Elaborate Monitoring of Land-Cover Changes in Cultural Landscapes at Heritage Sites Using Very High-Resolution Remote-Sensing Images
Abstract
:1. Introduction
2. Materials and Methods
2.1. Study Areas
2.2. Data
2.3. Methods
- Image co-registration: The bi-temporal Google-Earth images were co-registered. Since change detection on VHR images has a high-quality requirement, image co-registration was applied using the Image Registration Workflow tool in ENVI 5.3 [33] to ensure the root mean square error (RMSE) of geometrical accuracy was less than two pixels.
- Change vector analysis (CVA): The CVA [34] was applied to the bi-temporal images to derive a pixel-wise difference image (Equation (1)).V is the Euclidean distance between the spectral vectors of two pixels pi and qi at the same location from bi-temporal images. K is the number of multispectral bands.
- Thresholding: The Otsu thresholding [35] was applied to the difference image. This algorithm can conform a threshold t by minimizing intra-class intensity variance or equivalently by maximizing inter-class variance, so as to divide changed and unchanged pixels.
- Image segmentation: Independently, the spectral bands of bi-temporal images were stacked to combine information from both times, and image segmentation based on the fractal net evolution algorithm (FNEA) method [36] was performed on the stacked spectral bands. As a key step of OBIA, image segmentation can group pixels into multiple image segments (objects) according to some pre-defined homogeneity criteria. The pixels inside an object were assumed to be with high homogeneity. Therefore, the basic unit is an object rather than a pixel in OBIA (an illustration is shown in Figure 3).
- Extracting potentially changed objects: Since the same element can exhibit great spectral heterogeneity in VHR images, extracting changed elements at the object level rather than the pixel level can avoid introducing the salt-and-pepper noise (i.e., isolated pixels). The changed objects were extracted according to the segmentation and Otsu thresholding results (Equation (2)).O = 1 indicates that an object is a potentially changed object; otherwise, O = 0. Nc is the number of changed pixels in this object, and N is the total pixels in this object. r is an empirical threshold. In the study, r was set to 50% through trial-and-error tests, which means if the changed pixels exceed a half in an object, this object is then defined as a changed object. This step converts the processing unit of the imagery from pixels to objects.
- Object-based classification: CVA is sensitive to false changes caused by many factors such as different sensors, the light condition, seasonal changes, etc. [37]. Therefore, the supervised classification was performed separately on the bi-temporal images to further reduce the false alarm. The random-forest (RF) classifier was used in this study. This method utilizes ensemble learning to combine many decision trees and has been reported to achieve a high accuracy [38]. The training objects based on the segmentation results were selected separately on the two images. The mean and standard deviation of pixel values inside each object were used as the object-level features for classification. The selected training objects provide prior knowledge of the object-level features across three spectral bands. In the training process, a five-fold cross-validation was used to automatically determine the optimal parameters in the RF algorithm such as the number of trees, the criterion to measure the quality of a split, the maximum depth of the tree, etc. Based on the selected parameters, the classification was then applied to those potentially changed objects.
- Refining changed objects: After deriving the classification results, the land-cover classes were compared per object in the bi-temporal images. The object with the same class label in both images was regarded as the false change and thus categorized as the unchanged object. Manual editing may be stepped in to refine the results. Especially, some changes caused by reconstruction work were difficult to be identified using machine-learning methods and thus were delineated manually.
- Calculating interference degree: The percentage of changes (Equation (3)) was calculated for the core zone and the buffer zone of a CHS.
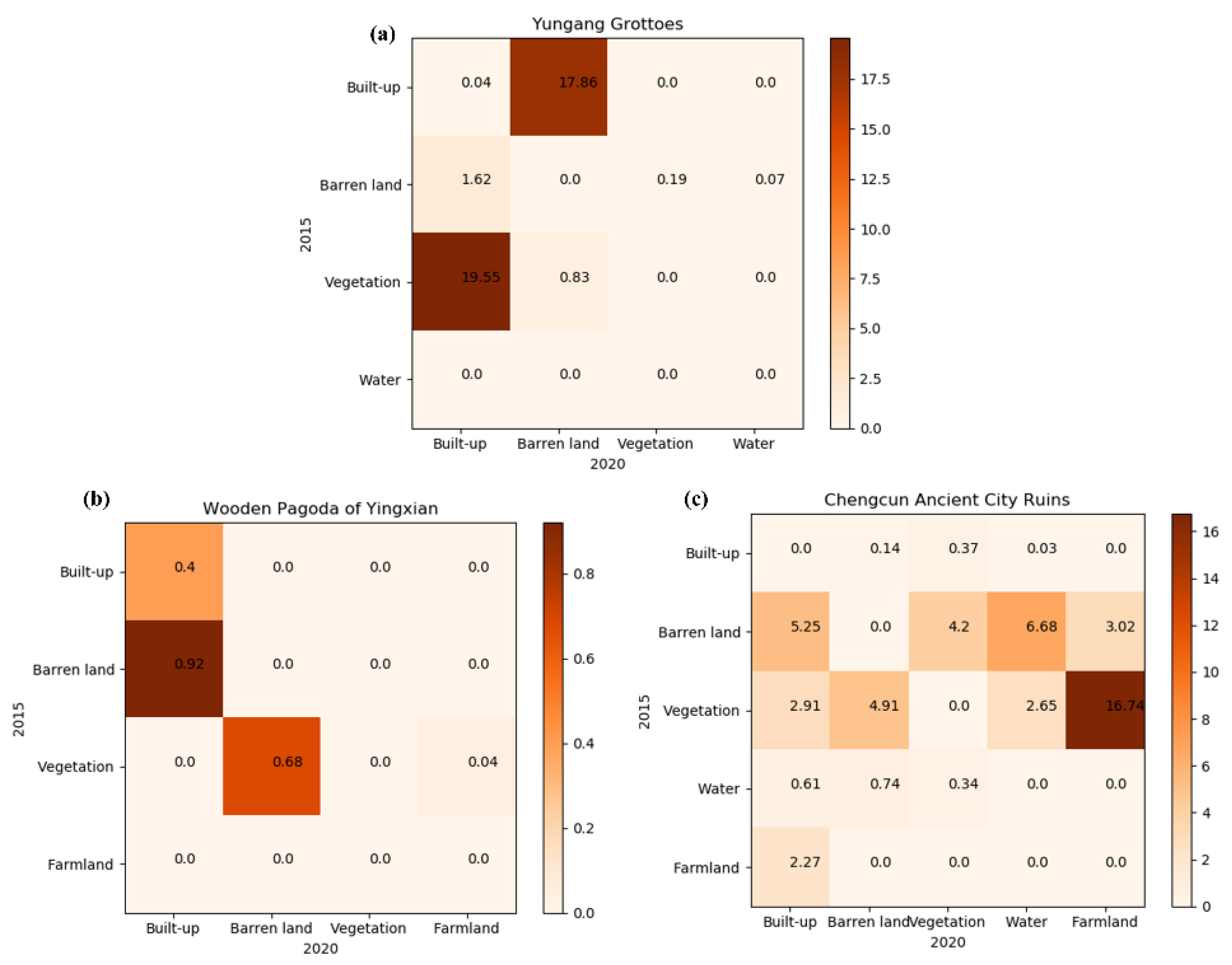
3. Results and Findings
4. Analysis and Discussion
4.1. Accuracy Assessment
4.2. Detecting Delicate Changes
4.3. Future Work
5. Conclusions
Author Contributions
Funding
Institutional Review Board Statement
Informed Consent Statement
Data Availability Statement
Acknowledgments
Conflicts of Interest
References
- Forino, G.; Mackee, J.; Meding, J.V. A proposed assessment index for climate change-related risk for cultural heritage protection in Newcastle (Australia). Int. J. Disaster Risk Reduct. 2016, 19, 235–248. [Google Scholar] [CrossRef]
- Oikonomopoulou, E.; Delegou, E.T.; Sayas, J.; Moropoulou, A. An innovative approach to the protection of cultural heritage: The case of cultural routes in Chios Island, Greece. J. Archaeol. Sci. Rep. 2017, 14, 742–757. [Google Scholar] [CrossRef]
- Andretta, M.; Coppola, F.; Modelli, A.; Santopuoli, N.; Seccia, L. Proposal for a new environmental risk assessment methodology in cultural heritage protection. J. Cult. Herit. 2017, 23, 22–32. [Google Scholar] [CrossRef]
- Ashrafi, B.; Kloos, M.; Neugebauer, C. Heritage impact assessment, beyond an assessment Tool: A comparative analysis of urban development impact on visual integrity in four UNESCO World Heritage Properties. J. Cult. Herit. 2021, 47, 199–207. [Google Scholar] [CrossRef]
- United Nations. Transforming Our World: The 2030 Agenda for Sustainable Development. 2015. Available online: https://sdgs.un.org/2030agenda (accessed on 20 January 2022).
- United Nations. IAEG-SDGs Tier Classification for Global SDG Indicators. 2019. Available online: https://unstats.un.org/sdgs/files/Tier%20Classification%20of%20SDG%20Indicators_28%20Dec%202020_web.pdf (accessed on 20 January 2022).
- Guo, H.; Chen, F.; Sun, Z.; Liu, J.; Liang, D. Big Earth Data: A practice of sustainability science to achieve the Sustainable Development Goals. Sci. Bull. 2021, 66, 1050–1053. [Google Scholar] [CrossRef]
- Negula, I.D.; Sofronie, R.; Virsta, A.; Badea, A. Earth Observation for the World Cultural and Natural Heritage. Agric. Agric. Sci. Proced. 2015, 6, 438–445. [Google Scholar] [CrossRef] [Green Version]
- Cuca, B.; Hadjimitsis, D.G. Space technology meets policy: An overview of Earth Observation sensors for monitoring of cultural landscapes within policy framework for Cultural Heritage. J. Archaeol. Sci. Rep. 2017, 14, 727–733. [Google Scholar] [CrossRef] [Green Version]
- Xiao, W.; Mills, J.; Guidi, G.; Rodríguez-Gonzálvez, P.; Barsanti, S.G.; González-Aguilera, D. Geoinformatics for the conservation and promotion of cultural heritage in support of the UN Sustainable Development Goals. ISPRS J. Photogramm. Remote Sens. 2018, 142, 389–406. [Google Scholar] [CrossRef]
- Levin, N.; Ali, S.; Crandall, D.; Kark, S. World Heritage in danger: Big data and remote sensing can help protect sites in conflict zones. Glob. Environ. Chang. 2019, 55, 97–104. [Google Scholar] [CrossRef]
- Luo, L.; Wang, X.; Guo, H.; Lasaponara, R.; Zong, X.; Masini, N.; Wang, G.; Shi, P.; Khatteli, H.; Chen, F.; et al. Airborne and spaceborne remote sensing for archaeological and cultural heritage applications: A review of the century (1907–2017). Remote Sens. Environ. 2019, 232, 232. [Google Scholar] [CrossRef]
- Yao, Y.; Wang, X.; Lu, L.; Liu, C.; Wu, Q.; Ren, H.; Yang, S.; Sun, R.; Luo, L.; Wu, K. Proportionated distributions in spatiotemporal structure of the world cultural heritage sites: Analysis and countermeasures. Sustainability 2021, 13, 2148. [Google Scholar] [CrossRef]
- Agapiou, A.; Alexakis, D.D.; Lysandrou, V.; Themistocleous, K.; Sarris, A.; Cuca, B.; Themistocleous, K.; Hadjimitsis, D.G. Impact of urban sprawl to cultural heritage monuments: The case study of Paphos area in Cyprus. J. Cult. Herit. 2015, 16, 671–680. [Google Scholar] [CrossRef]
- Agapiou, A.; Lysandrou, V.; Alexakis, D.D.; Themistocleous, K.; Cuca, B.; Argyriou, A.; Sarris, A.; Hadjimitsis, D.G. Cultural heritage management and monitoring using remote sensing data and GIS: The case study of Paphos area, Cyprus. Comput. Environ. Urban Syst. 2015, 54, 230–239. [Google Scholar] [CrossRef]
- Luo, L.; Wang, X.; Liu, J.; Guo, H.; Lasaponara, R.; Ji, W.; Liu, C. Uncovering the ancient canal-based tuntian agricultural landscape at China’s northwestern frontiers. J. Cult. Herit. 2017, 23, 79–88. [Google Scholar] [CrossRef]
- Elagouz, M.H.; Abou-Shleel, S.M.; Belal, A.A.; El-Mohandes, M.A.O. Detection of land use/cover change in Egyptian Nile Delta using remote sensing. Egypt. J. Remote Sens. Space Sci. 2020, 23, 57–62. [Google Scholar] [CrossRef]
- Lasaponara, R.; Masini, N. Beyond modern landscape features: New insights in the archaeological area of Tiwanaku in Bolivia from satellite data. Int. J. Appl. Earth Obs. Geoinf. 2014, 26, 464–471. [Google Scholar] [CrossRef]
- Stek, T.D. Drones over Mediterranean landscapes. The potential of small UAV’s (drones) for site detection and heritage management in archaeological survey projects: A case study from Le Pianelle in the Tappino Valley, Molise (Italy). J. Cult. Herit. 2016, 22, 1066–1071. [Google Scholar] [CrossRef]
- Luo, L.; Wang, X.; Guo, H.; Lasaponara, R.; Shi, P.; Bachagha, N.; Li, L.; Yao, Y.; Masini, N.; Chen, F.; et al. Google Earth as a powerful tool for archaeological and cultural heritage applications: A review. Remote Sens. 2018, 10, 1558. [Google Scholar] [CrossRef]
- Nebbia, M.; Cilio, F.; Bobomulloev, B. Spatial risk assessment and the protection of cultural heritage in southern Tajikistan. J. Cult. Herit. 2021, 49, 183–196. [Google Scholar] [CrossRef]
- Nagendra, H.; Mairota, P.; Marangi, C.; Lucas, R.; Dimopoulos, P.; Honrado, J.P.; Niphadkar, M.; Mücher, C.A.; Tomaselli, V.; Panitsa, M.; et al. Satellite Earth observation data to identify anthropogenic pressures in selected protected areas. Int. J. Appl. Earth Obs. Geoinf. 2015, 37, 124–132. [Google Scholar] [CrossRef]
- Morehart, C.T.; Millhauser, J.K. Monitoring cultural landscapes from space: Evaluating archaeological sites in the Basin of Mexico using very high resolution satellite imagery. J. Archaeol. Sci. Rep. 2016, 10, 363–376. [Google Scholar] [CrossRef]
- Deroin, J.-P.; Kheir, R.B.; Abda, C. Geoarchaeological remote sensing survey for cultural heritage management. Case study from Byblos (Jbail, Lebanon). J. Cult. Herit. 2017, 23, 37–43. [Google Scholar] [CrossRef] [Green Version]
- Prokop, P. Remote sensing of severely degraded land: Detection of long-term land-use changes using high-resolution satellite images on the Meghalaya Plateau, Northeast India. Remote Sens. Appl. Soc. Environ. 2020, 20, 100432. [Google Scholar] [CrossRef]
- Liu, C.; Cao, Y.; Yang, C.; Zhou, Y.; Ai, M. Pattern identification and analysis for the traditional village using low altitude UAV-borne remote sensing: Multifeatured geospatial data to support rural landscape investigation, documentation and management. J. Cult. Herit. 2020, 44, 185–195. [Google Scholar] [CrossRef]
- Liu, Y.; Tang, Y.; Jing, L.; Chen, F.; Wang, P. Remote sensing-based dynamic monitoring of immovable cultural relics, from environmental factors to the protected cultural Site: A case study of the Shunji Bridge. Sustainability 2021, 13, 6042. [Google Scholar] [CrossRef]
- Nocca, F. The role of cultural heritage in sustainable development: Multidimensional indicators as decision-making tool. Sustainability 2017, 9, 1882. [Google Scholar] [CrossRef] [Green Version]
- World Heritage Centre. World Heritage and Buffer Zones. In Proceedings of the International Expert Meeting on World Heritage and Buffer Zones, Davos, Switzerland, 11–14 March 2008; Martin, O., Piatti, G., Eds.; UNESCO—World Heritage Centre: Paris, France, 2009; p. 25. [Google Scholar]
- Lesiv, M.; See, L.; Laso Bayas, J.C.; Sturn, T.; Schepaschenko, D.; Karner, M.; Moorthy, I.; McCallum, I.; Fritz, S. Characterizing the spatial and temporal availability of very high resolution satellite imagery in Google Earth and Microsoft Bing maps as a source of reference data. Land 2018, 7, 118. [Google Scholar] [CrossRef] [Green Version]
- Blaschke, T. Object based image analysis for remote sensing. ISPRS J. Photogramm. Remote Sens. 2010, 65, 2–16. [Google Scholar] [CrossRef] [Green Version]
- Blaschke, T.; Strobl, J. What’s wrong with pixels? Some recent developments interfacing remote sensing and GIS. GeoBIT/GIS 2001, 14, 12–17. [Google Scholar]
- Jin, X. ENVI Automated Image Registration Solutions. Harris Geospatial Systems Whitepaper. 2017. Available online: http://www.l3harrisgeospatial.com/Portals/0/pdfs/ENVI_Image_Registration_Whitepaper.pdf (accessed on 20 January 2022).
- Lambin, E.F.; Strahlers, A.H. Change-vector analysis in multitemporal space: A tool to detect and categorize land-cover change processes using high temporal-resolution satellite data. Remote Sens. Environ. 1994, 48, 231–244. [Google Scholar] [CrossRef]
- Otsu, N. A threshold selection method from gray-level histograms. IEEE Trans. Syst. Man Cybern. 1979, 9, 62–66. [Google Scholar] [CrossRef] [Green Version]
- Benz, U.C.; Hofmann, P.; Willhauck, G.; Lingenfelder, I.; Heynen, M. Multi-resolution, object-oriented fuzzy analysis of remote sensing data for GIS-ready information. ISPRS J. Photogramm. Remote Sens. 2004, 58, 239–258. [Google Scholar] [CrossRef]
- Zhang, C.; Yue, P.; Tapete, D.; Jiang, L.; Shangguan, B.; Huang, L.; Liu, G. A deeply supervised image fusion network for change detection in high resolution bi-temporal remote sensing images. ISPRS J. Photogramm. Remote Sens. 2020, 166, 183–200. [Google Scholar] [CrossRef]
- Breiman, L. Random forests. Mach. Learn. 2001, 45, 5–32. [Google Scholar] [CrossRef] [Green Version]
- Bai, X.; Du, P.; Guo, S.; Zhang, P.; Lin, C.; Tang, P.; Zhang, C. Monitoring land cover change and disturbance of the Mount Wutai world cultural landscape heritage protected area, based on remote sensing time-series images from 1987 to 2018. Remote Sens. 2019, 11, 1332. [Google Scholar] [CrossRef] [Green Version]
- Lu, D.; Mausel, P.; Brondízio, E.; Moran, E. Change detection techniques. Int. J. Remote Sens. 2004, 25, 2365–2407. [Google Scholar] [CrossRef]
- Chen, F.; Guo, H.; Tapete, D.; Masini, N.; Cigna, F.; Lasaponara, R.; Piro, S.; Lin, H.; Ma, P. Interdisciplinary approaches based on imaging radar enable cutting-edge cultural heritage applications. Natl. Sci. Rev. 2021, 8, nwab123. [Google Scholar] [CrossRef]
- Chen, F.; Guo, H.; Ma, P.; Lin, H.; Wang, C.; Ishwaran, N.; Hang, P. Radar interferometry offers new insights into threats to the Angkor site. Sci. Adv. 2017, 3, e1601284. [Google Scholar] [CrossRef] [Green Version]
- Altuntas, C.; Hezer, S.; Kırlı, S. Image based methods for surveying heritage of masonry arch bridge with the example of Dokuzunhan in Konya, Turkey. Sci. Cult. 2017, 3, 13–20. [Google Scholar]
- Trier, Ø.; Reksten, J.H.; Løseth, K. Automated mapping of cultural heritage in Norway from airborne lidar data using faster R-CNN. Int. J. Appl. Earth Obs. Geoinf. 2021, 95, 102241. [Google Scholar] [CrossRef]
- Sasaki, Y. The truth of the F-measure. Teach. Tutor Mater. 2007, 1, 1–5. [Google Scholar]
- Quan, R.-C.; Wen, X.; Yang, X. Effects of human activities on migratory water birds at Lashihai Lake, China. Biol. Conserv. 2002, 108, 273–279. [Google Scholar] [CrossRef]
- Sakuma, A.; Yamano, H. Satellite constellation reveals crop growth patterns and improves mapping accuracy of cropping practices for subtropical small-scale fields in Japan. Remote Sens. 2020, 12, 2419. [Google Scholar] [CrossRef]
- Li, J.; Schill, S.R.; Knapp, D.E.; Asner, G.P. Object-based mapping of coral reef habitats using Planet Dove satellites. Remote Sens. 2019, 11, 1445. [Google Scholar] [CrossRef] [Green Version]
Data Acquisition Time | Data Acquisition Time and Satellites | Spatial Resolution | Core Area (ha) | Buffer Area (ha) | |
---|---|---|---|---|---|
Yungang Grottoes | 2015/01/11 | 2020/04/12 | 1.07 m | 115 | 800 |
WorldView-2 | WorldView-3 | ||||
Wooden Pagoda of Yingxian | 2015/11/01 | 2020/04/25 | 0.27 m | 7 | 395 |
GeoEye-1 | GeoEye-1 | ||||
Chengcun Ancient City Ruins | 2015/04/05 | 2020/03/15 | 1.07 m | 59 | 1418 |
WorldView-3 | WorldView-2 |
Interference Degree (%) in Core Zone | Interference Degree (%) in Buffer Zone | |
---|---|---|
Yungang Grottoes | 0.64 | 4.93 |
Wooden Pagoda of Yingxian | 0 | 0.51 |
Chengcun Ancient City Ruins | 1.11 | 3.54 |
Yungang Grottoes | Wooden Pagoda of Yingxian | Chengcun Ancient City Ruins | ||
---|---|---|---|---|
Segmentation | 15,877 | 19,995 | 7286 | |
CVA | 1942 | 135 | 647 | |
Training samples (bi-temporal) | 2015 | 145 | 48 | 82 |
2020 | 162 | 46 | 78 | |
Classification | 1304 | 96 | 440 | |
Manual deletion of false changes | 185 | 19 | 118 | |
Manual delineation of missing changes | 147 | 9 | 16 | |
Final result | 1272 | 85 | 338 |
Publisher’s Note: MDPI stays neutral with regard to jurisdictional claims in published maps and institutional affiliations. |
© 2022 by the authors. Licensee MDPI, Basel, Switzerland. This article is an open access article distributed under the terms and conditions of the Creative Commons Attribution (CC BY) license (https://creativecommons.org/licenses/by/4.0/).
Share and Cite
Tang, Y.; Chen, F.; Yang, W.; Ding, Y.; Wan, H.; Sun, Z.; Jing, L. Elaborate Monitoring of Land-Cover Changes in Cultural Landscapes at Heritage Sites Using Very High-Resolution Remote-Sensing Images. Sustainability 2022, 14, 1319. https://doi.org/10.3390/su14031319
Tang Y, Chen F, Yang W, Ding Y, Wan H, Sun Z, Jing L. Elaborate Monitoring of Land-Cover Changes in Cultural Landscapes at Heritage Sites Using Very High-Resolution Remote-Sensing Images. Sustainability. 2022; 14(3):1319. https://doi.org/10.3390/su14031319
Chicago/Turabian StyleTang, Yunwei, Fulong Chen, Wei Yang, Yanbin Ding, Haoming Wan, Zhongchang Sun, and Linhai Jing. 2022. "Elaborate Monitoring of Land-Cover Changes in Cultural Landscapes at Heritage Sites Using Very High-Resolution Remote-Sensing Images" Sustainability 14, no. 3: 1319. https://doi.org/10.3390/su14031319
APA StyleTang, Y., Chen, F., Yang, W., Ding, Y., Wan, H., Sun, Z., & Jing, L. (2022). Elaborate Monitoring of Land-Cover Changes in Cultural Landscapes at Heritage Sites Using Very High-Resolution Remote-Sensing Images. Sustainability, 14(3), 1319. https://doi.org/10.3390/su14031319