February 2021).
- Accenture & Fashionbiznes.pl Raport: Jak Kupuje Generacja Z. Available online: https://www.accenture.com/pl-pl/insights/retail/report-as-buys-generation-from-2019 (accessed on 1 January 2021).
- Su, C.-H.; Tsai, C.-H.; Chen, M.-H.; Lv, W.Q. Sustainable food market generation z consumer segments. Sustainability 2019, 11, 3607. [Google Scholar] [CrossRef] [Green Version]
- Blombäck, A.; Wigren, C. Challenging the importance of size as determinant for CSR activities. Manag. Environ. Qual. An. Int. J. 2009, 20, 255–270. [Google Scholar] [CrossRef]
- Nielsen Report: Ekologia i Naturalność. Available online: https://forumbranzykosmetycznej.pl/wp-content/uploads/2019/10/1_NIELSEN.pdf (accessed on 6 December 2021).
- Wilk, I. Istota Marketingu Ekologicznego w Warunkach Zrównoważonego Rozwoju. Zesz. Nauk. Politech. Śląskiej. Organ. Zarządzanie 2018, 118, 9. [Google Scholar]



| Demographic Data | Abbreviation | Number of Responses | Percentage of Responses | |
|---|---|---|---|---|
| Nationality | Poland | Pl | 473 | 56.58% |
| Ukrainian | Uk | 360 | 43.06% | |
| Other | O | 3 | 0.36% | |
| Gender | Woman | W | 480 | 57.42% |
| Man | M | 356 | 42.58% | |
| Education | Vocational/Primary | V | 32 | 3.83% |
| Secondary | S | 133 | 15.91% | |
| Higher | U | 671 | 80.26% | |
| Generation | Baby Boomers (1945–1964) | BB | 95 | 11.36% |
| Generation X (1965–1980) | X | 189 | 22.61% | |
| Generation Y (1981–1994) | Y | 129 | 15.43% | |
| Generation Z (1995–2000) | Z | 423 | 50.60% | |
| Activity | Value | Proportion [%] | χ2 (4) | p | ||
|---|---|---|---|---|---|---|
| 0 | 1 | 0 | 1 | |||
| Environmental protection | 351 | 305 | 53.51 | 46.49 | 255.192 | <0.001 |
| Cooperation with the local community | 414 | 242 | 63.11 | 36.89 | ||
| Combating corruption and bribery | 525 | 131 | 80.03 | 19.97 | ||
| Employees | 576 | 80 | 87.80 | 12.20 | ||
| Human rights | 408 | 248 | 62.20 | 37.80 | ||
| Action | Mean Rank | χ2 (5) | p | W |
|---|---|---|---|---|
| Selective waste collection | 3.83 | 123.37 | <0.001 | 0.04 |
| Reduction in CO2 emissions | 3.78 | |||
| Environmentally friendly products | 3.58 | |||
| Energy-efficient technologies | 3.44 | |||
| Environmentally friendly transport | 3.27 | |||
| Infrastructure for cyclists | 3.09 |
| Action | BB (n = 95) | X (n = 189) | Y (n = 129) | Z (n = 423) | H (3) | p | η2 |
|---|---|---|---|---|---|---|---|
| Mean Rank | Mean Rank | Mean Rank | Mean Rank | ||||
| Reduction in CO2 emissions | 309.99 | 284.42 | 297.87 | 356.83 | 19.98 | <0.001 | 0.03 |
| Selective waste collection | 315.38 | 280.85 | 305.65 | 354.99 | 18.67 | <0.001 | 0.03 |
| Energy-efficient technologies | 323.79 | 308.40 | 288.35 | 348.14 | 10.48 | 0.015 | 0.02 |
| Environmentally friendly transport | 306.85 | 282.23 | 296.47 | 358.60 | 21.78 | <0.001 | 0.03 |
| Infrastructure for cyclists | 337.41 | 284.00 | 288.23 | 354.80 | 19.72 | <0.001 | 0.03 |
| Environmentally friendly products | 331.11 | 299.30 | 309.80 | 344.16 | 7.05 | 0.070 | 0.01 |
| Action | V (n = 32) | S (n = 133) | U (n = 671) | H (2) | p | η2 |
|---|---|---|---|---|---|---|
| Mean Rank | Mean Rank | Mean Rank | ||||
| Reduction in CO2 emissions | 368.81 | 281.82 | 334.95 | 7.82 | 0.020 | 0.02 |
| Selective waste collection | 331.10 | 292.78 | 334.53 | 4.19 | 0.123 | 0.01 |
| Energy-efficient technologies | 350.74 | 299.94 | 332.54 | 2.80 | 0.247 | 0.01 |
| Environmentally friendly transport | 297.62 | 275.33 | 338.82 | 9.99 | 0.007 | 0.02 |
| Infrastructure for cyclists | 305.38 | 289.02 | 336.17 | 5.46 | 0.065 | 0.01 |
| Environmentally friendly products | 324.81 | 300.24 | 333.49 | 2.62 | 0.269 | 0.01 |
| Action | Professional Position | Mean Rank | H (5) | p | η2 |
|---|---|---|---|---|---|
| Reduction in CO2 emissions | Students (n = 291) | 361.02 | 15.31 | 0.009 | 0.03 |
| Management staff (n = 70) | 330.62 | ||||
| Other employees (n = 201) | 315.05 | ||||
| Specialists (n = 174) | 298.98 | ||||
| Retirees (n = 62) | 298.30 | ||||
| Entrepreneurs (n = 38) | 283.30 | ||||
| Selective waste collection | Management staff (n = 70) | 369.90 | 15.23 | 0.009 | 0.03 |
| Students (n = 291) | 354.40 | ||||
| Other employees (n = 201) | 312.63 | ||||
| Retirees (n = 62) | 311.59 | ||||
| Specialists (n = 174) | 293.81 | ||||
| Entrepreneurs (n = 38) | 290.92 | ||||
| Energy-efficient technologies | Management staff (n = 70) | 360.36 | 17.49 | 0.004 | 0.04 |
| Students (n = 291) | 356.11 | ||||
| Retirees (n = 62) | 337.84 | ||||
| Other employees (n = 201) | 316.62 | ||||
| Entrepreneurs (n = 38) | 284.34 | ||||
| Specialists (n = 174) | 282.99 | ||||
| Environmentally friendly transport | Students (n = 291) | 362.31 | 18.24 | 0.003 | 0.04 |
| Management staff (n = 70) | 339.12 | ||||
| Retirees (n = 62) | 335.43 | ||||
| Other employees (n = 201) | 305.16 | ||||
| Specialists (n = 174) | 298.24 | ||||
| Entrepreneurs (n = 38) | 266.44 | ||||
| Infrastructure for cyclists | Management staff (n = 70) | 367.16 | 18.50 | 0.002 | 0.04 |
| Students (n = 291) | 357.23 | ||||
| Retirees (n = 62) | 328.84 | ||||
| Other employees (n = 201) | 313.39 | ||||
| Specialists (n = 174) | 289.27 | ||||
| Entrepreneurs (n = 38) | 266.41 | ||||
| Environmentally friendly products | Management staff (n = 70) | 349.30 | 5.22 | 0.390 | 0.02 |
| Students (n = 291) | 339.24 | ||||
| Other employees (n = 201) | 331.18 | ||||
| Retirees (n = 62) | 322.89 | ||||
| Specialists (n = 174) | 309.21 | ||||
| Entrepreneurs (n = 38) | 280.08 |
Publisher’s Note: MDPI stays neutral with regard to jurisdictional claims in published maps and institutional affiliations. |
© 2022 by the authors. Licensee MDPI, Basel, Switzerland. This article is an open access article distributed under the terms and conditions of the Creative Commons Attribution (CC BY) license (https://creativecommons.org/licenses/by/4.0/).
Share and Cite
Sawicka, J.; Marcinkowska, E. The Effect of CSR Environmental Initiatives on Purchase Decisions—A Cross-Regional Study in Poland and Ukraine. Sustainability 2022, 14, 2590. https://doi.org/10.3390/su14052590
Sawicka J, Marcinkowska E. The Effect of CSR Environmental Initiatives on Purchase Decisions—A Cross-Regional Study in Poland and Ukraine. Sustainability. 2022; 14(5):2590. https://doi.org/10.3390/su14052590
Chicago/Turabian StyleSawicka, Joanna, and Elżbieta Marcinkowska. 2022. "The Effect of CSR Environmental Initiatives on Purchase Decisions—A Cross-Regional Study in Poland and Ukraine" Sustainability 14, no. 5: 2590. https://doi.org/10.3390/su14052590
APA StyleSawicka, J., & Marcinkowska, E. (2022). The Effect of CSR Environmental Initiatives on Purchase Decisions—A Cross-Regional Study in Poland and Ukraine. Sustainability, 14(5), 2590. https://doi.org/10.3390/su14052590

